Relation of STAT3 rs1053005 Variation and miR-452-3p with Osteoarthritis Susceptibility and Severity and the Clinical Response to High-Molecular-Weight Hyaluronic Acid Injection in Osteoarthritis Patients
Abstract
:1. Introduction
2. Materials and Methods
2.1. Study Participants
2.2. Treatment and Intervention
2.3. Ethical Approval
2.4. Biochemical and Immunochemical Analysis
2.5. STAT3 mRNA and miR-452-3p Expression Analysis
2.6. Genotyping
2.7. Statistical Analysis
3. Results
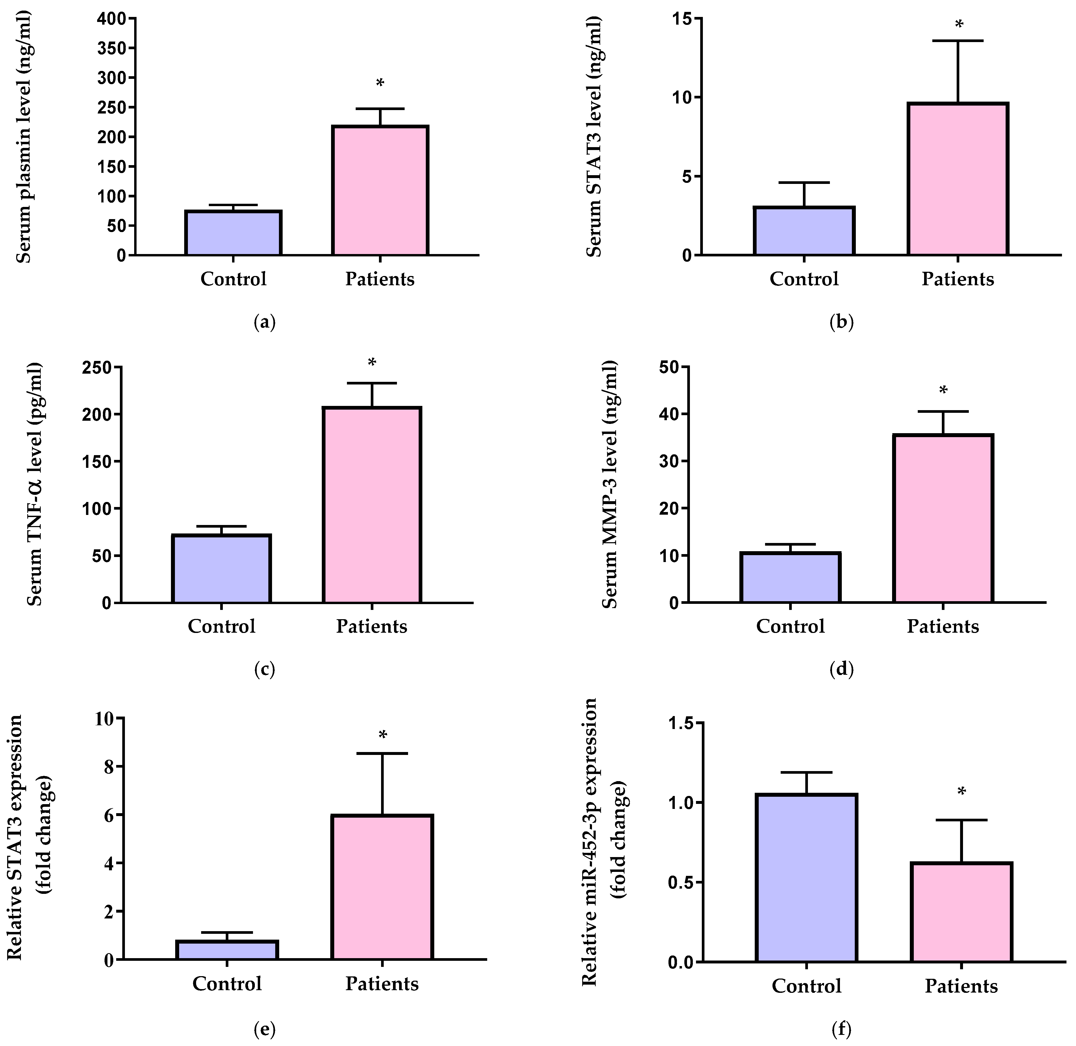
3.1. Demographic and Biochemical Characteristics of the Studied Groups
3.2. The Association of STAT3 and miR-452-3p Expression Levels with the Clinical Scores and Biochemical Markers in OA Patients
3.3. Molecular Analysis of rs1053005 Variant of STAT3 Gene in OA Patients
3.4. STAT3 rs1053005 Polymorphism Association with Serum Levels of Plasmin, STAT3, TNF-α, MMP-3, and STAT3, miR-452-3p Expression in OA Patients
3.5. Assessment of the Therapeutic Efficacy of HMW-HA Intra-articular Injection in OA Patients
3.6. Assessment of the Therapeutic Response to HMW-HA Intra-Articular Injection in Different Geno-Types of STAT3 rs1053005 Polymorphism in OA Patients
4. Discussion
5. Conclusions
Author Contributions
Funding
Institutional Review Board Statement
Informed Consent Statement
Data Availability Statement
Acknowledgments
Conflicts of Interest
References
- Chen, D.; Shen, J.; Zhao, W.; Wang, T.; Han, L.; Hamilton, J.L.; Im, H.J. Osteoarthritis: Toward a comprehensive understanding of pathological mechanism. Bone Res. 2017, 5, 16044. [Google Scholar] [CrossRef] [PubMed]
- Nelson, A.E. Osteoarthritis year in review 2017: Clinical. Osteoarthr. Cartil. 2018, 26, 319–325. [Google Scholar] [CrossRef] [PubMed]
- Manoto, S.L.; Maepa, M.J.; Motaung, S.K. Medical ozone therapy as a potential treatment modality for regeneration of damaged articular cartilage in osteoarthritis. Saudi J. Biol. Sci. 2018, 25, 672–679. [Google Scholar] [CrossRef] [PubMed]
- Ball, H.C.; Alejo, A.L.; Samson, T.K.; Alejo, A.M.; Safadi, F.F. Epigenetic regulation of chondrocytes and subchondral bone in osteoarthritis. Life 2022, 12, 582. [Google Scholar] [CrossRef] [PubMed]
- Mathiessen, A.; Conaghan, P.G. Synovitis in osteoarthritis: Current understanding with therapeutic implications. Arthritis Res. Ther. 2017, 19, 18. [Google Scholar] [CrossRef] [PubMed]
- Wang, T.; He, C. Pro-inflammatory cytokines: The link between obesity and osteoarthritis. Cytokine Growth Factor Rev. 2018, 44, 38–50. [Google Scholar] [CrossRef]
- Malemud, C.J. Matrix metalloproteinases and synovial joint pathology. Prog. Mol. Biol. Transl. Sci. 2017, 148, 305–325. [Google Scholar] [CrossRef] [PubMed]
- Haghikia, A.; Hoch, M.; Stapel, B.; Hilfiker-Kleiner, D. STAT3 regulation of and by microRNAs in development and disease. JAKSTAT 2012, 1, 143–150. [Google Scholar] [CrossRef]
- Rykova, E.; Ershov, N.; Damarov, I.; Merkulova, T. SNPs in 3′ UTR miRNA Target Sequences Associated with Individual Drug Susceptibility. Int. J. Mol. Sci. 2022, 23, 13725. [Google Scholar] [CrossRef]
- Karimi Dermani, F.; Datta, I.; Gholamzadeh Khoei, S. MicroRNA-452: A double-edged sword in multiple human cancers. Clin. Transl. Oncol. 2023, 25, 1189–1206. [Google Scholar] [CrossRef]
- Lamichhane, S.; Mo, J.S.; Sharma, G.; Choi, T.Y.; Chae, S.C. MicroRNA 452 regulates IL20RA-mediated JAK1/STAT3 pathway in inflammatory colitis and colorectal cancer. Inflamm. Res. 2021, 70, 903–914. [Google Scholar] [CrossRef]
- Gao, D.F.; Wang, B.S.; Sun, D.W.; Wang, N.; Guo, J.D.; Zhu, B.L. Targeted binding of rs1053005 locus of STAT3 with miR-452-3p and the association between STAT3 gene polymorphism and noise-induced hearing loss. Zhonghua Lao Dong Wei Sheng Zhi Ye Bing Za Zhi 2021, 39, 412–417. [Google Scholar] [CrossRef] [PubMed]
- Zhang, Y.; Lin, C.; Chen, R.; Luo, L.; Huang, J.; Liu, H.; Chen, W.; Xu, J.; Yu, H.; Ding, Y. Association analysis of SOCS3, JAK2 and STAT3 gene polymorphisms and genetic susceptibility to type 2 diabetes mellitus in Chinese population. Diabetol. Metab. Syndr. 2022, 14, 4. [Google Scholar] [CrossRef] [PubMed]
- Li, Y.Z.; Zhang, L.; Liu, Q.; Bian, H.T.; Cheng, W.J. The effect of single nucleotide polymorphisms of STAT3 on epilepsy in children. Eur. Rev. Med. Pharmacol. Sci. 2020, 24, 837–842. [Google Scholar] [CrossRef] [PubMed]
- Salehi, A.; Nasrollahzadeh Sabet, M.; Esmaeilzadeh, E.; Mousavi, M.; Karimi, J.; Pakzad, B. Impact of miRNA-binding site polymorphisms in STAT3 gene on occurrence and clinical characteristics of systemic lupus erythematosus. Lupus 2022, 31, 338–346. [Google Scholar] [CrossRef]
- Kroon, F.P.B.; Carmona, L.; Schoones, J.W.; Kloppenburg, M. Efficacy and safety of non-pharmacological, pharmacological and surgical treatment for hand osteoarthritis: A systematic literature review informing the 2018 update of the EULAR recommendations for the management of hand osteoarthritis. RMD Open 2018, 4, e000734. [Google Scholar] [CrossRef] [PubMed]
- Migliore, A.; Procopio, S. Effectiveness and utility of hyaluronic acid in osteoarthritis. Clin. Cases Miner. Bone Metab. 2015, 12, 31–33. [Google Scholar] [CrossRef]
- Markowska, A.; Antoszczak, M.; Markowska, J.; Huczynski, A. Role of Hyaluronic Acid in Selected Malignant Neoplasms in Women. Biomedicines 2023, 11, 304. [Google Scholar] [CrossRef] [PubMed]
- Cao, J.J.; Singleton, P.A.; Majumdar, S.; Boudignon, B.; Burghardt, A.; Kurimoto, P.; Wronski, T.J.; Bourguignon, L.Y.W.; Halloran, B.P. Hyaluronan increases RANKL expression in bone marrow stromal cells through CD44. J. Bone Miner. Res. 2005, 20, 30–40. [Google Scholar] [CrossRef]
- Santilli, V.; Paoloni, M.; Mangone, M.; Alviti, F.; Bernetti, A. Hyaluronic acid in the management of osteoarthritis: Injection therapies innovations. Clin. Cases Miner. Bone Metab. 2016, 13, 131–134. [Google Scholar] [CrossRef]
- Pereira, T.V.; Jüni, P.; Saadat, P.; Xing, D.; Yao, L.; Bobos, P.; Agarwal, A.; Hincapié, C.A.; da Costa, B.R. Viscosupplementation for knee osteoarthritis: Systematic review and meta-analysis. BMJ 2022, 378, e069722. [Google Scholar] [CrossRef] [PubMed]
- Hermans, J.; Bierma-Zeinstra, S.M.A.; Bos, P.K.; Niesten, D.D.; Verhaar, J.A.N.; Reijman, M. The effectiveness of high molecular weight hyaluronic acid for knee osteoarthritis in patients in the working age: A randomised controlled trial. BMC Musculoskelet. Disord. 2019, 20, 196. [Google Scholar] [CrossRef] [PubMed]
- Kohn, M.D.; Sassoon, A.A.; Fernando, N.D. Classifications in Brief: Kellgren-Lawrence Classification of Osteoarthritis. Clin. Orthop. Relat. Res. 2016, 474, 1886–1893. [Google Scholar] [CrossRef] [PubMed]
- Roos, E.M.; Roos, H.P.; Lohmander, L.S.; Ekdahl, C.; Beynnon, B.D. Knee Injury and Osteoarthritis Outcome Score (KOOS)--development of a self-administered outcome measure. J. Orthop. Sports Phys. Ther. 1998, 28, 88–96. [Google Scholar] [CrossRef] [PubMed]
- Ferraz, M.B.; Quaresma, M.R.; Aquino, L.R.; Atra, E.; Tugwell, P.; Goldsmith, C.H. Reliability of pain scales in the assessment of literate and illiterate patients with rheumatoid arthritis. J. Rheumatol. 1990, 17, 1022–1024. [Google Scholar] [PubMed]
- Charan, J.; Biswas, T. How to calculate sample size for different study designs in medical research? Indian J. Psychol. Med. 2013, 35, 121–126. [Google Scholar] [CrossRef]
- Neogi, T. The epidemiology and impact of pain in osteoarthritis. Osteoarthr. Cartil. 2013, 21, 1145–1153. [Google Scholar] [CrossRef]
- Loeser, R.F. Aging and osteoarthritis: The role of chondrocyte senescence and aging changes in the cartilage matrix. Osteoarthr. Cartil. 2009, 17, 971–979. [Google Scholar] [CrossRef] [PubMed]
- Tschon, M.; Contartese, D.; Pagani, S.; Borsari, V.; Fini, M. Gender and Sex Are Key Determinants in Osteoarthritis Not Only Confounding Variables. A Systematic Review of Clinical Data. J. Clin. Med. 2021, 10, 3178. [Google Scholar] [CrossRef]
- Nedunchezhiyan, U.; Varughese, I.; Sun, A.R.; Wu, X.; Crawford, R.; Prasadam, I. Obesity, Inflammation, and Immune System in Osteoarthritis. Front. Immunol. 2022, 13, 907750. [Google Scholar] [CrossRef]
- Hassanali, S.; Oyoo, G. Osteoarthritis: A look at pathophysiology and approach to new treatments: A review. East Afr. Orthop. J. 2011, 5, 51–57. [Google Scholar] [CrossRef]
- Sanchez-Lopez, E.; Coras, R.; Torres, A.; Lane, N.E.; Guma, M. Synovial inflammation in osteoarthritis progression. Nat. Rev. Rheumatol. 2022, 18, 258–275. [Google Scholar] [CrossRef] [PubMed]
- Chen, B.; Ning, K.; Sun, M.L.; Zhang, X.A. Regulation and therapy, the role of JAK2/STAT3 signaling pathway in OA: A systematic review. Cell Commun. Signal. 2023, 21, 67. [Google Scholar] [CrossRef]
- Hayashi, S.; Fujishiro, T.; Hashimoto, S.; Kanzaki, N.; Chinzei, N.; Kihara, S.; Takayama, K.; Matsumoto, T.; Nishida, K.; Kurosaka, M.; et al. p21 deficiency is susceptible to osteoarthritis through STAT3 phosphorylation. Arthritis Res. Ther. 2015, 17, 314. [Google Scholar] [CrossRef] [PubMed]
- Shao, L.T.; Gou, Y.; Fang, J.K.; Hu, Y.P.; Lian, Q.Q.; Zhang, Y.Y.; Wang, Y.D.; Tian, F.M.; Zhang, L. Parathyroid hormone (1-34) ameliorates cartilage degeneration and subchondral bone deterioration in collagenase-induced osteoarthritis model in mice. Bone Joint Res. 2020, 9, 675–688. [Google Scholar] [CrossRef] [PubMed]
- Shao, L.T.; Gou, Y.; Fang, J.K.; Hu, Y.P.; Lian, Q.Q.; Yang, Z.; Zhang, Y.Y.; Wang, Y.D.; Tian, F.M.; Zhang, L. The Protective Effects of Parathyroid Hormone (1-34) on Cartilage and Subchondral Bone Through Down-Regulating JAK2/STAT3 and WNT5A/ROR2 in a Collagenase-Induced Osteoarthritis Mouse Model. Orthop. Surg. 2021, 13, 1662–1672. [Google Scholar] [CrossRef] [PubMed]
- Yao, Z.Z.; Hu, A.X.; Liu, X.S. DUSP19 regulates IL-1β-induced apoptosis and MMPs expression in rat chondrocytes through JAK2/STAT3 signaling pathway. Biomed. Pharmacother. 2017, 96, 1209–1215. [Google Scholar] [CrossRef]
- Li, H.; Xie, S.; Qi, Y.; Li, H.; Zhang, R.; Lian, Y. TNF-α increases the expression of inflammatory factors in synovial fibroblasts by inhibiting the PI3K/AKT pathway in a rat model of monosodium iodoacetate-induced osteoarthritis. Exp. Ther. Med. 2018, 16, 4737–4744. [Google Scholar] [CrossRef]
- Cheng, C.; Shan, W.; Huang, W.; Ding, Z.; Cui, G.; Liu, F.; Lu, W.; Xu, J.; He, W.; Yin, Z. ACY-1215 exhibits anti-inflammatory and chondroprotective effects in human osteoarthritis chondrocytes via inhibition of STAT3 and NF-κB signaling pathways. Biomed. Pharmacother. 2019, 109, 2464–2471. [Google Scholar] [CrossRef]
- Molnar, V.; Matišić, V.; Kodvanj, I.; Bjelica, R.; Jeleč, Ž.; Hudetz, D.; Rod, E.; Čukelj, F.; Vrdoljak, T.; Vidović, D.; et al. Cytokines and Chemokines Involved in Osteoarthritis Pathogenesis. Int. J. Mol. Sci. 2021, 22, 9208. [Google Scholar] [CrossRef] [PubMed]
- Liao, L.; Zhang, S.; Zhao, L.; Chang, X.; Han, L.; Huang, J.; Chen, D. Acute synovitis after trauma precedes and is associated with osteoarthritis onset and progression. Int. J. Biol. Sci. 2020, 16, 970–980. [Google Scholar] [CrossRef] [PubMed]
- Busso, N.; Péclat, V.; So, A.; Sappino, A.-P. Plasminogen activation in synovial tissues: Differences between normal, osteoarthritis, and rheumatoid arthritis joints. Ann. Rheum Dis. 1997, 56, 550–557. [Google Scholar] [CrossRef] [PubMed]
- Lin, H.; Xu, L.; Yu, S.; Hong, W.; Huang, M.; Xu, P. Therapeutics targeting the fibrinolytic system. Exp. Mol. Med. 2020, 52, 367–379. [Google Scholar] [CrossRef] [PubMed]
- Martel-Pelletier, J.; Faure, M.P.; McCollum, R.; Mineau, F.; Cloutier, J.M.; Pelletier, J.P. Plasmin, plasminogen activators and inhibitor in human osteoarthritic cartilage. J. Rheumatol. 1991, 18, 1863–1871. [Google Scholar] [PubMed]
- Jones, S.; Watkins, G.; Le Good, N.; Roberts, S.; Murphy, C.; Brockbank, S.; Needham, M.; Read, S.; Newham, P. The identification of differentially expressed microRNA in osteoarthritic tissue that modulate the production of TNF-α and MMP13. Osteoarthr. Cartil. 2009, 17, 464–472. [Google Scholar] [CrossRef] [PubMed]
- Maruotti, N.; Corrado, A.; Cantatore, F.P. Osteoblast role in osteoarthritis pathogenesis. J. Cell. Physiol. 2017, 232, 2957–2963. [Google Scholar] [CrossRef] [PubMed]
- Christopoulou, M.E.; Papakonstantinou, E.; Stolz, D. Matrix Metalloproteinases in Chronic Obstructive Pulmonary Disease. Int. J. Mol. Sci. 2023, 24, 3786. [Google Scholar] [CrossRef]
- Li, J.; Yin, Z.; Huang, B.; Xu, K.; Su, J. Stat3 Signaling Pathway: A Future Therapeutic Target for Bone-Related Diseases. Front. Pharmacol. 2022, 13, 897539. [Google Scholar] [CrossRef] [PubMed]
- Karimzadeh, M.R.; Zarin, M.; Ehtesham, N.; Khosravi, S.; Soosanabadi, M.; Mosallaei, M.; Pourdavoud, P. MicroRNA binding site polymorphism in inflammatory genes associated with colorectal cancer: Literature review and bioinformatics analysis. Cancer Gene Ther. 2020, 27, 739–753. [Google Scholar] [CrossRef]
- Sauer, M.; Scheffel, J.; Frischbutter, S.; Mahnke, N.; Maurer, M.; Burmeister, T.; Krause, K.; Metz, M. STAT3 gain-of-function is not responsible for low total IgE levels in patients with autoimmune chronic spontaneous urticaria. Front. Immunol. 2022, 13, 902652. [Google Scholar] [CrossRef]
- Li, M.; Li, F.; Li, N.; Sang, J.; Fan, X.; Deng, H.; Zhang, X.; Han, Q.; Lv, Y.; Liu, Z. Association of polymorphism rs1053005 in STAT3 with chronic hepatitis B virus infection in Han Chinese population. BMC Med. Genet. 2018, 19, 52. [Google Scholar] [CrossRef] [PubMed]
- Maheu, E.; Rannou, F.; Reginster, J.Y. Efficacy and safety of hyaluronic acid in the management of osteoarthritis: Evidence from real-life setting trials and surveys. Semin. Arthritis Rheum. 2016, 45, S28–S33. [Google Scholar] [CrossRef] [PubMed]
- McAlindon, T.E.; Bannuru, R.R.; Sullivan, M.; Arden, N.; Berenbaum, F.; Bierma-Zeinstra, S.; Hawker, G.; Henrotin, Y.; Hunter, D.; Kawaguchi, H. OARSI guidelines for the non-surgical management of knee osteoarthritis. Osteoarthr. Cartil. 2014, 22, 363–388. [Google Scholar] [CrossRef] [PubMed]
- Cooper, C.; Rannou, F.; Richette, P.; Bruyère, O.; Al-Daghri, N.; Altman, R.D.; Brandi, M.L.; Collaud Basset, S.; Herrero-Beaumont, G.; Migliore, A.; et al. Use of intraarticular hyaluronic acid in the management of knee osteoarthritis in clinical practice. Arthritis Care Res. 2017, 69, 1287–1296. [Google Scholar] [CrossRef] [PubMed]



| Grade 0 | No joint space narrowing (JSN) 1 or reactive changes |
| Grade 1 | Possible osteophytic lipping + doubtful JSN |
| Grade 2 | Definite osteophytes + possible JSN |
| Grade 3 | Moderate osteophytes + definite JSN + some sclerosis + possible bone end deformity |
| Grade 4 | Large osteophytes + marked JSN + severe sclerosis + definite bone end deformity |
| Clinical Scores | Mean ± SD | Min–Max |
|---|---|---|
| NRS (0–10) | 5.58 ± 0.69 | 4.0–7.0 |
| KOOS subscales (0–100) | ||
| Pain | 58.83 ± 8.37 | 38.0–76.0 |
| Other symptoms | 68.15 ± 8.26 | 50.0–84.0 |
| Function in daily life | 68.41 ± 7.76 | 50.0–82.0 |
| Function in sports and recreation | 30.30 ± 4.27 | 22.0–40.0 |
| Knee-related quality of life | 35.21 ± 4.62 | 25.0–46.0 |
| Gene | Primer Sequence | Annealing Temp. |
|---|---|---|
| STAT3 | Forward primer: 5′-CAGCAGCTTGACACACGGTA-3′ Reverse primer: 5′-AAACACCAAAGTGGCATGTGA-3′ | 52 °C |
| GAPDH | Forward primer: 5′-GGAGCGAGATCCCTCCAAAAT 3′ Reverse primer: 5′-GGCTGTTGTCATACTTCTCATGG-3′ | 56 °C |
| miR-452-3p | Forward primer: 5′-GCGAACTGTTTGCAGAGG-3’ Reverse primer: 5′-CAGTGCGTGTCGTGGAGT-3’ | 50 °C |
| U6 | Forward primer: 5’-CTCGCTTCGGCAGCACA-3’ Reverse primer: 5’-AACGCTTCACGAATTTGCGT-3’ | 50 °C |
| Variables | Control (n = 200) | OA Patients (n = 258) | p Value |
|---|---|---|---|
| Number (%) | |||
| Sex | |||
| Male | 99 (49.5%) | 131 (50.8%) | 0.787 |
| Female | 101 (50.5%) | 127 (49.2%) | |
| Mean ± SD | |||
| Age (years) | 46.93 ± 11.88 | 47.26 ± 9.19 | 0.746 |
| BMI (kg/m2) | 28.4 ± 3.93 | 28.47 ± 3.87 | 0.843 |
| STAT3 Serum Protein Levels | STAT3 Expression | miR-452-3p Expression | ||||
|---|---|---|---|---|---|---|
| R | p-Value | rs | p-Value | rs | p-Value | |
| Clinical Scores | ||||||
| NRS (0–10) | 0.116 | 0.063 | 0.320 | 0.001 * | −0.205 | 0.001 * |
| KOOS subscales (0–100) | ||||||
| Pain | −0.201 | 0.001 * | −0.383 | 0.001 * | 0.245 | 0.001 * |
| Other symptoms | −0.178 | 0.004 * | −0.098 | 0.117 | 0.106 | 0.089 |
| Function in daily life | −0.190 | 0.002 * | −0.380 | 0.001 * | 0.243 | 0.001 * |
| Function in sports and recreation | −0.216 | 0.001 * | −0.400 | 0.001 * | 0.258 | 0.001 * |
| Biochemical markers | ||||||
| STAT3 (ng/mL) | -- | -- | 0.586 | 0.001 * | −0.581 | 0.001 * |
| Plasmin (ng/mL) | 0.838 | 0.001 * | 0.523 | 0.001 * | −0.611 | 0.001 * |
| TNF-α (pg/mL) | 0.856 | 0.001 * | 0.532 | 0.001 * | −0.610 | 0.001 * |
| MMP-3 (ng/mL) | 0.766 | 0.001 * | 0.523 | 0.001 * | −0.660 | 0.001 * |
| Control (n = 200) | Patients (n = 258) | p Value | OR (95%CI) | |
|---|---|---|---|---|
| STAT3 rs1053005 | ||||
| Genotypes | ||||
| AA | 89 (44.5%) | 141 (54.7%) | ||
| AG | 80 (40%) | 102 (39.5%) | 0.281 | 0.80 (0.54–1.19) |
| GG | 31 (15.5%) | 15 (5.8%) | 0.001 * | 0.31 (0.16–0.60) |
| Alleles | ||||
| A | 258 (64.5%) | 384 (74.4%) | ||
| G | 142 (35.5%) | 132 (25.6%) | 0.001 * | 0.62 (0.47–0.83) |
| Baseline (before Injection) | Follow-Up (after 6 Months) | % Change | ||||
|---|---|---|---|---|---|---|
| HMW-HA (n = 83) | No HMW-HA (n = 175) | HMW-HA (n = 83) | No HMW-HA (n = 175) | HMW-HA (n = 83) | No HMW-HA (n = 175) | |
| STAT3 (ng/mL) | 9.58 ± 3.84 | 9.79 ± 3.88 | 7.93 ± 4.01 | 9.01 ± 3.88 * | −16.99 (−11.79–−27.18) | −8.43 (−6.85–−11.18) * |
| STAT3 expression (fold change) | 5.44 (3.62–8.34) | 6.04 (3.92–8.60) | 3.49 (1.58–6.35) | 4.50 (2.38–7.06) * | −35.85 (−22.76–−56.35) | −25.50 (−17.91–−39.29) * |
| miR-452-3p expression (fold change) | 0.63 (0.43–0.96) | 0.63 (0.46–0.87) | 0.85 (0.60–1.32) | 0.76 (0.59–1.00) * | 38.10 (28.57–45.71) | 20.63 (15.03–28.57) * |
| Clinical Scores | ||||||
| NRS (0-10) | 5.66 ± 0.59 | 5.54 ± 0.72 | 3.98 ± 0.98 | 5.24 ± 0.84 * | −28.57 (−16.67–−40.00) | 0 (0–−16.67) * |
| KOOS subscales (0–100) | ||||||
| Pain | 58.04 ± 7.91 | 59.21 ± 8.58 | 63.66 ± 9.26 | 60.28 ± 8.77 * | 8.77 (4.44–13.33) | 1.85 (0–3.28) * |
| Other symptoms | 67.43 ± 8.05 | 68.49 ± 8.36 | 73.05 ± 9.52 | 69.46 ± 8.52 * | 8.62 (4.05–11.59) | 1.54 (0–2.78) * |
| Function in daily life | 67.17 ± 7.88 | 68.99 ± 7.66 | 72.69 ± 9.23 | 69.63 ± 8.07 * | 7.35 (3.51–12.00) | 1.33 (0–2.78) * |
| Function in sports and recreation | 30.20 ± 4.18 | 30.31 ± 4.33 | 36.06 ± 6.29 | 31.11 ± 4.58 * | 18.75 (8.33–26.47) | 3.03 (0–6.25) * |
| Knee-related quality of life | 35.92 ± 4.58 | 34.87 ± 4.61 | 41.72 ± 7.16 | 35.76 ± 4.93 * | 15.15 (7.41–22.50) | 2.94 (0–5.26) * |
| Clinical Scores | AA (n = 45) | AG + GG (n = 38) | p Value |
|---|---|---|---|
| STAT3 (ng/mL) | −13.52 (−9.18–−16.63) | −27.18 (−22.07–−32.72) | 0.001 * |
| STAT3 expression (fold change) | −23.78 (−19.74–−28.89) | −59.13 (−51.59–−68.46) | 0.001 * |
| miR-452-3p expression (fold change) | 34.78 (28.57–40.00) | 45.42 (25.68–59.00) | 0.001 * |
| NRS (0–10) | −16.67 (−16.67–−20.00) | −40.00 (−33.33–−50.00) | 0.001 * |
| KOOS subscales (0–100) | |||
| Pain | 4.62 (3.13–8.80) | 13.05 (9.94–16.67) | 0.001 * |
| Other symptoms | 4.55 (3.80–8.62) | 11.57 (8.93–13.76) | 0.001 * |
| Function in daily life | 3.80 (2.63–7.48) | 11.30 (8.66–14.47) | 0.001 * |
| Function in sports and recreation | 8.82 (6.70–15.10) | 25.00 (22.05–33.57) | 0.001 * |
| Knee-related quality of life | 7.50 (5.36–12.31) | 23.02 (17.84–29.02) | 0.001 * |
Disclaimer/Publisher’s Note: The statements, opinions and data contained in all publications are solely those of the individual author(s) and contributor(s) and not of MDPI and/or the editor(s). MDPI and/or the editor(s) disclaim responsibility for any injury to people or property resulting from any ideas, methods, instructions or products referred to in the content. |
© 2023 by the authors. Licensee MDPI, Basel, Switzerland. This article is an open access article distributed under the terms and conditions of the Creative Commons Attribution (CC BY) license (https://creativecommons.org/licenses/by/4.0/).
Share and Cite
Wahba, A.S.; Mohamed, D.A.; Mehanna, M.T.; Mesbah, N.M.; Abo-elmatty, D.M.; Mehanna, E.T. Relation of STAT3 rs1053005 Variation and miR-452-3p with Osteoarthritis Susceptibility and Severity and the Clinical Response to High-Molecular-Weight Hyaluronic Acid Injection in Osteoarthritis Patients. Diagnostics 2023, 13, 3544. https://doi.org/10.3390/diagnostics13233544
Wahba AS, Mohamed DA, Mehanna MT, Mesbah NM, Abo-elmatty DM, Mehanna ET. Relation of STAT3 rs1053005 Variation and miR-452-3p with Osteoarthritis Susceptibility and Severity and the Clinical Response to High-Molecular-Weight Hyaluronic Acid Injection in Osteoarthritis Patients. Diagnostics. 2023; 13(23):3544. https://doi.org/10.3390/diagnostics13233544
Chicago/Turabian StyleWahba, Alaa S., Dina A. Mohamed, Mohamed T. Mehanna, Noha M. Mesbah, Dina M. Abo-elmatty, and Eman T. Mehanna. 2023. "Relation of STAT3 rs1053005 Variation and miR-452-3p with Osteoarthritis Susceptibility and Severity and the Clinical Response to High-Molecular-Weight Hyaluronic Acid Injection in Osteoarthritis Patients" Diagnostics 13, no. 23: 3544. https://doi.org/10.3390/diagnostics13233544
APA StyleWahba, A. S., Mohamed, D. A., Mehanna, M. T., Mesbah, N. M., Abo-elmatty, D. M., & Mehanna, E. T. (2023). Relation of STAT3 rs1053005 Variation and miR-452-3p with Osteoarthritis Susceptibility and Severity and the Clinical Response to High-Molecular-Weight Hyaluronic Acid Injection in Osteoarthritis Patients. Diagnostics, 13(23), 3544. https://doi.org/10.3390/diagnostics13233544

