Abstract
Prostate-specific acid phosphatase (PSAP) is a marker for prostate cancer. To assess the specificity and prognostic impact of PSAP, 14,137 samples from 127 different tumor (sub)types, 17,747 prostate cancers, and 76 different normal tissue types were analyzed via immunohistochemistry in a tissue microarray format. In normal tissues, PSAP staining was limited to the prostate epithelial cells. In prostate cancers, PSAP was seen in 100% of Gleason 3 + 3, 95.5% of Gleason 4 + 4, 93.8% of recurrent cancer under androgen deprivation therapy, 91.0% of Gleason 5 + 5, and 31.2% of small cell neuroendocrine cancer. In non-prostatic tumors, PSAP immunostaining was only found in 3.2% of pancreatic neuroendocrine tumors and in 0.8% of diffuse-type gastric adenocarcinomas. In prostate cancer, reduced PSAP staining was strongly linked to an advanced pT stage, a high classical and quantitative Gleason score, lymph node metastasis, high pre-operative PSA levels, early PSA recurrence (p < 0.0001 each), high androgen receptor expression, and TMPRSS2:ERG fusions. A low level of PSAP expression was linked to PSA recurrence independent of pre- and postoperative prognostic markers in ERG-negative cancers. Positive PSAP immunostaining is highly specific for prostate cancer. Reduced PSAP expression is associated with aggressive prostate cancers. These findings make PSAP a candidate marker for prognostic multiparameter panels in ERG-negative prostate cancers.
1. Introduction
Prostate-specific acid phosphatase (PSAP, syn. prostatic acid phosphatase, PAP)—is produced in the epithelial cells of the prostate gland. PSAP dephosphorylates macromolecules in acidic conditions (pH 4–6), but its physiological substrates are not fully known [1,2]. PSAP is assumed to directly influence sperm motility and viability [3]. Alternative splicing generates three types of PSAP transcripts, namely, a transmembrane PSAP, a secretory PSAP, and a cellular PSAP. The molecular mechanisms controlling PSAP protein expression are not completely understood. Factors known to be involved in the regulation of PSAP expression include androgen, androgen receptor, NF-κB, TNF-alpha, and IL-1 factors (summarized in [4,5]).
Due to the specificity of its expression to normal prostate epithelium, immunohistochemical PSAP analysis—along with prostate-specific antigen (PSA)—is often used to prove the prostatic origin of metastatic lesions (summarized in [4]). However, PSAP-negative prostate cancers have been found in 5–41% of cases [6,7,8]. Reduced PSAP expression is especially common in poorly differentiated cancers [9,10]. Accordingly, some studies on 54–78 patients have suggested that reduced PSAP levels may be linked to poor patient prognosis [11,12], although other studies on 19–68 patients have not confirmed these observations [13,14]. The utility of PSAP immunohistochemistry (IHC) for the determination of a tumor’s site of origin has been challenged by reports describing PSAP positivity in up to 40% of colorectal cancers [15], 33% of non-small cell lung cancer (NSCLC) samples [16], 30% of ovarian cancers [15], 10% of pancreatic cancers [15], 13% of breast cancers [16], 40% of renal cancers [16], and 68% of carcinoid tumors of the gastrointestinal tract [17]. Technical factors, such as staining protocols and the antibodies used, and the different definitions of thresholds for positivity, as well as possible selection bias concerning the analyzed tumors, may have caused these discrepancies.
To comprehensively assess the prevalence of PSAP expression in many human tumor types, and to estimate the putative diagnostic value of PSAP IHC in prostate cancer, tissue microarrays (TMAs) made from more than 30,000 tumor samples from 132 different tumor types and subtypes, as well as 76 normal tissue categories, were studied.
2. Materials and Methods
Tissue Microarrays (TMAs). The process of tissue microarray (TMA) manufacturing has been described in detail in previous studies [18,19]. Our normal tissue sample TMA was composed of 8 samples from 8 different donors for each of 76 different normal tissue types (608 samples on one slide). The multi-tumor TMAs contained a total of 13,611 extra-prostatic primary tumors from 127 different tumor types and subtypes. The composition of both normal and multi-tumor TMAs is described in detail in the Results section. In addition, a prognosis TMA built from prostate cancer samples from radical prostatectomy specimens, derived from 17,747 patients [20] who underwent surgery between 1992 and 2014 at the Department of Urology and the Martini Clinic at the University Medical Center Hamburg-Eppendorf, was analyzed. Follow-up data were available from 14,464 (81.5%) of these patients, with a median follow-up period of 48 months. The histopathological and clinical data are summarized in Supplementary Table S1. The molecular database attached to the prostate cancer TMA contained results on androgen receptor (AR) expression (n = 7776, expanded from [21]), ERG expression (n = 13,089, expanded from [22]), and ERG break-apart fluorescence in situ hybridization (FISH) analysis (n = 7225, expanded from [22]). The tissue samples included in this study were retrieved from the archives of the Institutes of Pathology, University Hospital of Hamburg, Germany, the Institute of Pathology, Clinical Center Osnabrueck, Germany, and Department of Pathology, Academic Hospital Fuerth, Germany. All tissue samples were formalin-fixed (4% buffered formalin) and paraffin-embedded. The TMA was manufactured with a tissue spot diameter of 0.6 mm. The usage of anonymized tissue samples for TMA creation and research was approved by local laws (HmbKHG, §12) and by the local ethics committee (Ethics Commission Hamburg, WF-049/09), and the study was carried out in compliance with the Helsinki Declaration.
Immunohistochemistry (IHC). All experiments were carried out on the same day using freshly cut TMA sections. The sections were immersed in xylol for paraffin removal before alcoholic rehydration. Heat-induced antigen retrieval was performed for 5 min in an autoclave at 121 °C in pH 7.8 Dako Target Retrieval SolutionTM (Agilent, CA, USA; #S2367). Dako Peroxidase Blocking SolutionTM (Agilent, CA, USA; #52023) was used to inhibit endogenous peroxidase activity. The primary antibody against PSAP protein (mouse recombinant, MSVA-452M, MS Validated Antibodies, Hamburg, Germany, #2521-452M) was incubated at 37 °C for 60 min at a dilution of 1:150. The bound antibody was detected with the EnVision KitTM (Agilent, CA, USA; #K5007), according to the manufacturer’s directions, before counterstaining the sections with hemalaun. All tissue spots were analyzed by a single experienced pathologist. Several studies have demonstrated that involving multiple pathologists or non-pathologists to read the same TMA slides would not significantly impact the study outcome [23,24,25,26]. For tumor tissues, the percentage of PSAP-positive tumor cells was estimated, and the staining intensity was semi-quantitatively recorded (0, 1+, 2+, 3+). For statistical analyses, the staining results were categorized into four groups, as follows: negative, no staining at all; weak staining, staining intensity of 1+ in ≤ 70% or a staining intensity of 2+ in ≤ 30% of tumor cells; moderate staining, staining intensity of 1+ in > 70%; staining intensity of 2+ in > 30%, but in ≤ 70% or staining intensity of 3+ in ≤ 30% of tumor cells; strong staining, staining intensity of 2+ in > 70% or staining intensity of 3+ in > 30% of tumor cells. For the purposes of antibody validation, the normal tissue TMA was also analyzed for PSAP expression by using the monoclonal mouse anti-PSAP antibody PASE/4LJ (mouse monoclonal, DAKO/Agilent, CA, USA, #M0792, 1:2000, pH high) in the Autostainer Link 48 (Agilent, CA, USA), used according to the manufacturer’s directions.
Statistics. Statistical calculations were performed using the JMP 16.0.0 software (SAS Institute Inc., Cary, NC, USA). Contingency tables and the chi2-test were performed to search for associations between PSAP staining, molecular parameters, and tumor phenotype. Survival curves were calculated according to the Kaplan–Meier model. The log-rank test was applied to detect significant survival differences between groups. Cox proportional hazard regression analysis was performed to test the statistical independence and significance between pathological, molecular, and clinical variables. A p-value of ≤0.05 was considered to be statistically significant.
3. Results
3.1. Technical Issues
Overall, 10,346 (76%) out of 13,611 tumor samples were analyzable in our multi-tumor TMA and 15,455 (87%) out of 17,747 tumor samples were analyzable in our prostate cancer TMA analysis. The rate of interpretable cases was higher for the prostate cancer TMA than for the multi-tumor array (MTA) because the prostate cancer specimens were all taken from prostatectomy specimens, in which the standard block thickness was greater than average. The thickness of the block reflected the length of the tissue cylinders removed during TMA manufacturing and, therefore, the number of sections that could be taken. Reasons for non-interpretable samples included a lack of sufficient amounts of tumor cells or a lack of entire tissue spots in the TMA section. More than three samples of each normal tissue type were evaluable in our normal tissue TMA analysis.
3.2. PSAP in Normal Tissues
Strong cytoplasmic PSAP staining was seen in the prostate glandular cells. The PSAP staining was often not restricted to cancer cells but also involved the stroma. This obviously represents a contamination artifact, which is often seen in the case of very highly expressed proteins [27,28]. Weak cytoplasmic PSAP staining was seen in a few tubular cells in the kidney. PSAP immunostaining was absent in all other tissues, including all epithelial cells of the gastrointestinal and the genitourinary tract, fallopian tube, endometrium, endocervix, placenta, gallbladder, liver, pancreas, salivary and bronchial glands, breast glands, Brunner glands, thyroid, pituitary gland, adrenal gland, parathyroid gland, testis, epididymis, seminal vesicle, non-keratinizing and keratinizing squamous epithelium of various different sites, skin appendices, all mesenchymal tissues, hematopoietic and immune cells, and the brain. All cell types found to be PSAP-positive by MSVA-452M were also positive when using PASE/4LJ. Representative images of PSAP-positive and negative tissues are shown for both antibodies in Figure 1.
Figure 1.
PSAP immunostaining of normal tissues. The panels show a comparison of the immunostaining obtained by two independent PSAP antibodies (MSVA-452M, PASE/4LJ). Using MSVA-452M, strong cytoplasmic PSAP positivity occurred in the acinar epithelial cells, while staining was weaker in some stroma cells of the prostate (A), and focal cytoplasmic staining (arrow) was seen in a few tubular cells of the kidney (B). PSAP staining was absent in the colon mucosa (C). Using clone PASE/4LJ, staining of the identical cell types was seen in the prostate (D) and the kidney (E), while the colon mucosa was also negative (F). Images (A–F) are taken from consecutive tissue sections.
3.3. PSAP in Neoplastic Tissues
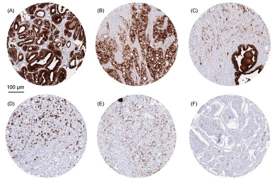
PSAP staining was almost exclusively seen in prostate cancers, with PSAP positivity in 96.9% of 15,455 prostate cancers, and only occurred in 2 of the 127 evaluated extra-prostatic tumor categories (diffuse-type gastric adenocarcinoma and neuroendocrine tumors of the pancreas; Table 1, Supplementary Figure S1). In prostate cancers, the rate of positivity decreased from Gleason 3 + 3 (100%) to Gleason 4 + 4 (95.5%), as with recurrent prostate cancer under androgen deprivation therapy (93.8%), Gleason 5 + 5 = 10 (91.0%), and small cell neuroendocrine (31.2%) prostate cancer. PSAP staining was only seen in 4 (0.03%) out of 13,611 extra-prostatic primary tumors from 2 different tumor categories. PSAP-positive extra-prostatic cancers included 3 of 94 (3.2%) neuroendocrine tumors of the pancreas and 1 of 129 (0.8%) gastric adenocarcinomas (Table 1, Supplementary Figure S1). Figure 2 shows examples of PSAP-positive tumors.
Table 1.
PSAP immunostaining in human tumors.
Figure 2.
PSAP immunostaining in cancer. The panels show strong cytoplasmic PSAP positivity in Gleason 3 + 3 = 6 (A) and Gleason 5 + 5 = 10 (B) adenocarcinomas of the prostate, while PSAP staining is markedly decreased compared to a normal prostatic gland in another Gleason 5 + 5 = 10 cancer (C). Cytoplasmic PSAP staining of variable intensity is also seen in diffuse-type gastric adenocarcinoma (D) and two neuroendocrine tumors of the pancreas (E,F).
3.4. PSAP, Tumor Phenotype, and Patient Outcome in Prostate Cancer
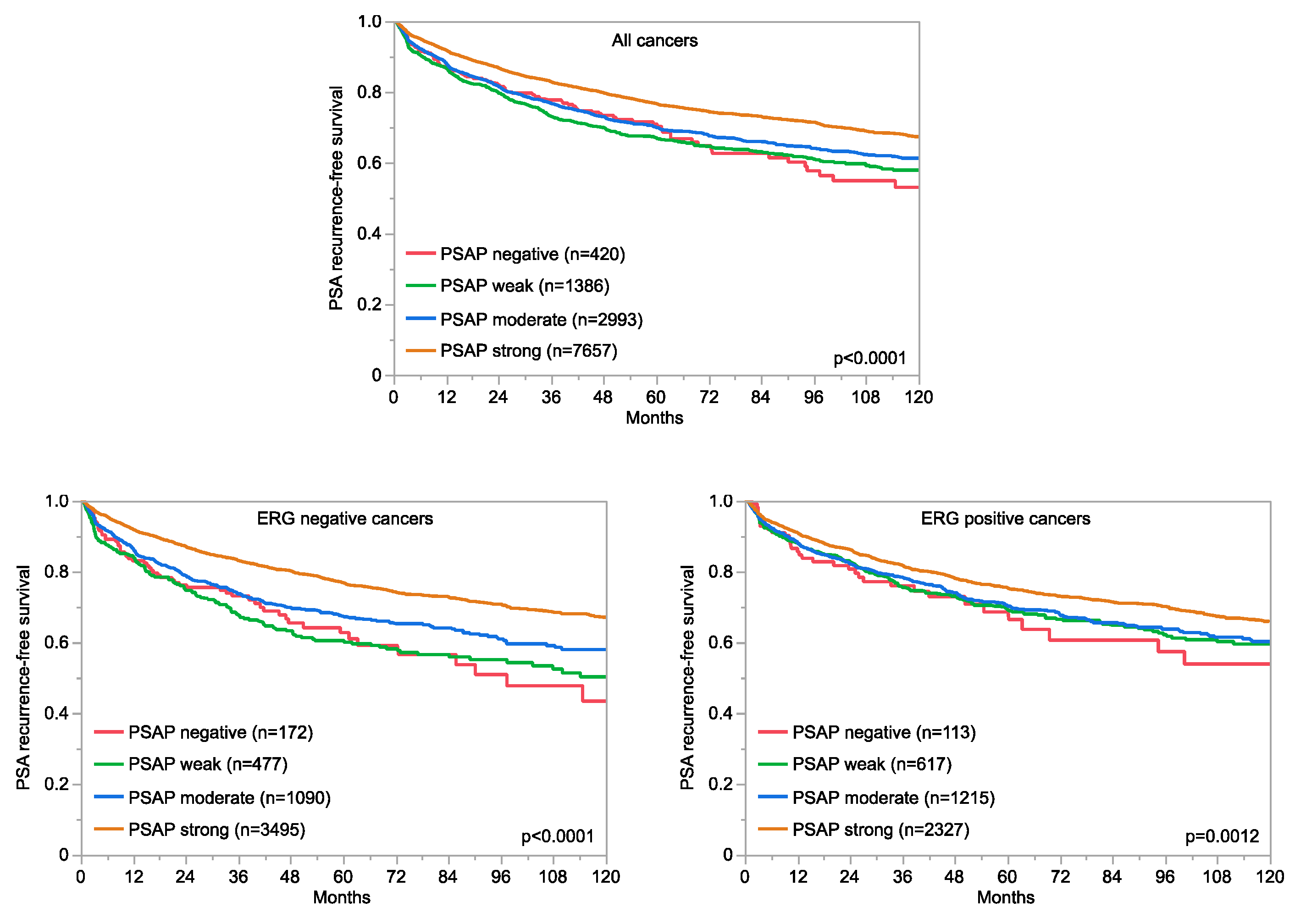
Prognostic information was available for 12,457 (80.6%) of the 15,455 successfully analyzed prostate cancers. In these tumors, PSAP staining was absent in 3.4%, weak in 11.1%, moderate in 24.1%, and strong in 61.4% of cases. A low level of PSAP staining was significantly linked to a high Gleason score (p < 0.0001), advanced pT stage (p < 0.0001), nodal metastasis (p < 0.0001), high preoperative PSA values (p < 0.0001), and early PSA recurrence (Table 2 and Figure 3 p < 0.0001). Because a low level of PSAP immunostaining was strongly linked to TMPRSS2:ERG fusion, as detected by IHC and FISH (p < 0.0001 each; Supplementary Figure S2), associations with tumor phenotype and prognosis were also separately analyzed in cohorts of ERG-negative and positive tumors (Supplementary Tables S2 and S3). These analyses showed that the link between reduced PSAP expression and unfavorable tumor features was mainly driven by ERG-negative tumors. In addition, the association with PSA recurrence was stronger in ERG-negative (Figure 3; p < 0.0001) than in ERG-positive cancers (p = 0.0012; Figure 3). A low level of PSAP immunostaining was also associated with high androgen receptor levels in both ERG-negative (p < 0.0001) and ERG-positive cancers (p < 0.0001, Figure 4).
Table 2.
PSAP immunostaining and the prostate cancer phenotype.
Figure 3.
PSAP immunostaining and prognosis in prostate cancer.
Figure 4.
PSAP and androgen receptor immunostaining.
3.5. Multivariate Analysis
To evaluate the clinical relevance of PSAP expression, multivariate analyses modeling the different clinical scenarios were carried out. Scenario 1 included all postoperatively available parameters, including pT, pN, surgical margin status, preoperative PSA value, and Gleason grade obtained after a morphological evaluation of the entire resected prostate. Scenario 2 included all postoperatively available parameters with the exception of pN. Our approach was based on the fact that the indication and extent of lymph node dissection is not standardized regarding surgical therapy for prostate cancer. Case numbers can also be increased if the nodal stage is excluded from multivariate analyses. We also calculated an additional scenario to recreate the preoperative situation as closely as possible. The third scenario included preoperative PSA, clinical tumor stage (cT stage), and the Gleason grade obtained from the prostatectomy specimen. Because the definite Gleason grade obtained from the prostatectomy specimen is more precise than the Gleason grade from the pre-surgical biopsy (which is prone to sampling errors and consequent under-grading in more than one-third of cases [29]), we added a fourth scenario, in which the preoperative Gleason grade obtained on the original biopsy was combined with preoperative PSA and clinical (cT) tumor stage. In ERG-negative cancers, low PSAP proved to be an independent predictor of poor prognosis in scenarios 2, 3, and 4, while PSAP measurement did not provide independent prognostic information in ERG-positive cancers (Supplementary Table S4).
4. Discussion
Our analysis identified PSAP positivity in 96.9% of 15,455 prostate cancers. This fits well with earlier data describing PSAP positivity in 59–95% of prostate cancers [6,7,8]. Altogether, these data identify PSAP immunohistochemistry as a highly sensitive marker for the identification of the prostatic origin of cancerous tissue, such as metastases of unknown origin. That only 4 of 13,611 extra-prostatic cancers showed PSAP immunostaining demonstrates that our PSAP assay exhibits a high (99.97%) level of specificity for prostate cancer. Among 127 surveyed extra-prostatic tumor entities, PSAP positivity was only observed in one of 129 (0.8%) gastric adenocarcinomas and in 3 of 94 (3.2%) pancreatic neuroendocrine tumors. Earlier studies have described PSAP expression in 0–11% of pancreatic neuroendocrine tumors [17,30], while two studies failed to find PSAP expression in gastric adenocarcinomas [30,31]. It is noteworthy that PSAP expression has earlier been described to occur at relevant frequencies in various other tumor entities, including colorectal cancers, NSCLC cancers, ovarian cancers, pancreatic cancers, breast cancers, renal cancers, and carcinoid tumors of the gastrointestinal tract (studies summarized in Supplementary Figure S3). Although high numbers of several of these entities were analyzed in our study, we were unable to identify any PSAP-positive cases. That the fraction of IHC-positive tumors varies between studies reflects several inherent issues of immunohistochemistry (summarized in [32]). Published data on the immunohistochemically determined positivity rates are, thus, highly variable for most, if not all, proteins that have been analyzed in several different laboratories [33,34].
With respect to the very large numbers of samples included in our study, we carefully validated our immunohistochemical PSAP assay before the TMAs were stained.
Our validation approach followed the recommendations of the International Working Group for Antibody Validation (IWGAV). It was proposed that antibody validation should include a comparison of two different independent antibodies or, alternatively, a comparison between IHC and the expression data obtained by another independent method [35]. We applied both approaches in this project. RNA data that were obtained in three independent RNA screening studies, including the Human Protein Atlas (HPA) RNA-seq tissue dataset [36], the FANTOM5 project [37], and the Genotype-Tissue Expression (GTEx) project [38] are particularly useful for the validation of immunostaining obtained from antibodies that are directed against highly tissue-specific proteins such as PSAP. These studies had identified PSAP RNA only in the prostate and, to a very small extent, in the kidney (https://www.proteinatlas.org/ENSG00000014257-ACP3/summary/rna (accessed on 7 July 2023)). We employed two different antibodies for the purpose of validating our IHC assay. That the IHC analysis of normal tissues resulted in the complete restriction of PSAP staining to these organs, and that the same cell types as detected by MSVA-452M were also positive by PASE/4LJ, strongly validates our assay. The use of a very broad range of 76 different normal tissues for antibody validation ensures a high likelihood of detecting undesired cross-reactivities because virtually all proteins occurring in the normal cells of adult humans were subjected to our validation experiment.
Our data also show that the PSAP expression level in tumor cells is a strong prognostic feature in prostate cancer. It remains unclear why cancers with reduced PSAP expression show higher tumor aggressiveness. Functional in vitro and in vivo studies have found a relationship between reduced or absent PSAP expression and the elevated phosphorylation of ErbB-2 and PI3K, increased cell growth, increased tumorigenicity, and the development of prostatic intraepithelial neoplasia (PIN) and adenocarcinoma in situ (CIS) (summarized in [5]). Since PSAP production is an important function of normal glandular cells of the prostate, one might also speculate that a deficiency in PSAP production might represent a subtle sign of cellular dedifferentiation. In that case, PSAP loss would represent a differentiation marker, rather than indicating the tumor-protective role of PSAP in prostate epithelial cells.
The availability of molecular data derived from previous studies utilizing the same set of TMAs enabled us to assess the associations between PSAP expression and molecular features of particular interest. We chose TMPRSS2:ERG fusion because this is the most frequent molecular alteration found in prostate cancer, and IHC data on AR expression because of its known interaction with PSAP. Finding a strong association between decreased PSAP expression and high levels of the androgen receptor protein is consistent with earlier functional data. Henttu et al. showed decreased PSAP expression in androgen-treated LNCaP cells, suggesting the negative regulation of PSAP expression by AR [39]. In addition, it has been suggested that decreased PSAP expression in hormone-refractory prostate cancer cells, which express functional AR, leads to the hyperphosphorylation of HER-2 and the androgen-independent activation of AR-signaling (summarized in [40]).
This TMPRSS2:ERG fusion affects approximately half of all prostate cancers and predominates in patients of a younger age. The fusion causes the expression of the transcription factor ERG [41,42], which governs the activity of more than 1600 genes in prostate epithelial cells [22,43]. Our data identify the PSAP protein as ERG-dependent, with higher expression levels in ERG-negative than in ERG-positive cancers. That the prognostic role of PSAP was particularly strong in ERG-negative but was less prominent in ERG-positive cancers is in line with various earlier studies describing prognostic molecular features in prostate cancer that were either restricted to ERG-positive [44,45,46] or ERG-negative cancers [47,48]. These observations could be explained by activating or mitigating the effects of ERG-regulated proteins on the biological effects of various molecular features that can impact cancer aggressiveness. This dependence of the prognostic impact of individual biomarkers on specific molecular tumor characteristics may pose a major challenge for the development of prognostic cancer tests that can be used for any prostate cancer patient.
As the prognostic information derived from PSAP measurement was independent of established prognostic features in ERG-negative cancers, our data suggest that the quantification of PSAP protein levels may provide clinically useful information for this group of patients. In the future, we expect that multiparameter tests combining the analysis of multiple different prognostic tumor features may deliver enough relevant prognostic information to leverage its routine use in the evaluation of newly diagnosed prostate cancers. The rapidly emerging field of multicolor immunohistochemistry, allowing the simultaneous tumor cell-specific measurement of up to 40 protein markers, may prove to be particularly useful for such measurements (summarized in [49]).
5. Conclusions
Our data show the high sensitivity and specificity of PSAP IHC for the distinction of prostate carcinoma from other tumor entities. The independent association of decreased PSAP expression with adverse outcomes in ERG-negative prostate cancer makes PSAP measurement a candidate marker for inclusion in multiparameter prognostic panels.
Supplementary Materials
The following supporting information can be downloaded at: https://www.mdpi.com/article/10.3390/diagnostics13203242/s1, Supplementary Table S1: Composition of the prostate cancer tissue microarray; Supplementary Table S2: PSAP and phenotype in ERG-negative prostate cancers; Supplementary Table S3: PSAP immunostaining and phenotype in ERG-positive prostate cancers; Supplementary Table S4: Multivariate analyses; Supplementary Figure S1: Ranking order of PSAP immunostaining in cancers. Both the percentage of positive cases (blue dots) and the percentage of strongly positive cases (orange dots) are shown; Supplementary Figure S2: PSAP immunostaining vs. TMPRSS2:ERG fusion; Supplementary Figure S3: Comparison of previous PSAP-related literature. An “X” indicates the fraction of PSAP-positive cancers in the present study, while dots indicate the frequencies reported in the literature for comparison: red dots mark studies with ≤25 analyzed tumors and yellow dots mark studies with >25 analyzed tumors.
Author Contributions
L.S.T., C.v.B., R.S., M.K. and G.S.: contributed to the conception, design, data collection, data analysis and manuscript writing. L.S.T., M.L., D.H., N.d.W., S.D.R., C.B., S.K., V.R., F.V., F.L., V.B., C.F., N.G., S.W., A.M., R.U., T.K., A.H., E.B., S.S., A.H.M., P.L., D.D., S.M., F.J. and T.S.C.: participated in the pathology data analysis, data interpretation, and collection of samples. R.S., M.K. and C.H.-M.: data analysis. C.B., R.S. and G.S: study supervision. All authors agree to be accountable for the content of the work. All authors have read and agreed to the published version of the manuscript.
Funding
This research received no external funding.
Institutional Review Board Statement
The usage of archived diagnostic left-over tissues for manufacturing of TMAs and their analysis for research purposes as well as patient data analysis has been approved by local laws (HmbKHG, §12,1) and by the local ethics committee (Ethics Commission Hamburg, WF-049/09). All work has been carried out in compliance with the Helsinki Declaration.
Informed Consent Statement
Patient consent was waived due to local laws (HmbKHG, §12,1) that permit research with anonymized diagnostic left-over tissue samples.
Data Availability Statement
Raw data can be made available on reasonable request.
Acknowledgments
We are grateful to Melanie Witt, Inge Brandt, Maren Eisenberg, and Sünje Seekamp for excellent technical assistance.
Conflicts of Interest
The PSAP antibody (clone, MSVA-452M) was provided by MS Validated Antibodies GmbH (owned by a family member of G.S.).
References
- Vihko, P.; Kontturi, M.; Korhonen, L.K. Purification of human prostatic acid phosphatase by affinity chromatography and isoelectric focusing. Part I. Clin. Chem. 1978, 24, 466–470. [Google Scholar] [CrossRef]
- Zelivianski, S.; Comeau, D.; Lin, M.F. Cloning and analysis of the promoter activity of the human prostatic acid phosphatase gene. Biochem. Biophys. Res. Commun. 1998, 245, 108–112. [Google Scholar] [CrossRef]
- Kumar, V.; Kumar, P.G.; Yadav, J.K. Impact of semen-derived amyloid (SEVI) on sperm viability and motility: Its implication in male reproductive fitness. Eur. Biophys. J. 2019, 48, 659–671. [Google Scholar] [CrossRef]
- Kong, H.Y.; Byun, J. Emerging roles of human prostatic Acid phosphatase. Biomol. Ther. 2013, 21, 10–20. [Google Scholar] [CrossRef]
- Muniyan, S.; Ingersoll, M.A.; Batra, S.K.; Lin, M.F. Cellular prostatic acid phosphatase, a PTEN-functional homologue in prostate epithelia, functions as a prostate-specific tumor suppressor. Biochim. Biophys. Acta 2014, 1846, 88–98. [Google Scholar] [CrossRef]
- Genega, E.M.; Hutchinson, B.; Reuter, V.E.; Gaudin, P.B. Immunophenotype of high-grade prostatic adenocarcinoma and urothelial carcinoma. Mod. Pathol. 2000, 13, 1186–1191. [Google Scholar] [CrossRef]
- Yam, L.T.; Janckila, A.J.; Lam, W.K.; Li, C.Y. Immunohistochemistry of prostatic acid phosphatase. Prostate 1981, 2, 97–107. [Google Scholar] [CrossRef]
- Shevchuk, M.M.; Romas, N.A.; Ng, P.Y.; Tannenbaum, M.; Olsson, C.A. Acid phosphatase localization in prostatic carcinoma. A comparison of monoclonal antibody to heteroantisera. Cancer 1983, 52, 1642–1646. [Google Scholar] [CrossRef]
- Bates, R.J.; Chapman, C.M.; Prout, G.R.; Lin, C.W., Jr. Immunohistochemical identification of prostatic acid phosphatase: Correlation of tumor grade with acid phosphatase distribution. J. Urol. 1982, 127, 574–580. [Google Scholar] [CrossRef]
- Hara, M. Correlation of vessel invasion and bone metastasis in prostatic adenocarcinoma. A clinico-pathological and immunohistochemical study of 33 cases of total prostatectomy. Nihon Hinyokika Gakkai Zasshi 1989, 80, 1011–1016. [Google Scholar]
- Gunia, S.; Koch, S.; May, M.; Dietel, M.; Erbersdobler, A. Expression of prostatic acid phosphatase (PSAP) in transurethral resection specimens of the prostate is predictive of histopathologic tumor stage in subsequent radical prostatectomies. Virchows Arch. 2009, 454, 573–579. [Google Scholar] [CrossRef]
- Sakai, H.; Shiraishi, K.; Minami, Y.; Yushita, Y.; Kanetake, H.; Saito, Y. Immunohistochemical prostatic acid phosphatase level as a prognostic factor of prostatic carcinoma. Prostate 1991, 19, 265–272. [Google Scholar] [CrossRef]
- Mohler, J.L.; Partin, A.W.; Epstein, J.I.; Becker, R.L.; Mikel, U.V.; Sesterhenn, I.A.; Mostofi, F.K.; Gleason, D.F.; Sharief, Y.; Coffey, D.S. Prediction of prognosis in untreated stage A2 prostatic carcinoma. Cancer 1992, 69, 511–519. [Google Scholar] [CrossRef] [PubMed]
- Sauvageot, J.; Epstein, J.I. Immunoreactivity for prostate-specific antigen and prostatic acid phosphatase in adenocarcinoma of the prostate: Relation to progression following radical prostatectomy. Prostate 1998, 34, 29–33. [Google Scholar] [CrossRef]
- Graddis, T.J.; McMahan, C.J.; Tamman, J.; Page, K.J.; Trager, J.B. Prostatic acid phosphatase expression in human tissues. Int. J. Clin. Exp. Pathol. 2011, 4, 295–306. [Google Scholar] [CrossRef]
- May, E.E.; Perentes, E. Anti-Leu 7 immunoreactivity with human tumours: Its value in the diagnosis of prostatic adenocarcinoma. Histopathology 1987, 11, 295–304. [Google Scholar] [CrossRef]
- Kimura, N.; Sasano, N. Prostate-specific acid phosphatase in carcinoid tumors. Virchows Arch. A Pathol. Anat. Histopathol. 1986, 410, 247–251. [Google Scholar] [CrossRef]
- Bubendorf, L.; Nocito, A.; Moch, H.; Sauter, G. Tissue microarray (TMA) technology: Miniaturized pathology archives for high-throughput in situ studies. J. Pathol. 2001, 195, 72–79. [Google Scholar] [CrossRef]
- Kononen, J.; Bubendorf, L.; Kallioniemi, A.; Barlund, M.; Schraml, P.; Leighton, S.; Torhorst, J.; Mihatsch, M.J.; Sauter, G.; Kallionimeni, O.-P. Tissue microarrays for high-throughput molecular profiling of tumor specimens. Nat. Med. 1998, 4, 844–847. [Google Scholar] [CrossRef]
- Freytag, M.; Kluth, M.; Bady, E.; Hube-Magg, C.; Makrypidi-Fraune, G.; Heinzer, H.; Höflmayer, D.; Weidemann, S.; Uhlig, R.; Huland, H.; et al. Epithelial splicing regulatory protein 1 and 2 (ESRP1 and ESRP2) upregulation predicts poor prognosis in prostate cancer. BMC Cancer 2020, 20, 1220. [Google Scholar] [CrossRef]
- Minner, S.; Enodien, M.; Sirma, H.; Luebke, A.M.; Krohn, A.; Mayer, P.S.; Simon, R.; Tennstedt, P.; Müller, J.; Scholz, L.; et al. ERG status is unrelated to PSA recurrence in radically operated prostate cancer in the absence of antihormonal therapy. Clin. Cancer Res. 2011, 17, 5878–5888. [Google Scholar] [CrossRef]
- Weischenfeldt, J.; Simon, R.; Feuerbach, L.; Schlangen, K.; Weichenhan, D.; Minner, S.; Wuttig, D.; Warnatz, H.-J.; Stehr, H.; Rausch, T.; et al. Integrative genomic analyses reveal an androgen-driven somatic alteration landscape in early-onset prostate cancer. Cancer Cell 2013, 23, 159–170. [Google Scholar] [CrossRef]
- Jenniskens, J.C.A.; Offermans, K.; Samarska, I.; Fazzi, G.E.; Simons, C.; Smits, K.M.; Schouten, L.J.; Weijenberg, M.P.; Brandt, P.A.v.D.; Grabsch, H.I. Validity and Reproducibility of Immunohistochemical Scoring by Trained Non-Pathologists on Tissue Microarrays. Cancer Epidemiol. Biomark. Prev. 2021, 30, 1867–1874. [Google Scholar] [CrossRef]
- Chung, Y.R.; Jang, M.H.; Park, S.Y.; Gong, G.; Jung, W.H. Korean Breast Pathology Ki-67 Study, G. Interobserver Variability of Ki-67 Measurement in Breast Cancer. J. Pathol. Transl. Med. 2016, 50, 129–137. [Google Scholar] [CrossRef]
- Turashvili, G.; Leung, S.; Turbin, D.; Montgomery, K.; Gilks, B.; West, R.; Carrier, M.; Huntsman, D.; Aparicio, S. Inter-observer reproducibility of HER2 immunohistochemical assessment and concordance with fluorescent in situ hybridization (FISH): Pathologist assessment compared to quantitative image analysis. BMC Cancer 2009, 9, 165. [Google Scholar] [CrossRef]
- Marin, C.; Beauchet, A.; Capper, D.; Zimmermann, U.; Julie, C.; Ilie, M.; Saiag, P.; von Deimling, A.; Hofman, P.; Emile, J.-F. Detection of BRAF p.V600E Mutations in Melanoma by Immunohistochemistry Has a Good Interobserver Reproducibility. Arch. Pathol. Lab. Med. 2014, 138, 71–75. [Google Scholar] [CrossRef]
- Uhlig, R.; Contreras, H.; Weidemann, S.; Gorbokon, N.; Menz, A.; Buscheck, F.; Luebke, A.M.; Kluth, M.; Hube-Magg, C.; Hinsch, A.; et al. Carboxypeptidase A1 (CPA1) Immunohistochemistry Is Highly Sensitive and Specific for Acinar Cell Carcinoma (ACC) of the Pancreas. Am. J. Surg. Pathol. 2022, 46, 97–104. [Google Scholar] [CrossRef]
- Steurer, S.; Schneider, J.; Buscheck, F.; Luebke, A.M.; Kluth, M.; Hube-Magg, C.; Hinsch, A.; Höflmayer, D.; Weidemann, S.; Fraune, C.; et al. Immunohistochemically detectable thyroglobulin expression in extrathyroidal cancer is 100% specific for thyroidal tumor origin. Ann. Diagn. Pathol. 2021, 54, 151793. [Google Scholar] [CrossRef]
- Epstein, J.I.; Feng, Z.; Trock, B.J.; Pierorazio, P.M. Upgrading and downgrading of prostate cancer from biopsy to radical prostatectomy: Incidence and predictive factors using the modified Gleason grading system and factoring in tertiary grades. Eur. Urol. 2012, 61, 1019–1024. [Google Scholar] [CrossRef]
- Haines, A.M.; Larkin, S.E.; Richardson, A.P.; Stirling, R.W.; Heyderman, E. A novel hybridoma antibody (PASE/4LJ) to human prostatic acid phosphatase suitable for immunohistochemistry. Br. J. Cancer 1989, 60, 887–892. [Google Scholar] [CrossRef]
- Seipel, A.H.; Samaratunga, H.; Delahunt, B.; Wiklund, P.; Clements, M.; Egevad, L. Immunohistochemistry of ductal adenocarcinoma of the prostate and adenocarcinomas of non-prostatic origin: A comparative study. APMIS 2016, 124, 263–270. [Google Scholar] [CrossRef]
- Ramos-Vara, J.A.; Miller, M.A. When tissue antigens and antibodies get along: Revisiting the technical aspects of immunohistochemistry—The red, brown, and blue technique. Vet. Pathol. 2014, 51, 42–87. [Google Scholar] [CrossRef]
- Steurer, S.; Riemann, C.; Buscheck, F.; Luebke, A.M.; Kluth, M.; Hube-Magg, C.; Hinsch, A.; Höflmayer, D.; Weidemann, S.; Fraune, C.; et al. p63 expression in human tumors and normal tissues: A tissue microarray study on 10,200 tumors. Biomark. Res. 2021, 9, 7. [Google Scholar] [CrossRef]
- Rico, S.D.; Mahnken, M.; Buscheck, F.; Dum, D.; Luebke, A.M.; Kluth, M.; Hube-Magg, C.; Hinsch, A.; Höflmayer, D.; Möller-Koop, C.; et al. MUC5AC Expression in Various Tumor Types and Nonneoplastic Tissue: A Tissue Microarray Study on 10 399 Tissue Samples. Technol. Cancer Res. Treat. 2021, 20, 15330338211043328. [Google Scholar] [CrossRef]
- Uhlen, M.; Bandrowski, A.; Carr, S.; Edwards, A.; Ellenberg, J.; Lundberg, E.; Rimm, D.L.; Rodriguez, H.; Hiltke, T.; Snyder, M.; et al. A proposal for validation of antibodies. Nat. Methods 2016, 13, 823–827. [Google Scholar] [CrossRef] [PubMed]
- Thul, P.J.; Akesson, L.; Wiking, M.; Mahdessian, D.; Geladaki, A.; Ait Blal, H.; Alm, T.; Asplund, A.; Björk, L.; Breckels, L.M.; et al. A subcellular map of the human proteome. Science 2017, 356, eaal3321. [Google Scholar] [CrossRef] [PubMed]
- Lizio, M.; Abugessaisa, I.; Noguchi, S.; Kondo, A.; Hasegawa, A.; Hon, C.C.; de Hoon, M.; Severin, J.; Oki, S.; Hayashizaki, Y.; et al. Update of the FANTOM web resource: Expansion to provide additional transcriptome atlases. Nucleic Acids Res. 2019, 47, D752–D758. [Google Scholar] [CrossRef] [PubMed]
- Consortium, G.T. The Genotype-Tissue Expression (GTEx) project. Nat. Genet. 2013, 45, 580–585. [Google Scholar]
- Henttu, P.; Vihko, P. Steroids inversely affect the biosynthesis and secretion of human prostatic acid phosphatase and prostate-specific antigen in the LNCaP cell line. J. Steroid Biochem. Mol. Biol. 1992, 41, 349–360. [Google Scholar] [CrossRef]
- Veeramani, S.; Yuan, T.C.; Chen, S.J.; Lin, F.F.; Petersen, J.E.; Shaheduzzaman, S.; Srivastava, S.; MacDonald, R.G.; Lin, M.-F. Cellular prostatic acid phosphatase: A protein tyrosine phosphatase involved in androgen-independent proliferation of prostate cancer. Endocr. Relat. Cancer 2005, 12, 805–822. [Google Scholar] [CrossRef]
- Tomlins, S.A.; Rhodes, D.R.; Perner, S.; Dhanasekaran, S.M.; Mehra, R.; Sun, X.W.; Varambally, S.; Cao, X.; Tchinda, J.; Kuefer, R.; et al. Recurrent fusion of TMPRSS2 and ETS transcription factor genes in prostate cancer. Science 2005, 310, 644–648. [Google Scholar] [CrossRef] [PubMed]
- Steurer, S.; Mayer, P.S.; Adam, M.; Krohn, A.; Koop, C.; Ospina-Klinck, D.; Tehrani, A.A.; Simon, R.; Tennstedt, P.; Graefen, M.; et al. TMPRSS2-ERG fusions are strongly linked to young patient age in low-grade prostate cancer. Eur. Urol. 2014, 66, 978–981. [Google Scholar] [CrossRef] [PubMed]
- Brase, J.C.; Johannes, M.; Mannsperger, H.; Falth, M.; Metzger, J.; Kacprzyk, L.A.; Andrasiuk, T.; Gade, S.; Meister, M.; Sirma, H.; et al. TMPRSS2-ERG -specific transcriptional modulation is associated with prostate cancer biomarkers and TGF-beta signaling. BMC Cancer 2011, 11, 507. [Google Scholar] [CrossRef]
- Kind, S.; Buscheck, F.; Hoflmayer, D.; Hube-Magg, C.; Kluth, M.; Tsourlakis, M.C.; Steurer, S.; Clauditz, T.S.; Luebke, A.M.; Burandt, E.; et al. Claudin-1 upregulation is associated with favorable tumor features and a reduced risk for biochemical recurrence in ERG-positive prostate cancer. World J. Urol. 2020, 38, 2185–2196. [Google Scholar] [CrossRef] [PubMed]
- Burdelski, C.; Bujupi, E.; Tsourlakis, M.C.; Hube-Magg, C.; Kluth, M.; Melling, N.; Lebok, P.; Minner, S.; Koop, C.; Graefen, M.; et al. Loss of SOX9 Expression Is Associated with PSA Recurrence in ERG-Positive and PTEN Deleted Prostate Cancers. PLoS ONE 2015, 10, e0128525. [Google Scholar] [CrossRef]
- Burdelski, C.; Menan, D.; Tsourlakis, M.C.; Kluth, M.; Hube-Magg, C.; Melling, N.; Minner, S.; Koop, C.; Graefen, M.; Heinzer, H.; et al. The prognostic value of SUMO1/Sentrin specific peptidase 1 (SENP1) in prostate cancer is limited to ERG-fusion positive tumors lacking PTEN deletion. BMC Cancer 2015, 15, 538. [Google Scholar] [CrossRef]
- Tsourlakis, M.C.; Eleftheriadou, A.; Stender, A.; Weigand, P.; Grupp, K.; Hube-Magg, C.; Kluth, M.; Schroeder, C.; Steurer, S.; Hinsch, A.; et al. FOXA1 expression is a strong independent predictor of early PSA recurrence in ERG negative prostate cancers treated by radical prostatectomy. Carcinogenesis 2017, 38, 1180–1187. [Google Scholar] [CrossRef]
- Sirma, H.; Broemel, M.; Stumm, L.; Tsourlakis, T.; Steurer, S.; Tennstedt, P.; Salomon, G.; Michl, U.; Haese, A.; Simon, R.; et al. Loss of CDKN1B/p27Kip1 expression is associated with ERG fusion-negative prostate cancer, but is unrelated to patient prognosis. Oncol. Lett. 2013, 6, 1245–1252. [Google Scholar] [CrossRef]
- Tan, W.C.C.; Nerurkar, S.N.; Cai, H.Y.; Ng, H.H.M.; Wu, D.; Wee, Y.T.F.; Lim, J.C.T.; Yeong, J.; Lim, T.K.H. Overview of multiplex immunohistochemistry/immunofluorescence techniques in the era of cancer immunotherapy. Cancer Commun. 2020, 40, 135–153. [Google Scholar] [CrossRef]
Disclaimer/Publisher’s Note: The statements, opinions and data contained in all publications are solely those of the individual author(s) and contributor(s) and not of MDPI and/or the editor(s). MDPI and/or the editor(s) disclaim responsibility for any injury to people or property resulting from any ideas, methods, instructions or products referred to in the content. |
© 2023 by the authors. Licensee MDPI, Basel, Switzerland. This article is an open access article distributed under the terms and conditions of the Creative Commons Attribution (CC BY) license (https://creativecommons.org/licenses/by/4.0/).



