Development and Characterization of Interstitial-Fluid-Mimicking Solutions for Pre-Clinical Assessment of Hypoxia
Abstract
:1. Introduction
2. Materials and Methods
2.1. Selection of Mimicking Materials
2.2. Preparation of Buffers
2.3. Measurement Setup
3. Results and Discussion
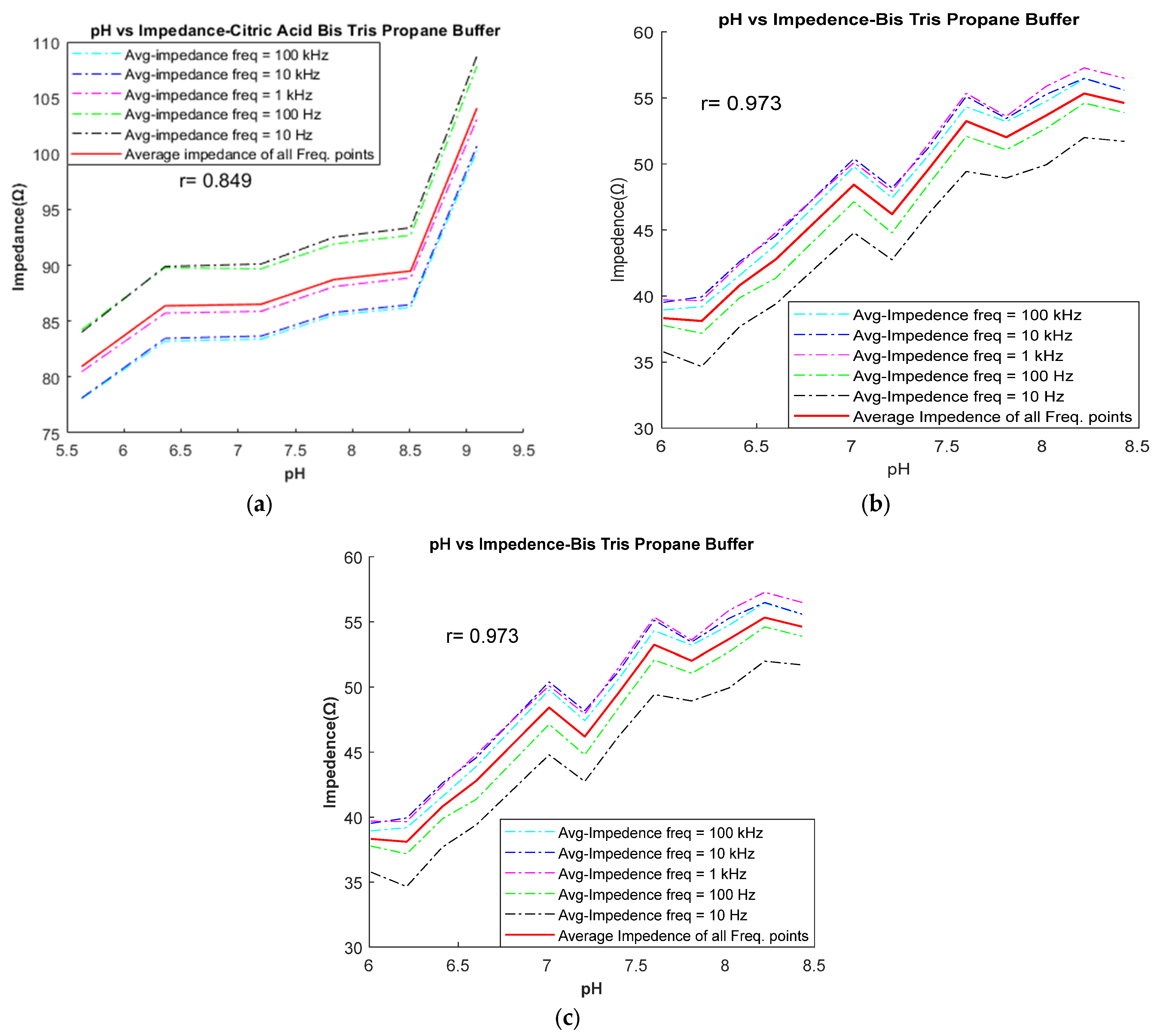
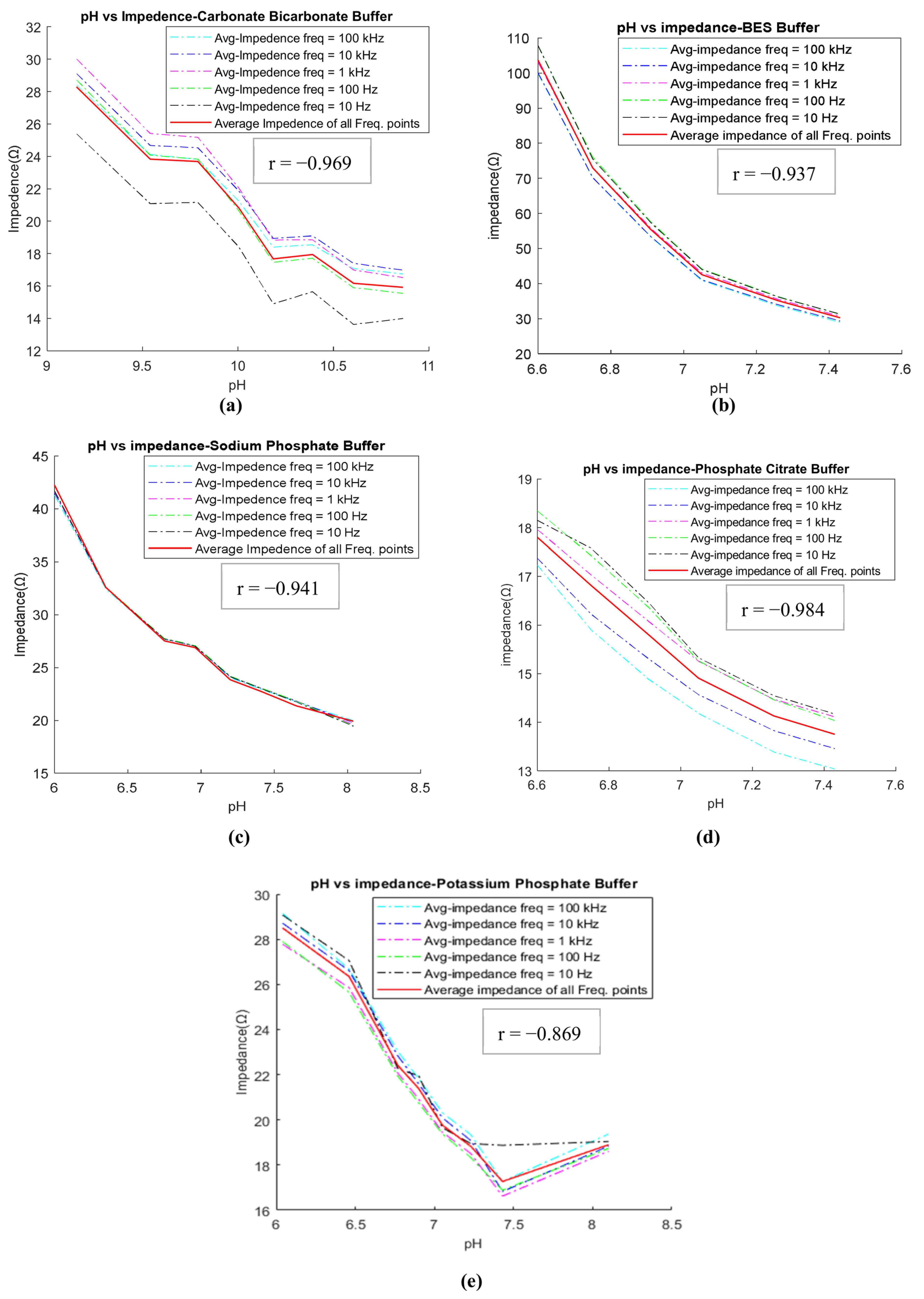
3.1. Impedance Measurement of Buffer Solutions
3.2. Selection of ISF-Mimicking Solutions Based on Impedance Measurements
3.3. Selection of ISF-Mimicking Solutions Based on Conductivity Measurements
3.3.1. Assessing Acidosis Effect through ISF-Mimicking Solutions with Actual pH Values
3.3.2. Evaluating Acidosis Effect in pH-Adjusted Mimicked Solutions Using HCl
3.3.3. Assessing Alkalosis Effect through ISF-Mimicking Solutions with Actual pH Values
3.3.4. Assessing Alkalosis Effect in pH-Adjusted Mimicked Solutions Using NaOH
4. Conclusions and Future Work
Author Contributions
Funding
Institutional Review Board Statement
Informed Consent Statement
Data Availability Statement
Conflicts of Interest
References
- Fattuoni, C.; Palmas, F.; Noto, A.; Fanos, V.; Barberini, L. Perinatal Asphyxia: A Review from a Metabolomics Perspective. Molecules 2015, 20, 7000–7016. [Google Scholar] [CrossRef] [PubMed]
- Herrera, C.A.; Silver, R.M. Perinatal Asphyxia from the Obstetric Standpoint: Diagnosis and Interventions. Clin. Perinatol. 2016, 43, 423–438. [Google Scholar] [CrossRef] [PubMed]
- Boskabadi, H.; Zakerihamidi, M.; Mobarhan, M.G.; Bagheri, F.; Moradi, A.; Toosi, M.B. Comparison of new biomarkers in the diagnosis of perinatal asphyxia. Iran. J. Child Neurol. 2023, 17, 99–110. [Google Scholar] [CrossRef] [PubMed]
- Lehtonen, L.; Gimeno, A.; Parra-Llorca, A.; Vento, M. Early neonatal death: A challenge worldwide. Semin. Fetal Neonatal Med. 2017, 22, 153–160. [Google Scholar] [CrossRef] [PubMed]
- Arias-Oliveras, A. Neonatal Blood Gas Interpretation. Newborn Infant Nurs. Rev. 2016, 16, 119–121. [Google Scholar] [CrossRef]
- Hakala, T.A.; Pérez, A.G.; Wardale, M.; Ruuth, I.A.; Vänskä, R.T.; Nurminen, T.A.; Kemp, E.; Boeva, Z.A.; Alakoskela, J.-M.; Pettersson-Fernholm, K.; et al. Sampling of fluid through skin with magnetohydrodynamics for noninvasive glucose monitoring. Sci. Rep. 2021, 11, 7609. [Google Scholar] [CrossRef]
- Goenka, A.; Bhoola, R.; McKerrow, N. Neonatal blood gas sampling methods. SAJCH S. Afr. J. Child Health 2012, 6, 3–9. [Google Scholar] [CrossRef]
- Nógrádi, N.; Magdesian, K.G. Venous Blood Sampling in the Neonatal Foal. In Manual of Clinical Procedures in the Horse; Wiley: Hoboken, NJ, USA, 2017; pp. 448–451. [Google Scholar] [CrossRef]
- Bollella, P.; Sharma, S.; Cass, A.E.G.; Antiochia, R. Minimally-invasive Microneedle-based Biosensor Array for Simultaneous Lactate and Glucose Monitoring in Artificial Interstitial Fluid. Electroanalysis 2019, 31, 374–382. [Google Scholar] [CrossRef]
- García-Guzmán, J.J.; Pérez-Ràfols, C.; Cuartero, M.; Crespo, G.A. Toward In Vivo Transdermal pH Sensing with a Validated Microneedle Membrane Electrode. ACS Sens. 2021, 6, 1129–1137. [Google Scholar] [CrossRef]
- Samant, P.P.; Niedzwiecki, M.M.; Raviele, N.; Tran, V.; Mena-Lapaix, J.; Walker, D.I.; Felner, E.I.; Jones, D.P.; Miller, G.W.; Prausnitz, M.R. Sampling interstitial fluid from human skin using a microneedle patch. Sci. Transl. Med. 2020, 12, eaaw0285. [Google Scholar] [CrossRef]
- Kashaninejad, N.; Munaz, A.; Moghadas, H.; Yadav, S.; Umer, M.; Nguyen, N.-T. Microneedle Arrays for Sampling and Sensing Skin Interstitial Fluid. Chemosensors 2021, 9, 83. [Google Scholar] [CrossRef]
- He, R.; Niu, Y.; Li, Z.; Li, A.; Yang, H.; Xu, F.; Li, F. A Hydrogel Microneedle Patch for Point-of-Care Testing Based on Skin Interstitial Fluid. Adv. Health Mater. 2020, 9, e1901201. [Google Scholar] [CrossRef]
- Bollella, P.; Sharma, S.; Cass, A.E.G.; Tasca, F.; Antiochia, R. Minimally Invasive Glucose Monitoring Using a Highly Porous Gold Microneedles-Based Biosensor: Characterization and Application in Artificial Interstitial Fluid. Catalysts 2019, 9, 580. [Google Scholar] [CrossRef]
- Tan, S.; Campbell, M. Acid–base physiology and blood gas interpretation in the neonate. Paediatr. Child Health 2008, 18, 172–177. [Google Scholar] [CrossRef]
- Brown, B.; Eilerman, B. Understanding Blood Gas Interpretation. Newborn Infant Nurs. Rev. 2006, 6, 57–62. [Google Scholar] [CrossRef]
- Mochizuki, K.; Fujii, T.; Paul, E.; Anstey, M.; Uchino, S.; Pilcher, D.V.; Bellomo, R. Acidemia subtypes in critically ill patients: An international cohort study. J. Crit. Care 2021, 64, 10–17. [Google Scholar] [CrossRef] [PubMed]
- Marunaka, Y. The Proposal of Molecular Mechanisms of Weak Organic Acids Intake-Induced Improvement of Insulin Resistance in Diabetes Mellitus via Elevation of Interstitial Fluid pH. Int. J. Mol. Sci. 2018, 19, 3244. [Google Scholar] [CrossRef]
- Torres-Terán, I.; Venczel, M.; Klein, S. Prediction of subcutaneous drug absorption—Do we have reliable data to design a simulated interstitial fluid? Int. J. Pharm. 2021, 610, 121257. [Google Scholar] [CrossRef]
- Maddocks, G.M.; Daniele, M.A. Chemical Sensors: Wearable Sensors. In Encyclopedia of Sensors and Biosensors; Elsevier: Amsterdam, The Netherlands, 2023; Volume 1, pp. 260–280. [Google Scholar] [CrossRef]
- Hamm, L.L.; Nakhoul, N.; Hering-Smith, K.S. Acid-Base Homeostasis. Clin. J. Am. Soc. Nephrol. 2015, 10, 2232–2242. [Google Scholar] [CrossRef]
- Hurrell, S.; Cameron, R.E. The effect of buffer concentration, pH and buffer ions on the degradation and drug release from polyglycolide. Polym. Int. 2003, 52, 358–366. [Google Scholar] [CrossRef]
- Montanaro, J.; Gruber, D.; Leisch, N. Improved ultrastructure of marine invertebrates using non-toxic buffers. PeerJ 2016, 4, e1860. [Google Scholar] [CrossRef]
- Yap, C.Y.; Aw, T.C. Arterial Blood Gases. Proc. Singap. Health 2011, 20, 227–235. [Google Scholar] [CrossRef]
- Marunaka, Y. Roles of interstitial fluid pH and weak organic acids in development and amelioration of insulin resistance. Biochem. Soc. Trans. 2021, 49, 715–726. [Google Scholar] [CrossRef] [PubMed]
- Watson, S.J.; Smallwood, R.H.; Brown, B.H.; Cherian, P.; Bardhan, K.D. Determination of the relationship between the pH and conductivity of gastric juice. Physiol. Meas. 1996, 17, 21–27. [Google Scholar] [CrossRef]
- Anand, G.; Lowe, A.; Al-Jumaily, A. Tissue phantoms to mimic the dielectric properties of human forearm section for multi-frequency bioimpedance analysis at low frequencies. Mater. Sci. Eng. C 2019, 96, 496–508. [Google Scholar] [CrossRef] [PubMed]
- Dolan, J. A Guide to HPLC and LC-MS Buffer Selection. 2012. Available online: https://www.hplc.eu/Downloads/ACE_Guide_BufferSelection.pdf (accessed on 20 December 2021).
- Mohan, C. A Guide for the Preparation and Use of Buffers in Biological Systems; EMD Biosciences: St. Louis, MI, USA, 2006. [Google Scholar]
- Seoane, F.; Lindecrantz, K.; Olsson, T.; Kjellmer, I.; Flisberg, A.; Bågenholm, R. Spectroscopy study of the dynamics of the transencephalic electrical impedance in the perinatal brain during hypoxia. Physiol. Meas. 2005, 26, 849–863. [Google Scholar] [CrossRef] [PubMed]
- Gabriel, C.; Gabriel, S.; Corthout, E. The dielectric properties of biological tissues: I. Literature survey. Phys. Med. Biol. 1996, 41, 2231–2249. [Google Scholar] [CrossRef] [PubMed]
- Kim, M.; Yang, S. Improvement of the accuracy of continuous hematocrit measurement under various blood flow conditions. Appl. Phys. Lett. 2014, 104, 153508. [Google Scholar] [CrossRef]
- Dodde, R.E.; Kruger, G.H.; Shih, A.J. Design of Bioimpedance Spectroscopy Instrument with Compensation Techniques for Soft Tissue Characterization. J. Med. Devices 2015, 9, 021001–210018. [Google Scholar] [CrossRef]
- Buendia, R.; Seoane, F.; Gil-Pita, R. Experimental validation of a method for removing the capacitive leakage artifact from electrical bioimpedance spectroscopy measurements. Meas. Sci. Technol. 2010, 21, 115802. [Google Scholar] [CrossRef]
- Pockevicius, V.; Cepenas, M.; Miklusis, D.; Markevicius, V.; Zabuliene, L.; Navikas, D.; Valinevicius, A.; Andriukaitis, D. Feasibility research of non-invasive methods for interstitial fluid level measurement. Bio-Med. Mater. Eng. 2017, 28, 601–612. [Google Scholar] [CrossRef] [PubMed]
- Baumann, S.; Wozny, D.; Kelly, S.; Meno, F. The electrical conductivity of human cerebrospinal fluid at body temperature. IEEE Trans. Biomed. Eng. 1997, 44, 220–223. [Google Scholar] [CrossRef] [PubMed]
- Hladky, S.B.; Barrand, M.A. Fluid and ion transfer across the blood–brain and blood–cerebrospinal fluid barriers; a comparative account of mechanisms and roles. Fluids Barriers CNS 2016, 13, 19. [Google Scholar] [CrossRef]
- Shetty, A.K.; Gabriele, Z. The Interstitial System of the Brain in Health and Disease. Aging Dis. 2020, 11, 200–211. [Google Scholar] [CrossRef] [PubMed]
- Hladky, S.B.; Barrand, M.A. Mechanisms of fluid movement into, through and out of the brain: Evaluation of the evidence. Fluids Barriers CNS 2014, 11, 26. [Google Scholar] [CrossRef]
- Yu, Y.; Lowe, A.; Anand, G.; Kalra, A. Tissue phantom to mimic the dielectric properties of human muscle within 20 Hz and 100 kHz for biopotential sensing applications. In Proceedings of the 2019 41st Annual International Conference of the IEEE Engineering in Medicine and Biology Society (EMBC), Berlin, Germany, 23–27 July 2019; pp. 6490–6493. [Google Scholar] [CrossRef]
- Marin-Grez, M.; Vallés, P. Effect of metabolic alkalosis and metabolic acidosis on urinary kallikrein excretion of anaesthetized rats: Evidence for a role of blood pH as regulator of renal kallikrein secretion. Pflugers Arch. Eur. J. Physiol. 1996, 432, 202–206. [Google Scholar] [CrossRef]
- Leveling, T. The Relationship between pH and Conductivity in a Lithium Contaminated, Deionized Water System; Fermi National Accelerator Lab. (FNAL): Batavia, IL, USA, 2002; pp. 1–11.
- Klostranec, J.M.; Vucevic, D.; Bhatia, K.D.; Kortman, H.G.J.; Krings, T.; Murphy, K.P.; ter Brugge, K.G.; Mikulis, D.J. Current concepts in intracranial interstitial fluid transport and the glymphatic system: Part ii-imaging techniques and clinical applications. Radiology 2021, 301, 516–532. [Google Scholar] [CrossRef]





| S. No. | Buffer System | pH Range |
|---|---|---|
| 1 | Carbonate Bicarbonate Buffer (CBC) | 9.2–10.6 |
| 2 | BES | 6.4–7.8 |
| 3 | Sodium Phosphate (SPB) | 5.8–7.4 |
| 4 | Citrate Bis-Tris Propane (CBTP) | 2.5–9.5 |
| 5 | Potassium Phosphate (PPB) | 5.8–8.0 |
| 6 | Phosphate-Citrate (PCB) | 2.2–8.0 |
| 7 | Bis-Tris Propane (BTP) | 5.8–7.2 |
| 8 | Trizma | 7.0–9.2 |
| 1. Carbonate Bicarbonate Buffer | |
| No. of buffers prepared: 8 | |
| pH measured: 9.19, 9.54, 9.79, 10.01, 10.19, 10.39, 10.61, 10.87 | |
| Reagents | Molecular Weight (g/mol) |
| Sodium Bicarbonate | 84.01 |
| Sodium carbonate (anhydrous) | 105.99 |
| 2. BES | |
| No. of solutions prepared: 6 | |
| pH measured: 6.60, 6.75, 6.91, 7.05, 7.26, 7.43 | |
| Reagents | Molecular Weight (g/mol) |
| BES | 213.3 |
| Disodium hydrogen phosphate | 141.96 |
| 3. Sodium Phosphate (SPB) | |
| No. of solutions prepared: 8 | |
| pH measured: 6.00, 6.35,6.75, 6.96, 7.20, 7.41, 7.65, 8.04 | |
| Reagents | Molecular Weight (g/mol) |
| Monosodium phosphate | 141.96 |
| Disodium phosphate | 119.98 |
| 4. Citrate Bis-Tris Propane (CBTP) | |
| No. of solutions prepared: 6 | |
| pH measured: 5.63, 6.36, 7.20, 7.84, 8.51, 9.09 | |
| Reagents | Molecular Weight (g/mol) |
| Bis-Tris Propane | 282.34 |
| Citric acid | 192.13 |
| 5. Potassium Phosphate (PPB) | |
| No. of solutions prepared: 8 | |
| pH measured: 6.04, 6.46, 6.77, 6.90, 7.05, 7.23, 7.43, 8.10 | |
| Reagents | Molecular Weight (g/mol) |
| Dipotassium phosphate | 174.18 |
| Potassium dihydrogen phosphate | 136.086 |
| 6. Phosphate-Citrate (PCB) | |
| No. of solutions prepared: 6 | |
| pH measured: 6.60, 6.75, 6.91, 7.05, 7.26,7.43 | |
| Reagents | Molecular Weight (g/mol) |
| Disodium Hydrogen Phosphate | 141.96 |
| Citric Acid | 210.14 |
| 7. Bis-Tris Propane (BTP) | |
| No. of solutions prepared: 12 | |
| pH measured: 6.01, 6.21, 6.41, 6.60, 7.01, 7.21, 7.40, 7.60, 7.81, 8.02, 8.22,8.43 | |
| Reagents | Molecular Weight (g/mol) |
| Bis-Tris Propane | 282.33 |
| HCl | 36.46 |
| 8. Trizma | |
| No. of solutions prepared: 9 | |
| pH measured: 6.77, 6.90, 7.23, 7.51, 7.73, 7.92, 8.13, 8.29, 8.49, 8.76, 9.22 | |
| Reagents | Molecular Weight (g/mol) |
| Trizma HCl | 157.6 |
| Trizma Base | 121.14 |
| 9. Artificial ISF [9] | |
| No. of solutions prepared: 1 | |
| pH measured: 5.37 | |
| Reagents | Molecular Weight (g/mol) |
| Calcium chloride | 110.98 |
| Glucose | 180.156 |
| HEPES | 238.3012 |
| Potassium chloride | 74.5513 |
| Magnesium sulfate | 120.366 |
| Sodium chloride | 58.44 |
| Sodium dihydrogen phosphate | 119.98 |
| Saccharose | 342.3 |
| pH | Conductivity (S/m) | Impedance (Ω) |
|---|---|---|
| 6.60 | 0.30 | 103.69 |
| 6.75 | 0.43 | 72.96 |
| 6.91 | 0.56 | 55.44 |
| 7.05 | 0.73 | 42.60 |
| 7.26 | 0.89 | 35.08 |
| 7.43 | 1.03 | 30.30 |
| pH | Conductivity (S/m) | Impedance (Ω) |
|---|---|---|
| 6.36 | 0.69 | 45.61 |
| 6.46 | 0.70 | 44.75 |
| 6.56 | 0.70 | 44.77 |
| 6.64 | 0.72 | 43.56 |
| 6.73 | 0.72 | 43.30 |
| 6.81 | 0.73 | 43.05 |
| 6.92 | 0.74 | 42.09 |
| 7.01 | 0.74 | 42.20 |
| 7.06 | 0.77 | 40.51 |
| 7.12 | 0.77 | 40.60 |
| 7.17 | 0.78 | 40.13 |
| 7.22 | 0.79 | 39.79 |
| 7.27 | 0.80 | 38.87 |
| 7.33 | 0.82 | 38.25 |
| 7.40 | 0.82 | 38.20 |
| 7.50 | 0.84 | 37.27 |
| 7.60 | 0.84 | 37.03 |
| 7.72 | 0.85 | 36.90 |
| 7.87 | 0.85 | 36.61 |
| 8.07 | 0.85 | 36.75 |
| 8.33 | 0.88 | 35.64 |
| 8.63 | 0.89 | 34.96 |
| 8.90 | 0.90 | 34.53 |
| 9.09 | 0.91 | 34.24 |
| 9.21 | 0.91 | 34.51 |
| 9.34 | 0.90 | 34.54 |
| 9.47 | 0.93 | 33.61 |
| pH | Conductivity (S/m) | Impedance (Ω) |
|---|---|---|
| 6.01 | 0.81 | 38.32 |
| 6.21 | 0.82 | 38.11 |
| 6.41 | 0.77 | 40.81 |
| 6.60 | 0.73 | 42.78 |
| 7.01 | 0.64 | 48.43 |
| 7.21 | 0.68 | 46.20 |
| 7.40 | 0.63 | 49.56 |
| 7.60 | 0.59 | 53.24 |
| 7.81 | 0.60 | 52.02 |
| 8.02 | 0.58 | 53.68 |
| 8.22 | 0.56 | 55.33 |
| 8.43 | 0.57 | 54.62 |
| pH | Conductivity (S/m) | Impedance (Ω) |
|---|---|---|
| 6.23 | 0.61 | 50.96 |
| 6.53 | 0.61 | 51.39 |
| 6.76 | 0.60 | 52.14 |
| 6.96 | 0.59 | 53.25 |
| 7.06 | 0.58 | 53.66 |
| 7.27 | 0.57 | 54.69 |
| 7.47 | 0.57 | 54.55 |
| 7.73 | 0.56 | 55.56 |
| 8.07 | 0.55 | 56.93 |
| 8.43 | 0.55 | 56.72 |
Disclaimer/Publisher’s Note: The statements, opinions and data contained in all publications are solely those of the individual author(s) and contributor(s) and not of MDPI and/or the editor(s). MDPI and/or the editor(s) disclaim responsibility for any injury to people or property resulting from any ideas, methods, instructions or products referred to in the content. |
© 2023 by the authors. Licensee MDPI, Basel, Switzerland. This article is an open access article distributed under the terms and conditions of the Creative Commons Attribution (CC BY) license (https://creativecommons.org/licenses/by/4.0/).
Share and Cite
Hussain, N.M.; Amin, B.; O’Halloran, M.; Elahi, A. Development and Characterization of Interstitial-Fluid-Mimicking Solutions for Pre-Clinical Assessment of Hypoxia. Diagnostics 2023, 13, 3125. https://doi.org/10.3390/diagnostics13193125
Hussain NM, Amin B, O’Halloran M, Elahi A. Development and Characterization of Interstitial-Fluid-Mimicking Solutions for Pre-Clinical Assessment of Hypoxia. Diagnostics. 2023; 13(19):3125. https://doi.org/10.3390/diagnostics13193125
Chicago/Turabian StyleHussain, Nadia Muhammad, Bilal Amin, Martin O’Halloran, and Adnan Elahi. 2023. "Development and Characterization of Interstitial-Fluid-Mimicking Solutions for Pre-Clinical Assessment of Hypoxia" Diagnostics 13, no. 19: 3125. https://doi.org/10.3390/diagnostics13193125
APA StyleHussain, N. M., Amin, B., O’Halloran, M., & Elahi, A. (2023). Development and Characterization of Interstitial-Fluid-Mimicking Solutions for Pre-Clinical Assessment of Hypoxia. Diagnostics, 13(19), 3125. https://doi.org/10.3390/diagnostics13193125

