Free-Breathing and Single-Breath Hold Compressed Sensing Real-Time MRI of Right Ventricular Function in Children with Congenital Heart Disease
Abstract
1. Introduction
2. Materials and Methods
2.1. CMRI Protocol
2.2. Image Analysis
2.3. Statistics
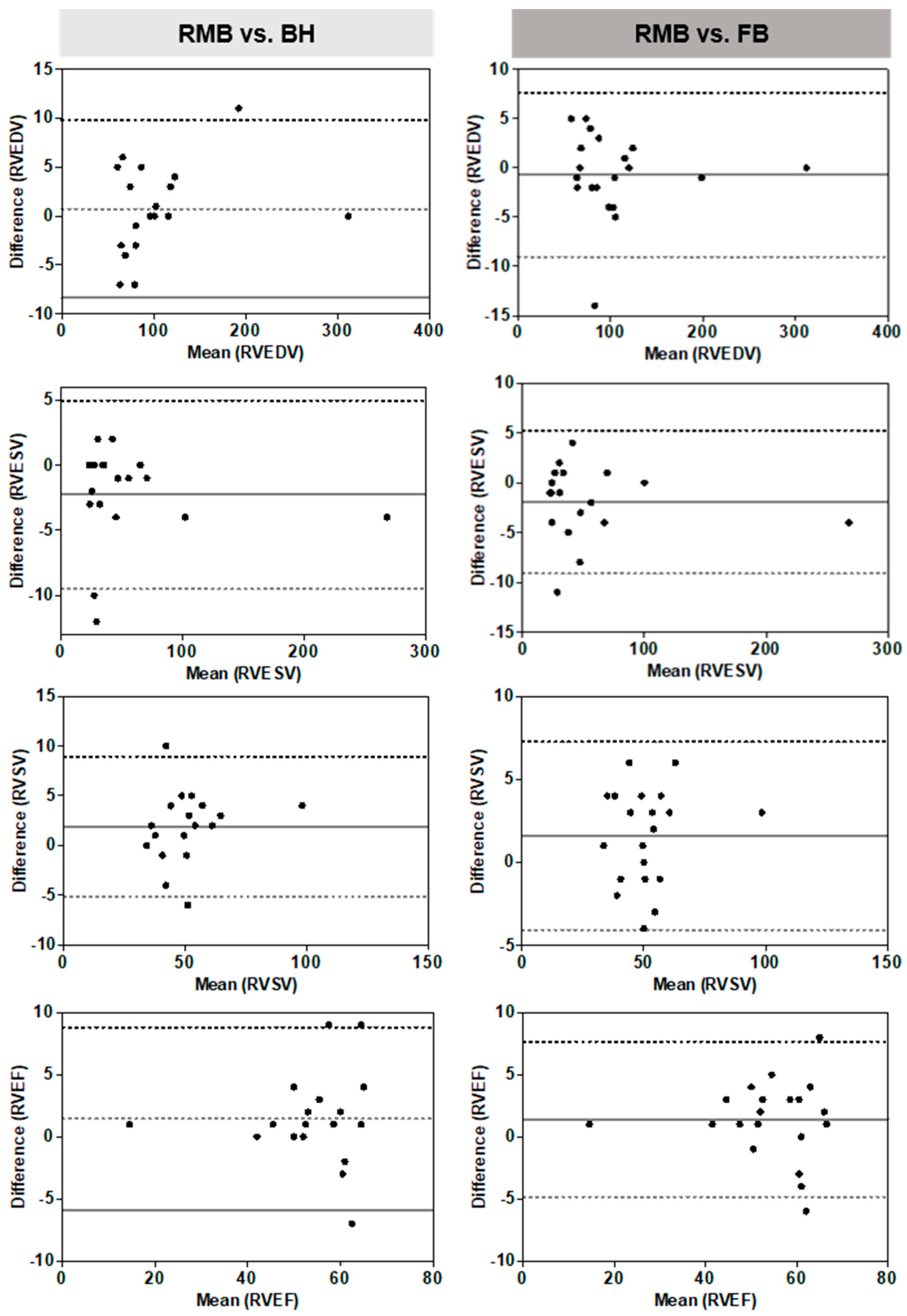
3. Results
4. Discussion
Limitations
5. Conclusions
Author Contributions
Funding
Institutional Review Board Statement
Informed Consent Statement
Data Availability Statement
Conflicts of Interest
References
- Warnes, C.A. Adult Congenital Heart Disease: Importance of the Right Ventricle. J. Am. Coll. Cardiol. 2009, 54, 1903–1910. [Google Scholar] [CrossRef]
- A Davlouros, P.; Niwa, K.; Webb, G.; A Gatzoulis, M. The right ventricle in congenital heart disease. Heart 2006, 92 (Suppl. S1), i27–i38. [Google Scholar] [CrossRef] [PubMed]
- Clarke, C.J.; Gurka, M.J.; Norton, P.T.; Kramer, C.M.; Hoyer, A.W. Assessment of the Accuracy and Reproducibility of RV Volume Measurements by CMR in Congenital Heart Disease. JACC Cardiovasc. Imaging 2012, 5, 28–37. [Google Scholar] [CrossRef]
- Guihaire, J.; Haddad, F.; Mercier, O.; Murphy, D.J.; Wu, J.C.; Fadel, E. The Right Heart in Congenital Heart Disease, Mechanisms and Recent Advances. J. Clin. Exp. Cardiol. 2012, 8, 1–11. [Google Scholar] [CrossRef]
- Gallo-Bernal, S.; Bedoya, M.A.; Gee, M.S.; Jaimes, C. Pediatric magnetic resonance imaging: Faster is better. Pediatr. Radiol. 2022, 53, 1270–1284. [Google Scholar] [CrossRef]
- Davidson, A.J.; Morton, N.S.; Arnup, S.J.; de Graaff, J.C.; Disma, N.; Withington, D.E.; Frawley, G.; Hunt, R.W.; Hardy, P.; Khotcholava, M.; et al. Apnea after Awake Regional and General Anesthesia in Infants: The General Anesthesia Compared to Spinal Anesthesia Study—Comparing Apnea and Neurodevelopmental Outcomes, a Randomized Controlled Trial. Anesthesiology 2015, 123, 38–54. [Google Scholar] [CrossRef]
- Davidson, A.J.; Disma, N.; de Graaff, J.C.; E Withington, D.; Dorris, L.; Bell, G.; Stargatt, R.; Bellinger, D.C.; Schuster, T.; Arnup, S.J.; et al. Neurodevelopmental outcome at 2 years of age after general anaesthesia and awake-regional anaesthesia in infancy (GAS): An international multicentre, randomised controlled trial. Lancet 2015, 387, 239–250. [Google Scholar] [CrossRef] [PubMed]
- McCann, M.E.; de Graaff, J.C.; Dorris, L.; Disma, N.; Withington, D.; Bell, G.; Grobler, A.; Stargatt, R.; Hunt, R.W.; Sheppard, S.J.; et al. Neurodevelopmental outcome at 5 years of age after general anaesthesia or awake-regional anaesthesia in infancy (GAS): An international, multicentre, randomised, controlled equivalence trial. Lancet 2019, 393, 664–677. [Google Scholar] [CrossRef]
- Flick, R.P.; Katusic, S.K.; Colligan, R.C.; Wilder, R.T.; Voigt, R.G.; Olson, M.D.; Sprung, J.; Weaver, A.L.; Schroeder, D.R.; Warner, D.O. Cognitive and Behavioral Outcomes After Early Exposure to Anesthesia and Surgery. Pediatrics 2011, 128, e1053–e1061. [Google Scholar] [CrossRef] [PubMed]
- Christopher, A.B.; Quinn, R.E.; Zoulfagharian, S.; Matisoff, A.J.; Cross, R.R.; Xue, H.; Campbell-Washburn, A.; Olivieri, L.J. Motion-corrected cardiac MRI is associated with decreased anesthesia exposure in children. Pediatr. Radiol. 2020, 50, 1709–1716. [Google Scholar] [CrossRef]
- Artunduaga, M.; Liu, C.A.; Morin, C.E.; Serai, S.D.; Udayasankar, U.; Greer, M.-L.C.; Gee, M.S. Safety challenges related to the use of sedation and general anesthesia in pediatric patients undergoing magnetic resonance imaging examinations. Pediatr. Radiol. 2021, 51, 724–735. [Google Scholar] [CrossRef] [PubMed]
- Axel, L.; Otazo, R. Accelerated MRI for the assessment of cardiac function. Br. J. Radiol. 2016, 89, 20150655. [Google Scholar] [CrossRef] [PubMed]
- Maceira, A.M.; Prasad, S.K.; Khan, M.; Pennell, D.J. Reference right ventricular systolic and diastolic function normalized to age, gender and body surface area from steady-state free precession cardiovascular magnetic resonance. Eur. Heart J. 2006, 27, 2879–2888. [Google Scholar] [CrossRef]
- Keenan, N.G.; Pennell, D.J. CMR of Ventricular Function. Echocardiography 2007, 24, 185–193. [Google Scholar] [CrossRef]
- Treutlein, C.; Wiesmüller, M.; May, M.S.; Heiss, R.; Hepp, T.; Uder, M.; Wuest, W. Complete Free-breathing Adenosine Stress Cardiac MRI Using Compressed Sensing and Motion Correction: Comparison of Functional Parameters, Perfusion, and Late Enhancement with the Standard Breath-holding Examination. Radiol. Cardiothorac. Imaging 2019, 1, e180017. [Google Scholar] [CrossRef]
- James, S.H.; Wald, R.; Wintersperger, B.J.; Jimenez-Juan, L.; Deva, D.; Crean, A.M.; Nguyen, E.; Paul, N.S.; Ley, S. Accuracy of Right and Left Ventricular Functional Assessment by Short-Axis vs. Axial Cine Steady-State Free-Precession Magnetic Resonance Imaging: Intrapatient Correlation with Main Pulmonary Artery and Ascending Aorta Phase-Contrast Flow Measurements. Can. Assoc. Radiol. J. 2013, 64, 213–219. [Google Scholar] [CrossRef]
- Van Der Bom, T.; Romeih, S.; Groenink, M.; Pieper, P.G.; Van Dijk, A.P.; Helbing, W.A.; Zwinderman, A.H.; Mulder, B.J.; Bouma, B.J. Evaluating the Systemic Right Ventricle by Cardiovascular Magnetic Resonance: Short Axis or Axial Slices? Congenit. Heart Dis. 2014, 10, 69–77. [Google Scholar] [CrossRef] [PubMed]
- Sudarski, S.; Henzler, T.; Haubenreisser, H.; Dösch, C.; Zenge, M.O.; Nadar, M.S.; Borggrefe, M.; Papavassiliu, T.; Schmidt, M.; Schoenberg, S.O. Free-breathing Sparse Sampling Cine MR Imaging with Iterative Reconstruction for the Assessment of Left Ventricular Function and Mass at 3.0 T. Radiology 2017, 282, 74–83. [Google Scholar] [CrossRef]
- Alfakih, K.; Plein, S.; Bloomer, T.; Jones, T.; Ridgway, J.; Sivananthan, M. Comparison of right ventricular volume measurements between axial and short axis orientation using steady-state free precession magnetic resonance imaging. J. Magn. Reson. Imaging 2003, 18, 25–32. [Google Scholar] [CrossRef]
- El Edelbi, R.; Lindemalm, S.; Eksborg, S. Estimation of body surface area in various childhood ages—Validation of the Mosteller formula. Acta Paediatr. 2012, 101, 540–544. [Google Scholar] [CrossRef]
- Klinke, V.; Muzzarelli, S.; Lauriers, N.; Locca, D.; Vincenti, G.; Monney, P.; Lu, C.; Nothnagel, D.; Pilz, G.; Lombardi, M.; et al. Quality assessment of cardiovascular magnetic resonance in the setting of the European CMR registry: Description and validation of standardized criteria. J. Cardiovasc. Magn. Reson. 2013, 15, 55. [Google Scholar] [CrossRef]
- Vincenti, G.; Monney, P.; Chaptinel, J.; Rutz, T.; Coppo, S.; Zenge, M.O.; Schmidt, M.; Nadar, M.S.; Piccini, D.; Chèvre, P.; et al. Compressed Sensing Single–Breath-Hold CMR for Fast Quantification of LV Function, Volumes, and Mass. JACC Cardiovasc. Imaging 2014, 7, 882–892. [Google Scholar] [CrossRef]
- Haubenreisser, H.; Henzler, T.; Budjan, J.; Sudarski, S.; Zenge, M.O.; Schmidt, M.R.; Nadar, M.S.; Borggrefe, M.; Schoenberg, S.O.; Papavassiliu, T. Right Ventricular Imaging in 25 Seconds: Evaluating the Use of Sparse Sampling CINE With Iterative Reconstruction for Volumetric Analysis of the Right Ventricle. Investig. Radiol. 2016, 51, 379–386. [Google Scholar] [CrossRef] [PubMed]
- Steeden, J.A.; Kowalik, G.T.; Tann, O.; Hughes, M.; Mortensen, K.H.; Muthurangu, V. Real-time assessment of right and left ventricular volumes and function in children using high spatiotemporal resolution spiral bSSFP with compressed sensing. J. Cardiovasc. Magn. Reson. 2018, 20, 79. [Google Scholar] [CrossRef]
- Feng, C.; Zhang, S.; Zhao, D.; Li, C. Simultaneous extraction of endocardial and epicardial contours of the left ventricle by distance regularized level sets. Med. Phys. 2016, 43, 2741–2755. [Google Scholar] [CrossRef] [PubMed]
- Ogilvie, L.M.; Edgett, B.A.; Gray, S.; Al-Mufty, S.; Huber, J.S.; Brunt, K.R.; Simpson, J.A. A new approach to improve the hemodynamic assessment of cardiac function independent of respiratory influence. Sci. Rep. 2021, 11, 17223. [Google Scholar] [CrossRef]
- Lenz, G.W.; Haacke, E.M.; White, R.D. Retrospective cardiac gating: A review of technical aspects and future directions. Magn. Reson. Imaging 1989, 7, 445–455. [Google Scholar] [CrossRef]
- Madore, B.; Hoge, W.S.; Chao, T.-C.; Zientara, G.P.; Chu, R. Retrospectively gated cardiac cine imaging with temporal and spatial acceleration. Magn. Reson. Imaging 2011, 29, 457–469. [Google Scholar] [CrossRef]
- Longère, B.; Allard, P.-E.; Gkizas, C.V.; Coisne, A.; Hennicaux, J.; Simeone, A.; Schmidt, M.; Forman, C.; Toupin, S.; Montaigne, D.; et al. Compressed Sensing Real-Time Cine Reduces CMR Arrhythmia-Related Artifacts. J. Clin. Med. 2021, 10, 3274. [Google Scholar] [CrossRef]
- Feng, L.; Srichai, M.B.; Lim, R.P.; Harrison, A.; King, W.; Adluru, G.; Dibella, E.V.R.; Sodickson, D.K.; Otazo, R.; Kim, D. Highly accelerated real-time cardiac cine MRI using k-t SPARSE-SENSE. Magn. Reson. Med. 2012, 70, 64–74. [Google Scholar] [CrossRef] [PubMed]
- Laubrock, K.; von Loesch, T.; Steinmetz, M.; Lotz, J.; Frahm, J.; Uecker, M.; Unterberg-Buchwald, C. Imaging of arrhythmia: Real-time cardiac magnetic resonance imaging in atrial fibrillation. Eur. J. Radiol. Open 2022, 9, 100404. [Google Scholar] [CrossRef] [PubMed]
- Jaimes, C.; Robson, C.D.; Machado-Rivas, F.; Yang, E.; Mahan, K.; Bixby, S.D.; Robertson, R.L. Success of Nonsedated Neuroradiologic MRI in Children 1–7 Years Old. Am. J. Roentgenol. 2021, 216, 1370–1377. [Google Scholar] [CrossRef] [PubMed]




| Parameter | RMB | FB | BH |
|---|---|---|---|
| Orientation | Transversal | Transversal | Transversal |
| Sequence type | bSSFP | bSSFP | bSSFP |
| ECG mode | Retrospective | Prospective | Prospective |
| In plane resolution reconstructed (mm) | 1.3 × 1.3 | 1.6 × 1.6 | 1.6 × 1.6 |
| In plane resolution acquired (mm) | 1.5 × 1.3 | 2.1 × 1.6 | 2.1 × 1.6 |
| Slice thickness (mm) | 8 | 8 | 8 |
| Section gap (mm) | 2 | 2 | 2 |
| Repetition time (ms) | 45 (interpolated to 25 cardiac phases) | 41 (interpolated to 25 cardiac phases) | 41 (interpolated to 25 cardiac phases) |
| Echo time (ms) | 1.52 | 1.25 | 1.25 |
| Flip angle (degree) | 53 | 80 | 80 |
| Field of view (mm) | |||
| Read Phase | 210 130% | 360 82.10% | 360 82.10% |
| Image matrix | 177 × 160 | 143 × 224 | 143 × 224 |
| Number of BHs | 10–13 (one slice per breath hold) | 0 | 1–2 |
| Number of slices | 10–13 | 10–13 | 10–13 |
| Acceleration factor | GRAPPA factor of 3 | Net acceleration factor of 10.2 | Net acceleration factor of 10.2 |
| Bandwidth (Hz/pixel) | 977 | 859 | 859 |
| Number of iterations | 0 | 50 | 50 |
| Total scan time | 261 s Range 130 s–385 s | 24 s Range 11 s–27 s | 44 s Range 15 s–135 s |
| Nondiagnostic | Poor | Adequate | Good | Very Good | |
|---|---|---|---|---|---|
| RMB | 0 (0%) | 1 (5%) | 1 (5%) | 5 (25%) | 13 (65%) |
| BH | 0 (0%) | 0 (0%) | 4 (20%) | 13 (65%) | 3 (15%) |
| FB | 0 (0%) | 0 (0%) | 5 (25%) | 15 (75%) | 0 (0%) |
| Right Ventricle | Difference | ||
|---|---|---|---|
| EDV [mL/m2] | RMB vs. BH | 0.7 ± 5.5 | p < 0.52 |
| RMB vs. FB | 0.1 ± 5.8 | p = 0.47 | |
| ESV [mL/m2] | RMB vs. BH | 1.8 ± 5.7 | p < 0.01 |
| RMB vs. FB | 5.8 ± 12.9 | p = 0.04 | |
| SV [mL/m2] | RMB vs. BH | −3.3 ± 7.5 | p = 0.03 |
| RMB vs. FB | −3.0 ± 5.9 | p = 0.03 | |
| EF [%] | RMB vs. BH | 1.4 ± 3.8 | p = 0.12 |
| RMB vs. FB | 1.4 ± 3.2 | p = 0.64 |
| Reader | RVEDV [mL/m2] | RVESV [mL/m2] | RVSV [mL/m2] | EF [%] | |
|---|---|---|---|---|---|
| RMB | Reader 1 | 104.1 ± 56.7 | 52.1 ± 52.8 | 51.8 ± 13.8 | 54.8 ±11.6 |
| Reader 2 | 103.9 ± 54.5 | 52.9 ± 52.4 | 51.4 ± 13.7 | 54.3 ± 12.2 | |
| BH | Reader 1 | 104.4 ± 58.4 | 55.6 ± 55.7 | 49.8 ± 13.8 | 53.1 ± 11.9 |
| Reader 2 | 105.6 ± 60.0 | 55.3 ± 55.3 | 50.6 ± 13.1 | 53.3 ± 11.7 | |
| FB | Reader 1 | 104.8 ± 56.8 | 54.0 ± 54.6 | 50.3 ± 13.4 | 53.4 ±11.7 |
| Reader 2 | 104.5 ± 57.3 | 53.9 ± 52.5 | 50.6 ± 13.8 | 53.8 ± 11.5 |
Disclaimer/Publisher’s Note: The statements, opinions and data contained in all publications are solely those of the individual author(s) and contributor(s) and not of MDPI and/or the editor(s). MDPI and/or the editor(s) disclaim responsibility for any injury to people or property resulting from any ideas, methods, instructions or products referred to in the content. |
© 2023 by the authors. Licensee MDPI, Basel, Switzerland. This article is an open access article distributed under the terms and conditions of the Creative Commons Attribution (CC BY) license (https://creativecommons.org/licenses/by/4.0/).
Share and Cite
Treutlein, C.; Zeilinger, M.G.; Dittrich, S.; Roth, J.-P.; Wetzl, M.; Heiss, R.; Wuest, W.; May, M.S.; Uder, M.; Rompel, O. Free-Breathing and Single-Breath Hold Compressed Sensing Real-Time MRI of Right Ventricular Function in Children with Congenital Heart Disease. Diagnostics 2023, 13, 2403. https://doi.org/10.3390/diagnostics13142403
Treutlein C, Zeilinger MG, Dittrich S, Roth J-P, Wetzl M, Heiss R, Wuest W, May MS, Uder M, Rompel O. Free-Breathing and Single-Breath Hold Compressed Sensing Real-Time MRI of Right Ventricular Function in Children with Congenital Heart Disease. Diagnostics. 2023; 13(14):2403. https://doi.org/10.3390/diagnostics13142403
Chicago/Turabian StyleTreutlein, Christoph, Martin Georg Zeilinger, Sven Dittrich, Jan-Peter Roth, Matthias Wetzl, Rafael Heiss, Wolfgang Wuest, Matthias Stefan May, Michael Uder, and Oliver Rompel. 2023. "Free-Breathing and Single-Breath Hold Compressed Sensing Real-Time MRI of Right Ventricular Function in Children with Congenital Heart Disease" Diagnostics 13, no. 14: 2403. https://doi.org/10.3390/diagnostics13142403
APA StyleTreutlein, C., Zeilinger, M. G., Dittrich, S., Roth, J.-P., Wetzl, M., Heiss, R., Wuest, W., May, M. S., Uder, M., & Rompel, O. (2023). Free-Breathing and Single-Breath Hold Compressed Sensing Real-Time MRI of Right Ventricular Function in Children with Congenital Heart Disease. Diagnostics, 13(14), 2403. https://doi.org/10.3390/diagnostics13142403

