Quantitative Evaluation of COVID-19 Pneumonia CT Using AI Analysis—Feasibility and Differentiation from Other Common Pneumonia Forms
Abstract
1. Introduction
2. Material and Methods
2.1. Study Population
2.2. CT Examinations
2.3. Software Technique
2.4. Image Analysis
2.5. Postprocessing Analysis
2.6. Microbiological Standard of Reference
2.7. Compliance with Ethical Standards/Ethical Approval
2.8. Statistics
3. Results
3.1. Cohort Characteristics
3.2. Image Analysis
3.3. Detection of COVID-19 by Software vs. Reader
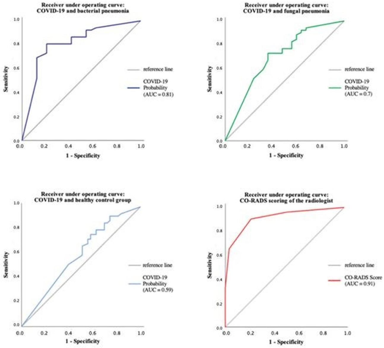
3.4. Discrimination of Different Pneumonia Types
3.5. Distribution of Different Lung Lobes/Density Distribution
3.6. Correlation to CO-RADS Classification
4. Discussion
4.1. Performance of CT Pneumonia Analysis
4.2. Detection of COVID-19 and Differentiation between Other Pneumonia Forms
4.3. Distribution of Different Lung Lobes
4.4. Correlation of CO-RADS Classification
4.5. Limitations
5. Conclusions
Supplementary Materials
Author Contributions
Funding
Institutional Review Board Statement
Informed Consent Statement
Data Availability Statement
Conflicts of Interest
References
- Mohamadian, M.; Chiti, H.; Shoghli, A.; Biglari, S.; Parsamanesh, N.; Esmaeilzadeh, A. COVID-19: Virology, biology and novel laboratory diagnosis. J. Gene Med. 2021, 23, e3303. [Google Scholar] [CrossRef] [PubMed]
- Rodríguez-Morales, A.J.; MacGregor, K.; Kanagarajah, S.; Patel, D.; Schlagenhauf, P. Going global–travel and the 2019 novel coronavirus. Travel Med. Infect. Dis. 2020, 33, 101578. [Google Scholar] [CrossRef] [PubMed]
- Chams, N.; Chams, S.; Badran, R.; Shams, A.; Araji, A.; Raad, M.; Mukhopadhyay, S.; Stroberg, E.; Duval, E.J.; Barton, L.M.; et al. COVID-19: A Multidisciplinary Review. Front. Public Health 2020, 8, 383. [Google Scholar] [CrossRef] [PubMed]
- Huang, C.; Wang, Y.; Li, X.; Ren, L.; Zhao, J.; Hu, Y.; Zhang, L.; Fan, G.; Xu, J.; Gu, X.; et al. Clinical features of patients infected with 2019 novel coronavirus in Wuhan, China. Lancet 2020, 395, 497–506. [Google Scholar] [CrossRef] [PubMed]
- World Health Organization. WHO Health Emergency Dashboard. 2022. Available online: https://covid19.who.int/region/euro/country/de (accessed on 8 February 2022).
- Raimann, F.J. SARS-CoV-2-Pandemie—Eine Meta-Analyse zur Klinik, Diagnostik und Therapie der Infektion. Anasthesiol Und Intensiv. 2020, 61, 480–491. [Google Scholar] [CrossRef]
- Vijayakumar, B.; Tonkin, J.; Devaraj, A.; Philip, K.E.J.; Orton, C.M.; Desai, S.R.; Shah, P.L. CT Lung Abnormalities after COVID-19 at 3 Months and 1 Year after Hospital Discharge. Radiology 2022, 303, 444–454. [Google Scholar] [CrossRef]
- Paraskevis, D.; Kostaki, E.; Magiorkinis, G.; Panayiotakopoulos, G.; Sourvinos, G.; Tsiodras, S. Full-genome evolutionary analysis of the novel corona virus (2019-nCoV) rejects the hypothesis of emergence as a result of a recent recombination event. Infect. Genet. Evol. 2020, 79, 104212. [Google Scholar] [CrossRef]
- Fahmi, M.; Kubota, Y.; Ito, M. Nonstructural proteins NS7b and NS8 are likely to be phylogenetically associated with evolution of 2019-nCoV. Infect. Genet. Evol. 2020, 81, 104272. [Google Scholar] [CrossRef]
- Mandal, S.; Barnett, J.; Brill, S.E.; Brown, J.S.; Denneny, E.K.; Hare, S.S.; Heightman, M.; Hillman, T.E.; Jacob, J.; Jarvis, H.C.; et al. ‘Long-COVID’: A cross-sectional study of persisting symptoms, biomarker and imaging abnormalities following hospitalisation for COVID-19. Thorax 2020, 76, 396–398. [Google Scholar] [CrossRef]
- Ai, T.; Yang, Z.; Hou, H.; Zhan, C.; Chen, C.; Lv, W.; Tao, Q.; Sun, Z.; Xia, L. Correlation of Chest CT and RT-PCR Testing for Coronavirus Disease 2019 (COVID-19) in China: A Report of 1014 Cases. Radiology 2020, 296, E32–E40. [Google Scholar] [CrossRef]
- Qiblawey, Y.; Tahir, A.; Chowdhury, M.E.H.; Khandakar, A.; Kiranyaz, S.; Rahman, T.; Ibtehaz, N.; Mahmud, S.; Al Maadeed, S.; Musharavati, F.; et al. Detection and Severity Classification of COVID-19 in CT Images Using Deep Learning. Diagnostics 2021, 11, 893. [Google Scholar] [CrossRef]
- Rubin, G.D.; Ryerson, C.J.; Haramati, L.B.; Sverzellati, N.; Kanne, J.P.; Raoof, S.; Schluger, N.W.; Volpi, A.; Yim, J.-J.; Martin, I.B.K.; et al. The Role of Chest Imaging in Patient Management during the COVID-19 Pandemic: A Multinational Consensus Statement from the Fleischner Society. Radiology 2020, 296, 172–180. [Google Scholar] [CrossRef]
- Yang, S.; Jiang, L.; Cao, Z.; Wang, L.; Cao, J.; Feng, R.; Zhang, Z.; Xue, X.; Shi, Y.; Shan, F. Deep learning for detecting corona virus disease 2019 (COVID-19) on high-resolution computed tomography: A pilot study. Ann. Transl. Med. 2020, 8, 450. [Google Scholar] [CrossRef]
- Gozes, O.; Frid-Adar, M.; Greenspan, H.; Browning, P.D.; Zhang, H.; Ji, W.; Bernheim, A.; Siegel, E. Rapid AI Development Cycle for the Coronavirus (COVID-19) Pandemic: Initial Results for Automated Detection & Patient Monitoring using Deep Learning CT Image Analysis. arXiv 2020, arXiv:200305037. [Google Scholar]
- Zhang, R.; Tie, X.; Qi, Z.; Bevins, N.B.; Zhang, C.; Griner, D.; Song, T.K.; Nadig, J.D.; Schiebler, M.L.; Garrett, J.W.; et al. Diagnosis of Coronavirus Disease 2019 Pneumonia by Using Chest Radiography: Value of Artificial Intelligence. Radiology 2021, 298, E88–E97. [Google Scholar] [CrossRef]
- Kloth, C.; Thaiss, W.M.; Beck, R.; Haap, M.; Fritz, J.; Beer, M.; Horger, M. Potential role of CT-textural features for differentiation between viral interstitial pneumonias, pneumocystis jirovecii pneumonia and diffuse alveolar hemorrhage in early stages of disease: A proof of principle. BMC Med. Imaging 2019, 19, 39. [Google Scholar] [CrossRef]
- Chabi, M.L.; Dana, O.; Kennel, T.; Gence-Breney, A.; Salvator, H.; Ballester, M.C.; Vasse, M.; Brun, A.L.; Mellot, F.; Grenier, P.A. Automated AI-Driven CT Quantification of Lung Disease Predicts Adverse Outcomes in Patients Hospitalized for COVID-19 Pneumonia. Diagnostics 2021, 11, 878. [Google Scholar] [CrossRef]
- Li, L.; Qin, L.; Xu, Z.; Yin, Y.; Wang, X.; Kong, B.; Bai, J.; Lu, Y.; Fang, Z.; Song, Q.; et al. Using artificial intelligence to detect COVID-19 and community-acquired pneumonia based on pulmonary CT: Evaluation of the diagnostic accuracy. Radiology 2020, 296, E65–E71. [Google Scholar] [CrossRef]
- Ye, H.; Gao, F.; Yin, Y.; Guo, D.; Zhao, P.; Lu, Y.; Wang, X.; Bai, J.; Cao, K.; Song, Q.; et al. Precise diagnosis of intracranial hemorrhage and subtypes using a three-dimensional joint convolutional and recurrent neural network. Eur. Radiol. 2019, 29, 6191–6201. [Google Scholar] [CrossRef]
- Kanne, J.P.; Bai, H.; Bernheim, A.; Chung, M.; Haramati, L.B.; Kallmes, D.F.; Little, B.P.; Rubin, G.D.; Sverzellati, N. COVID-19 Imaging: What We Know Now and What Remains Unknown. Radiology 2021, 299, E262–E279. [Google Scholar] [CrossRef]
- Gashi, A.; Kubik-Huch, R.A.; Chatzaraki, V.; Potempa, A.; Rauch, F.; Grbic, S.; Wiggli, B.; Friedl, A.; Niemann, T. Detection and characterization of COVID-19 findings in chest CT: Feasibility and applicability of an AI-based software tool. Medicine 2021, 100, e27478. [Google Scholar] [CrossRef] [PubMed]
- Esposito, G.; Ernst, B.; Henket, M.; Winandy, M.; Chatterjee, A.; Van Eyndhoven, S.; Praet, J.; Smeets, D.; Meunier, P.; Louis, R.; et al. AI-Based Chest CT Analysis for Rapid COVID-19 Diagnosis and Prognosis: A Practical Tool to Flag High-Risk Patients and Lower Healthcare Costs. Diagnostics 2022, 12, 1608. [Google Scholar] [CrossRef] [PubMed]
- Kermany, D.S.; Goldbaum, M.; Cai, W.; Valentim, C.C.S.; Liang, H.; Baxter, S.L.; McKeown, A.; Yang, G.; Wu, X.; Yan, F.; et al. Identifying Medical Diagnoses and Treatable Diseases by Image-Based Deep Learning. Cell 2018, 172, 1122–1131.e9. [Google Scholar] [CrossRef] [PubMed]
- Lambin, P.; Rios-Velazquez, E.; Leijenaar, R.; Carvalho, S.; van Stiphout, R.G.P.M.; Granton, P.; Zegers, C.M.L.; Gillies, R.; Boellard, R.; Dekker, A.; et al. Radiomics: Extracting more information from medical images using advanced feature analysis. Eur. J. Cancer 2012, 48, 441–446. [Google Scholar] [CrossRef]
- Lambin, P.; Leijenaar, R.T.H.; Deist, T.M.; Peerlings, J.; de Jong, E.E.C.; van Timmeren, J.; Sanduleanu, S.; Larue, R.T.H.M.; Even, A.J.G.; Jochems, A.; et al. Radiomics: The bridge between medical imaging and personalized medicine. Nat. Rev. Clin. Oncol. 2017, 14, 749–762. [Google Scholar] [CrossRef]
- Guiot, J.; Vaidyanathan, A.; Deprez, L.; Zerka, F.; Danthine, D.; Frix, A.-N.; Thys, M.; Henket, M.; Canivet, G.; Mathieu, S.; et al. Development and Validation of an Automated Radiomic CT Signature for Detecting COVID-19. Diagnostics 2020, 11, 41. [Google Scholar] [CrossRef]
- Barbosa, E.J.M.; Georgescu, B.; Chaganti, S.; Aleman, G.B.; Cabrero, J.B.; Chabin, G.; Flohr, T.; Grenier, P.; Grbic, S.; Gupta, N.; et al. Machine learning automatically detects COVID-19 using chest CTs in a large multicenter cohort. Eur. Radiol. 2021, 31, 8775–8785. [Google Scholar] [CrossRef]
- Hosny, A.; Parmar, C.; Quackenbush, J.; Schwartz, L.H.; Aerts, H.J.W.L. Artificial intelligence in radiology. Nat. Rev. Cancer 2018, 18, 500–510. [Google Scholar] [CrossRef]
- Alarcón-Rodríguez, J.; Fernández-Velilla, M.; Ureña-Vacas, A.; Martín-Pinacho, J.J.; Rigual-Bobillo, J.A.; Jaureguízar-Oriol, A.; Gorospe-Sarasúa, L. Manejo y seguimiento radiológico del paciente post-COVID-19. Radiología 2021, 63, 258–269. [Google Scholar] [CrossRef]
- Chaganti, S.; Grenier, P.; Balachandran, A.; Chabin, G.; Cohen, S.; Flohr, T.; Georgescu, B.; Grbic, S.; Liu, S.; Mellot, F.; et al. Automated Quantification of CT Patterns Associated with COVID-19 from Chest CT. Radiol. Artif. Intell. 2020, 2, e200048. [Google Scholar] [CrossRef]
- Bernheim, A.; Mei, X.; Huang, M.; Yang, Y.; Fayad, Z.A.; Zhang, N.; Diao, K.; Lin, B.; Zhu, X.; Li, K.; et al. Chest CT Findings in Coronavirus Disease-19 (COVID-19): Relationship to Duration of Infection. Radiology 2020, 295, 200463. [Google Scholar] [CrossRef]
- Prokop, M.; Van Everdingen, W.; van Rees Vellinga, T.; Quarles van Ufford, H.; Stöger, L.; Beenen, L.; Geurts, B.; Gietema, H.; Krdzalic, J.; Schaefer-Prokop, C.; et al. CO-RADS: A Categorical CT Assessment Scheme for Patients Suspected of Having COVID-19—Definition and Evaluation. Radiology 2020, 296, E97–E104. [Google Scholar] [CrossRef]
- Muñoz-Saavedra, L.; Civit-Masot, J.; Luna-Perejón, F.; Domínguez-Morales, M.; Civit, A. Does Two-Class Training Extract Real Features? A COVID-19 Case Study. Appl. Sci. 2021, 11, 1424. [Google Scholar] [CrossRef]
- Gouda, W.; Yasin, R. COVID-19 disease: CT Pneumonia Analysis prototype by using artificial intelligence, predicting the disease severity. Egypt. J. Radiol. Nucl. Med. 2020, 51, 196. [Google Scholar] [CrossRef]
- Suh, Y.J.; Hong, H.; Ohana, M.; Bompard, F.; Revel, M.-P.; Valle, C.; Gervaise, A.; Poissy, J.; Susen, S.; Hékimian, G.; et al. Pulmonary Embolism and Deep Vein Thrombosis in COVID-19: A Systematic Review and Meta-Analysis. Radiology 2021, 298, E70–E80. [Google Scholar] [CrossRef]
- Chen, Y.-M.; Chen, Y.J.; Ho, W.-H.; Tsai, J.-T. Classifying chest CT images as COVID-19 positive/negative using a convolutional neural network ensemble model and uniform experimental design method. BMC Bioinform. 2021, 22, 147. [Google Scholar] [CrossRef]
- Tabatabaei, M.; Tasorian, B.; Goyal, M.; Moini, A.; Sotoudeh, H. Feasibility of Radiomics to Differentiate Coronavirus Disease 2019 (COVID-19) from H1N1 Influenza Pneumonia on Chest Computed Tomography: A Proof of Concept. Iran. J. Med. Sci. 2021, 46, 420. [Google Scholar] [CrossRef]
- Liang, H.; Guo, Y.; Chen, X.; Ang, K.-L.; He, Y.; Jiang, N.; Du, Q.; Zeng, Q.; Lu, L.; Gao, Z.; et al. Artificial intelligence for stepwise diagnosis and monitoring of COVID-19. Eur. Radiol. 2022, 32, 2235–2245. [Google Scholar] [CrossRef]
- Homayounieh, F.; Rockenbach, M.A.B.C.; Ebrahimian, S.; Khera, R.D.; Bizzo, B.C.; Buch, V.; Babaei, R.; Mobin, H.K.; Mohseni, I.; Mitschke, M.; et al. Multicenter Assessment of CT Pneumonia Analysis Prototype for Predicting Disease Severity and Patient Outcome. J. Digit. Imaging 2021, 34, 320–329. [Google Scholar] [CrossRef]
- Xu, B.; Xing, Y.; Peng, J.; Zheng, Z.; Tang, W.; Sun, Y.; Xu, C.; Peng, F. Chest CT for detecting COVID-19: A systematic review and meta-analysis of diagnostic accuracy. Eur. Radiol. 2020, 30, 5720–5727. [Google Scholar] [CrossRef]
- Song, J.; Wang, H.; Liu, Y.; Wu, W.; Dai, G.; Wu, Z.; Zhu, P.; Zhang, W.; Yeom, K.W.; Deng, K. End-to-end automatic differentiation of the coronavirus disease 2019 (COVID-19) from viral pneumonia based on chest CT. Eur. J. Nucl. Med. 2020, 47, 2516–2524. [Google Scholar] [CrossRef] [PubMed]
- Jia, L.-L.; Zhao, J.-X.; Pan, N.-N.; Shi, L.-Y.; Zhao, L.-P.; Tian, J.-H.; Huang, G. Artificial intelligence model on chest imaging to diagnose COVID-19 and other pneumonias: A systematic review and meta-analysis. Eur. J. Radiol. Open 2022, 9, 100438. [Google Scholar] [CrossRef] [PubMed]
- Xie, Q.; Lu, Y.; Xie, X.; Mei, N.; Xiong, Y.; Li, X.; Zhu, Y.; Xiao, A.; Yin, B. The usage of deep neural network improves distinguishing COVID-19 from other suspected viral pneumonia by clinicians on chest CT: A real-world study. Eur. Radiol. 2020, 31, 3864–3873. [Google Scholar] [CrossRef] [PubMed]
- Lanza, E.; Muglia, R.; Bolengo, I.; Santonocito, O.G.; Lisi, C.; Angelotti, G.; Morandini, P.; Savevski, V.; Politi, L.S.; Balzarini, L. Quantitative chest CT analysis in COVID-19 to predict the need for oxygenation support and intubation. Eur. Radiol. 2020, 30, 6770–6778. [Google Scholar] [CrossRef]
- Matos, J.; Paparo, F.; Mussetto, I.; Bacigalupo, L.; Veneziano, A.; Bernardi, S.P.; Biscaldi, E.; Melani, E.; Antonucci, G.; Cremonesi, P.; et al. Evaluation of novel coronavirus disease (COVID-19) using quantitative lung CT and clinical data: Prediction of short-term outcome. Eur. Radiol. Exp. 2020, 4, 39. [Google Scholar] [CrossRef]









| Major Corrections | Minor Corrections | |
|---|---|---|
| Postprocessing time | >2 min | <2 min |
| Removement of artifacts | Pacemaker, stents | Motion artifacts |
| Correction of pneumonia area | >25% | <25% |
| Other | – Removal of the segmentation of non-visible changes in the pulmonary framework – Adding/removing airways/blood vessels within a segmentation |
| COVID-19 | Bacterial Pneumonia | Fungal Pneumonia | No Pneumonia | |
|---|---|---|---|---|
| Sensitivity | 80.8% | 75% | 32% | 97.7% |
| Specificity | 95.7% | 85.8% | 95% | 93.1% |
| PPV | 91% | 51% | 57% | 86% |
| NPV | 90% | 94% | 87% | 99% |
| Accuracy | 90% | 84% | 84% | 94% |
| CT Pneumonia Analysis on COVID-19 | |
|---|---|
| Sensitivity | 80.8% |
| Specificity | 50% |
| PPV | 47.8% |
| NPV | 82% |
| Accurancy | 61.1% |
| COVID-19 | Bacterial Pneumonia | Fungal Pneumonia | No Pneumonia | |
|---|---|---|---|---|
| Mean COVID-19 Probability ± SD | 0.80 ± 0.36 | 0.33 ± 0.4 | 0.55 ± 0.47 | 0.66 ± 0.44 |
| Mean LSS ± SD | 8 ± 5 | 5 ± 4 | 5 ± 6 | 0 ± 0 |
| Mean PO ± SD in % | 26.39 ± 23.22 | 12.52 ± 17.97 | 18.90 ± 26.27 | 0.05 ± 0.12 |
| Mean PHO ± SD in % | 6.42 ± 7.68 | 3.60 ± 4.47 | 5.86 ± 10.04 | 0.01 ± 0.02 |
| Mean HU total | −679.57 ± 112.72 | −750.12 ± 84.05 | −715.10 ± 37.28 | −820.18 ± 36.45 |
| Mean HU of opacity | −453.40 ± 170.46 | −427.39 ± 157.92 | −450.47 ± 115.38 | −416.18 ± 298.62 |
| COVID-19 | Bacterial Pneumonia | Fungal Pneumonia | No Pneumonia | |
|---|---|---|---|---|
| Left upper lobe | ||||
| Mean LSS ± SD | 1 ± 1 | 1 ± 1 | 1 ± 1 | 0 ± 0 |
| Mean PO ± SD in % | 21.80 ± 25.49 | 13.18 ± 22.97 | 16.43 ± 22.51 | 0.07 ± 0.29 |
| Mean PHO ± SD in % | 4.07 ± 6.89 | 5.44 ± 10.97 | 3.81 ± 6.36 | 0.00 ± 0.02 |
| Left lower lobe | ||||
| Mean LSS ± SD | 2 ± 1 | 1 ± 1 | 1 ± 2 | 0 ± 0 |
| Mean PO ± SD in % | 35.77 ± 29.92 | 14.15 ± 22.52 | 25.15 ± 35.15 | 0.11 ± 0.42 |
| Mean PHO ± SD in % | 10.89 ± 14.57 | 4.23 ± 8.93 | 8.74 ± 17.89 | 0.01 ± 0.02 |
| Right upper lobe | ||||
| Mean LSS ± SD | 1 ± 1 | 1 ± 1 | 1 ± 1 | 0 ± 0 |
| Mean PO ± SD in % | 20.31 ± 22.24 | 22.79 ± 31.96 | 17.43 ± 26.20 | 0.02 ± 0.06 |
| Mean PHO ± SD in % | 3.80 ± 5.22 | 7.30 ± 12.69 | 4.55 ± 8.04 | 0.00 ± 0.01 |
| Right middle lobe | ||||
| Mean LSS ± SD | 1 ± 1 | 1 ± 1 | 1 ± 1 | 0 ± 0 |
| Mean PO ± SD in % | 21.73 ± 22.82 | 10.34 ± 19.70 | 15.09 ± 25.97 | 0.00 ± 0.00 |
| Mean PHO ± SD in % | 3.30 ± 4.75 | 2.27 ± 3.99 | 2.47 ± 4.82 | 0.00 ± 0.00 |
| Right lower lobe | ||||
| Mean LSS ± SD | 2 ± 1 | 1 ± 1 | 1 ± 1 | 0 ± 0 |
| Mean PO ± SD in % | 37.393 ± 29.669 | 15.888 ± 24.715 | 21.819 ± 33.503 | 0.067 ± 0.173 |
| Mean PHO ± SD in % | 11.96 ± 14.31 | 4.60 ± 10.37 | 9.19 ± 18.86 | 0.01 ± 0.06 |
Disclaimer/Publisher’s Note: The statements, opinions and data contained in all publications are solely those of the individual author(s) and contributor(s) and not of MDPI and/or the editor(s). MDPI and/or the editor(s) disclaim responsibility for any injury to people or property resulting from any ideas, methods, instructions or products referred to in the content. |
© 2023 by the authors. Licensee MDPI, Basel, Switzerland. This article is an open access article distributed under the terms and conditions of the Creative Commons Attribution (CC BY) license (https://creativecommons.org/licenses/by/4.0/).
Share and Cite
Ebong, U.; Büttner, S.M.; Schmidt, S.A.; Flack, F.; Korf, P.; Peters, L.; Grüner, B.; Stenger, S.; Stamminger, T.; Kestler, H.; et al. Quantitative Evaluation of COVID-19 Pneumonia CT Using AI Analysis—Feasibility and Differentiation from Other Common Pneumonia Forms. Diagnostics 2023, 13, 2129. https://doi.org/10.3390/diagnostics13122129
Ebong U, Büttner SM, Schmidt SA, Flack F, Korf P, Peters L, Grüner B, Stenger S, Stamminger T, Kestler H, et al. Quantitative Evaluation of COVID-19 Pneumonia CT Using AI Analysis—Feasibility and Differentiation from Other Common Pneumonia Forms. Diagnostics. 2023; 13(12):2129. https://doi.org/10.3390/diagnostics13122129
Chicago/Turabian StyleEbong, Una, Susanne Martina Büttner, Stefan A. Schmidt, Franziska Flack, Patrick Korf, Lynn Peters, Beate Grüner, Steffen Stenger, Thomas Stamminger, Hans Kestler, and et al. 2023. "Quantitative Evaluation of COVID-19 Pneumonia CT Using AI Analysis—Feasibility and Differentiation from Other Common Pneumonia Forms" Diagnostics 13, no. 12: 2129. https://doi.org/10.3390/diagnostics13122129
APA StyleEbong, U., Büttner, S. M., Schmidt, S. A., Flack, F., Korf, P., Peters, L., Grüner, B., Stenger, S., Stamminger, T., Kestler, H., Beer, M., & Kloth, C. (2023). Quantitative Evaluation of COVID-19 Pneumonia CT Using AI Analysis—Feasibility and Differentiation from Other Common Pneumonia Forms. Diagnostics, 13(12), 2129. https://doi.org/10.3390/diagnostics13122129

