The Vertebral Artery: A Systematic Review and a Meta-Analysis of the Current Literature
Abstract
1. Introduction
2. Materials and Methods
2.1. Search Method
2.2. Selection Criteria
2.3. Data Collection and Analysis
2.4. Quality Assessment and Risk of Bias
2.5. Statistical Analysis
3. Results
3.1. Search Synthesis
3.2. Quality Assessment and Risk of Bias
3.3. Prevalence of VA Origin
3.3.1. LVA Originating from the SA
3.3.2. LVA Originating from the Aortic Arch
3.3.3. RVA Originating from the SA
3.3.4. RVA Originating from the AA
3.3.5. RVA Originating from the Right Common Carotid Artery
3.3.6. RVA Originating from the Brachiocephalic Trunk
3.4. TF Entrance of the VA
3.4.1. C3 TF Entrance Prevalence
C3 TF Entrance of the LVAs Originating from the AA
C3 TF Entrance
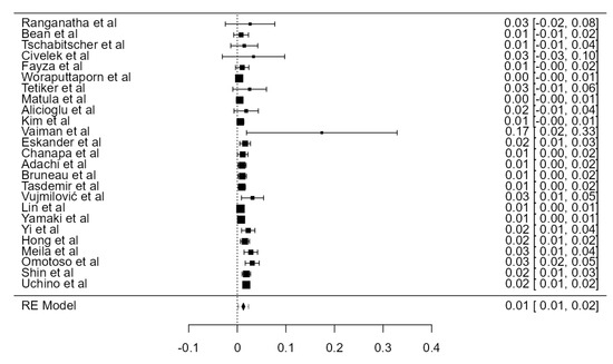
3.4.2. C4 TF Entrance Prevalence
C4 TF Entrance of the LVAs Originating from the AA
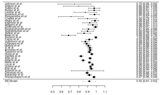
C4 TF Entrance of the LVAs Originating from the SA
C4 TF Entrance of the LVAs
C4 TF Entrance of the RVAs
C4 TF Entrance
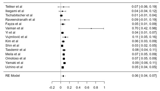
3.4.3. C5 TF Entrance Prevalence
C5 TF Entrance of the LVAs Originating from the AA
C5 TF Entrance of the LVAs Originating from the SA
C5 TF Entrance of the LVAs
C5 TF Entrance of the RVAs
C5 TF Entrance
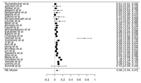
3.4.4. C6 TF Entrance Prevalence
C6 TF Entrance of the AA-Originating LVAs
C6 TF Entrance of the SA-Originated LVAs
C6 TF Entrance of the LVAs
C6 TF Entrance of the RVAs
C6 TF Entrance
3.4.5. C7 TF Entrance Prevalence
C7 TF Entrance of the AA-Originating LVAs
C7 TF Entrance of the SA-Originating LVAs
C7 TF Entrance of the LVAs
C7 TF Entrance of the RVAs
C7 TF Entrance
3.5. Prevalence of the VA Course
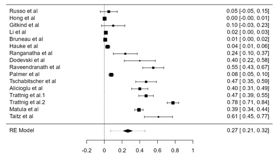
3.5.1. Tortuosity
Overall Tortuosity
Coronal Tortuosity Prevalence
Sagittal Tortuosity Prevalence
Transverse Tortuosity Prevalence
3.5.2. Straight V1 Segment Prevalence
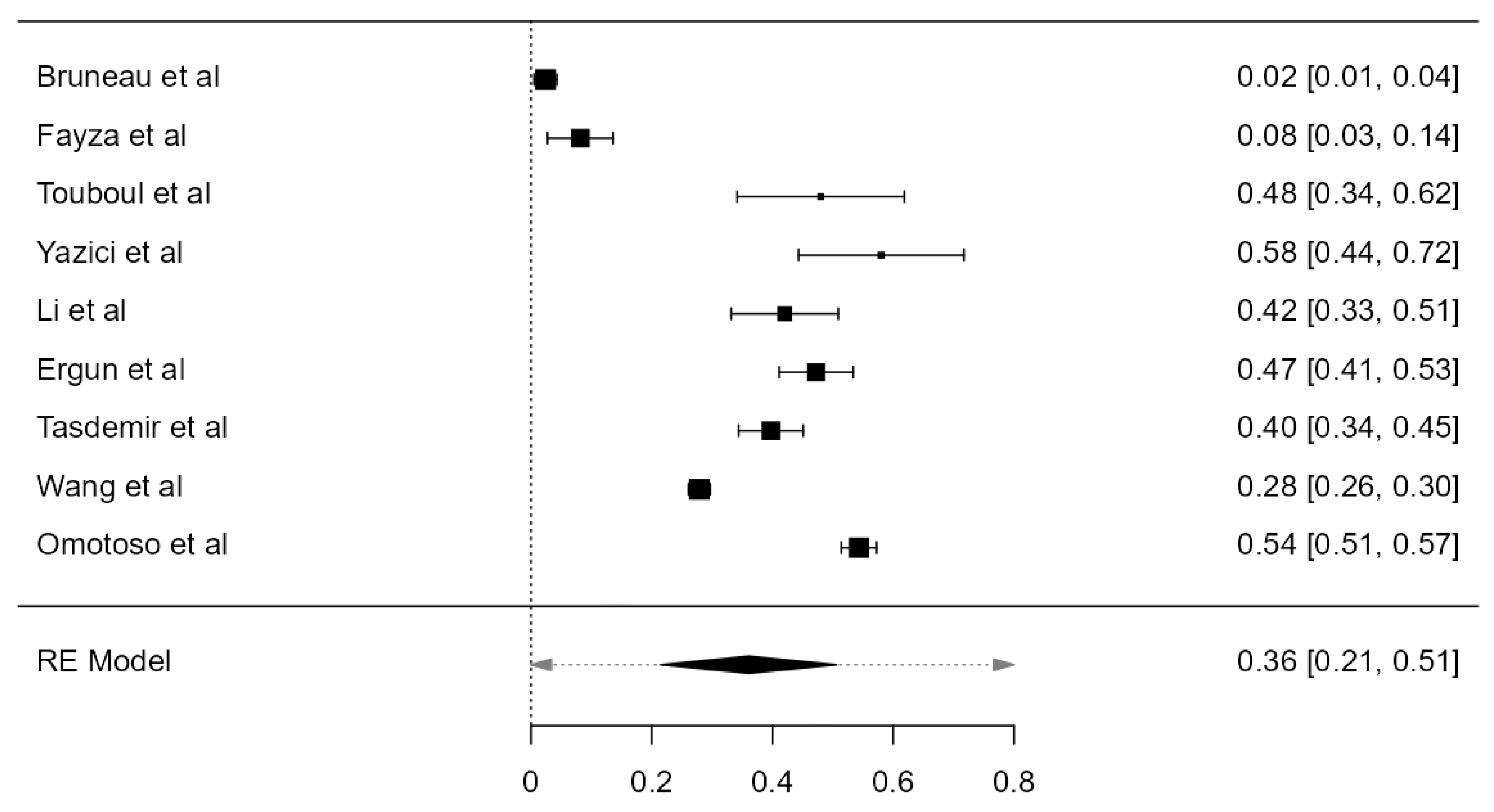
3.6. VA Dominance
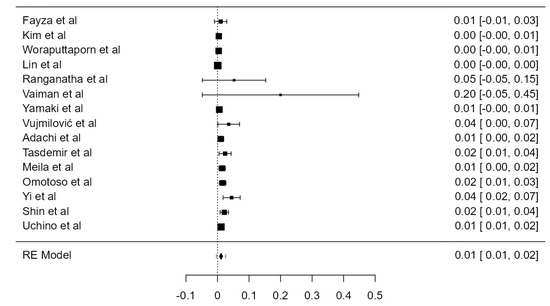
3.7. VA Hypoplasia Prevalence
4. Discussion
4.1. Anatomical Incidence
4.2. Embryology
4.3. Clinical Relevance
4.4. Study Limitations
4.5. Small-Study Effect
5. Conclusions
Supplementary Materials
Author Contributions
Funding
Data Availability Statement
Conflicts of Interest
Abbreviations
| AA | aortic arch |
| BCT | brachiocephalic trunk |
| C3_TF Entrance_LVA_AA | AA-originated LVA entering the TF at C3 |
| C4_TF Entrance_LVA_SA | SA-originated LVA entering the TF at C4 |
| C7_TF Entrance_LVA_AA | AA-originated LVA entering the TF at C7 |
| CI | confidence interval |
| LSA/RSA | left/right SA |
| LVA/RVA | left/right VA |
| LVA_AA | AA-originated LVA |
| LVA_SA | SA-originated LVA |
| RCCA | right common carotid artery |
| RVA_AA | AA-originated RVA |
| RVA_BCT | BCT-originated RVA |
| RVA_RCCA | RCCA-originated RVA |
| RVA_SA | SA_originated RVA |
| SA | subclavian artery |
| TF | transverse foramen |
| VA | vertebral artery |
References
- Tasdemir, R.; Cihan, O.F. Multidetector computed tomography evaluation of origin, V2 segment variations and morphology of vertebral artery. Folia Morphol. 2023, 82, 274–281. [Google Scholar] [CrossRef] [PubMed]
- Zarrinkoob, L.; Ambarki, K.; Wahlin, A.; Birgander, R.; Eklund, A.; Malm, J. Blood flow distribution in cerebral arteries. J. Cereb. Blood Flow Metab. 2015, 35, 648–654. [Google Scholar] [CrossRef] [PubMed]
- Osborn, A.G. Diagnostic Cerebral Angiography, 2nd ed.; Lippincott Williams & Wilkins: Philadelphia, PA, USA, 1999. [Google Scholar]
- Cloud, G.C.; Markus, H.S. Diagnosis and management of vertebral artery stenosis. QJM Int. J. Med. 2003, 96, 27–54. [Google Scholar] [CrossRef] [PubMed]
- Khan, S.; Cloud, G.C.; Kerry, S.; Markus, H.S. Imaging of vertebral artery stenosis: A systematic review. J. Neurol. Neurosurg. Psychiatry. 2007, 78, 1218–1225. [Google Scholar] [CrossRef]
- Tayebi Meybodi, A.; Borba Moreira, L.; Gandhi, S.; Catapano, J.C.; Preul, M.C.; Lawton, M.T. Exposure of the V1 Segment of the Vertebral Artery: Stepwise Cadaveric Surgical Simulation. Oper. Neurosurg. 2020, 19, E32–E38. [Google Scholar] [CrossRef] [PubMed]
- Bruneau, M.; Cornelius, J.F.; George, B. Anterolateral approach to the V1 segment of the vertebral artery. Neurosurgery 2006, 58, ONS-215-9, discussion ONS-9. [Google Scholar] [CrossRef]
- Bruneau, M.; Cornelius, J.F.; Marneffe, V.; Triffaux, M.; George, B. Anatomical variations of the V2 segment of the vertebral artery. Neurosurgery 2006, 59, ONS20-4, discussion ONS-4. [Google Scholar] [CrossRef]
- Ciołkowski, M.K.; Ciszek, B. Course variability of the atlantic (V3) segment of vertebral artery: Anatomical study with clinical implications. Folia Morphol. 2021, 80, 20–25. [Google Scholar] [CrossRef]
- Magklara, E.P.; Pantelia, E.T.; Solia, E.; Panagouli, E.; Piagkou, M.; Mazarakis, A.; Skandalakis, P.; Troupis, T.; Filippou, D. Vertebral artery variations revised: Origin, course, branches and embryonic development. Folia Morphol 2021, 80, 1–12. [Google Scholar] [CrossRef]
- Abd el-Bary, T.H.; Dujovny, M.; Ausman, J.I. Microsurgical anatomy of the atlantal part of the vertebral artery. Surg. Neurol. 1995, 44, 392–400. [Google Scholar] [CrossRef]
- Page, M.J.; McKenzie, J.E.; Bossuyt, P.M.; Boutron, I.; Hoffmann, T.C.; Mulrow, C.D.; Shamseer, L.; Tetzlaff, J.M.; Akl, E.A.; Brennan, S.E.; et al. The PRISMA 2020 statement: An updated guideline for reporting systematic reviews. Int. J. Surg. 2021, 372, n71. [Google Scholar]
- Morris, S.A. Arterial tortuosity in genetic arteriopathies. Curr. Opin. Cardiol. 2015, 30, 587–593. [Google Scholar] [CrossRef]
- Spinardi, L.; Vornetti, G.; De Martino, S.; Golfieri, R.; Faccioli, L.; Pastore Trossello, M.; Graziano, C.; Mariucci, E.; Donti, A. Intracranial Arterial Tortuosity in Marfan Syndrome and Loeys-Dietz Syndrome: Tortuosity Index Evaluation Is Useful in the Differential Diagnosis. AJNR Am. J. Neuroradiol. 2020, 41, 1916–1922. [Google Scholar] [CrossRef]
- Tschabitscher, M.; Fuss, F.K.; Matula, C.; Klimpel, S. Course of the arteria vertebralis in its segment V1 from the origin to its entry into the foramen processus transversi. Acta Anat. 1991, 140, 373–377. [Google Scholar] [CrossRef] [PubMed]
- Deeks, J.J.; Higgins, J.P.; Altman, D.G. Analysing data and undertaking meta-analyses. In Cochrane Handbook for Systematic Re-views of Interventions; Higgins, J.P.T., Thomas, J., Chandler, J., Cumpston, M., Li, T., Page, M.J., Welch, V.A., Eds.; John Wiley & Sons: Hoboken, NJ, USA, 2019; pp. 241–284. [Google Scholar]
- Trattnig, S.; Matula, C.; Karnel, F.; Daha, K.; Tschabitscher, M.; Schwaighofer, B. Difficulties in examination of the origin of the vertebral artery by duplex and colour-coded Doppler sonography: Anatomical considerations. Neuroradiology 1993, 35, 296–299. [Google Scholar] [CrossRef] [PubMed]
- Vaiman, M.; Beckerman, I. Importance of preoperative detection of vertebral artery anomalies in neck surgery. ANZ J. Surg. 2011, 81, 164–167. [Google Scholar] [CrossRef] [PubMed]
- Adachi, B. Das Arteriensystem der Japaner; In KenkyuSha; Universität zu Kyoto: Kyoto, Japan, 1928. [Google Scholar]
- Alicioglu, B.; Gulekon, N.; Akpinar, S. Age-related morphologic changes of the vertebral artery in the transverse process. Analysis by multidetector computed tomography angiography. Spine J. 2015, 15, 1981–1987. [Google Scholar] [CrossRef]
- Yazıcı, A.; İnanç, Y. Evaluation of BPPV with vertebral artery values. Neuropsychiatry Dis. Treat. 2018, 14, 1975–1979. [Google Scholar] [CrossRef]
- Gitkind, A.I.; Olson, T.R.; Downie, S.A. Vertebral Artery Anatomical Variations as They Relate to Cervical Transforaminal Epidural Steroid Injections. Pain Med. 2014, 15, 1109–1114. [Google Scholar] [CrossRef]
- Bean, R.B. A composite study of the subclavian artery in man. Am J Anat. 1905, 4, 303–328. [Google Scholar] [CrossRef]
- Bergman, R.A.; Afifi, A.K.; Miyauchi, R. Vertebral Arteries—Illustrated Encyclopedia of Human Anatomic Variation: Opus II: Cardiovascular System: Arteries: Head, Neck and Thorax. 2012. Available online: https://www.anatomyatlases.org/AnatomicVariants/Cardiovascular/Text/Arteries/Vertebral.shtml (accessed on 1 December 2022).
- Berko, N.S.; Jain, V.R.; Godelman, A.; Stein, E.G.; Ghosh, S.; Haramati, L.B. Variants and anomalies of thoracic vasculature on computed tomographic angiography in adults. J. Comput. Assist. Tomogr. 2009, 33, 523–528. [Google Scholar] [CrossRef] [PubMed]
- Bhatia, K.; Ghabriel, M.N.; Henneberg, M. Anatomical variations in the branches of the human aortic arch: A recent study of a South Australian population. Folia Morphol. 2005, 64, 217–223. [Google Scholar]
- Budhiraja, V.; Rastogi, R.; Jain, V.; Bankwar, V.; Raghuwanshi, S. Anatomical variations in the branching pattern of human aortic arch: A cadaveric study from central India. ISRN Anat. 2013, 2013, 828969. [Google Scholar] [CrossRef] [PubMed]
- Taitz, C.; Arensburg, B. Vertebral artery tortuosity with concomitant erosion of the foramen of the transverse process of the axis. Possible clinical implications. Acta Anat. 1991, 141, 104–108. [Google Scholar] [CrossRef]
- Cavdar, S.; Dalçik, H.; Ercan, F.; Arbak, S.; Arifoğlu, Y. A morphological study on the V2 segment of the vertebral artery. Okajimas Folia Anat. Jpn. 1996, 73, 133–137. [Google Scholar]
- Chanapa, P.; Mahakkanukrauh, P. Anatomical variations of the V2 vertebral artery study by measuring the width of transverse foramen. J. Med. Assoc. Thai 2012, 95, 569–573. [Google Scholar]
- Lin, C.; Liu, Y.; Chen, Y.; Shih, Y.; Chang, C.; Chuang, M. Variations in the Origin and Course of the Extracranial Vertebral Artery on Multidetector Computed Tomography Angiography. Iran J. Radiol. 2018, 15, e61623. [Google Scholar] [CrossRef]
- Dodevski, A.; Lazareska, M.; Tosovska-Lazarova, D.; Zhivadinovik, J.; Aliji, V. Morphological characteristics of the first part of the vertebral artery. Prilozi 2011, 32, 173–188. [Google Scholar]
- Einstein, E.H.; Song, L.H.; Villela, N.L.; Fasani-Feldberg, G.B.; Jacobs, J.L.; Kim, D.O.; Nathawat, A.; Patel, D.; Bender, R.B.; Peters, D.F.J.A. Anomalous origin of the left vertebral artery from the aortic arch. Aorta 2016, 4, 64–67. [Google Scholar] [CrossRef]
- Civelek, E.; Kiris, T.; Hepgul, K.; Canbolat, A.; Ersoy, G.; Cansever, T. Anterolateral approach to the cervical spine: Major anatomical structures and landmarks: Technical note. J. Neurosurg. Spine 2007, 7, 669–678. [Google Scholar] [CrossRef]
- Ergun, O.; Gunes Tatar, I.; Birgi, E.; Hekimoglu, B. Evaluation of vertebral artery dominance, hypoplasia and variations in the origin: Angiographic study in 254 patients. Folia Morphol. 2016, 75, 33–37. [Google Scholar] [CrossRef] [PubMed]
- Eskander, M.S.; Drew, J.M.; Aubin, M.E.; Marvin, J.; Franklin, P.D.; Eck, J.C.; Patel, N.; Boyle, K.; Connolly, P.J.J.S. Vertebral artery anatomy: A review of two hundred fifty magnetic resonance imaging scans. Spine 2010, 35, 2035–2040. [Google Scholar] [CrossRef] [PubMed]
- Abd El Gawad, F.A.; Shaaban, M.H.; Shuaib, D.M.; Shallan, H.M. Anatomical variations of the vertebral artery and its relation to the atlas vertebra-radiological and dry bone study. Eur. J. Anat. 2019, 23, 49–58. [Google Scholar]
- Gaigalaite, V.; Vilimas, A.; Ozeraitiene, V.; Dementaviciene, J.; Janilionis, R.; Kalibatiene, D.; Rocka, S. Association between vertebral artery hypoplasia and posterior circulation stroke. BMC Neurol. 2016, 16, 118. [Google Scholar] [CrossRef]
- Güvençer, M.; Men, S.; Naderi, S.; Kiray, A.; Tetik, S. The V2 segment of the vertebral artery in anterior and anterolateral cervical spinal surgery: A cadaver angiographic study. Clin. Neurol. Neurosurg. 2006, 108, 440–445. [Google Scholar] [CrossRef]
- Tetiker, H.; Çimen, M.; Kosar, M.I. Evaluation of the Vertebral Artery by 3D Digital Subtraction Angiography. Int. J. Morphol. 2014, 32, 798–802. [Google Scholar] [CrossRef]
- Hauke, P. Schlingenbildung der Arteria carotis und Arteria vertebralis. Angiogr. Klin Befunde 1973, 98, 2381–2384. [Google Scholar] [CrossRef]
- Heary, R.F.; Albert, T.J.; Ludwig, S.C.; Vaccaro, A.R.; Wolansky, L.J.; Leddy, T.P.; Schmidt, R.R. Surgical anatomy of the vertebral arteries. Spine 1996, 21, 2074–2080. [Google Scholar] [CrossRef]
- Hong, J.T.; Park, D.K.; Lee, M.J.; Kim, S.W.; An, H.S. Anatomical Variations of the Vertebral Artery Segment in the Lower Cervical Spine: Analysis by Three-Dimensional Computed Tomography Angiography. Spine 2008, 33, 2422–2426. [Google Scholar] [CrossRef]
- Ikegami, A.; Ohtani, Y.; Ohtani, O. Bilateral variations of the vertebral arteries: The left originating from the aortic arch and the left and right entering the C5 transverse foramina. Anat. Sci. Int. 2007, 82, 175–179. [Google Scholar] [CrossRef]
- Jakanani, G.C.; Adair, W. Frequency of variations in aortic arch anatomy depicted on multidetector CT. Clin. Radiol. 2010, 65, 481–487. [Google Scholar] [CrossRef] [PubMed]
- Johnson, C.P.; Scraggs, M.; How, T.; Burns, J. A necropsy and histomorphometric study of abnormalities in the course of the vertebral artery associated with ossified stylohyoid ligaments. J. Clin. Pathol. 1995, 48, 637–640. [Google Scholar] [CrossRef] [PubMed]
- Kajimoto, B.H.J.; Addeo, R.L.D.; Campos, G.C.d.; Narazaki, D.K.; Correia, L.d.S.; Araújo, M.P.d.; Cristante, A.F.; Iutaka, A.S.; Marcon, R.M.; Oliveira, R.P.; et al. Estudo anatômico do trajeto da artéria vertebral na coluna cervical inferior humana. Acta Ortopédica Bras. 2007, 15, 84–86. [Google Scholar] [CrossRef]
- Kim, C.; Sohn, J.H.; Choi, H.C. Are the anomalous vertebral arteries more hypoplastic?: Retrospective linear mixed model approach. BMC Neurol. 2017, 17, 168. [Google Scholar] [CrossRef]
- Komiyama, M.; Morikawa, T.; Nakajima, H.; Nishikawa, M.; Yasui, T. High Incidence of Arterial Dissection Associated With Left Vertebral Artery of Aortic Origin. Neurol. Med. Chir. 2001, 41, 8–12. [Google Scholar] [CrossRef]
- Li, X.; Guan, L.; Zilundu, P.L.M.; Chen, J.; Chen, Z.; Ma, M.; Zhuang, H.; Zhuang, Z.; Qiu, Y.; Ye, F.; et al. The applied anatomy and clinical significance of the proximal, V1 segment of vertebral artery. Folia Morphol. 2019, 78, 710–719. [Google Scholar] [CrossRef]
- Matula, C.; Trattnig, S.; Tschabitscher, M.; Day, J.D.; Koos, W.T. The course of the prevertebral segment of the vertebral artery: Anatomy and clinical significance. Surg. Neurol. 1997, 48, 131. [Google Scholar] [CrossRef]
- Meila, D.; Tysiac, M.; Petersen, M.; Theisen, O.; Wetter, A.; Mangold, A.; Schlunz-Hendann, M.; Papke, K.; Brassel, F.; Berenstein, A.J.C.N. Origin and course of the extracranial vertebral artery: CTA findings and embryologic considerations. Clin. Neuroradiol. 2012, 22, 327–333. [Google Scholar] [CrossRef]
- Müller, M.; Schmitz, B.L.; Pauls, S.; Schick, M.; Röhrer, S.; Kapapa, T.; Schlötzer, W. Variations of the aortic arch—A study on the most common branching patterns. Acta Radiol. 2011, 52, 738–742. [Google Scholar] [CrossRef]
- O’Malley, A.M.; El Kininy, W.H.; Debebe, H.; Burukan, A.B.; Davy, S.W. A cadaveric study of aortic arch variation in an Irish population. Ir. J. Med. Sci. 2018, 187, 853–858. [Google Scholar] [CrossRef]
- Omotoso, B.R.; Harrichandparsad, R.; Moodley, I.G.; Satyapal, K.S.; Lazarus, L. An anatomical investigation of the proximal vertebral arteries (V1, V2) in a select South African population. Surg. Radiol. Anat. 2021, 43, 929–941. [Google Scholar] [CrossRef]
- Palmer, F.J.; Sequiera, M. Cervical Vertebral Erosion & Vertebral Artery Tortuosity: An Angiographic Study. Australas Radiol. 1980, 24, 20–23. [Google Scholar]
- Patil, S.T.; Meshram, M.M.; Kamdi, N.Y.; Kasote, A.P.; Parchand, M.P. Study on branching pattern of aortic arch in Indian. Anat. Cell Biol. 2012, 45, 203–206. [Google Scholar] [CrossRef] [PubMed]
- Ranganatha Sastry, V.; Manjunath, K.Y. The course of the V1 segment of the vertebral artery. Ann. Indian Acad. Neurol. 2006, 9, 223–226. [Google Scholar]
- Raveendranath, V.; Shankar, N. Anatomical variations of the pre-transverse segment of the vertebral artery in Indian cadavers. Eur. J. Anat. 2014, 18, 159–163. [Google Scholar]
- Russo, V.M.; Graziano, F.; Peris-Celda, M.; Russo, A.; Ulm, A.J. The V(2) segment of the vertebral artery: Anatomical considerations and surgical implications. J. Neurosurg. Spine 2011, 15, 610–619. [Google Scholar] [CrossRef]
- Vujmilović, S.; Spasojević, G.; Vujnović, S.; Malobabić, S.; Vujković, Z. Variability of the vertebral artery origin and transverse foramen entrance level—CT angiographic study. Folia Morphol. 2018, 77, 687–692. [Google Scholar] [CrossRef]
- Schmitt, P.J.; Altafulla, J.J.; Kikuta, S.; Dupont, G.; Iwanaga, J.; Monteith, S.; Litvack, Z.; Dumont, A.S.; Tubbs, R.S. Internal Thoracic Artery to Vertebral Artery Bypass Surgery: A Cadaveric Feasibility Study. World Neurosurg. 2019, 130, e722–e725. [Google Scholar] [CrossRef]
- Shin, H.Y.; Park, J.K.; Park, S.K.; Jung, G.S.; Choi, Y.S. Variations in Entrance of Vertebral Artery in Korean Cervical Spine: MDCT-based Analysis. Korean J. Pain 2014, 27, 266–270. [Google Scholar] [CrossRef]
- Shin, I.Y.; Chung, Y.G.; Shin, W.H.; Im, S.B.; Hwang, S.C.; Kim, B.T. A morphometric study on cadaveric aortic arch and its major branches in 25 korean adults: The perspective of endovascular surgery. J. Korean Neurosurg. Soc. 2008, 44, 78–83. [Google Scholar] [CrossRef]
- Thierfelder, K.M.; Baumann, A.B.; Sommer, W.H.; Armbruster, M.; Opherk, C.; Janssen, H.; Reiser, M.F.; Straube, A.; von Baumgarten, L.J.S. Vertebral artery hypoplasia: Frequency and effect on cerebellar blood flow characteristics. Stroke 2014, 45, 1363–1368. [Google Scholar] [CrossRef] [PubMed]
- Touboul, P.; Bousser, M.; LaPlane, D.; Castaigne, P.J.S. Duplex scanning of normal vertebral arteries. Stroke 1986, 17, 921–923. [Google Scholar] [CrossRef] [PubMed]
- Takafuji, T.; Sato, Y. Study on the subclavian artery and its branches in Japanese adults. Okajimas Folia Anat. Jpn. 1991, 68, 171–185. [Google Scholar] [CrossRef]
- Tubbs, R.S.; Shah, N.A.; Sullivan, B.P.; Marchase, N.D.; Cohen-Gadol, A.A. Surgical anatomy and quantitation of the branches of the V2 and V3 segments of the vertebral artery. Laboratory investigation. J. Neurosurg. Spine 2009, 11, 84–87. [Google Scholar] [CrossRef]
- Uchino, A.; Saito, N.; Takahashi, M.; Okada, Y.; Kozawa, E.; Nishi, N.; Mizukoshi, W.; Nakajima, R.; Watanabe, Y. Variations in the origin of the vertebral artery and its level of entry into the transverse foramen diagnosed by CT angiography. Neuroradiology 2013, 55, 585–594. [Google Scholar] [CrossRef]
- Vorster, W.; du Plooy, P.T.; Meiring, J.H. Abnormal origin of internal thoracic and vertebral arteries. Clin. Anat. 1998, 11, 33–37. [Google Scholar] [CrossRef]
- Wang, L.; Zhang, J.; Xin, S. Morphologic features of the aortic arch and its branches in the adult Chinese population. J. Vasc. Surg. 2016, 64, 1602–1608. [Google Scholar] [CrossRef]
- Woraputtaporn, W.; Ananteerakul, T.; Iamsaard, S.; Namking, M. Incidence of vertebral artery of aortic arch origin, its level of entry into transverse foramen, length, diameter and clinical significance. Anat. Sci. Int. 2019, 94, 275–279. [Google Scholar] [CrossRef]
- Yamaki, K.i.; Saga, T.; Hirata, T.; Sakaino, M.; Nohno, M.; Kobayashi, S.; Hirao, T. Anatomical study of the vertebral artery in Japanese adults. Anat. Sci. Int. 2006, 81, 100–106. [Google Scholar] [CrossRef]
- Chen, Y.Y.; Chao, A.C.; Hsu, H.Y.; Chung, C.P.; Hu, H.H. Vertebral artery hypoplasia is associated with a decrease in net vertebral flow volume. Ultrasound Med. Biol. 2010, 36, 38–43. [Google Scholar] [CrossRef]
- Yi, X.; Xie, P.; Zhang, L.; Lu, F.; Chen, H.; Liu, K. Entrance and origin of the extracranial vertebral artery found on computed tomography angiography. Sci. Rep. 2022, 12, 15274. [Google Scholar] [CrossRef] [PubMed]
- Gray, H.; Standring, S.; Anand, N.; Birch, R.; Collins, P.; Crossman, A.; Gleeson, M.; Jawaheer, G.; Smith, A.L.; Spratt, J.D.; et al. Gray’s Anatomy: The Anatomical Basis of Clinical Practice, 41st ed.; Elsevier: Amsterdam, The Netherlands, 2016. [Google Scholar]
- Rouviere, H.; Delmas, A. Anatomie Humaine; Tête et cou; Masson: Paris, France, 1985. [Google Scholar]
- Morris, P. Practical Neuroangiography; Lippincott Williams & Wilkins: Philadelphia, PA, USA, 2007. [Google Scholar]
- Peng, C.W.; Chou, B.T.; Bendo, J.A.; Spivak, J.M. Vertebral artery injury in cervical spine surgery: Anatomical considerations, management, and preventive measures. Spine J. 2009, 9, 70–76. [Google Scholar] [CrossRef] [PubMed]
- Biffl, W.L.; Moore, E.E.; Elliott, J.P.; Ray, C.; Offner, P.J.; Franciose, R.J.; Brega, K.E.; Burch, J.M. The Devastating Potential of Blunt Vertebral Arterial Injuries. Ann. Surg. 2000, 231, 672–681. [Google Scholar] [CrossRef] [PubMed]
- Mahmodlou, R.; Sepehrvand, N.; Hatami, S. Aberrant Right Subclavian Artery: A Life-threatening Anomaly that should be considered during Esophagectomy. J. Surg. Tech. Case Rep. 2014, 6, 61–63. [Google Scholar] [PubMed]
- Yuan, S.M. Aberrant Origin of Vertebral Artery and its Clinical Implications. Braz. J. Cardiovasc. Surg. 2016, 31, 52–59. [Google Scholar] [CrossRef] [PubMed]
- Lemke, A.-J.; Benndorf, G.; Liebig, T.; Felix, R. Anomalous origin of the right vertebral artery: Review of the literature and case report of right vertebral artery origin distal to the left subclavian artery. Am. J. Neuroradiol. 1999, 20, 1318–1321. [Google Scholar] [PubMed]
- Goray, V.B.; Joshi, A.R.; Garg, A.; Merchant, S.; Yadav, B.; Maheshwari, P. Aortic arch variation: A unique case with anomalous origin of both vertebral arteries as additional branches of the aortic arch distal to left subclavian artery. AJNR Am. J. Neuroradiol. 2005, 26, 93–95. [Google Scholar]
- Al-Okaili, R.; Schwartz, E.D. Bilateral aortic origins of the vertebral arteries with right vertebral artery arising distal to left subclavian artery: Case report. Surg. Neurol. 2007, 67, 174–176, discussion 6. [Google Scholar] [CrossRef]
- Schwarzacher, S.W.; Krammer, E.B. Complex anomalies of the human aortic arch system: Unique case with both vertebral arteries as additional branches of the aortic arch. Anat. Rec. 1989, 225, 246–250. [Google Scholar] [CrossRef]
- Gluncic, V.; Ivkic, G.; Marin, D.; Percac, S. Anomalous origin of both vertebral arteries. Clin. Anat. 1999, 12, 281–284. [Google Scholar] [CrossRef]
- Nasir, S.; Hussain, M.; Khan, S.A.; Mansoor, M.A.; Sharif, S. Anomalous origin of right vertebral artery from right external carotid artery. J. Coll. Physicians Surg. Pak. 2010, 20, 208–210. [Google Scholar] [PubMed]
- Ali, A.; Sedora Roman, N.I.; Cox, M.; Kung, D.; Choudhri, O.; Hurst, R.W.; Pukenas, B.A. Anomalous Origin of the Right Vertebral Artery from the Right Common Carotid Artery. Cureus 2018, 10, e3602. [Google Scholar] [CrossRef] [PubMed]
- Bergman, R.A.; Tubbs, R.S.; Shoja, M.M.; Loukas, M. Bergman’s Comprehensive Encyclopedia of Human Anatomic Variation; John Wiley & Sons: Hoboken, NJ, USA, 2016. [Google Scholar]
- Lasjaunias, P.; Theron, J.; Moret, J. The occipital artery. Anatomy–Normal arteriographic aspects–Embryological significance. Neuroradiology 1978, 15, 31–37. [Google Scholar] [CrossRef] [PubMed]
- Uchino, A.; Tokushige, K. Type 2 left proatlantal artery with normal left vertebral artery and association with an aberrant right subclavian artery and a bi-carotid trunk. Surg. Radiol. Anat. 2022, 44, 419–421. [Google Scholar] [CrossRef]
- Cohen, J.E.; Grigoriadis, S.; Itshayek, E. Type II proatlantal artery (occipital subtype) with bilateral absence of the vertebral arteries. Clin. Anat. 2011, 24, 950–952. [Google Scholar] [CrossRef] [PubMed]
- Tardieu, G.G.; Edwards, B.; Alonso, F.; Watanabe, K.; Saga, T.; Nakamura, M.; Motomura, M.; Sampath, R.; Iwanaga, J.; Goren, O.; et al. Aortic arch origin of the left vertebral artery: An Anatomical and Radiological Study with Significance for Avoiding Complications with Anterior Approaches to the Cervical Spine. Clin. Anat. 2017, 30, 811–816. [Google Scholar] [CrossRef]
- Gantwerker, B.R.; Baaj, A.A.; Maughan, P.H.; McDougall, C.G.; White, W.L. Vertebral artery injury during cervical discectomy and fusion in a patient with bilateral anomalous arteries in the disc space: Case report. Neurosurgery 2010, 67, E874–E875, discussion E5. [Google Scholar] [CrossRef]
- Katsanos, A.H.; Kosmidou, M.; Kyritsis, A.P.; Giannopoulos, S. Is vertebral artery hypoplasia a predisposing factor for posterior circulation cerebral ischemic events? A comprehensive review. Eur Neurol. 2013, 70, 78–83. [Google Scholar] [CrossRef]
- George, B.; Laurian, C. The Vertebral Artery: Pathology and Surgery; Springer: Vienna, Austria, 1987. [Google Scholar]
- Ekşi, M.; Toktaş, Z.O.; Yılmaz, B.; Demir, M.K.; Özcan-Ekşi, E.E.; Bayoumi, A.B.; Yener, Y.; Akakın, A.; Konya, D. Vertebral artery loops in surgical perspective. Eur. Spine J. 2016, 25, 4171–4180. [Google Scholar] [CrossRef]
- Kiresi, D.; Gumus, S.; Cengiz, S.L.; Cicekcibasi, A. The morphometric analysis of the V2 and V3 segments of the vertebral artery: Normal values on MDCT. Comput. Med. Imaging Graph. 2009, 33, 399–407. [Google Scholar] [CrossRef]
- Cacciola, F.; Phalke, U.; Goel, A. Vertebral artery in relationship to C1-C2 vertebrae: An anatomical study. Neurol. India 2004, 52, 178–184. [Google Scholar]
- Fisher, C.M. The pathology and pathogenesis of intracerebral hemorrhage. In Pathogenesis and Treatment of Cerebral Vascular Disease; Fields, W.S., Ed.; Charles C. Thomas Publisher: Sprinfield, IL, USA, 1961; pp. 295–342. [Google Scholar]
- Lang, J.; Kessler, B. About the Suboccipital Part of the Vertebral Artery and the Neighboring Bone-Joint and Nerve Relationships. Skull Base. 1991, 1, 64–72. [Google Scholar] [CrossRef] [PubMed]
- Argenson, C. The vertebral arteries (segments V1 and V2). Anat. Clin. 1980, 2, 29–41. [Google Scholar] [CrossRef]
- Francke, J.; Di Marino, V.; Pannier, M.; Argenson, C.; Libersa, C. The vertebral arteries (arteria vertebralis). The V3 atlanto-axial and V4 intracranial segments-collaterals. Anat. Clin. 1981, 2, 229–242. [Google Scholar] [CrossRef]
- George, B. Exposure of the upper cervical vertebral artery. In Surgery of the Craniovertebral Junction; Springer: Berlin/Heidelberg, Germany, 1998; pp. 545–567. [Google Scholar]
- Panicker, H.; Tarnekar, A.; Dhawane, V.; Ghosh, S. Anomalous origin of left vertebral artery-embryological basis and applied aspects-a case report. J Anat Soc India. 2002, 51, 234–235. [Google Scholar]
- Satti, S.R.; Cerniglia, C.A.; Koenigsberg, R.A. Cervical vertebral artery variations: An anatomic study. AJNR Am. J. Neuroradiol. 2007, 28, 976–980. [Google Scholar]
- Jung, S.; Jung, C.; Bae, Y.J.; Choi, B.S.; Kim, J.H. Duplicated Origin of the Left Vertebral Artery: A Case Report and Embryological Review. Neurointervention 2016, 11, 50–54. [Google Scholar] [CrossRef]
- Bordes, S.J.; Iwanaga, J.; Zarrintan, S.; Watanabe, K.; Tubbs, R.S. Accessory Vertebral Artery: An Embryological Review with Translation from Adachi. Cureus 2021, 13, e13448. [Google Scholar] [CrossRef]
- Suresh, R.; Ovchinnikov, N.; McRae, A. Variations in the branching pattern of the aortic arch in three Trinidadians. West Indian Med. J. 2006, 55, 351–353. [Google Scholar] [CrossRef]
- Gumus, T.; Onal, B.; Ilgit, E.T. Bilateral persistence of type 1 proatlantal arteries: Report of a case and review of the literature. AJNR Am. J. Neuroradiol. 2004, 25, 1622–1624. [Google Scholar]
- Anderson, R.A.; Sondheimer, F.K. Rare carotid-vertebrobasilar anastomoses with notes on the differentiation between proatlantal and hypoglossal arteries. Neuroradiology 1976, 11, 113–118. [Google Scholar] [CrossRef]
- Menshawi, K.; Mohr, J.P.; Gutierrez, J. A Functional Perspective on the Embryology and Anatomy of the Cerebral Blood Supply. J. Stroke 2015, 17, 144–158. [Google Scholar] [CrossRef] [PubMed]
- Oelerich, M.; Schuierer, G. Primitive hypoglossal artery: Demonstration with digital subtraction-, MR- and CT angiography. Eur. Radiol. 1997, 7, 1492–1494. [Google Scholar] [CrossRef] [PubMed]
- Hutchinson, N.A.; Miller, J.D. Persistent proatlantal artery. J. Neurol. Neurosurg. Psychiatry 1970, 33, 524–527. [Google Scholar] [CrossRef] [PubMed]
- Canyigit, M.; Akgoz, A.; Koksal, A.; Yucesoy, C. Aberrant right vertebral artery: A rare aortic arch anomaly. Br. J. Radiol. 2009, 82, 789–791. [Google Scholar] [CrossRef]
- Hsu, D.P.; Alexander, A.D.; Gilkeson, R.C. Anomalous vertebral artery origins: The first and second reports of two variants. J. Neurointerv. Surg. 2010, 2, 160–162. [Google Scholar] [CrossRef]
- Verin, A.L.; Creuze, N.; Musset, D. Multidetector CT scan findings of a right aberrant retroesophageal vertebral artery with an anomalous origin from a cervical aortic arch. Chest 2010, 138, 418–422. [Google Scholar] [CrossRef]
- Lacout, A.; Khalil, A.; Figl, A.; Liloku, R.; Marcy, P.Y. Vertebral arteria lusoria: A life-threatening condition for oesophageal surgery. Surg. Radiol. Anat. 2012, 34, 381–383. [Google Scholar] [CrossRef]
- Jackson, R.S.; Wheeler, A.H.; Darden, B.V. Vertebral artery anomaly with atraumatic dissection causing thromboembolic ischemia: A case report. Spine 2000, 25, 1989–1992. [Google Scholar] [CrossRef]
- Daseler, E.H.; Anson, B.J. Surgical anatomy of the subclavian artery and its branches. Surg. Gynecol. Obstet. 1959, 108, 149–174. [Google Scholar]
- Bernardi, L.; Dettori, P. Angiographic study of a rare anomalous origin of the vertebral artery. Neuroradiology 1975, 9, 43–47. [Google Scholar] [CrossRef]
- Gutierrez, J.; Sacco, R.L.; Wright, C.B. Dolichoectasia-an evolving arterial disease. Nat. Rev. Neurol. 2011, 7, 41–50. [Google Scholar] [CrossRef] [PubMed]
- Park, J.H.; Kim, J.M.; Roh, J.K. Hypoplastic vertebral artery: Frequency and associations with ischaemic stroke territory. J. Neurol. Neurosurg. Psychiatry 2007, 78, 954–958. [Google Scholar] [CrossRef] [PubMed]
- Morris, S.A.; Orbach, D.B.; Geva, T.; Singh, M.N.; Gauvreau, K.; Lacro, R.V. Increased vertebral artery tortuosity index is associated with adverse outcomes in children and young adults with connective tissue disorders. Circulation 2011, 124, 388–396. [Google Scholar] [CrossRef] [PubMed]
- Choi, J.W.; Lee, J.K.; Moon, K.S.; Kim, Y.S.; Kwak, H.J.; Joo, S.P.; Kim, J.H.; Kim, S.H. Endovascular embolization of iatrogenic vertebral artery injury during anterior cervical spine surgery: Report of two cases and review of the literature. Spine 2006, 31, E891–E894. [Google Scholar] [CrossRef] [PubMed]
- Sivaraju, L.; Mani, S.; Prabhu, K.; Daniel, R.T.; Chacko, A.G. Three-dimensional computed tomography angiographic study of the vertebral artery in patients with congenital craniovertebral junction anomalies. Eur. Spine J. 2017, 26, 1028–1038. [Google Scholar] [CrossRef]
- Lindsey, R.W.; Piepmeier, J.; Burkus, J.K. Tortuosity of the vertebral artery: An adventitious finding after cervical trauma—A case report. J. Bone Joint Surg. Am. 1985, 67, 806–808. [Google Scholar] [CrossRef]
- Zhang, D.P.; Zhang, S.L.; Zhang, H.T.; Zhang, S.J. Vertebral artery dominance, brainstem auditory evoked potential, and vertigo of vascular origin. Neurol. Res. 2012, 34, 498–503. [Google Scholar] [CrossRef]
- Hong-tao, Z.; Shu-ling, Z.; Dao-pei, Z. Two case reports of bilateral vertebral artery tortuosity and spiral twisting in vascular vertigo. BMC Neurol. 2014, 14, 14. [Google Scholar] [CrossRef]
- Oga, M.; Yuge, I.; Terada, K.; Shimizu, A.; Sugioka, Y. Tortuosity of the vertebral artery in patients with cervical spondylotic myelopathy. Risk factor for the vertebral artery injury during anterior cervical decompression. Spine 1996, 21, 1085–1089. [Google Scholar] [CrossRef]
- Sterne, J.A.; Gavaghan, D.; Egger, M. Publication and related bias in meta-analysis: Power of statistical tests and prevalence in the literature. J. Clin. Epidemiol. 2000, 53, 1119–1129. [Google Scholar] [CrossRef] [PubMed]
- Yurasakpong, L.; Yammine, K.; Limpanuparb, T.; Janta, S.; Chaiyamoon, A.; Kruepunga, N.; Meemon, K.; Suwannakhan, A. The prevalence of the azygos lobe: A meta-analysis of 1,033,083 subjects. Clin. Anat. 2021, 34, 872–883. [Google Scholar] [CrossRef] [PubMed]































| Anatomical Characteristics | Study Type | Total No. of Articles | Prevalence (%) | Statistical Significance (p < 0.05) | Heterogeneity (%) | Significant Publication Bias (p < 0.05) |
|---|---|---|---|---|---|---|
| LVA_AA | Autopsy | 16 | 5.47 | Yes | 31.05 | Yes |
| LVA_AA | Imaging | 19 | 4.59 | Yes | 73.16 | No |
| LVA_SA | Autopsy | 15 | 94.5 | Yes | 33.29 | Yes |
| LVA_SA | Imaging | 16 | 93.5 | Yes | 97.31 | Yes |
| RVA_SA | Autopsy | 9 | 99.8 | Yes | 19.18 | Yes |
| RVA_SA | Imaging | 14 | 99.9 | Yes | 0 | Yes |
| C4_TF entrance | Autopsy | 8 | 0.7 | Yes | 0 | No |
| C4_TF entrance | Imaging | 17 | 1.45 | Yes | 61.08 | Yes |
| C5_TF entrance | Autopsy | 13 | 4.37 | Yes | 72.12 | No |
| C5_TF entrance | Imaging | 17 | 8.36 | Yes | 99.34 | Yes |
| C6_TF entrance | Autopsy | 17 | 88.2 | Yes | 92.46 | No |
| C6_TF entrance | Imaging | 19 | 93.6 | Yes | 91.53 | No |
| C7_TF entrance | Autopsy | 9 | 5.42 | Yes | 44.21 | No |
| C7_TF entrance | Imaging | 13 | 0.8 | Yes | 71.82 | Yes |
| Tortuosity | Autopsy | 8 | 31.0 | Yes | 96.84 | No |
| Tortuosity | Imaging | 8 | 25.8 | Yes | 99.92 | No |
| Hypoplasia | Autopsy | 3 | 7.63 | No | 89.36 | Yes |
| Hypoplasia | Imaging | 11 | 8.16 | Yes | 94.72 | No |
| Reference & Year | Study Type | Number of Specimens | Area of Interest | NOS-Modified Score |
|---|---|---|---|---|
| Adachi 1928 [19] | Autopsy | 516 | Origin/TF entrance | 5 |
| Alicioglu 2015 [20] | Imaging | 110 | Origin/Tortuosity | 5 |
| Yazici 2018 [21] | Imaging | 100 | Dominance | 4 |
| Gitkind 2014 [22] | Autopsy | 20 | TF entrance/Tortuosity | 5 |
| Bean 1905 [23] | Autopsy | 129 | Origin/TF entrance | 6 |
| Bergman 2012 [24] | Autopsy | 693 | Origin | 5 |
| Berko 2009 [25] | Imaging | 1000 | Origin | 7 |
| Bhatia 2005 [26] | Autopsy | 81 | Origin | 4 |
| Bruneau 2006 [8] | Imaging | 500 | TF entrance/Dominance/Tortuosity | 5 |
| Budhiraja 2013 [27] | Autopsy | 52 | Origin | 5 |
| Taitz 1991 [28] | Autopsy | 36 | Tortuosity | 5 |
| Cavdar 1996 [29] | Autopsy | 24 | TF entrance | 5 |
| Chanapa 2012 [30] | Autopsy | 362 | TF entrance | 4 |
| Lin 2018 [31] | Imaging | 2437 | Origin/TF entrance | 6 |
| Dodevski 2011 [32] | Imaging | 60 | Origin/TF entrance/Tortuosity/Hypoplasia | 5 |
| Einstein 2016 [33] | Autopsy | 27 | Origin | 4 |
| Civelek 2007 [34] | Autopsy | 30 | TF entrance | 4 |
| Ergun 2016 [35] | Imaging | 508 | Origin/Hypoplasia/Dominance | 6 |
| Eskander 2010 [36] | Imaging | 500 | TF entrance/Hypoplasia | 5 |
| Fayza 2019 [37] | Imaging | 200 | Origin/TF entrance/Dominance | 5 |
| Gaigalaite 2016 [38] | Imaging | 742 | Hypoplasia | 6 |
| Güvençer 2006 [39] | Imaging | 24 | TF entrance | 4 |
| Tetiker 2014 [40] | Imaging | 79 | Origin/TF entrance | 4 |
| Hauke 1973 [41] | Imaging | 218 | Tortuosity | 5 |
| Heary 1996 [42] | Imaging | 16 | TF entrance | 4 |
| Hong 2008 [43] | Imaging | 700 | TF entrance/Tortuosity | 6 |
| Ikegami 2007 [44] | Autopsy | 50 | Origin/TF entrance | 4 |
| Jakanani 2010 [45] | Imaging | 861 | Origin | 7 |
| Johnson 1995 [46] | Autopsy | 20 | TF entrance | 5 |
| Kajimoto 2007 [47] | Autopsy | 40 | TF entrance | 5 |
| Kim 2017 [48] | Imaging | 476 | Origin/TF entrance | 5 |
| Komiyama 2001 [49] | Imaging | 1567 | Origin | 6 |
| Li 2019 [50] | Autopsy | 238 | Origin/Tortuosity/Hypoplasia | 6 |
| Matula 1997 [51] | Imaging | 402 | TF entrance/Tortuosity | 6 |
| Meila 2012 [52] | Imaging | 1083 | Origin/TF entrance | 6 |
| Muller 2011 [53] | Imaging | 2033 | Origin | 7 |
| O’Malley 2018 [54] | Autopsy | 24 | Origin | 5 |
| Omotoso 2021 [55] | Imaging | 1108 | Origin/TF entrance/Hypoplasia/Dominance | 5 |
| Palmer 1980 [56] | Imaging | 400 | Tortuosity | 5 |
| Patil 2012 [57] | Autopsy | 75 | Origin | 5 |
| Ranganatha 2006 [58] | Autopsy | 38 | TF entrance/Tortuosity | 4 |
| Raveendranath 2014 [59] | Autopsy | 66 | Origin/TF entrance/Tortuosity/Hypoplasia | 5 |
| Russo 2011 [60] | Autopsy | 20 | TF entrance/Tortuosity | 5 |
| Vujmilović 2018 [61] | Imaging | 224 | Origin/TF entrance | 5 |
| Schmitt 2019 [62] | Autopsy | 10 | TF entrance | 5 |
| Shin 2014 [63] | Imaging | 920 | TF entrance | 6 |
| Shin 2008 [64] | Autopsy | 28 | Origin | 6 |
| Tasdemir 2022 [1] | Imaging | 644 | Origin/TF entrance/Hypoplasia/Dominance | 6 |
| Thierfelder 2014 [65] | Imaging | 934 | Hypoplasia | 6 |
| Touboul 1986 [66] | Imaging | 100 | TF entrance/Hypoplasia/Dominance | 6 |
| Toyoharu 1991 [67] | Autopsy | 144 | Origin | 5 |
| Trattnig 1993 [17] | Autopsy | 140 | Tortuosity/Hypoplasia | 5 |
| Trattnig 1993 [17] | Imaging | 160 | Origin/Tortuosity/Hypoplasia | 6 |
| Tschabitscher 1991 [15] | Autopsy | 70 | TF entrance/Tortuosity | 5 |
| Tubbs 2009 [68] | Autopsy | 20 | TF entrance | 4 |
| Uchino 2013 [69] | Imaging | 4574 | Origin/TF entrance | 6 |
| Vaiman 2010 [18] | Imaging | 23 | Origin/TF entrance | 5 |
| Vorster 1998 [70] | Autopsy | 120 | Origin | 5 |
| Wang 2016 [71] | Imaging | 2370 | Origin/Hypoplasia/Dominance | 4 |
| Woraputtaporn 2019 [72] | Autopsy | 532 | Origin/TF entrance | 6 |
| Yamaki 2006 [73] | Autopsy | 1029 | Origin/TF entrance | 6 |
| Chen 2009 [74] | Imaging | 2000 | Hypoplasia | 6 |
| Yi 2022 [75] | Imaging | 446 | Origin/TF entrance | 6 |
| Anatomical Characteristic | Total No. of Articles | Total No. of Cases | Prevalence (%) | Statistical Significance (p < 0.05) | Heterogeneity (%) |
|---|---|---|---|---|---|
| RVA_AA | 4 | 2992 | 0.1 | No | 11.7 |
| RVA_RCCA | 4 | 4368 | 0.126 | Yes | 0 |
| RVA_BCT | 3 | 848 | 0.539 | No | 73 |
| C3_TF ENTRANCE_LVA_AA | 3 | 40 | 8.11 | No | 0 |
| C4_TF ENTRANCE_LVA_SA | 4 | 2736 | 0.337 | No | 39.11 |
| C7_TF ENTRANCE_LVA_AA | 4 | 181 | 3.95 | Yes | 0 |
| Coronal Tortuosity | 3 | 380 | 16.6 | Yes | 78.87 |
| Sagittal Tortuosity | 3 | 380 | 22.8 | Yes | 27.87 |
| Transverse Tortuosity | 3 | 380 | 30.1 | Yes | 84.63 |
| Straight V1 | 3 | 430 | 45.2 | Yes | 74.14 |
Disclaimer/Publisher’s Note: The statements, opinions and data contained in all publications are solely those of the individual author(s) and contributor(s) and not of MDPI and/or the editor(s). MDPI and/or the editor(s) disclaim responsibility for any injury to people or property resulting from any ideas, methods, instructions or products referred to in the content. |
© 2023 by the authors. Licensee MDPI, Basel, Switzerland. This article is an open access article distributed under the terms and conditions of the Creative Commons Attribution (CC BY) license (https://creativecommons.org/licenses/by/4.0/).
Share and Cite
Tudose, R.C.; Rusu, M.C.; Hostiuc, S. The Vertebral Artery: A Systematic Review and a Meta-Analysis of the Current Literature. Diagnostics 2023, 13, 2036. https://doi.org/10.3390/diagnostics13122036
Tudose RC, Rusu MC, Hostiuc S. The Vertebral Artery: A Systematic Review and a Meta-Analysis of the Current Literature. Diagnostics. 2023; 13(12):2036. https://doi.org/10.3390/diagnostics13122036
Chicago/Turabian StyleTudose, Răzvan Costin, Mugurel Constantin Rusu, and Sorin Hostiuc. 2023. "The Vertebral Artery: A Systematic Review and a Meta-Analysis of the Current Literature" Diagnostics 13, no. 12: 2036. https://doi.org/10.3390/diagnostics13122036
APA StyleTudose, R. C., Rusu, M. C., & Hostiuc, S. (2023). The Vertebral Artery: A Systematic Review and a Meta-Analysis of the Current Literature. Diagnostics, 13(12), 2036. https://doi.org/10.3390/diagnostics13122036

