Cellular Concentration of Survivin and Caspase 3 in Habitual Tobacco Chewers with and without Oral Squamous Cell Carcinoma in South Indian Rural Population—A Case Control Study
Abstract
1. Introduction
2. Materials and Methods
2.1. Patients
2.2. Methods
2.2.1. Sample Collection
2.2.2. Buccal Tissue Sample Analysis
2.2.3. Human Survivin Assay
2.2.4. Human Cysteinyl Aspartate Specific Proteinase 3 (Caspase 3) Assay
2.3. Statistical Analysis
3. Results
3.1. Patients Characteristic Details
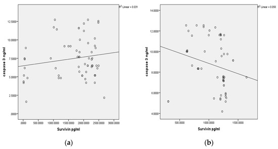
3.2. Survivin and Caspase 3 Analysis
4. Discussion
5. Conclusions
6. Limitations of the Study
Author Contributions
Funding
Institutional Review Board Statement
Informed Consent Statement
Data Availability Statement
Acknowledgments
Conflicts of Interest
References
- Campo-Trapero, J.; Cano-Sanchez, J.; Palacios-Sanchez, B.; Sanchez-Gutierrez, J.J.; Gonzalez-Moles, M.A.; BasconesMartinez, A. Update on Molecular Pathology in Oral Cancer and Precancer. Anticancer Res. 2008, 28, 1197–1206. [Google Scholar]
- Mark Lingen, W. Screening for Oral Premalignancy and cancer: What Platform and Which Biomarkers? Cancer Prev. Res. 2010, 3, 1056–1059. [Google Scholar] [CrossRef]
- Rani, M.; Bonu, S.; Jha, P.; Nguyen, S.N.; Jamjoum, L. Tobacco use in India: Prevalence and predictors of smoking and chewing in a national cross sectional household survey. Tob. Control 2003, 12, e4. [Google Scholar] [CrossRef]
- Cheraghlou, S.; Schettino, A.; Zogg, C.K.; Judson, B.L. Changing prognosis of oral cancer: An analysis of survival and treatment between 1973 and 2014. Laryngoscope 2018, 128, 2762–2769. [Google Scholar] [CrossRef]
- Kalyani, R.; Das, S.; Bindra Singh, M.S.; Kumar, H. Cancer profile in the department of pathology of sridevarajurs medical college, Kolar: A ten years study. Indian J. Cancer 2010, 47, 160–165. [Google Scholar] [CrossRef]
- Lohia, N.; Bhatnagar, S.; Singh, S.; Prashar, M.; Subramananiam, A.; Viswanath, S.; Sahu, P.K.; Rai, A. Survival trends in oral cavity cancer patients treated with surgery and adjuvant radiotherapy in a tertiary center of Northern India: Where do we stand compared to th e developed world? SRM J. Res. Dent. Sci. 2019, 10, 26–31. [Google Scholar]
- Ram, H.; Sarkar, J.; Kumar, H.; Konwar, R.; Bhatt, M.L.B.; Mohammad, S. Oral Cancer: Risk Factors and Molecular Pathogenesis. J. Maxillofac. Oral Surg. 2011, 10, 132–137. [Google Scholar] [CrossRef]
- Mishra, G.A.; Pimple, S.A.; Shastri, S.S. An Overview of the tobacco problem in India. Indian J. Med. Pediatr. Oncol. 2012, 33, 139–145. [Google Scholar] [CrossRef]
- Masthan, K.; Babu, N.A.; Dash, K.C.; Elumalai, M. Advanced Diagnostic Aids in Oral Cancer. Asian Pac. J. Cancer Prev. 2012, 13, 3573–3576. [Google Scholar] [CrossRef]
- International Agency for Research on Cancer. IARC monographs on the evaluation of carcinogenic risks to humans. In Personal Habits and Indoor Combustions; IARC: Lyon, France, 2012; Volume 100E, pp. 43–213. [Google Scholar]
- Patel, K.R.; Vajaria, B.N.; Begum, R.; Desai, A.; Patel, J.B.; Shah, F.D.; Shukla, S.N.; Patel, P.S. Prevalence of high-risk human papillomavirus type 16 and 18 in oral and cervical cancers in population from Gujarat, West India. J. Oral Pathol. Med. 2014, 43, 293–297. [Google Scholar] [CrossRef]
- Balaram, P.; Nalinakumar, K.R.; Abraham, E.; Balan, A.; Hareendran, N.K.; Bernard, H.-U.; Chan, S.-Y. Human papillomaviruses in 91 oral cancers from Indian betel quid chewers–High prevalence and multiplicity of infections. Int. J. Cancer 1995, 61, 450–454. [Google Scholar] [CrossRef]
- Elango, K.J.; Suresh, A.; Erode, E.M.; Subhadradevi, L.; Ravindran, H.K.; Iyer, S.K.; Iyer, S.K.R.; Kuriakose, M.A. Role of human papilloma virus in oral tongueSquamous cell carcinoma. Asian Pac. J. Cancer Prev. 2011, 12, 889–896. [Google Scholar] [PubMed]
- He, S.; Chakraborty, R.; Ranganathan, S. Proliferation and Apoptosis Pathways and Factors in Oral Squamous Cell Carcinoma. Int. J. Mol. Sci. 2022, 23, 1562. [Google Scholar] [CrossRef]
- Rajesh, D.; Mohiyuddin, S.M.; Kutty, A.V.; Balakrishna, S. Prevalence of human papillomavirus in oral squamous cell carcinoma: A rural teaching hospital-based cross-sectional study. Indian J. Cancer 2017, 54, 498–501. [Google Scholar]
- Gao, Z.; Tian, Y.; Wang, J.; Yin, Q.; Wu, H.; Li, Y.M.; Jiang, X. A dimeric Smac/diablo peptide directly relieves caspase-3 inhibition by XIAP. Dynamic and cooperative regulation of XIAP by Smac/Diablo. J. Biol. Chem. 2007, 282, 30718–30727. [Google Scholar] [CrossRef]
- Khan, Z.; Bisen, P.S. Oncoapoptotic signaling and deregulated target genes in caners: Special reference to oral cancer. Biochim. Biophys. Acta 2013, 1836, 123–145. [Google Scholar]
- Song, Z.; Yao, X.; Wu, M. Direct interaction between survivin and Smac/DIABLO is essential for the anti-apoptotic activity of survivin during taxol-induced apoptosis. J. Biol. Chem. 2003, 278, 23130–23140. [Google Scholar] [CrossRef]
- Wheatley, S.P.; McNeish, I.A. Survivin: A protein with dual roles in mitosis and apoptosis. Int. Rev. Cytol. 2005, 247, 35–88. [Google Scholar] [CrossRef]
- Salz, W.; Eisenberg, D.; Plescia, J.; Garlick, D.S.; Weiss, R.M.; Wu, X.R. A Survivin gene signature predicts aggressive tumor behavior. Cancer Res. 2005, 65, 3531–3534. [Google Scholar] [CrossRef]
- Angelin, D.; Nair, B.J. Comparative evaluation of survivin expression in leukoplakia, lichen planus, and oralsquamous cell carcinoma: An immunohistochemical study. J. Cancer Res. Ther. 2020, 16, 569–574. [Google Scholar] [CrossRef] [PubMed]
- Khan, Z.; Khan, N.; Tiwari, R.P.; Patro, I.K.; Prasad, G.B.; Bisen, P.S. Down-regulation of Survivin by oxaliplatin diminishes radio resistance of Head and Neck Squamous carcinoma cells. Radiother. Oncol. 2010, 96, 267–273. [Google Scholar] [CrossRef]
- Mulot, C.; Stücker, I.; Clavel, J.; Beaune, P.; Loriot, M.A. Collection of human genomic DNA from buccal cells for genetics studies: Comparison between cytobrush, mouthwash, and treated card. J. Biomed. Biotechnol. 2005, 3, 291–296. [Google Scholar] [CrossRef] [PubMed]
- Reddy, K.R. Department of Epidemiology and Biostatistics (Hospital Based Cancer Registry). Available online: http://kidwai.kar.nic.in/statistics.htm.downloaded (accessed on 10 October 2017).
- Sciubba, J.J. Oral cancer and its detection: History taking and the diagnostic phase of management. J. Am. Dent. Assoc. 2001, 132, 12S–18S. [Google Scholar] [PubMed]
- Dineshkumar, T.; Ashwini, B.K.; Rameshkumar, A.; Rajashree, P.; Ramya, R.; Rajkumar, K. Salivary and serum interleukin-6 levels in oral premalignant disorders and squamous cell carcinoma: Diagnostic value and clinicopathologic correlations. Asian Pac. J. Cancer Prev. 2016, 17, 4899–4906. [Google Scholar]
- Mahmoud, A.M.; Zekri, W.; Khorshed, E.N.; Shalaby, L.M. Prognostic significance of survivin expression in pediatric ewing sarcoma. Pediatr. Hematol. Oncol. 2021, 39, 16–27. [Google Scholar] [CrossRef] [PubMed]
- Santarelli, A.; Mascitti, M.; Lo Russo, L.; Colella, G.; Giannatempo, G.; Bambini, F.; Emanuelli, M.; Procaccini, M.; LoMuzio, L. Detection Level of Salivary Survivin in Patients with OSCC. J. Carcinog. Mutagen. 2013, S5, 1–4. [Google Scholar]
- Li, S.; Chai, L.; Cai, Z.; Jin, L.; Chen, Y.; Wu, H.; Sun, Z. Expression of Survivin and Caspase 3 in Oral Squamous Cell Carcinoma and Peritumoral Tissue. Asian Pac. J. Cancer Prev. 2012, 13, 5027–5031. [Google Scholar] [CrossRef] [PubMed][Green Version]
- Jane, C.; Nerurkar, A.V.; Shirsat, N.V.; Deshpande, R.B.; Amrapurkar, A.D.; Karjodkar, F.R. Increased survivin expression in high-grade oral Squamous cell carcinoma: A study in Indian tobacco chewers. J. Oral Pathol. Med. 2006, 35, 595–601. [Google Scholar] [CrossRef]
- Gunaldi, M.; Isiksacan, N.; Kocoglu, H.; Okuturlar, Y.; Gunaldi, O.; Topcu, T.O.; Karabulut, M. The value of serum Survivin level in early diagnosis of cancer. J. Cancer Res. Ther. 2018, 14, 570–573. [Google Scholar]
- Sarela, A.I.; Verbeke, C.S.; Ramsdale, J.; Davies, C.L.; Markham, A.F.; Guillou, P.J. Expression of survivin, a novel inhibitor of apoptosis and cell cycle regulatory protein, in pancreatic adenocarcinoma. Br. J. Cancer 2002, 86, 886–892. [Google Scholar] [CrossRef]
- Ikeguchi, M.; Kaibara, N. Survivin messenger RNA expression is a good prognostic biomarker for oesophageal carcinoma. Br. J. Cancer 2002, 87, 883–887. [Google Scholar] [CrossRef] [PubMed][Green Version]
- Tanaka, K.; Iwamoto, S.; Gon, G.; Nohara, T.; Iwamoto, M.; Tanigawa, N. Expression of survivin and its relationship to loss of apoptosis in breast carcinomas. Clin. Cancer Res. 2000, 6, 127–134. [Google Scholar] [PubMed]
- Sanner, T.; Grimsrud, T.K. Nicotine: Carcinogenicity and effects on response to cancer treatment—A review. Front. Oncol. 2015, 5, 196. [Google Scholar] [CrossRef] [PubMed]
- Dasgupta, P.; Kinkade, R.; Joshi, B.; DeCook, C.; Haura, E.; Chellappan, S. Nicotine inhibits apoptosis induced bychemotherapeutic drugs by up-regulating XIAP and survivin. Proc. Natl. Acad. Sci. USA 2006, 103, 6332–6337. [Google Scholar] [CrossRef]
- Altieri, D.C. The molecular basis and potential role of Survivin in cancer diagnosis and therapy. Trend. Mol. Med. 2001, 7, 542–547. [Google Scholar] [CrossRef]
- Ham, M.; Jonathan Kaunitz, D. Gastro-duodenal mucosal defense. Curr. Opin. Gastroenterol. 2008, 24, 665–673. [Google Scholar] [CrossRef]





| Analytes | Groups | Mean ± SD | 95% Confidence Interval for Mean | p Value | |
|---|---|---|---|---|---|
| Lower Bound | Upper Bound | ||||
| Survivin (pg/mL) | Group 1 | 1670.9 ± 796.21 | 1466.94 | 1874.75 | <0.001 |
| Group 2 | 1096.02 ± 346.17 | 1008.11 | 1183.93 | ||
| Group 3 | 397.5 ± 96.1 | 373.29 | 421.69 | ||
| Caspase 3 (ng/mL) | Group 1 | 7.48 ± 2.67 | 6.80 | 8.17 | <0.001 |
| Group 2 | 8.85 ± 2.41 | 8.24 | 9.46 | ||
| Group 3 | 2.27 ± 2.24 | 1.70 | 2.83 | ||
| Multiple Comparisons | |||||||
|---|---|---|---|---|---|---|---|
| Dependent Variable | (I) Group | (J) Group | Mean Difference (I–J) | Std. Error | p Value | 95% Confidence Interval | |
| Lower Bound | Upper Bound | ||||||
| Caspase 3 (ng/mL) | 1 | 2 | −1.37 * | 0.441 | 0.002 * | −2.24 | −0.50 |
| 3 | 5.22 * | 0.440 | 0.001 * | 4.35 | 6.08 | ||
| 2 | 1 | 1.37 * | 0.441 | 0.002 * | 0.50 | 2.24 | |
| 3 | 6.59 * | 0.438 | 0.001 * | 5.72 | 7.45 | ||
| 3 | 1 | −5.22 * | 0.440 | 0.001 * | −6.08 | −4.35 | |
| 2 | −6.59 * | 0.438 | 0.001 * | −7.45 | −5.72 | ||
| Survivin (pg/mL) | 1 | 2 | 574.83 * | 90.34 | 0.001 * | 396.60 | 753.07 |
| 3 | 1273.37 * | 89.96 | 0.001 * | 1095.84 | 1450.90 | ||
| 2 | 1 | −574.83 * | 90.34 | 0.001 * | −753.07 | −396.60 | |
| 3 | 698.54 * | 89.61 | 0.001 * | 521.73 | 875.34 | ||
| 3 | 1 | −1273.37 * | 89.98 | 0.001 * | −1450.90 | −1095.84 | |
| 2 | −698.54 * | 89.61 | 0.001 * | −875.34 | −521.73 | ||
Publisher’s Note: MDPI stays neutral with regard to jurisdictional claims in published maps and institutional affiliations. |
© 2022 by the authors. Licensee MDPI, Basel, Switzerland. This article is an open access article distributed under the terms and conditions of the Creative Commons Attribution (CC BY) license (https://creativecommons.org/licenses/by/4.0/).
Share and Cite
Yesupatham, S.T.; Dayanand, C.D.; Azeem Mohiyuddin, S.M. Cellular Concentration of Survivin and Caspase 3 in Habitual Tobacco Chewers with and without Oral Squamous Cell Carcinoma in South Indian Rural Population—A Case Control Study. Diagnostics 2022, 12, 2249. https://doi.org/10.3390/diagnostics12092249
Yesupatham ST, Dayanand CD, Azeem Mohiyuddin SM. Cellular Concentration of Survivin and Caspase 3 in Habitual Tobacco Chewers with and without Oral Squamous Cell Carcinoma in South Indian Rural Population—A Case Control Study. Diagnostics. 2022; 12(9):2249. https://doi.org/10.3390/diagnostics12092249
Chicago/Turabian StyleYesupatham, Susanna Theophilus, C. D. Dayanand, and S. M. Azeem Mohiyuddin. 2022. "Cellular Concentration of Survivin and Caspase 3 in Habitual Tobacco Chewers with and without Oral Squamous Cell Carcinoma in South Indian Rural Population—A Case Control Study" Diagnostics 12, no. 9: 2249. https://doi.org/10.3390/diagnostics12092249
APA StyleYesupatham, S. T., Dayanand, C. D., & Azeem Mohiyuddin, S. M. (2022). Cellular Concentration of Survivin and Caspase 3 in Habitual Tobacco Chewers with and without Oral Squamous Cell Carcinoma in South Indian Rural Population—A Case Control Study. Diagnostics, 12(9), 2249. https://doi.org/10.3390/diagnostics12092249
