Next Article in Journal
Are We There Yet? The Value of Deep Learning in a Multicenter Setting for Response Prediction of Locally Advanced Rectal Cancer to Neoadjuvant Chemoradiotherapy
Previous Article in Journal
Odontogenic Sinusitis: From Diagnosis to Treatment Possibilities—A Narrative Review of Recent Data
 
 
Font Type:
Arial Georgia Verdana
Font Size:
Aa Aa Aa
Line Spacing:
Column Width:
Background:
Communication

Comparison of Simple RNA Extraction Methods for Molecular Diagnosis of Hepatitis C Virus in Plasma

by
Sayamon Hongjaisee
1,
Yosita Jabjainai
2,
Suthasinee Sakset
3,
Kanya Preechasuth
3,
Nicole Ngo-Giang-Huong
4,5 and
Woottichai Khamduang
3,5,*
1
Research Institute for Health Sciences, Chiang Mai University, Chiang Mai 50200, Thailand
2
School of Medical Sciences, University of Phayao, Phayao 56000, Thailand
3
Infectious Diseases Research Unit, Department of Medical Technology, Faculty of Associated Medical Sciences, Chiang Mai University, Chiangmai 50200, Thailand
4
Maladies Infectieuses et Vecteurs: Écologie, Génétique, Évolution et Contrôle (MIVEGEC), Agropolis University Montpellier, Centre National de la Recherche Scientifique (CNRS), Institut de Recherche Pour le Développement (IRD), 34394 Montpellier, France
5
Associated Medical Sciences (AMS)-PHPT Research Collaboration, Chiang Mai 50200, Thailand
*
Author to whom correspondence should be addressed.
Diagnostics 2022, 12(7), 1599; https://doi.org/10.3390/diagnostics12071599
Submission received: 2 June 2022 / Revised: 21 June 2022 / Accepted: 26 June 2022 / Published: 30 June 2022
(This article belongs to the Section Point-of-Care Diagnostics and Devices)

Abstract

:
Nucleic acid extraction from biological samples is an important step for hepatitis C virus (HCV) diagnosis. However, such extractions are mostly based on silica-based column methodologies, which may limit their application for on-site diagnosis. A simple, rapid, and field-deployable method for RNA extraction is still needed. In this study, we evaluated the efficacy of four simple RNA extraction methods for the detection of HCV in plasma samples: a silica-membrane-based method, a magnetic-beads-based method, boiling with diethyl pyrocarbonate (DEPC)-treated distilled water, and using a commercial lysis buffer. HCV RNA was detected using both real-time reverse transcription polymerase chain reaction (RT-PCR) and reverse transcription loop-mediated isothermal amplification (RT-LAMP). Using real-time RT-PCR, extracted RNA from the silica-membrane-based and magnetic-beads-based methods had a 100% detection rate for RNA extraction from plasma. Using RT-LAMP, extracted RNA from the silica-membrane-based method showed a 66% detection rate, while the magnetic-beads-based method had a 62% detection rate. In summary, magnetic-beads-based extraction can be used as an alternative RNA extraction method for on-site HCV detection. Boiling with DEPC-treated distilled water was not appropriate for low HCV load samples, and boiling with a lysis buffer was not recommended.

1. Introduction

Hepatitis C virus (HCV) is a leading cause of chronic liver disease, cirrhosis, and liver cancer. The current oral direct-acting antiviral (DAA) combinations can cure 95–99% patients [1], but the majority of HCV-infected people are unaware of their infection status. Testing for antibodies to HCV (anti-HCV) is insufficient to diagnose a current HCV infection or ongoing HCV replication. HCV RNA testing is needed. Real-time reverse transcription polymerase chain reaction (RT-PCR) is commonly used for HCV RNA detection/quantification in clinical practice. However, this test is rarely available for an on-site diagnosis, especially in remote settings because it requires specific reagents and instruments with high costs. The development of reverse transcription loop-mediated isothermal amplification assay (RT-LAMP) can facilitate the access to molecular testing for HCV. Indeed, the clinical sensitivity and specificity of RT-LAMP has been previously reported to be as high as 90–100% for HCV detection [2,3,4]. RT-LAMP also stands out in terms of rapidity, simplicity, cost-effectiveness, and accessibility, making it ideal for field or point-of-care use in remote settings where sophisticated and expensive equipment is not available. However, this technique still requires an effective nucleic acid extraction and purification method. Commercial nucleic acid extraction kits are currently based on a silica-based or on magnetic-beads-based technologies. The choice of utility depends on the settings and the number of samples to be tested daily. However, these extraction systems are expensive and require specific instruments such as a centrifuge or automated extractor, limiting the use of RT-LAMP for on-site diagnosis or in the field. In this study, we selected four simple extraction methods to evaluate their efficiency in combination with RT-LAMP detection: (1) a silica-membrane-based extraction method which combines the selective binding properties of a silica-based membrane with the speed of microspin technology; (2) a magnetic-beads-based extraction method which uses the reversible adsorption of nucleic acids to paramagnetic beads and a magnetic separator to clean and purify the nucleic acids; (3) a boiling plasma method; and (4) boiling plasma with a lysis buffer. The 2 boiling methods allow the rapid release of viral RNA. The results confirmed the presence of HCV RNA in extracted samples with real-time RT-PCR.

2. Materials and Methods

This study used leftover plasma samples of 50 HCV-infected individuals who had undergone HCV viral load testing and genotyping for clinical care at the Faculty of Associated Medical Sciences, Chiang Mai University. HCV viral load was initially measured using a commercial real-time RT-PCR assay (COBAS AmpliPrep/COBAS TaqMan HCV Test). The study was approved by the Human Experimentation Committee (Number 17/64, 2 July 2021) and the Institutional Biosafety Committee (Number CMUIBC0363004, 23 December 2020) of the Research Institute for Health Sciences, Chiang Mai University, Thailand. Viral RNA was extracted from plasma samples using four different methods: (1) NucleoSpin RNA Virus (Macherey-Nagel, Düren, Germany) and (2) NucleoMag Virus kit (Macherey-Nagel, Düren, Germany), following the manufacturer’s recommendations; (3) boiling with water, in which 100 µL plasma was mixed 1:1 with diethyl pyrocarbonate (DEPC)-treated distilled water (Invitrogen, CA, USA) and boiled at 95 °C for 10 min [5], the mixture was centrifuged at 8000× g for 1 min, and the supernatant was collected; and (4) boiling with lysis buffer, which was conducted as above, but 100 µL plasma was mixed 1:1 with a commercial lysis buffer (Lysis Buffer RAV1, Macherey-Nagel, Germany). The yield and purity of RNA extracted by the four methods were measured using a NanoDrop™ 2000/2000c Spectrophotometer. For RNA detection by real-time RT-PCR, four µL of viral nucleic acid extract was amplified with 400 nM each of HCV forward and reverse primers, as well as 100 nM of HCV probe [6] of the sensiFAST Probe Lo-ROX One-Step kit. Amplification was performed on an Applied Biosystems 7500 instrument as follows: 45 °C for 10 min; 95 °C for 2 min; 40 cycles of 95 °C for 5 s and 60 °C for 20 s. The fluorescence signal was measured at 60 °C for each cycle. For RNA amplification by RT-LAMP, five µL of nucleic acid extract was used as previously described [2]. Briefly, RT-LAMP reaction was processed at 65 °C for 60 min. The result was visualized with the naked eye based on the color change of the reaction mixture induced by pre-added hydroxynaphthol blue. The samples that turned sky blue were considered to be positive, while those that remained purple were considered to be negative. To evaluate the analytical sensitivity of the four extraction methods, 10-fold serial dilutions of plasma with HCV viral load of 106 IU/mL in 1× phosphate buffer saline were prepared. Aliquots of each dilution were extracted by the four extraction methods. All RNA extracts were tested for HCV RNA by both real time RT-PCR and RT-LAMP. Each reaction was performed in triplicate.

3. Results

The efficacy of the four extraction methods was evaluated using serial dilutions of plasma with HCV viral load of 106 IU/mL. The dilutions that were used were 105, 104, and 103 IU/mL. The four extraction methods showed considerably variable quantities of RNA. Boiling plasma samples with a commercial lysis buffer provided the highest yield of RNA, with a concentration of 695.37 ng/µL, and boiling with DEPC-treated distilled water produced the lowest yield of 0 ng/µL. The purity ranged from 0.14 to 3.46 and was the highest with the silica-membrane-based extraction method (Table 1). Analytical sensitivity on triplicate of serial dilutions of HCV RNA extracts from silica-based membrane and magnetic beads were all detected by real-time RT-PCR with a similar cycle threshold (Ct) and by RT-LAMP at the 106 concentration. The numbers of triplicates detected by both techniques decreased when initial concentrations were 105 or lower. RNA extracts obtained after boiling in DEPC-treated distilled water were less well detected at higher Ct than the silica-membrane and magnetic-bead RNA extracts. Though boiling with a commercial lysis buffer gave the highest RNA yield, none of the RNA extracts yielded a signal in real-time RT-PCR, regardless of the initial HCV RNA concentration. The results from RT-LAMP could not be interpreted, as the color turned from purple to sky blue immediately after adding the extracted RNA to the reaction mix. Thus, boiling with a commercial lysis buffer was not further evaluated.
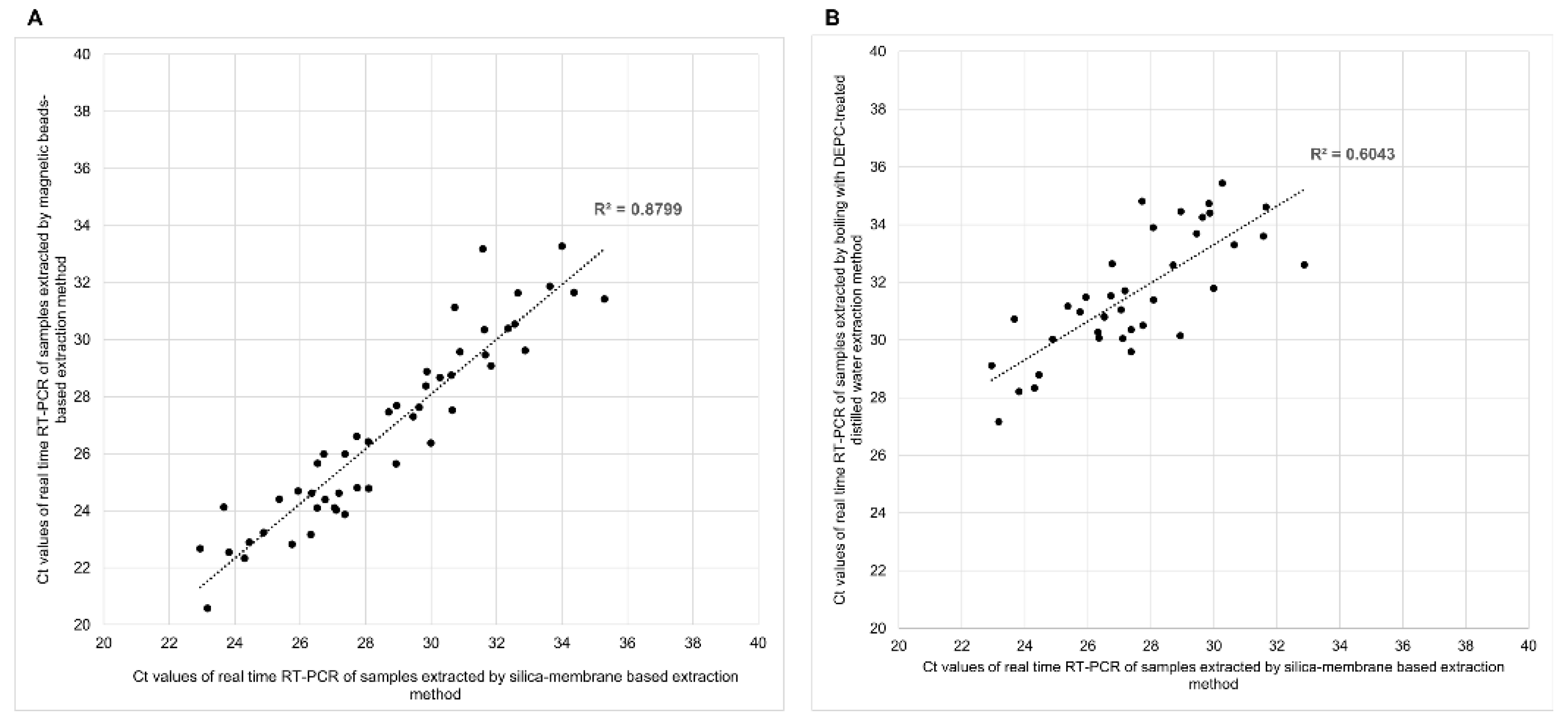
Real-time RT-PCR detection of extract of plasma samples using silica-membrane-based or magnetic-beads-based methods provided positive results in 50/50 samples (100%), Table 2 and Table S1. The RNA extracted from boiling with DEPC-treated distilled water had a 76% detectable rate (38/50). Using RT-LAMP for HCV detection, RNA extracted with the silica-membrane-based method showed the best results with a 66% detectable rate (33/50), while the magnetic-beads-based method showed a 62% rate (31/50). Boiling samples with DEPC-treated distilled water provided the least number of samples with HCV RNA detected; only 7 of 50 (14%) tested positive (Table 2 and Table S1). RT-LAMP results according to the RNA extraction methods are shown in Figure S1. The analysis of correlation between the Ct values of RNA extracted from the three different extraction methods showed an excellent correlation between the Ct values of samples extracted with the silica-membrane-based and magnetic-beads-based methods (R2 = 0.88, Figure 1A). The correlation was less good between the Ct values of samples extracted using the silica-membrane-based and boiling with DEPC-treated distilled water methods (R2 = 0.60, Figure 1B).

4. Discussion

Our study showed variable sensitivities of molecular HCV detection in plasma samples depending on the RNA extraction method used. The silica-membrane-based extraction method is a simple bind–wash–elute process. As noted, the eluates of this kit contain both viral nucleic acids and carrier RNA, which may exceed the amount of authentic nucleic acids from the virus when quantified by the photometric method. However, the extracted RNA from this method is suitable for HCV molecular diagnosis by real-time RT-PCR, and by RT-LAMP when using samples with a high viral load. Previous studies also showed that this method was suitable for RNA isolation from plasma and ready for use in subsequent reactions for viral detection [7,8]. The spin-column-based method also efficiently extracted DNA and facilitated the amplification of targets by LAMP and PCR [9]. However, this extraction method is fast but is the most expensive of the four extraction methods tested. Furthermore, it requires a centrifuge for the separation steps.
The magnetic-beads-based extraction method is based on the reversible adsorption of nucleic acids to paramagnetic beads and uses only a magnetic separator. It does not need a centrifugation step but requires careful pipetting to remove the solution from the beads. In this method, 200 µL plasma sample was used, compared to only 100–150 µL of sample in the other three methods, which may lead to an increase in the RNA extraction capacity. Previous studies also recommended the magnetic bead technology for viral RNA extraction from serum or plasma [10,11]. Our results showed that Ct values from HCV samples extracted by the magnetic-beads-based method and silica-membrane-based method correlated well. Thus, it can be used as an alternative extraction method. A previous study also showed that magnetic-bead extracted DNA had high agreement with spin-column extracted DNA for downstream LAMP testing [12]. However, samples with low viral loads may cause a false negative result when used with RT-LAMP detection. Boiling is a simple and rapid method to release viral RNA from samples, taking about 15 min. Previous studies suggested that simple or direct boiling without any additional purification steps can be used as an alternative RNA isolation method to detect viral infections in clinical samples [5,13]. However, this method yielded the lowest RNA concentration and purity, as compared to others. This might be explained by a degradation of RNA during boiling and/or the lack of an additional step for concentration. Plasma samples showed a slightly decreased sensitivity when processed by boiling prior to amplification. When using real-time RT-PCR for detection, the Ct values from HCV samples extracted by boiling were slightly higher than those of RNA extracted by silica-membrane-based and magnetic beads-based extraction methods and did not strongly correlate. Although the boiling method could be used as a cost-effective alternative to expensive extraction methods, it can only be used when samples have a high viral load. Boiling samples with a commercial lysis buffer provided the highest RNA concentration but a quite low purity of RNA. This might be due to the RNA carrier contained in the lysis buffer and the absence of an additional step to remove the lysis buffer components or purification prior to amplification. We were unable to detect any HCV RNA in all RNA extracts from this method, and the results of RT-LAMP could not be interpreted. This may be due to an effect of inhibitors created or released by boiling. Thus, boiling plasma samples with a commercial lysis buffer cannot be used for RNA extraction in viral detection. However, some studies suggested that boiling techniques could become a suitable DNA extraction method when LAMP assays are used for detection, but this may require specific reagents, such as Triton X-100 or Chelex buffer [14,15]. The limitation of this study may be the relatively low number of samples and the diversity of HCV genotypes tested.

5. Conclusions

In summary, this study demonstrated that the magnetic-beads-based extraction method can be used as an alternative method of plasma RNA extraction for HCV detection. This method is simple, rapid, and inexpensive, and it does not require a centrifugation process, which makes it suitable for on-site diagnosis or in the field when combined with the RT-LAMP technique. This approach may improve the accessibility of HCV testing and help to identify HCV-infected individuals in need of treatment.

Supplementary Materials

The following supporting information can be downloaded at: https://www.mdpi.com/article/10.3390/diagnostics12071599/s1, Figure S1: RT-LAMP results of all 50 clinical samples tested, according to the RNA extraction methods, Table S1: Clinical efficacy evaluation of the viral RNA extraction methods for HCV detection using real-time RT-PCR and RT-LAMP by samples.

Author Contributions

Conceptualization, S.H. and W.K.; methodology, S.H., Y.J. and S.S.; software, Y.J. and W.K.; validation, S.H., K.P., N.N.-G.-H. and W.K.; formal analysis, S.H., Y.J. and S.S.; investigation, K.P., N.N.-G.-H. and W.K.; resources, K.P. and W.K.; data curation, S.H., Y.J. and S.S.; writing—original draft preparation, S.H. and W.K.; writing—review and editing, S.H., Y.J., S.S., K.P., N.N.-G.-H. and W.K.; visualization, S.H., Y.J., S.S. and W.K.; supervision, W.K.; project administration, S.H. and W.K.; funding acquisition, S.H. and W.K. All authors have read and agreed to the published version of the manuscript.

Funding

This research was funded by Chiang Mai University, Thailand. The APC was funded by Chiang Mai University.

Institutional Review Board Statement

The study was approved by the Human Experimentation Committee (Number 17/64, 2 July 2021) and the Institutional Biosafety Committee (Number CMUIBC0363004, 23 December 2020) of the Research Institute for Health Sciences, Chiang Mai University, Thailand.

Informed Consent Statement

Not applicable.

Data Availability Statement

Not applicable.

Acknowledgments

We would like to thank the Division of Clinical Microbiology, Faculty of Associated Medical Sciences, Chiang Mai University for specimen processing.

Conflicts of Interest

The authors declare no conflict of interest.

References

  1. Luo, A.; Xu, P.; Wang, J.; Li, Z.; Wang, S.; Jiang, X.; Ren, H.; Luo, Q. Efficacy and safety of direct-acting antiviral therapy for chronic hepatitis C genotype 6: A meta-analysis. Medicine 2019, 98, e15626. [Google Scholar] [CrossRef] [PubMed]
  2. Hongjaisee, S.; Doungjinda, N.; Khamduang, W.; Carraway, T.S.; Wipasa, J.; Debes, J.D.; Supparatpinyo, K. Rapid visual detection of hepatitis C virus using a reverse transcription loop-mediated isothermal amplification assay. Int. J. Infect. Dis. 2021, 102, 440–445. [Google Scholar] [CrossRef] [PubMed]
  3. Nyan, D.C.; Swinson, K.L. A method for rapid detection and genotype identification of hepatitis C virus 1-6 by one-step reverse transcription loop-mediated isothermal amplification. Int. J. Infect. Dis. 2016, 43, 30–36. [Google Scholar] [CrossRef] [PubMed] [Green Version]
  4. Zhao, N.; Liu, J.; Sun, D. Detection of HCV genotypes 1b and 2a by a reverse transcription loop-mediated isothermal amplification assay. J. Med. Virol. 2017, 89, 1048–1054. [Google Scholar] [CrossRef] [PubMed]
  5. Fereidouni, S.R.; Starick, E.; Ziller, M.; Harder, T.C.; Unger, H.; Hamilton, K.; Globig, A. Sample preparation for avian and porcine influenza virus cDNA amplification simplified: Boiling vs. conventional RNA extraction. J. Virol. Methods 2015, 221, 62–67. [Google Scholar] [CrossRef] [PubMed]
  6. Chen, L.; Li, W.; Zhang, K.; Zhang, R.; Lu, T.; Hao, M.; Jia, T.; Sun, Y.; Lin, G.; Wang, L.; et al. Hepatitis C Virus RNA Real-Time Quantitative RT-PCR Method Based on a New Primer Design Strategy. J. Mol. Diagn. 2016, 18, 84–91. [Google Scholar] [CrossRef] [PubMed]
  7. Gonzalez-Perez, I.; Armas Cayarga, A.; García de la Rosa, I.; Josefina González González, Y. Homemade viral RNA isolation protocol using silica columns: A comparison of four protocols. Anal. Biochem. 2007, 360, 148–150. [Google Scholar] [CrossRef] [PubMed]
  8. Li, X.; Mauro, M.; Williams, Z. Comparison of plasma extracellular RNA isolation kits reveals kit-dependent biases. Biotechniques 2015, 59, 13–17. [Google Scholar] [CrossRef] [PubMed] [Green Version]
  9. Dąbrowska, J.; Karamon, J.; Kochanowski, M.; Sroka, J.; Zdybel, J.; Cencek, T. Comparison Study of Four Extraction Methods Combined with PCR and LAMP for Feline Tritrichomonas foetus Detection in Fecal Samples. Pathogens 2022, 11, 604. [Google Scholar] [CrossRef] [PubMed]
  10. Albertoni, G.A.; Arnoni, C.P.; Barboza Araujo, P.R.; Andrade, S.S.; Carvalho, F.O.; Castello Girão, M.J.B.; Schor, N.; Barreto, J.A. Magnetic bead technology for viral RNA extraction from serum in blood bank screening. Braz. J. Infect. Dis. 2011, 15, 547–552. [Google Scholar] [CrossRef] [Green Version]
  11. Pichl, L.; Heitmann, A.; Herzog, P.; Oster, J.; Smets, H.; Schottstedt, V. Magnetic bead technology in viral RNA and DNA extraction from plasma minipools. Transfusion 2005, 45, 1106–1110. [Google Scholar] [CrossRef] [PubMed]
  12. Muñoz-Calderón, A.A.; Besuschio, S.A.; Wong, S.; Fernández, M.; García Cáceres, L.J.; Giorgio, P.; Barcan, L.A.; Markham, C.; Liu, Y.E.; de Noya, B.A.; et al. Loop-Mediated Isothermal Amplification of Trypanosoma cruzi DNA for Point-of-Care Follow-Up of Anti-Parasitic Treatment of Chagas Disease. Microorganisms 2022, 10, 909. [Google Scholar] [CrossRef] [PubMed]
  13. Jitendra, K.B.; Rajeev, R.; Biswajit, D.; Saravanan, S.; Bramhadev, P. The direct boil RT-mPCR: A simple and rapid method for detection of foot-and-mouth disease virus genome in clinical samples without nucleic acid extraction. Indian J. Vet. Pathol. 2017, 41, 12–17. [Google Scholar]
  14. Sun, Y.; Zhao, L.; Zhao, M.; Zhu, R.; Deng, J.; Wang, F.; Li, F.; Ding, Y.; Tian, R.; Qian, Y. Four DNA extraction methods used in loop-mediated isothermal amplification for rapid adenovirus detection. J. Virol. Methods 2014, 204, 49–52. [Google Scholar] [CrossRef] [PubMed]
  15. Nagai, S.; Yamamoto, K.; Hata, N.; Itakura, S. Study of DNA extraction methods for use in loop-mediated isothermal amplification detection of single resting cysts in the toxic dinoflagellates Alexandrium tamarense and A. catenella. Mar. Genom. 2012, 7, 51–56. [Google Scholar] [CrossRef] [PubMed]
Figure 1. Correlation analysis between cycle threshold (Ct) values obtained by real-time RT-PCR using extracted RNA (n = 50) from silica-membrane-based and magnetic-beads-based extraction methods (A) and boiling using DEPC-treated distilled water extraction methods (B).
Figure 1. Correlation analysis between cycle threshold (Ct) values obtained by real-time RT-PCR using extracted RNA (n = 50) from silica-membrane-based and magnetic-beads-based extraction methods (A) and boiling using DEPC-treated distilled water extraction methods (B).
Diagnostics 12 01599 g001
Table 1. Efficacy of four different extraction methods for molecular diagnosis of HCV in plasma.
Table 1. Efficacy of four different extraction methods for molecular diagnosis of HCV in plasma.
Plasma HCV RNA Level (IU/mL) Extraction Methods
Silica-Membrane BasedMagnetic Beads-BasedBoiling with DEPC-Treated Distilled WaterBoiling with a Commercial Lysis Buffer
106Concentration (ng/µL)345.80 ± 11.446.87 ± 4.03125.63 ± 16.91695.37 ± 13.62
Purity (260/280)3.45 ± 0.041.57 ± 0.120.87 ± 0.021.01 ± 0.04
Real time RT-PCR, Ct a (mean ± SD)24.91 ± 0.2924.11 ± 1.1729.86 ± 0.77Undetectable
RT-LAMP, no. of detectable samples (%)3/3 (100)3/3 (100)2/3 (67)Uninterpreted
105Concentration (ng/µL)347.73 ± 9.201.97 ± 0.8328.30 ± 34.75636.37 ± 1.19
Purity (260/280)3.44 ± 0.011.78 ± 0.900.99 ± 0.281.07 ± 0.04
Real time RT-PCR, Ct (mean ± SD)28.27 ± 1.2527.42 ± 0.7832.48 ± 0.98Undetectable
RT-LAMP, no. of detectable samples (%)1/3 (33)1/3 (33)0/3 (0)Uninterpreted
104Concentration (ng/µL)326.90 ± 47.562.80 ± 0.870.20 ± 0.14620.47 ± 10.98
Purity (260/280)3.43 ± 0.041.97 ± 0.451.85 ± 2.061.08 ± 0.01
Real time RT-PCR, Ct (mean ± SD)32.84 ± 0.4232.80 ± 1.1834.87 ± 1.01Undetectable
RT-LAMP, no. of detectable samples (%)0/3 (0)0/3 (0)0/3 (0)Uninterpreted
103Concentration (ng/µL)318.33 ± 26.132.57 ± 0.720 ± 0.10551.37 ± 126.27
Purity (260/280)3.46 ± 0.012.48 ± 0.730.14 ± 0.901.10 ± 0.01
Real time RT-PCR, Ct (mean ± SD)UndetectableUndetectableUndetectableUndetectable
RT-LAMP, no. of detectable samples (%)0/3 (0)0/3 (0)0/3 (0)Uninterpreted
aCt: Cycle threshold.
Table 2. Clinical efficacy evaluation of the viral RNA extraction methods for HCV detection using real time RT-PCR and RT-LAMP.
Table 2. Clinical efficacy evaluation of the viral RNA extraction methods for HCV detection using real time RT-PCR and RT-LAMP.
HCV Viral Load
(log10 IU/mL)
Extraction Methods
Silica-Membrane BasedMagnetic Beads-BasedBoiling with DEPC-Treated Distilled Water
Real Time RT-PCR, Ct
(Mean ± SD)
RT-LAMP, No. of Detectable Samples (%)Real Time RT-PCR, Ct
(Mean ± SD)
RT-LAMP, No. of Detectable Samples (%)Real Time RT-PCR, Ct
(Mean ± SD)
RT-LAMP, No. of Detectable Samples (%)
6.01–7.00 (N = 10)24.95 ± 1.6410/10 (100)23.19 ± 1.3510/10 (100)29.50 ± 1.273/10 (30)
5.01–6.00 (N = 14)26.76 ± 1.1313/14 (93)24.59 ± 0.9012/14 (86)30.86 ± 0.934/14 (29)
4.01–5.00 (N = 14)29.89 ± 1.379/14 (64)27.89 ± 1.039/14 (64)33.83 ± 1.070/14 (0)
3.01–4.00 (N = 12)32.60 ± 1.441/12 (8)31.21 ± 1.230/12 (0)34.11 ± 0.720/12 (0)
Total (N = 50)50 (100)33 (66)50 (100)31 (62)38 (76)7 (14)
Publisher’s Note: MDPI stays neutral with regard to jurisdictional claims in published maps and institutional affiliations.

Share and Cite

MDPI and ACS Style

Hongjaisee, S.; Jabjainai, Y.; Sakset, S.; Preechasuth, K.; Ngo-Giang-Huong, N.; Khamduang, W. Comparison of Simple RNA Extraction Methods for Molecular Diagnosis of Hepatitis C Virus in Plasma. Diagnostics 2022, 12, 1599. https://doi.org/10.3390/diagnostics12071599

AMA Style

Hongjaisee S, Jabjainai Y, Sakset S, Preechasuth K, Ngo-Giang-Huong N, Khamduang W. Comparison of Simple RNA Extraction Methods for Molecular Diagnosis of Hepatitis C Virus in Plasma. Diagnostics. 2022; 12(7):1599. https://doi.org/10.3390/diagnostics12071599

Chicago/Turabian Style

Hongjaisee, Sayamon, Yosita Jabjainai, Suthasinee Sakset, Kanya Preechasuth, Nicole Ngo-Giang-Huong, and Woottichai Khamduang. 2022. "Comparison of Simple RNA Extraction Methods for Molecular Diagnosis of Hepatitis C Virus in Plasma" Diagnostics 12, no. 7: 1599. https://doi.org/10.3390/diagnostics12071599

APA Style

Hongjaisee, S., Jabjainai, Y., Sakset, S., Preechasuth, K., Ngo-Giang-Huong, N., & Khamduang, W. (2022). Comparison of Simple RNA Extraction Methods for Molecular Diagnosis of Hepatitis C Virus in Plasma. Diagnostics, 12(7), 1599. https://doi.org/10.3390/diagnostics12071599

Note that from the first issue of 2016, this journal uses article numbers instead of page numbers. See further details here.

Article Metrics

Back to TopTop