Comparing Measurements of Vascular Diameter Using Adaptative Optics Imaging and Conventional Fundus Imaging
Abstract
1. Introduction
2. Materials and Methods
3. Results
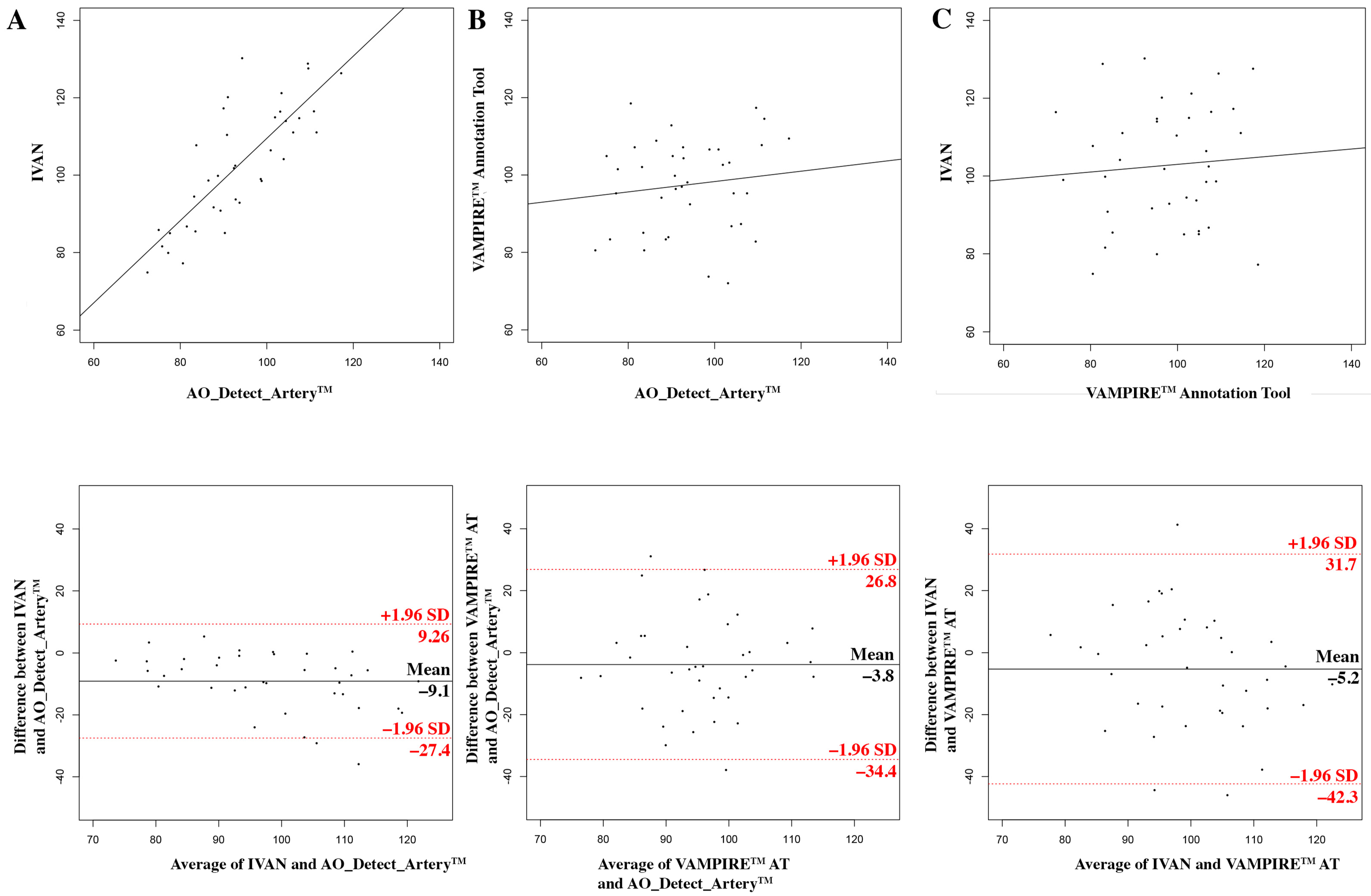
3.1. Measurements of Arterial Diameters
3.1.1. AO and IVAN Measurements
3.1.2. AO and VAMPIRE Measurements
3.1.3. IVAN and VAMPIRE Measurements
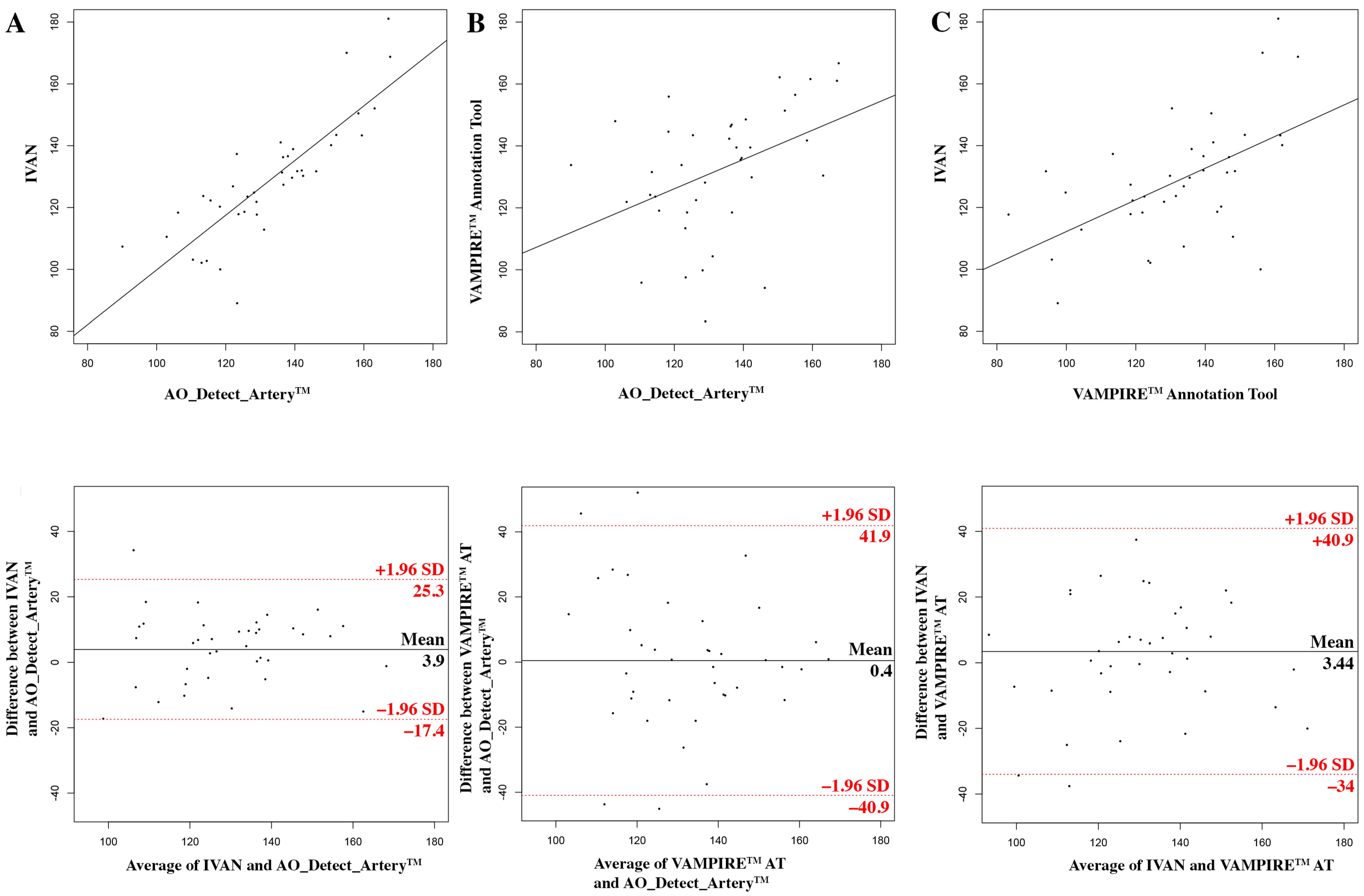
3.2. Measurements of Venular Diameters
3.2.1. AO and IVAN Measurements
3.2.2. AO and VAMPIRE Measurements
3.2.3. IVAN and VAMPIRE Measurements
4. Discussion
5. Conclusions
Author Contributions
Funding
Institutional Review Board Statement
Informed Consent Statement
Data Availability Statement
Conflicts of Interest
References
- Cheung, N.; Sharrett, A.R.; Klein, R.; Criqui, M.H.; Islam, F.M.A.; Macura, K.J.; Cotch, M.F.; Klein, B.E.K.; Wong, T.Y. Aortic Distensibility and Retinal Arteriolar Narrowing: The Multi-Ethnic Study of Atherosclerosis. Hypertension 2007, 50, 617–622. [Google Scholar] [CrossRef] [PubMed]
- Daien, V.; Carriere, I.; Kawasaki, R.; Cristol, J.-P.; Villain, M.; Fesler, P.; Ritchie, K.; Delcourt, C. Retinal Vascular Caliber Is Associated with Cardiovascular Biomarkers of Oxidative Stress and Inflammation: The POLA Study. PLoS ONE 2013, 8, e71089. [Google Scholar] [CrossRef] [PubMed]
- Daien, V.; Granados, L.; Kawasaki, R.; Villain, M.; Ribstein, J.; Du Cailar, G.; Mimran, A.; Fesler, P. Retinal Vascular Caliber Associated with Cardiac and Renal Target Organ Damage in Never-Treated Hypertensive Patients. Microcirculation 2017, 24, e12344. [Google Scholar] [CrossRef] [PubMed]
- Leung, H.; Wang, J.J.; Rochtchina, E.; Tan, A.G.; Wong, T.Y.; Klein, R.; Hubbard, L.D.; Mitchell, P. Relationships between Age, Blood Pressure, and Retinal Vessel Diameters in an Older Population. Investig. Opthalmol. Vis. Sci. 2003, 44, 2900. [Google Scholar] [CrossRef] [PubMed]
- Remond, P.; Aptel, F.; Cunnac, P.; Labarere, J.; Palombi, K.; Pepin, J.-L.; Pollet-Villard, F.; Hogg, S.; Wang, R.; MacGillivray, T.; et al. Retinal Vessel Phenotype in Patients with Non-Arteritic Anterior Ischemic Optic Neuropathy. Am. J. Ophthalmol. 2019, 208, 178–184. [Google Scholar] [CrossRef] [PubMed]
- McGeechan, K.; Liew, G.; Macaskill, P.; Irwig, L.; Klein, R.; Klein, B.E.; Wang, J.J.; Mitchell, P.; Vingerling, J.R.; Witteman, J.C.M.; et al. Meta-analysis: Retinal Vessel Caliber and Risk for Coronary Heart Disease. Ann. Intern. Med. 2009, 151, 404–413. [Google Scholar] [CrossRef]
- Hubbard, L.D.; Brothers, R.J.; King, W.N.; Clegg, L.X.; Klein, R.; Cooper, L.S.; Sharrett, A.R.; Davis, M.D.; Cai, J. Methods for Evaluation of Retinal Microvascular Abnormalities Associated with Hypertension/Sclerosis in the Atherosclerosis Risk in Communities Study. Ophthalmology 1999, 106, 2269–2280. [Google Scholar] [CrossRef]
- Cheung, C.; Wong, T.Y. Quantitative and Qualitative Retinal Microvascular Characteristics and Blood Pressure. J. Hypertens. 2011, 29, 1380–1391. [Google Scholar] [CrossRef] [PubMed]
- Perez-Rovira, A.; MacGillivray, T.; Trucco, E.; Chin, K.S.; Zutis, K.; Lupascu, C.; Tegolo, D.; Giachetti, A.; Wilson, P.J.; Doney, A.; et al. VAMPIRE: Vessel Assessment and Measurement Platform for Images of the REtina. In Proceedings of the 2011 Annual International Conference of the IEEE Engineering in Medicine and Biology Society, Boston, MA, USA, 3 September 2011; pp. 3391–3394. [Google Scholar] [CrossRef]
- Trucco, E.; Ballerini, L.; Relan, D.; Giachetti, A.; MacGillivray, T.; Zutis, K.; Lupascu, C.; Tegolo, D.; Pellegrini, E.; Robertson, G.; et al. Novel VAMPIRE Algorithms for Quantitative Analysis of the Retinal Vasculature. In Proceedings of the 2013 ISSNIP Biosignals and Biorobotics Conference: Biosignals and Robotics for Better and Safer Living (BRC), Rio de Janerio, Brazil, 18–20 February 2013; pp. 1–4. [Google Scholar]
- Trucco, E.; Giachetti, A.; Ballerini, L.; Relan, D.; Cavinato, A.; MacGillivray, T. Morphometric Measurements of The Retinal Vasculature in Fundus Images with Vampire. In Biomedical Image Understanding; Lim, J.-H., Ong, S.-H., Xiong, W., Eds.; John Wiley & Sons, Inc.: Hoboken, NJ, USA, 2015; pp. 91–111. ISBN 978-1-118-71532-1. [Google Scholar]
- Ruggeri, A. Development of a Software Tool for Annotating Vascular Features in Images of the Retinal Fundus. Available online: http://tesi.cab.unipd.it/43657/1/Pieretti_1019427.pdf (accessed on 1 March 2022).
- Fetit, A.E.; Doney, A.S.; Hogg, S.; Wang, R.; MacGillivray, T.; Wardlaw, J.M.; Doubal, F.N.; McKay, G.J.; McKenna, S.; Trucco, E. A Multimodal Approach to Cardiovascular Risk Stratification in Patients with Type 2 Diabetes Incorporating Retinal, Genomic and Clinical Features. Sci. Rep. 2019, 9, 3591. [Google Scholar] [CrossRef] [PubMed]
- McGrory, S.; Ballerini, L.; Doubal, F.N.; Staals, J.; Allerhand, M.; Valdes-Hernandez, M.d.C.; Wang, X.; MacGillivray, T.; Doney, A.S.F.; Dhillon, B.; et al. Retinal Microvasculature and Cerebral Small Vessel Disease in the Lothian Birth Cohort 1936 and Mild Stroke Study. Sci. Rep. 2019, 9, 1–11. [Google Scholar] [CrossRef] [PubMed]
- Knudtson, M.D.; Lee, K.E.; Hubbard, L.D.; Wong, T.Y.; Klein, R.; Klein, B.E.K. Revised Formulas for Summarizing Retinal Vessel Diameters. Curr. Eye Res. 2003, 27, 143–149. [Google Scholar] [CrossRef] [PubMed]
- Witt, N.; Wong, T.Y.; Hughes, A.D.; Chaturvedi, N.; Klein, B.E.; Evans, R.; McNamara, M.; Thom, S.A.M.; Klein, R. Abnormalities of Retinal Microvascular Structure and Risk of Mortality from Ischemic Heart Disease and Stroke. Hypertension 2006, 47, 975–981. [Google Scholar] [CrossRef] [PubMed]
- Hofer, H.; Chen, L.; Yoon, G.Y.; Singer, B.; Yamauchi, Y.; Williams, D.R. Improvement in Retinal Image Quality with Dynamic Correction of the Eye’s Aberrations. Optics Express 2001, 8, 631. [Google Scholar] [CrossRef]
- Koch, E.; Rosenbaum, D.; Brolly, A.; Sahel, J.-A.; Chaumet-Riffaud, P.; Girerd, X.; Rossant, F.; Paques, M. Morphometric Analysis of Small Arteries in the Human Retina Using Adaptive Optics Imaging: Relationship with Blood Pressure and Focal Vascular Changes. J. Hypertens. 2014, 32, 890–898. [Google Scholar] [CrossRef] [PubMed]
- Viard, C.; Nakashima, K.; Lamory, B.; Pâques, M.; Levecq, X.; Château, N. Imaging Microscopic Structures in Pathological Retinas Using a Flood-Illumination Adaptive Optics Retinal Camera. In Proceedings of the Ophthalmic Technologies, San Francisco, CA, USA, 10 February 2011; Manns, F., Söderberg, P.G., Ho, A., Eds.; SPIE: Bellingham, WA, USA, 2011; p. 788509. [Google Scholar]
- Kulcsár, C.; Le Besnerais, G.; Ödlund, E.; Lévecq, X. Robust Processing of Images Sequences Produced by an Adaptive Optics Retinal Camera. In Proceedings of the Imaging and Applied Optics, Arlington, VA, USA, 23–27 June 2013; p. OW3A.3. [Google Scholar]
- De Ciuceis, C.; Agabiti Rosei, C.; Caletti, S.; Trapletti, V.; Coschignano, M.A.; Tiberio, G.A.M.; Duse, S.; Docchio, F.; Pasinetti, S.; Zambonardi, F.; et al. Comparison between Invasive and Noninvasive Techniques of Evaluation of Microvascular Structural Alterations. J. Hypertens. 2018, 36, 1154–1163. [Google Scholar] [CrossRef]
- Mehta, R.A.; Akkali, M.C.; Jayadev, C.; Anuj, A.; Yadav, N.K. Morphometric Analysis of Retinal Arterioles in Control and Hypertensive Population Using Adaptive Optics Imaging. Indian J. Ophthalmol. 2019, 67, 1673–1677. [Google Scholar] [CrossRef] [PubMed]
- Sherry, L.M.; Wang, J.J.; Rochtchina, E.; Wong, T.Y.; Klein, R.; Hubbard, L.D.; Mitchell, P. Reliability of Computer-Assisted Retinal Vessel Measurement in a Population. Clin. Exp. Ophthalmol. 2002, 30, 179–182. [Google Scholar] [CrossRef]
- Baleanu, D.; Ritt, M.; Harazny, J.; Heckmann, J.; Schmieder, R.E.; Michelson, G. Wall-to-Lumen Ratio of Retinal Arterioles and Arteriole-to-Venule Ratio of Retinal Vessels in Patients with Cerebrovascular Damage. Investig. Opthalmol. Vis. Sci. 2009, 50, 4351. [Google Scholar] [CrossRef]
- Chen, H.C.; Patel, V.; Wiek, J.; Rassam, S.M.; Kohner, E.M. Vessel Diameter Changes during the Cardiac Cycle. Eye 1994, 8, 97–103. [Google Scholar] [CrossRef]
- Knudtson, M.D. Variation Associated with Measurement of Retinal Vessel Diameters at Different Points in the Pulse Cycle. Br. J. Ophthalmol. 2004, 88, 57–61. [Google Scholar] [CrossRef][Green Version]
- Blue Mountain Eye Study. Available online: http://www.cvr.org.au/bmes.htm (accessed on 1 March 2022).
- Taarnhøj, N.C.B.B.; Larsen, M.; Sander, B.; Kyvik, K.O.; Kessel, L.; Hougaard, J.L.; Sørensen, T.I.A. Heritability of Retinal Vessel Diameters and Blood Pressure: A Twin Study. Investig. Ophthalmol. Vis. Sci. 2006, 47, 3539–3544. [Google Scholar] [CrossRef] [PubMed]
- Rosman, M.; Zheng, Y.; Lamoureux, E.; Saw, S.M.; Aung, T.; Tay, W.T.; Wong, T.Y. Review of Key Findings from the Singapore Malay Eye Study (SiMES-1). Singap. Med. J. 2012, 53, 82. [Google Scholar]
- Daien, V.; Kawasaki, R.; Villain, M.; Ribstein, J.; Du Cailar, G.; Mimran, A.; Fesler, P. Retinal Vascular Caliber Is Associated with Renal Function in Apparently Healthy Subjects. Acta Ophthalmol. 2013, 91, e283–e288. [Google Scholar] [CrossRef]
- McGowan, A.; Silvestri, G.; Moore, E.; Silvestri, V.; Patterson, C.C.; Maxwell, A.P.; McKay, G.J. Evaluation of the Retinal Vasculature in Hypertension and Chronic Kidney Disease in an Elderly Population of Irish Nuns. PLoS ONE 2015, 10, e0136434. [Google Scholar] [CrossRef] [PubMed]
- Bennett, A.G.; Rudnicka, A.R.; Edgar, D.F. Improvements on Littmann’s Method of Determining the Size of Retinal Features by Fundus Photography. Graefes Arch. Clin. Exp. Ophthalmol. 1994, 232, 361–367. [Google Scholar] [CrossRef]




| For Arterial Diameters | For Venular Diameters | |||
|---|---|---|---|---|
| Mean difference between | In µm | In % of the mean total diameter | In µm | In % of the mean total diameter |
| AO and IVAN | 9.1 | 9.2 | 3.9 | 2.9 |
| AO and VAMPIRE | 3.8 | 3.8 | 0.4 | 0.3 |
| IVAN and VAMPIRE | 5.2 | 5.3 | 3.4 | 2.5 |
Publisher’s Note: MDPI stays neutral with regard to jurisdictional claims in published maps and institutional affiliations. |
© 2022 by the authors. Licensee MDPI, Basel, Switzerland. This article is an open access article distributed under the terms and conditions of the Creative Commons Attribution (CC BY) license (https://creativecommons.org/licenses/by/4.0/).
Share and Cite
Mautuit, T.; Semecas, R.; Hogg, S.; Daien, V.; Gavard, O.; Chateau, N.; MacGillivray, T.; Trucco, E.; Chiquet, C. Comparing Measurements of Vascular Diameter Using Adaptative Optics Imaging and Conventional Fundus Imaging. Diagnostics 2022, 12, 705. https://doi.org/10.3390/diagnostics12030705
Mautuit T, Semecas R, Hogg S, Daien V, Gavard O, Chateau N, MacGillivray T, Trucco E, Chiquet C. Comparing Measurements of Vascular Diameter Using Adaptative Optics Imaging and Conventional Fundus Imaging. Diagnostics. 2022; 12(3):705. https://doi.org/10.3390/diagnostics12030705
Chicago/Turabian StyleMautuit, Thibaud, Rachel Semecas, Stephen Hogg, Vincent Daien, Olivier Gavard, Nicolas Chateau, Tom MacGillivray, Emanuele Trucco, and Christophe Chiquet. 2022. "Comparing Measurements of Vascular Diameter Using Adaptative Optics Imaging and Conventional Fundus Imaging" Diagnostics 12, no. 3: 705. https://doi.org/10.3390/diagnostics12030705
APA StyleMautuit, T., Semecas, R., Hogg, S., Daien, V., Gavard, O., Chateau, N., MacGillivray, T., Trucco, E., & Chiquet, C. (2022). Comparing Measurements of Vascular Diameter Using Adaptative Optics Imaging and Conventional Fundus Imaging. Diagnostics, 12(3), 705. https://doi.org/10.3390/diagnostics12030705

