Comparison Study of the Two Biometers Based on Swept-Source Optical Coherence Tomography Technology
Abstract
1. Introduction
2. Materials and Methods
2.1. Participants
2.2. Sample Size
2.3. Data Acquisition
2.4. Astigmatism Vector Analysis and Double-Angle Plots of Astigmatism
2.5. Intraocular Lens Power Calculation
2.6. Statistical Analyses
3. Results
4. Discussion
Strengths and Limitations
5. Conclusions
Supplementary Materials
Author Contributions
Funding
Institutional Review Board Statement
Informed Consent Statement
Data Availability Statement
Acknowledgments
Conflicts of Interest
References
- Hirnschall, N.; Varsits, R.; Doeller, B.; Findl, O. Enhanced Penetration for Axial Length Measurement of Eyes with Dense Cataracts Using Swept Source Optical Coherence Tomography: A Consecutive Observational Study. Ophthalmol. Ther. 2018, 7, 119–124. [Google Scholar] [CrossRef] [PubMed]
- Srivannaboon, S.; Chirapapaisan, C.; Chonpimai, P.; Loket, S. Clinical comparison of a new swept-source optical coherence to-mography-based optical biometer and a time-domain optical coherence tomography-based optical biometer. J. Cataract Refract. Surg. 2015, 41, 2224–2232. [Google Scholar] [CrossRef] [PubMed]
- Hirnschall, N.; Murphy, S.; Pimenides, D.; Maurino, V.; Findl, O. Assessment of a new averaging algorithm to increase the sensitivity of axial eye length measurement with optical biometry in eyes with dense cataract. J. Cataract Refract. Surg. 2011, 37, 45–49. [Google Scholar] [CrossRef]
- Akman, A.; Asena, L.; Güngör, S.G. Evaluation and comparison of the new swept source OCT-based IOLMaster 700 with the IOLMaster 500. Br. J. Ophthalmol. 2015, 100, 1201–1205. [Google Scholar] [CrossRef] [PubMed]
- Kim, K.Y.; Choi, G.S.; Kang, M.S.; Kim, U.S. Comparison study of the axial length measured using the new swept-source optical coherence tomography ANTERION and the partial coherence interferometry IOL Master. PLoS ONE 2020, 15, e0244590. [Google Scholar] [CrossRef] [PubMed]
- Hirnschall, N.; Leisser, C.; Radda, S.; Maedel, S.; Findl, O. Macular disease detection with a swept-source optical coherence to-mography-based biometry device in patients scheduled for cataract surgery. J. Cataract Refract. Surg. 2016, 42, 530–536. [Google Scholar] [CrossRef] [PubMed][Green Version]
- Panthier, C.; Rouger, H.; Gozlan, Y.; Moran, S.; Gatinel, D. Comparative analysis of 2 biometers using swept-source OCT technology. J. Cataract Refract. Surg. 2021, 48, 26–31. [Google Scholar] [CrossRef]
- Shetty, N.; Kaweri, L.; Koshy, A.; Shetty, R.; Nuijts, R.M.; Roy, A.S. Repeatability of biometry measured by three devices and its impact on predicted intraocular lens power. J. Cataract Refract. Surg. 2021, 47, 585–592. [Google Scholar] [CrossRef]
- Thibos, L.N.; Wheeler, W.; Horner, D. Power Vectors: An Application of Fourier Analysis to the Description and Statistical Analysis of Refractive Error. Optom. Vis. Sci. 1997, 74, 367–375. [Google Scholar] [CrossRef]
- Abulafia, A.; Koch, D.D.; Holladay, J.T.; Wang, L.; Hill, W. Pursuing perfection in intraocular lens calculations: IV. Rethinking astigmatism analysis for intraocular lens-based surgery: Suggested terminology, analysis, and standards for outcome reports. J. Cataract Refract. Surg. 2018, 44, 1169–1174. [Google Scholar] [CrossRef]
- Oh, R.; Oh, J.Y.; Choi, H.J.; Kim, M.K.; Yoon, C.H. Comparison of ocular biometric measurements in patients with cataract using three swept-source optical coherence tomography devices. BMC Ophthalmol. 2021, 21, 1–7. [Google Scholar] [CrossRef] [PubMed]
- Tañá-Sanz, P.; Ruiz-Santos, M.; Rodríguez-Carrillo, M.D.; Aguilar-Córcoles, S.; Montés-Micó, R.; Tañá-Rivero, P. Agreement between intraoperative anterior segment spectral-domain OCT and 2 swept-source OCT biometers. Expert Rev. Med Devices 2021, 18, 387–393. [Google Scholar] [CrossRef] [PubMed]
- Tañá-Rivero, P.; Aguilar-Córcoles, S.; Tello-Elordi, C.; Pastor-Pascual, F.; Montés-Micó, R. Agreement between 2 swept-source OCT biometers and a Scheimpflug partial coherence interferometer. J. Cataract Refract. Surg. 2021, 47, 488–495. [Google Scholar] [CrossRef] [PubMed]
- Fişuş, A.D.; Hirnschall, N.D.; Findl, O. Comparison of 2 swept-source optical coherence tomography–based biometry devices. J. Cataract Refract. Surg. 2021, 47, 87–92. [Google Scholar] [CrossRef] [PubMed]
- Pfaeffli, O.A.; Weber, A.; Hoffer, K.J.; Savini, G.; Baenninger, P.B.; Thiel, M.A.; Taroni, L.; Müller, L. Agreement of IOL power calcu-lation between IOLMaster 700 and Anterion swept source optical coherence tomography-based biometers. J. Cataract Refract. Surg. 2021. [Google Scholar] [CrossRef]
- Omoto, M.K.; Torii, H.; Masui, S.; Ayaki, M.; Tsubota, K.; Negishi, K. Ocular biometry and refractive outcomes using two swept-source optical coherence tomography-based biometers with segmental or equivalent refractive indices. Sci. Rep. 2019, 9, 6557. [Google Scholar] [CrossRef]
- Kessel, L.; Andresen, J.; Tendal, B.; Erngaard, D.; Flesner, P.; Hjortdal, J. Toric Intraocular Lenses in the Correction of Astigmatism During Cataract Surgery: A Systematic Review and Meta-analysis. Ophthalmology 2016, 123, 275–286. [Google Scholar] [CrossRef] [PubMed]
- Olsen, T. Prediction of the effective postoperative (intraocular lens) anterior chamber depth. J. Cataract Refract. Surg. 2006, 32, 419–424. [Google Scholar] [CrossRef] [PubMed]
- Barrett, G.D. An improved universal theoretical formula for intraocular lens power prediction. J. Cataract Refract. Surg. 1993, 19, 713–720. [Google Scholar] [CrossRef]
- Lee, A.C.; Qazi, M.A.; Pepose, J.S. Biometry and intraocular lens power calculation. Curr. Opin. Ophthalmol. 2008, 19, 13–17. [Google Scholar] [CrossRef]
- Özyol, P.; Özyol, E. Agreement Between Swept-Source Optical Biometry and Scheimpflug-based Topography Measurements of Anterior Segment Parameters. Am. J. Ophthalmol. 2016, 169, 73–78. [Google Scholar] [CrossRef]
- Connell, B.J.; Kane, J. Comparison of the Kane formula with existing formulas for intraocular lens power selection. BMJ Open Ophthalmol. 2019, 4, e000251. [Google Scholar] [CrossRef] [PubMed]
- Khoramnia, R.; Rabsilber, T.M.; Auffarth, G. Central and peripheral pachymetry measurements according to age using the Pentacam rotating Scheimpflug camera. J. Cataract Refract. Surg. 2007, 33, 830–836. [Google Scholar] [CrossRef] [PubMed]
- Ratheesh, K.M.; Seah, L.K.; Murukeshan, V.M. Spectral phase-based automatic calibration scheme for swept source-based optical coherence tomography systems. Phys. Med. Biol. 2016, 61, 7652–7663. [Google Scholar] [CrossRef] [PubMed]
- Meleppat, R.K.; Matham, M.V.; Seah, L.K. An efficient phase analysis-based wavenumber linearization scheme for swept source optical coherence tomography systems. Laser Phys. Lett. 2015, 12, 055601. [Google Scholar] [CrossRef]
- Deshpande, K.; Shroff, R.; Biswas, P.; Kapur, K.; Shetty, N.; Koshy, A.S.; Khamar, P. Phakic intraocular lens: Getting the right size. Indian J. Ophthalmol. 2020, 68, 2880–2887. [Google Scholar] [CrossRef] [PubMed]
- Feiz, V.; Mannis, M.J.; Garcia-Ferrer, F.; Kandavel, G.; Darlington, J.K.; Kim, E.; Caspar, J.; Wang, J.L.; Wang, W. Intraocular lens power calculation after laser in situ keratomileusis for myopia and hyperopia: A standardized approach. Cornea 2001, 20, 792–797. [Google Scholar] [CrossRef] [PubMed]
- Karakosta, A.; Vassilaki, M.; Plainis, S.; Elfadl, N.H.; Tsilimbaris, M.; Moschandreas, J. Choice of Analytic Approach for Eye-Specific Outcomes: One Eye or Two? Am. J. Ophthalmol. 2012, 153, 571–579.e1. [Google Scholar] [CrossRef]




| Biometer A (179 Eyes) | Biometer B (179 Eyes) | A–B | p * | |
|---|---|---|---|---|
| Astigmatism magnitude (D) | 1.25 ± 0.88 | 1.27 ± 0.85 | −0.02 ± 0.41 | 0.439 |
| Axis (degree) | 75 ± 50 | 85 ± 56 | −11 ± 54 | 0.009 # |
| J0 | −0.05 ± 0.51 | −0.03 ± 0.57 | −0.01 ± 0.82 | 0.841 |
| J45 | 0.03 ± 0.57 | 0.03 ± 0.51 | 0.01 ± 0.75 | 0.902 |
| Biometer A (179 Eyes) | Biometer B (179 Eyes) | A–B | p * | |
|---|---|---|---|---|
| AL (mm) | 23.71 ± 1.82 | 23.71 ± 1.82 | −0.002 ± 0.04 | 0.469 |
| CCT (μm) | 526 ± 31 | 534 ± 32 | −8 ± 8 | <0.001 # |
| ACD (mm) | 3.19 ± 0.46 | 3.12 ± 0.46 | 0.07 ± 0.05 | <0.001 # |
| LT (mm) | 4.46 ± 0.47 | 4.42 ± 0.46 | 0.04 ± 0.11 | <0.001 # |
| Kf (D) | 43.96 ± 1.62 | 44.17 ± 1.67 | −0.21 ± 0.28 | <0.001 # |
| Ks (D) | 45.21 ± 1.68 | 45.44 ± 1.71 | −0.24 ± 0.36 | <0.001 # |
| Km (D) | 44.57 ± 1.59 | 44.80 ± 1.64 | −0.23 ± 0.25 | <0.001 # |
| WTW (mm) | 11.38 ± 0.46 | 11.62 ± 0.42 | −0.24 ± 0.30 | <0.001 # |
| IOL power (D) | 19.8 ± 5.2 | 19.5 ± 5.1 | 0.34 ± 0.45 | <0.001 # |
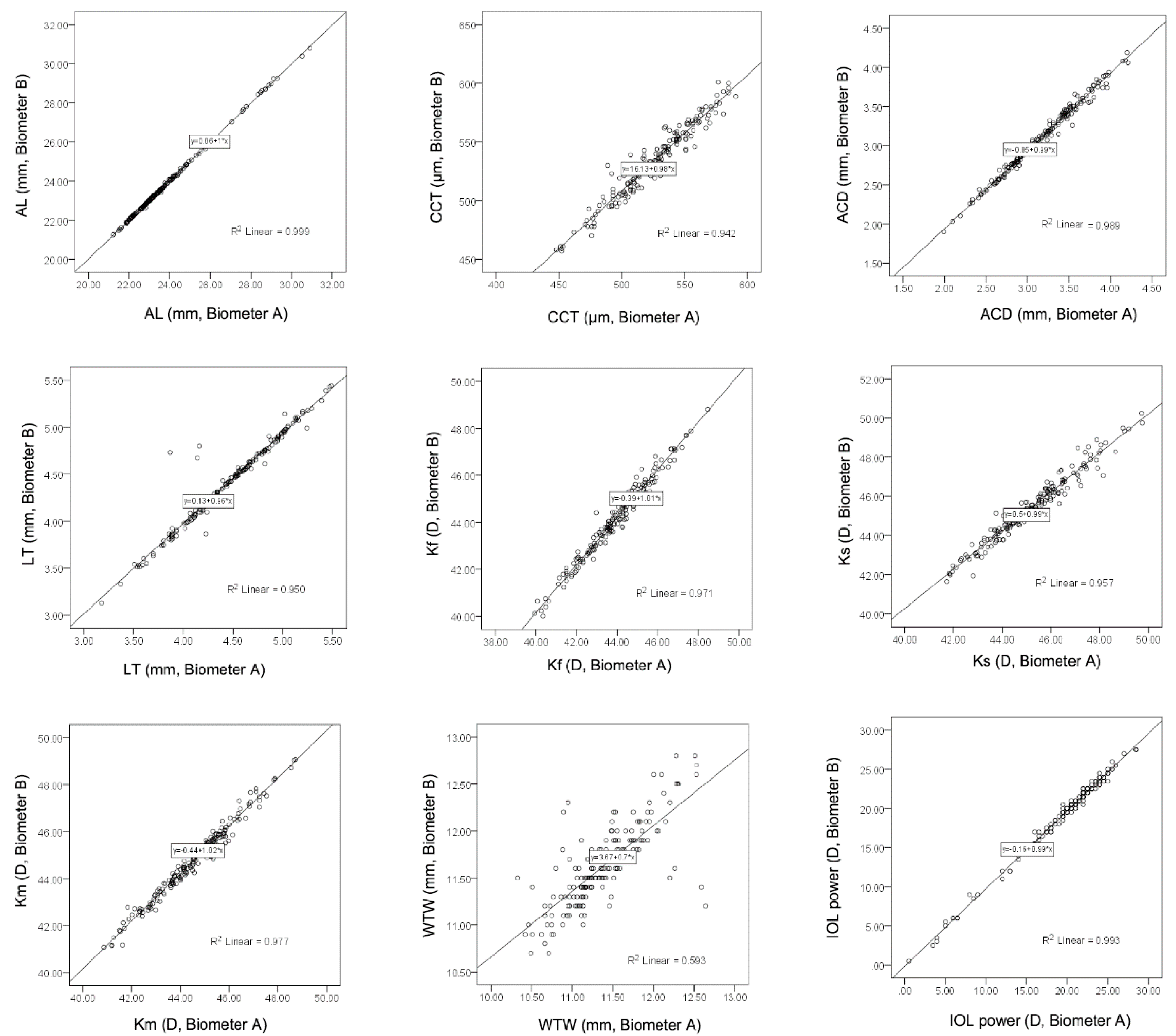
| Linear Regression Formula | R2 | |
|---|---|---|
| AL (mm) | y = 0.06 + 1 × x | 0.999 |
| CCT (μm) | y = 16.13 + 0.98 × x | 0.942 |
| ACD (mm) | y = 0.05 + 0.99 × x | 0.989 |
| LT (mm) | y = 0.13 + 0.96 × x | 0.950 |
| Kf (D) | y = −0.39 + 1.01 × x | 0.971 |
| Ks (D) | y = 0.5 + 0.99 × x | 0.957 |
| Km (D) | y = −0.44 + 1.02 × x | 0.977 |
| WTW (mm) | y = 3.67 + 0.7 × x | 0.593 |
| IOL power (D) | y = 0.16 + 0.99 × x | 0.993 |
| Anterion—IOLMaster 700 Mean Difference | ||||||||||
|---|---|---|---|---|---|---|---|---|---|---|
| Sample Size | AL (mm) | CCT (μm) | ACD (mm) | LT (mm) | Kf (D) | Ks (D) | Km (D) | WTW (mm) | IOL Power (D) | |
| Panthier C [7] | 125 | −0.01 | −9 | 0.06 | 0.07 | - | - | −0.11 | −0.26 | - |
| Shetty N [8] | 127 | −0.04 | 1.5 | 0.061 | 0.09 | −0.15 | −0.15 | −0.15 | −0.24 | −0.19 |
| Oh R [11] | 47 | −0.005 * | 0.702 | 0.058 | 0.154 # | −0.166 | 0.034 | −0.059 | - | - |
| Tañá-Sanz P [12] | 102 | - | −7.637 | 0.067 | 0.062 | - | - | - | −0.149 | - |
| Tañá-Rivero [13] | 49 | −0.0044 | −6.8 | 0.0615 | −0.0591 | −0.0307 | −0.0435 | - | - | - |
| Fişuş AD [14] | 389 | −0.01 | −5.66 | 0.07 | 0.06 | −0.14 | −0.11 | −0.11 | - | - |
| Pfaeffli OA [15] | 78 | −0.01 | - | 0.07 | 0.07 | 0.07 | 0.03 | - | −0.22 | - |
Publisher’s Note: MDPI stays neutral with regard to jurisdictional claims in published maps and institutional affiliations. |
© 2022 by the authors. Licensee MDPI, Basel, Switzerland. This article is an open access article distributed under the terms and conditions of the Creative Commons Attribution (CC BY) license (https://creativecommons.org/licenses/by/4.0/).
Share and Cite
Dong, J.; Yao, J.; Chang, S.; Kanclerz, P.; Khoramnia, R.; Wang, X. Comparison Study of the Two Biometers Based on Swept-Source Optical Coherence Tomography Technology. Diagnostics 2022, 12, 598. https://doi.org/10.3390/diagnostics12030598
Dong J, Yao J, Chang S, Kanclerz P, Khoramnia R, Wang X. Comparison Study of the Two Biometers Based on Swept-Source Optical Coherence Tomography Technology. Diagnostics. 2022; 12(3):598. https://doi.org/10.3390/diagnostics12030598
Chicago/Turabian StyleDong, Jing, Jinhan Yao, Shuimiao Chang, Piotr Kanclerz, Ramin Khoramnia, and Xiaogang Wang. 2022. "Comparison Study of the Two Biometers Based on Swept-Source Optical Coherence Tomography Technology" Diagnostics 12, no. 3: 598. https://doi.org/10.3390/diagnostics12030598
APA StyleDong, J., Yao, J., Chang, S., Kanclerz, P., Khoramnia, R., & Wang, X. (2022). Comparison Study of the Two Biometers Based on Swept-Source Optical Coherence Tomography Technology. Diagnostics, 12(3), 598. https://doi.org/10.3390/diagnostics12030598

