Validation of Existing Clinical Prediction Tools for Primary Aldosteronism Subtyping
Abstract
1. Introduction
2. Materials and Methods
2.1. Patients
2.2. Drugs Management
2.3. Saline Infusion Test (SIT)
2.4. CT Findings
2.5. Adrenal Venous Sampling (AVS)
2.6. Laboratory Methods
2.7. Blood Pressure Measurement
2.8. Statistical Analysis
2.9. Comparison with Other Criteria for Bypassing Adrenal Venous Sampling
3. Results
3.1. Study Population
3.2. Saline Infusion Test (Development Cohort)
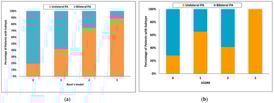
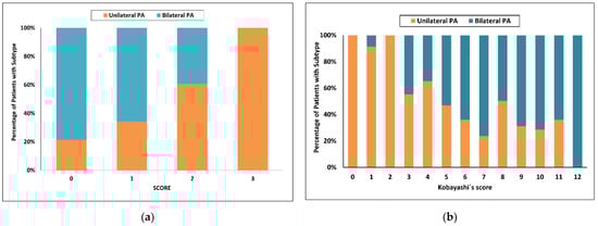
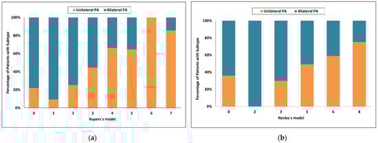
3.3. Validation of the Previously Published Prediction Scores and Models
4. Discussion
Author Contributions
Funding
Institutional Review Board Statement
Informed Consent Statement
Data Availability Statement
Conflicts of Interest
References
- Kaplan, N.M. Primary aldosteronism. In Kaplan’s Clinical Hypertension; Kaplan, N.M., Ed.; Lippincott Williams & Wilkins: Philadelphia, PA, USA, 2006; pp. 410–433. [Google Scholar]
- Rizzoni, D.; Paiardi, S.; Rodella, L.; Porteri, E.; De Ciuceis, C.; Rezzani, R.; Boari, G.E.M.; Zani, F.; Miclini, M.; Tiberio, G.A.M.; et al. Changes in Extracellular Matrix in Subcutaneous Small Resistance Arteries of Patients with Primary Aldosteronism. J. Clin. Endocrinol. Metab. 2006, 91, 2638–2642. [Google Scholar] [CrossRef] [PubMed]
- Štrauch, B.; Petrák, O.; Wichterle, D.; Zelinka, T.; Holaj, R.; Widimský, J., Jr. Increased arterial wall stiffness in primary aldosteronism in comparison with essential hypertension. Am. J. Hypertens. 2006, 19, 909–914. [Google Scholar] [CrossRef] [PubMed]
- Rossi, G.P.; Di Bello, V.; Ganzaroli, C.; Sacchetto, A.; Cesari, M.; Bertini, A.; Giorgi, D.; Scognamiglio, R.; Mariani, M.; Pessina, A.C. Excess aldosterone is associated with alterations of myocardial texture in primary aldosteronism. Hypertension 2002, 40, 23–27. [Google Scholar] [CrossRef] [PubMed]
- Holaj, R.; Zelinka, T.; Wichterle, D.; Petrák, O.; Štrauch, B.; Widimský, J., Jr. Increased intima-media thickness of the common carotid artery in primary aldosteronism in comparison with essential hypertension. J. Hypertens. 2007, 25, 1451–1457. [Google Scholar] [CrossRef]
- Schmidt, B.M.; Schmieder, R.E. Aldosterone-induced cardiac damage: Focus on blood pressure independent effects. Am. J. Hypertens. 2003, 16, 80–86. [Google Scholar] [CrossRef]
- Indra, T.; Holaj, R.; Zelinka, T.; Petrák, O.; Štrauch, B.; Rosa, J.; Šomlóová, Z.; Malík, J.; Janota, T.; Hradec, J.; et al. Left ventricle remodeling in men with moderate to severe volume-dependent hypertension. J. Renin Angiotensin Aldosterone Syst. 2012, 13, 426–434. [Google Scholar] [CrossRef]
- Catena, C.; Colussi, G.; Brosolo, G.; Novello, M.; Sechi, L.A. Aldosterone and Left Ventricular Remodeling. Horm. Metab. Res. 2015, 47, 981–986. [Google Scholar] [CrossRef]
- Fardella, C.E.; Mosso, L.; Gomez-Sanchez, C.; Cortes, P.; Soto, J.; Gomez, L.; Pinto, M.; Huete, A.; Oestreicher, E.; Foradori, A.; et al. Primary hyperaldosteronism in essential hypertensives: Prevalence, biochemical profile, and molecular biology. J. Clin. Endocrinol. Metab. 2000, 85, 1863–1867. [Google Scholar] [CrossRef]
- Rossi, G.P.; Bernini, G.; Caliumi, C.; Desideri, G.; Fabris, B.; Ferri, C.; Ganzaroli, C.; Giacchetti, G.; Letizia, C.; Maccario, M.; et al. A prospective study of the prevalence of primary aldosteronism in 1,125 hypertensive patients. J. Am. Coll. Cardiol. 2006, 48, 2293–2300. [Google Scholar] [CrossRef]
- Kayser, S.C.; Deinum, J.; de Grauw, W.J.; Schalk, B.W.; Bor, H.J.; Lenders, J.W.; Schermer, T.R.; Biermans, M.C. Prevalence of primary aldosteronism in primary care: A cross-sectional study. Br. J. Gen. Pract. 2018, 68, e114–e122. [Google Scholar] [CrossRef]
- Štrauch, B.; Zelinka, T.; Hampf, M.; Bernhardt, R.; Widimský, J., Jr. Prevalence of primary hyperaldosteronism in moderate to severe hypertension in the Central Europe region. J. Hum. Hypertens. 2003, 17, 349–352. [Google Scholar] [CrossRef] [PubMed]
- Brown, J.M.; Siddiqui, M.; Calhoun, D.A.; Carey, R.M.; Hopkins, P.N.; Williams, G.H.; Vaidya, A. The Unrecognized Prevalence of Primary Aldosteronism: A Cross-sectional Study. Ann. Intern. Med. 2020, 173, 10–20. [Google Scholar] [CrossRef] [PubMed]
- Parasiliti-Caprino, M.; Lopez, C.; Prencipe, N.; Lucatello, B.; Settanni, F.; Giraudo, G.; Rossato, D.; Mengozzi, G.; Ghigo, E.; Benso, A.; et al. Prevalence of primary aldosteronism and association with cardiovascular complications in patients with resistant and refractory hypertension. J. Hypertens. 2020, 38, 1841–1848. [Google Scholar] [CrossRef] [PubMed]
- Funder, J.W.; Carey, R.M.; Mantero, F.; Murad, M.H.; Reincke, M.; Shibata, H.; Stowasser, M.; Young, W.F., Jr. The Management of Primary Aldosteronism: Case Detection, Diagnosis, and Treatment: An Endocrine Society Clinical Practice Guideline. J. Clin. Endocrinol. Metab. 2016, 101, 1889–1916. [Google Scholar] [CrossRef]
- Conn, J.W. The evolution of primary aldosteronism: 1954–1967. Harvey Lect. 1966, 62, 257–291. [Google Scholar] [PubMed]
- Zelinka, T.; Masek, M.; Vlkova, J.; Kasalicky, M.; Michalsky, D.; Holaj, R.; Petrak, O.; Strauch, B.; Rosa, J.; Dvorakova, J.; et al. Discrepant results of adrenal venous sampling in seven patients with primary aldosteronism. Kidney Blood Press. Res. 2012, 35, 205–210. [Google Scholar] [CrossRef]
- Rossi, G.P.; Auchus, R.J.; Brown, M.; Lenders, J.W.; Naruse, M.; Plouin, P.F.; Satoh, F.; Young, W.F., Jr. An expert consensus statement on use of adrenal vein sampling for the subtyping of primary aldosteronism. Hypertension 2014, 63, 151–160. [Google Scholar] [CrossRef]
- Stowasser, M. Adrenal venous sampling for differentiating unilateral from bilateral primary aldosteronism: Still the best, but could be better. Hypertension 2015, 65, 704–706. [Google Scholar] [CrossRef]
- Kupers, E.M.; Amar, L.; Raynaud, A.; Plouin, P.F.; Steichen, O. A clinical prediction score to diagnose unilateral primary aldosteronism. J. Clin. Endocrinol. Metab. 2012, 97, 3530–3537. [Google Scholar] [CrossRef]
- Nanba, K.; Tsuiki, M.; Nakao, K.; Nanba, A.; Usui, T.; Tagami, T.; Hirokawa, Y.; Okuno, H.; Suzuki, T.; Shimbo, T.; et al. A subtype prediction score for primary aldosteronism. J. Hum. Hypertens. 2014, 28, 716–720. [Google Scholar] [CrossRef]
- Kocjan, T.; Janez, A.; Stankovic, M.; Vidmar, G.; Jensterle, M. A New Clinical Prediction Criterion Accurately Determines a Subset of Patients with Bilateral Primary Aldosteronism before Adrenal Venous Sampling. Endocr. Pract. 2016, 22, 587–594. [Google Scholar] [CrossRef] [PubMed]
- Kamemura, K.; Wada, N.; Ichijo, T.; Matsuda, Y.; Fujii, Y.; Kai, T.; Fukuoka, T.; Sakamoto, R.; Ogo, A.; Suzuki, T.; et al. Significance of adrenal computed tomography in predicting laterality and indicating adrenal vein sampling in primary aldosteronism. J. Hum. Hypertens. 2016, 31, 195–199. [Google Scholar] [CrossRef] [PubMed]
- Kobayashi, H.; Abe, M.; Soma, M.; Takeda, Y.; Kurihara, I.; Itoh, H.; Umakoshi, H.; Tsuiki, M.; Katabami, T.; Ichijo, T.; et al. Development and validation of subtype prediction scores for the workup of primary aldosteronism. J. Hypertens. 2018, 36, 2269–2276. [Google Scholar] [CrossRef] [PubMed]
- Puar, T.H.; Loh, W.J.; Lim, D.S.; Loh, L.M.; Zhang, M.; Foo, R.S.; Lee, L.; Swee, D.S.; Khoo, J.; Tay, D.; et al. Aldosterone-potassium ratio predicts primary aldosteronism subtype. J. Hypertens. 2020, 38, 1375–1383. [Google Scholar] [CrossRef]
- Nagano, H.; Kono, T.; Saiga, A.; Kubota, Y.; Fujimoto, M.; Felizola, S.J.A.; Ishiwata, K.; Tamura, A.; Higuchi, S.; Sakuma, I.; et al. Aldosterone Reduction Rate After Saline Infusion Test May Be a Novel Prediction in Patients With Primary Aldosteronism. J. Clin. Endocrinol. Metab. 2020, 105, e319–e327. [Google Scholar] [CrossRef]
- Burrello, J.; Amongero, M.; Buffolo, F.; Sconfienza, E.; Forestiero, V.; Burrello, A.; Adolf, C.; Handgriff, L.; Reincke, M.; Veglio, F.; et al. Development of a Prediction Score to Avoid Confirmatory Testing in Patients With Suspected Primary Aldosteronism. J. Clin. Endocrinol. Metab. 2021, 106, e1708–e1716. [Google Scholar] [CrossRef]
- Lee, S.H.; Kim, J.W.; Yoon, H.K.; Koh, J.M.; Shin, C.S.; Kim, S.W.; Kim, J.H. Diagnostic Accuracy of Computed Tomography in Predicting Primary Aldosteronism Subtype According to Age. Endocrinol. Metab. 2021, 36, 401–412. [Google Scholar] [CrossRef]
- Young, W.F.; Stanson, A.W.; Thompson, G.B.; Grant, C.S.; Farley, D.R.; van Heerden, J.A. Role for adrenal venous sampling in primary aldosteronism. Surgery 2004, 136, 1227–1235. [Google Scholar] [CrossRef]
- Kaneko, H.; Umakoshi, H.; Ishihara, Y.; Sugawa, T.; Nanba, K.; Tsuiki, M.; Kusakabe, T.; Satoh-Asahara, N.; Yasoda, A.; Tagami, T. Seated saline infusion test in predicting subtype diagnosis of primary aldosteronism. Clin. Endocrinol. 2019, 91, 737–742. [Google Scholar] [CrossRef]
- Umakoshi, H.; Ogasawara, T.; Takeda, Y.; Kurihara, I.; Itoh, H.; Katabami, T.; Ichijo, T.; Wada, N.; Shibayama, Y.; Yoshimoto, T.; et al. Accuracy of adrenal computed tomography in predicting the unilateral subtype in young patients with hypokalaemia and elevation of aldosterone in primary aldosteronism. Clin. Endocrinol. 2018, 88, 645–651. [Google Scholar] [CrossRef]
- Rossi, G.P.; Crimi, F.; Rossitto, G.; Amar, L.; Azizi, M.; Riester, A.; Reincke, M.; Degenhart, C.; Widimsky, J.; Naruse, M.; et al. Identification of Surgically Curable Primary Aldosteronism by Imaging in a Large, Multiethnic International Study. J. Clin. Endocrinol. Metab. 2021, 106, e4340–e4349. [Google Scholar] [CrossRef] [PubMed]
- Song, Y.; Yang, J.; Shen, H.; Ng, E.; Fuller, P.J.; Feng, Z.; Hu, J.; Ma, L.; Yang, Y.; Du, Z.; et al. Development and validation of model for sparing adrenal venous sampling in diagnosing unilateral primary aldosteronism. J. Hypertens. 2022, 40, 1692–1701. [Google Scholar] [CrossRef] [PubMed]
- Holaj, R.; Waldauf, P.; Wichterle, D.; Kvasnicka, J.; Zelinka, T.; Petrak, O.; Kratka, Z.; Forejtova, L.; Kavan, J.; Widimsky, J., Jr. Adrenal Venous Sampling Could Be Omitted before Surgery in Patients with Conn’s Adenoma Confirmed by Computed Tomography and Higher Normal Aldosterone Concentration after Saline Infusion Test. Diagnostics 2022, 12, 1718. [Google Scholar] [CrossRef] [PubMed]
- Stowasser, M.; Ahmed, A.H.; Pimenta, E.; Taylor, P.J.; Gordon, R.D. Factors affecting the aldosterone/renin ratio. Horm. Metab. Res. 2012, 44, 170–176. [Google Scholar] [CrossRef]
- Vincent, J.M.; Morrison, I.D.; Armstrong, P.; Reznek, R.H. The size of normal adrenal glands on computed tomography. Clin. Radiol. 1994, 49, 453–455. [Google Scholar] [CrossRef]
- Young, W.F., Jr. Clinical practice. The incidentally discovered adrenal mass. N. Engl. J. Med. 2007, 356, 601–610. [Google Scholar] [CrossRef]
- Campbell, R.A.; Young, D.S.; Shaver, C.N.; Snyder, S.K.; Milan, S.A.; Lairmore, T.C.; McDonald, D.K. Influence of Adrenal Venous Sampling on Management in Patients with Primary Aldosteronism Independent of Lateralization on Cross-Sectional Imaging. J. Am. Coll. Surg. 2019, 229, 116–124. [Google Scholar] [CrossRef]
- Rossi, G.P.; Barisa, M.; Allolio, B.; Auchus, R.J.; Amar, L.; Cohen, D.; Degenhart, C.; Deinum, J.; Fischer, E.; Gordon, R.; et al. The Adrenal Vein Sampling International Study (AVIS) for identifying the major subtypes of primary aldosteronism. J. Clin. Endocrinol. Metab. 2012, 97, 1606–1614. [Google Scholar] [CrossRef]
- Mulatero, P.; Sechi, L.A.; Williams, T.A.; Lenders, J.W.M.; Reincke, M.; Satoh, F.; Januszewicz, A.; Naruse, M.; Doumas, M.; Veglio, F.; et al. Subtype diagnosis, treatment, complications and outcomes of primary aldosteronism and future direction of research: A position statement and consensus of the Working Group on Endocrine Hypertension of the European Society of Hypertension. J. Hypertens. 2020, 38, 1929–1936. [Google Scholar] [CrossRef]
- Williams, T.A.; Lenders, J.W.M.; Mulatero, P.; Burrello, J.; Rottenkolber, M.; Adolf, C.; Satoh, F.; Amar, L.; Quinkler, M.; Deinum, J.; et al. Outcomes after adrenalectomy for unilateral primary aldosteronism: An international consensus on outcome measures and analysis of remission rates in an international cohort. Lancet Diabetes Endocrinol. 2017, 5, 689–699. [Google Scholar] [CrossRef]
- Satoh, F.; Abe, T.; Tanemoto, M.; Nakamura, M.; Abe, M.; Uruno, A.; Morimoto, R.; Sato, A.; Takase, K.; Ishidoya, S.; et al. Localization of aldosterone-producing adrenocortical adenomas: Significance of adrenal venous sampling. Hypertens. Res. 2007, 30, 1083–1095. [Google Scholar] [CrossRef] [PubMed]
- Kocjan, T.; Vidmar, G.; Popovic, P.; Stankovic, M. Validation of three novel clinical prediction tools for primary aldosteronism subtyping. Endocr. Connect. 2022, 11, e210532. [Google Scholar] [CrossRef] [PubMed]
- Kobayashi, H.; Haketa, A.; Ueno, T.; Ikeda, Y.; Hatanaka, Y.; Tanaka, S.; Otsuka, H.; Abe, M.; Fukuda, N.; Soma, M. Scoring system for the diagnosis of bilateral primary aldosteronism in the outpatient setting before adrenal venous sampling. Clin. Endocrinol. 2017, 86, 467–472. [Google Scholar] [CrossRef] [PubMed]
- Weigel, M.; Riester, A.; Hanslik, G.; Lang, K.; Willenberg, H.S.; Endres, S.; Allolio, B.; Beuschlein, F.; Reincke, M.; Quinkler, M. Post-saline infusion test aldosterone levels indicate severity and outcome in primary aldosteronism. Eur. J. Endocrinol. 2015, 172, 443–450. [Google Scholar] [CrossRef][Green Version]
- Kitamoto, T.; Omura, M.; Suematsu, S.; Saito, J.; Nishikawa, T. KCNJ5 mutation as a predictor for resolution of hypertension after surgical treatment of aldosterone-producing adenoma. J. Hypertens. 2018, 36, 619–627. [Google Scholar] [CrossRef]
- Williams, T.A.; Monticone, S.; Mulatero, P. KCNJ5 Mutations Are the Most Frequent Genetic Alteration in Primary Aldosteronism. Hypertension 2015, 65, 507–509. [Google Scholar] [CrossRef]






| Development | Cohort | Validation | Cohort | |||
|---|---|---|---|---|---|---|
| Unilateral PA (n = 96) | Bilateral PA (n = 54) | p-Value | Unilateral PA (n = 94) | Bilateral PA (n = 44) | p-Value | |
| Age (years) | 51 (44–58) | 52 (47–58) | 0.52 | 49 (41–57) | 47 (41–56) | 0.55 |
| Females | 41 (43%) | 12 (22%) | 0.01 | 23 (24%) | 13 (30%) | 0.53 |
| Body mass index (kg/m2) | 29 (25–32) | 30 (28–32) | 0.16 | 30 (27–33) | 31 (29–34) | 0.16 |
| Systolic BP (mm Hg) | 170 (150–180) | 160 (150–170) | 0.17 | 159 (150–170) | 155 (145–162) | 0.12 |
| Diastolic BP (mm Hg) | 100 (90–110) | 97 (88–105) | 0.12 | 99 (90–105) | 98 (90–103) | 0.68 |
| 24h systolic BP (mm Hg) | 150 (137–161) | 150 (137–163) | 0.87 | 150 (140–158) | 147 (139–157) | 0.48 |
| 24h diastolic BP (mm Hg) | 93 (85–98) | 91 (84–97) | 0.69 | 91 (85–96) | 91 (85–98) | 0.96 |
| Duration of disease (years) | 9 (4–15) | 11 (6–16) | 0.41 | 8 (5–12) | 7 (3–16) | 0.78 |
| Antihypertensive drugs (n) | 4 (2–5) | 4 (2–6) | 0.14 | 4 (2–4) | 3 (2–5) | 0.67 |
| Lowest potassium (mmol/L) | 3.0 (2.8–3.3) | 3.2 (2.9–3.5) | 0.11 | 3.2 (2.9–3.5) | 3.6 (3.3–3.9) | <0.0001 |
| Serum potassium (mmol/L) | 3.4 (3.1–3.7) | 3.7 (3.4–4.0) | 0.0009 | 3.4 (3.2–3.7) | 3.9 (3.7–4.1) | <0.0001 |
| eGFR (mL/min/1.73 m2) | 126 (104–153) | 119 (100–133) | 0.11 | 128 (114–165) | 152 (110–186) | 0.24 |
| Baseline PAC (ng/dL) | 29.1 (18.3–53.7) | 22.2 (14.1–32.6) | 0.002 | 26.5 (18.7–36.5) | 16.8 (13.1–20.8) | <0.0001 |
| Baseline PRA (ng/mL/h) | 0.32 (0.20–0.43) | 0.35 (0.25–0.53) | 0.046 | NA | NA | |
| ARR [ng/dL/(ng/mL/h)] | 106 (51–192) | 56 (39–91) | <0.0001 | NA | NA | |
| Baseline DRC (ng/L) | NA | NA | 1.50 (0.49–2.70) | 1.51 (0.50–3.30) | 0.62 | |
| ADRR [ng/dL/(ng/L)] | NA | NA | 13 (6–35) | 9 (6–15) | 0.04 | |
| Adrenal nodules on CT | 68 (71%) | 8 (15%) | <0.0001 | 58 (62%) | 16 (36%) | 0.005 |
| PAC after SIT (ng/dL) | 18.0 (12.1–34.8) | 11.5 (8.1–16.3) | <0.0001 | 17.5 (11.7–23.2) | 11.0 (7.5–13.9) | <0.0001 |
| Unilateral PA | Bilateral PA | |||
|---|---|---|---|---|
| All Patients N = 96 | Increase in PAC <30% n = 31 (32%) | Increase in PAC >30% n = 65 (68%) | n = 54 | |
| Plasma aldosterone concentration (ng/dL) | ||||
| Before infusion | 35.5 (22.3–56.1) **,††† | 57.1 (36.1–79.1) ††† | 30.3 (19.3–44.3) †† | 28.5 (22.9–38.9) ††† |
| After infusion | 18.0 (12.1–34.7) ** | 27.5 (18.5–52.2) | 16.5 (10.2–25.1) | 11.5 (8.2–16.3) |
| %Change from baseline | −42 [−57–(−22)] ** | −42 [−51–(−25)] | −41 [−60–(−22)] | −62 [−70–(−44)] |
| Plasma renin activity (ng/L) | ||||
| Before infusion | 0.33 (0.24–0.48) * | 0.30 (0.23–0.49) | 0.34 (0.25–0.47) | 0.38 (0.32–0.59) † |
| After infusion | 0.24 (0.17–0.36) | 0.22 (0.17–0.40) | 0.27 (0.17–0.35) | 0.31 (0.21–0.44) |
| %Change from baseline | −25 [−38–(−13)] | −27 [−37–(−11)] | −22 [−38–(−14)] | −21 [−41–(−10)] |
| References | Model | Sample of Development Cohort | Sample of Validation Cohort | Sensitivity in Our Development Cohort | Specificity in Our Development Cohort |
|---|---|---|---|---|---|
| Holaj et al. SCORE [34] | Unilateral nodule ≥ 6 mm, PAC post-SIT > 16.5 ng/dL | UPA = 96 BPA = 54 | UPA = 94 BPA = 44 | 48% | 100% |
| Kupers et al. [20] | Unilateral nodule ≥ 8 mm, serum K+ < 3.5 mmol/L and eGFR ≥ 100 | UPA = 49 BPA = 38 | None | 51% | 89% |
| Nanba et al. [21] | PAC ≥ 16.5 ng/dL, ARR post-CCT ≥ 82, and K+ ≤ 3.4 mmol/L | UPA = 32 BPA = 39 | None | 40% | 87% |
| Kocjan [22] | K+ < 3.5 mmol/L, PAC post-SIT > 18 ng/dL and unilateral nodule “regardless of size” | UPA = 28 BPA = 39 | None | 28% | 100% |
| Kamemura [23] | K+ < 3.5 mmol/L, unilateral nodule ≥ 8 mm, baseline ARR ≥ 55 and male sex | UPA = 24 BPA = 204 | None | 20% | 96% |
| Kobayashi (JPAS) [24] | K+ < 3.5 mmol/L, baseline PAC ≥ 21.0 ng/dL, unilateral nodule ≥ 8 mm, baseline ARR ≥ 62 and male sex | UPA = 378 BPA = 912 | UPA = 202 BPA = 444 | 35% * 35% | 98% * 100% |
| Puar et al. [25] | PAC to lowest potassium ratio > 15 | UPA = 70 BPA = 33 | UPA = 48 BPA = 44 | 50% | 78% |
| Burrello et al. (SPACE) [27] | Unilateral nodule ≥ 8 mm, lowest potassium ≤ 3.9 mmol/L, PAC post-CCT or SIT > 8.9 ng/dL and PAC at screening > 30.3 ng/dL | UPA = 93 BPA = 57 | UPA = 40 BPA = 25 | 40% * 40% | 98% * 100% |
| Lee et al. [28] | Serum K+ < 3.5 mmol/L, PAC > 30 ng/dL and unilateral lesion > 7 mm | UPA = 372 BPA = 39 | None | 38% | 93% |
| Young et al. [29] | Age < 40 and unilateral nodule > 10 mm | UPA = 102 BPA = 84 | None | 13% | 100% |
| Kaneko et al. [30] | PAC post-SIT > 13.1 ng/dL | UPA = 16 BPA = 48 | None | 68% | 57% |
| Umakoshi et al. [31] | PAC > 15.9 ng/dL, serum, K+ < 3.5 mmol/L, unilateral nodule > 10 mm and age < 35 years | UPA = 258 BPA = 96 | None | 4% | 100% |
| Rossi et al. [32] | Age < 45 years, K+ < 3.6 mmol/L, unilateral nodule ≥ 5 mm | UPA = 131 BPA = 100 | None | 14% | 98% |
| References | Model | Sample of Development Cohort | Sample of Validation Cohort | Sensitivity in Our Validation Cohort | Specificity in Our Validation Cohort |
| Holaj et al. SCORE [34] | Unilateral nodule ≥ 6 mm, PAC post-SIT > 16.5 ng/dL | UPA = 96 BPA = 54 | UPA = 94 BPA = 44 | ** 36% | ** 100% |
| Song et al. (CONPASS) [33] | PAC > 20.0 ng/dL, K+ ≤ 3.5 mmol/L, PRC ≤ 5 μIU/mL, unilateral nodule ≥ 10 mm | UPA = 268 BPA = 88 | UPA = 84 BPA = 117 | ** 35% | ** 89% |
Publisher’s Note: MDPI stays neutral with regard to jurisdictional claims in published maps and institutional affiliations. |
© 2022 by the authors. Licensee MDPI, Basel, Switzerland. This article is an open access article distributed under the terms and conditions of the Creative Commons Attribution (CC BY) license (https://creativecommons.org/licenses/by/4.0/).
Share and Cite
Kološová, B.; Waldauf, P.; Wichterle, D.; Kvasnička, J.; Zelinka, T.; Petrák, O.; Krátká, Z.; Forejtová, L.; Kaván, J.; Widimský, J., Jr.; et al. Validation of Existing Clinical Prediction Tools for Primary Aldosteronism Subtyping. Diagnostics 2022, 12, 2806. https://doi.org/10.3390/diagnostics12112806
Kološová B, Waldauf P, Wichterle D, Kvasnička J, Zelinka T, Petrák O, Krátká Z, Forejtová L, Kaván J, Widimský J Jr., et al. Validation of Existing Clinical Prediction Tools for Primary Aldosteronism Subtyping. Diagnostics. 2022; 12(11):2806. https://doi.org/10.3390/diagnostics12112806
Chicago/Turabian StyleKološová, Barbora, Petr Waldauf, Dan Wichterle, Jan Kvasnička, Tomáš Zelinka, Ondřej Petrák, Zuzana Krátká, Lubomíra Forejtová, Jan Kaván, Jiří Widimský, Jr., and et al. 2022. "Validation of Existing Clinical Prediction Tools for Primary Aldosteronism Subtyping" Diagnostics 12, no. 11: 2806. https://doi.org/10.3390/diagnostics12112806
APA StyleKološová, B., Waldauf, P., Wichterle, D., Kvasnička, J., Zelinka, T., Petrák, O., Krátká, Z., Forejtová, L., Kaván, J., Widimský, J., Jr., & Holaj, R. (2022). Validation of Existing Clinical Prediction Tools for Primary Aldosteronism Subtyping. Diagnostics, 12(11), 2806. https://doi.org/10.3390/diagnostics12112806

