Noninvasive Prediction of Advanced Fibrosis in Pediatric Liver Disease—Discriminatory Performance of 2D Shear Wave Elastography, Transient Elastography and Magnetic Resonance Elastography in Comparison to Histopathology
Abstract
1. Introduction
2. Material and Methods
2.1. Patients
2.2. Histopathology
2.3. Ultrasound Elastography
2.4. Transient Elastography
2.5. Magnetic Resonance Elastography
2.6. Statistical Analyses
3. Results
3.1. Complete Case Analyses
3.2. Multiple Imputation Analyses
4. Discussion
5. Conclusions
Author Contributions
Funding
Institutional Review Board Statement
Informed Consent Statement
Data Availability Statement
Conflicts of Interest
References
- Chalasani, N.; Younossi, Z.; Lavine, J.E.; Diehl, A.M.; Brunt, E.M.; Cusi, K.; Charlton, M.; Sanyal, A.J.; American Association for the Study of Liver Diseases; American College of Gastroenterology; et al. The Diagnosis and Management of Non-Alcoholic Fatty Liver Disease: Practice Guideline by the American Association for the Study of Liver Diseases, American College of Gastroenterology and the American Gastroenterological Association. Am. J. Gastroenterol. 2012, 107, 811–826. [Google Scholar] [CrossRef] [PubMed]
- Sieders, E.; Peeters, P.M.J.G.; TenVergert, E.M.; de Jong, K.P.; Porte, R.J.; Zwaveling, J.H.; Bijleveld, C.M.A.; Gouw, A.S.H.; Slooff, M.J.H. Graft loss after pediatric liver transplantation. Ann. Surg. 2002, 235, 125–132. [Google Scholar] [CrossRef] [PubMed]
- Rockey, D.C.; Caldwell, S.H.; Goodman, Z.D.; Nelson, R.C.; Smith, A.D. American Association for the Study of Liver Diseases Liver biopsy. Hepatology 2009, 49, 1017–1044. [Google Scholar] [CrossRef] [PubMed]
- Westheim, B.H.; Aagenæs, I.; Østensen, A.B.; Sanengen, T.; Almaas, R. Effect of operator experience and frequency of procedure performance on complication rate after ultrasound-guided percutaneous liver biopsies. J. Pediatr. Gastroenterol. Nutr. 2013, 57, 638–643. [Google Scholar] [CrossRef]
- Vuppalanchi, R.; Unalp, A.; Van Natta, M.L.; Cummings, O.W.; Sandrasegaran, K.E.; Hameed, T.; Tonascia, J.; Chalasani, N. Effects of liver biopsy sample length and number of readings on sampling variability in nonalcoholic Fatty liver disease. Clin. Gastroenterol. Hepatol. 2009, 7, 481–486. [Google Scholar] [CrossRef]
- Barr, R.G. Elastography in Clinical Practice. Radiol. Clin. N. Am. 2014, 52, 1145–1162. [Google Scholar] [CrossRef]
- Binkovitz, L.A.; El-Youssef, M.; Glaser, K.J.; Yin, M.; Binkovitz, A.K.; Ehman, R.L. Pediatric MR elastography of hepatic fibrosis: Principles, technique and early clinical experience. Pediatr. Radiol. 2012, 42, 402–409. [Google Scholar] [CrossRef][Green Version]
- Tang, A.; Cloutier, G.; Szeverenyi, N.M.; Sirlin, C.B. Ultrasound Elastography and MR Elastography for Assessing Liver Fibrosis: Part 2, Diagnostic Performance, Confounders, and Future Directions. AJR Am. J. Roentgenol. 2015, 205, 33–40. [Google Scholar] [CrossRef]
- Andersen, S.B.; Ewertsen, C.; Carlsen, J.F.; Henriksen, B.M.; Nielsen, M.B. Ultrasound Elastography Is Useful for Evaluation of Liver Fibrosis in Children—A Systematic Review. J. Pediatr. Gastroenterol. Nutr. 2016, 63, 389–399. [Google Scholar] [CrossRef]
- Hanquinet, S.; Rougemont, A.L.; Courvoisier, D.; Rubbia-Brandt, L.; McLin, V.; Tempia, M.; Anooshiravani, M. Acoustic radiation force impulse (ARFI) elastography for the noninvasive diagnosis of liver fibrosis in children. Pediatr. Radiol. 2013, 43, 545–551. [Google Scholar] [CrossRef]
- Voutilainen, S.; Kivisaari, R.; Lohi, J.; Jalanko, H.; Pakarinen, M.P. A Prospective Comparison of Noninvasive Methods in the Assessment of Liver Fibrosis and Esophageal Varices in Pediatric Chronic Liver Diseases. J. Clin. Gastroenterol. 2016, 50, 658–663. [Google Scholar] [CrossRef]
- Joshi, M.; Dillman, J.R.; Towbin, A.J.; Serai, S.D.; Trout, A.T. MR elastography: High rate of technical success in pediatric and young adult patients. Pediatr. Radiol. 2017, 47, 838–843. [Google Scholar] [CrossRef]
- Xanthakos, S.A.; Podberesky, D.J.; Serai, S.D.; Miles, L.; King, E.C.; Balistreri, W.F.; Kohli, R. Use of Magnetic Resonance Elastography to Assess Hepatic Fibrosis in Children with Chronic Liver Disease. J. Pediatr. 2014, 164, 186–188. [Google Scholar] [CrossRef]
- Schwimmer, J.B.; Behling, C.; Angeles, J.E.; Paiz, M.; Durelle, J.; Africa, J.; Newton, K.P.; Brunt, E.M.; Lavine, J.E.; Abrams, S.H.; et al. Magnetic resonance elastography measured shear stiffness as a biomarker of fibrosis in pediatric nonalcoholic fatty liver disease. Hepatology 2017, 66, 1474–1485. [Google Scholar] [CrossRef]
- Trout, A.T.; Sheridan, R.M.; Serai, S.D.; Xanthakos, S.A.; Su, W.; Zhang, B.; Wallihan, D.B. Diagnostic Performance of MR Elastography for Liver Fibrosis in Children and Young Adults with a Spectrum of Liver Diseases. Radiology 2018, 287, 824–832. [Google Scholar] [CrossRef]
- Scheuer, P.J.; Lefkowitch, J.H. Liver Biopsy Interpretation, 7th ed.; Elsevier Saunders: Philadelphia, PA, USA, 2006. [Google Scholar]
- MacSween, R.N.M.; Burt, A.D.; Portmann, B.; Ferrell, L.D. MacSween’s Pathology of the Liver, 6th ed.; Burt, A.D., Portmann, B., Ferrell, L.D., Eds.; Churchill Livingstone Elsevier: Edingburgh, NY, USA, 2012. [Google Scholar]
- Bedossa, P.; Poynard, T. An algorithm for the grading of activity in chronic hepatitis C. Hepatology 1996, 24, 289–293. [Google Scholar] [CrossRef]
- Bamber, J.; Cosgrove, D.; Dietrich, C.; Fromageau, J.; Bojunga, J.; Calliada, F.; Cantisani, V.; Correas, J.-M.; D’Onofrio, M.; Drakonaki, E.; et al. EFSUMB Guidelines and Recommendations on the Clinical Use of Ultrasound Elastography. Part 1: Basic Principles and Technology. Ultraschall Med. Eur. J. Ultrasound 2013, 34, 169–184. [Google Scholar] [CrossRef]
- Ferraioli, G.; Wong, V.W.; Castera, L.; Berzigotti, A.; Sporea, I.; Dietrich, C.F.; Choi, B.I.; Wilson, S.R.; Kudo, M.; Barr, R.G. Liver Ultrasound Elastography: An Update to the World Federation for Ultrasound in Medicine and Biology Guidelines and Recommendations. Ultrasound Med. Biol. 2018, 44, 2419–2440. [Google Scholar] [CrossRef]
- Tapper, E.B.; Castera, L.; Afdhal, N.H. FibroScan (vibration-controlled transient elastography): Where does it stand in the United States practice. Clin. Gastroenterol. Hepatol. 2015, 13, 27–36. [Google Scholar] [CrossRef]
- European Association for Study of Liver. Asociacion Latinoamericana para el Estudio del Higado EASL-ALEH Clinical Practice Guidelines: Non-invasive tests for evaluation of liver disease severity and prognosis. J. Hepatol. 2015, 63, 237–264. [Google Scholar] [CrossRef]
- Boursier, J.; Zarski, J.P.; de Ledinghen, V.; Rousselet, M.C.; Sturm, N.; Lebail, B.; Fouchard-Hubert, I.; Gallois, Y.; Oberti, F.; Bertrais, S.; et al. Determination of reliability criteria for liver stiffness evaluation by transient elastography. Hepatology 2013, 57, 1182–1191. [Google Scholar] [CrossRef] [PubMed]
- Dang, H.W.; Kim, S.U.; Park, J.Y.; Ahn, S.H.; Han, K.-H.; Chon, C.Y.; Park, Y.N.; Choi, E.H.; Kim, D.Y. How many valid measurements are necessary to assess liver fibrosis using FibroScan® in patients with chronic viral hepatitis? An analysis of subjects with at least 10 valid measurements. Yonsei Med. J. 2012, 53, 337–345. [Google Scholar] [CrossRef] [PubMed]
- Bartlett, J.W.; Seaman, S.R.; White, I.R.; Carpenter, J.R. Alzheimer’s Disease Neuroimaging Initiative Multiple imputation of covariates by fully conditional specification: Accommodating the substantive model. Stat. Methods Med. Res. 2015, 24, 462–487. [Google Scholar] [CrossRef] [PubMed]
- Schomaker, M.; Heumann, C. Bootstrap inference when using multiple imputation. Stat. Med. 2018, 37, 2252–2266. [Google Scholar] [CrossRef] [PubMed]
- Dezsőfi, A.; Baumann, U.; Dhawan, A.; Durmaz, O.; Fischler, B.; Hadzic, N.; Hierro, L.; Lacaille, F.; McLin, V.A.; Nobili, V.; et al. Liver biopsy in children: Position paper of the ESPGHAN Hepatology Committee. J. Pediatr. Gastroenterol. Nutr. 2015, 60, 408–420. [Google Scholar] [CrossRef]
- Chen, S.; Liao, B.; Zhong, Z.; Zheng, Y.; Liu, B.; Shan, Q.; Xie, X.; Zhou, L. Supersonic shearwave elastography in the assessment of liver fibrosis for postoperative patients with biliary atresia. Sci. Rep. 2016, 6, 31057. [Google Scholar] [CrossRef]
- Franchi-Abella, S.; Corno, L.; Gonzales, E.; Antoni, G.; Fabre, M.; Ducot, B.; Pariente, D.; Gennisson, J.-L.; Tanter, M.; Corréas, J.-M. Feasibility and Diagnostic Accuracy of Supersonic Shear-Wave Elastography for the Assessment of Liver Stiffness and Liver Fibrosis in Children: A Pilot Study of 96 Patients. Radiology 2016, 278, 554–562. [Google Scholar] [CrossRef]
- Tomita, H.; Ohkuma, K.; Masugi, Y.; Hosoe, N.; Hoshino, K.; Fuchimoto, Y.; Fujino, A.; Shimizu, T.; Kato, M.; Fujimura, T.; et al. Diagnosing native liver fibrosis and esophageal varices using liver and spleen stiffness measurements in biliary atresia: A pilot study. Pediatr. Radiol. 2016, 46, 1409–1417. [Google Scholar] [CrossRef]
- Lee, C.K.; Perez-Atayde, A.R.; Mitchell, P.D.; Raza, R.; Afdhal, N.H.; Jonas, M.M. Serum Biomarkers and Transient Elastography as Predictors of Advanced Liver Fibrosis in a United States Cohort: The Boston Children’s Hospital Experience. J. Pediatr. 2013, 163, 1058–1064.e2. [Google Scholar] [CrossRef]
- Fitzpatrick, E.; Quaglia, A.; Vimalesvaran, S.; Basso, M.S.; Dhawan, A. Transient Elastography Is a Useful Noninvasive Tool for the Evaluation of Fibrosis in Paediatric Chronic Liver Disease. J. Pediatr. Gastroenterol. Nutr. 2013, 56, 72–76. [Google Scholar] [CrossRef]
- Shin, N.-Y.; Kim, M.-J.; Lee, M.-J.; Han, S.J.; Koh, H.; Namgung, R.; Park, Y.N. Transient Elastography and Sonography for Prediction of Liver Fibrosis in Infants with Biliary Atresia. J. Ultrasound Med. 2014, 33, 853–864. [Google Scholar] [CrossRef]
- Nobili, V.; Vizzutti, F.; Arena, U.; Abraldes, J.G.; Marra, F.; Pietrobattista, A.; Fruhwirth, R.; Marcellini, M.; Pinzani, M. Accuracy and reproducibility of transient elastography for the diagnosis of fibrosis in pediatric nonalcoholic steatohepatitis. Hepatology 2008, 48, 442–448. [Google Scholar] [CrossRef]
- Hsu, C.; Caussy, C.; Imajo, K.; Chen, J.; Singh, S.; Kaulback, K.; Le, M.-D.; Hooker, J.; Tu, X.; Bettencourt, R.; et al. Magnetic Resonance vs. Transient Elastography Analysis of Patients with Nonalcoholic Fatty Liver Disease: A Systematic Review and Pooled Analysis of Individual Participants. Clin. Gastroenterol. Hepatol. 2019, 17, 630–637.e8. [Google Scholar] [CrossRef]
- Tokuhara, D.; Cho, Y.; Shintaku, H. Transient Elastography-Based Liver Stiffness Age-Dependently Increases in Children. PLoS ONE 2016, 11, e0166683. [Google Scholar] [CrossRef]
- Jain, V.; Poddar, U.; Negi, T.S.; Saraswat, V.A.; Krishnani, N.; Yachha, S.K.; Srivastava, A. Utility and accuracy of transient elastography in determining liver fibrosis: A case-control study. Eur. J. Pediatr. 2020, 179, 671–677. [Google Scholar] [CrossRef]
- Trout, A.T.; Anupindi, S.A.; Gee, M.S.; Khanna, G.; Xanthakos, S.A.; Serai, S.D.; Baikpour, M.; Calle-Toro, J.S.; Ozturk, A.; Zhang, B.; et al. Normal liver stiffness measured with MR elastography in children. Radiology 2020, 297, 663–669. [Google Scholar] [CrossRef]
- Raizner, A.; Shillingford, N.; Mitchell, P.D.; Harney, S.; Raza, R.; Serino, J.; Jonas, M.M.; Lee, C.K. Hepatic inflammation may influence liver stiffness measurements by transient elastography in children and young adults. J. Pediatr. Gastroenterol. Nutr. 2017, 64, 512–517. [Google Scholar] [CrossRef]
- Arena, U.; Vizzutti, F.; Abraldes, J.G.; Corti, G.; Stasi, C.; Moscarella, S.; Milani, S.; Lorefice, E.; Petrarca, A.; Romanelli, R.G.; et al. Reliability of transient elastography for the diagnosis of advanced fibrosis in chronic hepatitis C. Gut 2008, 57, 1288–1293. [Google Scholar] [CrossRef]
- Nathanson, B.H.; Higgins, T.L. An Introduction to Statistical Methods Used in Binary Outcome Modeling. Semin. Cardiothorac. Vasc. Anesth. 2008, 12, 153–166. [Google Scholar] [CrossRef]
- Kim, J.R.; Suh, C.H.; Yoon, H.M.; Lee, J.S.; Cho, Y.A.; Jung, A.Y. The diagnostic performance of shear-wave elastography for liver fibrosis in children and adolescents: A systematic review and diagnostic meta-analysis. Eur. Radiol. 2018, 28, 1175–1186. [Google Scholar] [CrossRef]
- Singh, S.; Venkatesh, S.K.; Wang, Z.; Miller, F.H.; Motosugi, U.; Low, R.N.; Hassanein, T.; Asbach, P.; Godfrey, E.M.; Yin, M.; et al. Diagnostic performance of magnetic resonance elastography in staging liver fibrosis: A systematic review and meta-analysis of individual participant data. Clin. Gastroenterol. Hepatol. 2015, 13, 440–451.e6. [Google Scholar] [CrossRef] [PubMed]
- Calvaruso, V.; Burroughs, A.K.; Standish, R.; Manousou, P.; Grillo, F.; Leandro, G.; Maimone, S.; Pleguezuelo, M.; Xirouchakis, I.; Piero Guerrini, G.; et al. Computer-assisted image analysis of liver collagen: Relationship to Ishak scoring and hepatic venous pressure gradient. Hepatology 2009, 49, 1236–1244. [Google Scholar] [CrossRef] [PubMed]
- Pavlov, C.S.; Casazza, G.; Nikolova, D.; Tsochatzis, E.; Burroughs, A.K.; Ivashkin, V.T.; Gluud, C. Transient elastography for diagnosis of stages of hepatic fibrosis and cirrhosis in people with alcoholic liver disease. Cochrane Database Syst. Rev. 2015, 1, CD010542. [Google Scholar] [CrossRef] [PubMed]
- Vinciguerra, T.; Brunati, A.; David, E.; Longo, F.; Pinon, M.; Ricceri, F.; Castellino, L.; Piga, A.; Giraudo, M.T.; Tandoi, F.; et al. Transient elastography for non-invasive evaluation of post-transplant liver graft fibrosis in children. Pediatr. Transplant. 2018, 22, e13125. [Google Scholar] [CrossRef]
- Jakobsen, J.C.; Gluud, C.; Wetterslev, J.; Winkel, P. When and how should multiple imputation be used for handling missing data in randomised clinical trials—A practical guide with flowcharts. BMC Med. Res. Methodol. 2017, 17, 162. [Google Scholar] [CrossRef]
- Millonig, G.; Reimann, F.M.; Friedrich, S.; Fonouni, H.; Mehrabi, A.; Büchler, M.W.; Seitz, H.K.; Mueller, S. Extrahepatic cholestasis increases liver stiffness (FibroScan) irrespective of fibrosis. Hepatology 2008, 48, 1718–1723. [Google Scholar] [CrossRef]
- Maxim, L.D.; Niebo, R.; Utell, M.J. Screening tests: A review with examples. Inhal. Toxicol. 2014, 26, 811–828. [Google Scholar] [CrossRef]
- Bedossa, P.; Dargere, D.; Paradis, V. Sampling variability of liver fibrosis in chronic hepatitis C. Hepatology 2003, 38, ajhep09022. [Google Scholar] [CrossRef]




| Patients (n = 93) | ||
|---|---|---|
| Clinical characteristics | ||
| Sex (n = male/female) | 48/45 | |
| Listed for Liver transplantation, n (%) | 6 | (6.5%) |
| Anthropometrics, median (range) | ||
| Age (years) | 12 | (0.06–19.6) |
| Height (cm) | 151 | (41–192.5) |
| Weight (kg) | 41 | (1.9–115) |
| Body Mass Index | 18 | (11.3–43.8) |
| Etiology, n (%) | ||
| Previous liver transplantation | 25 | (26.9%) |
| Autoimmune hepatitis without primary sclerosing cholangitis | 17 | (18.3%) |
| Autoimmune hepatitis with primary sclerosing cholangitis | 10 | (10.8%) |
| Biliary atresia | 10 | (10.8%) |
| Hepatitis B/C | 3 | (3.2%) |
| Polycystic liver and kidney disease | 3 | (3.2%) |
| Non-alcoholic fatty liver disease | 2 | (2.2%) |
| Alfa-1 antitrypsin deficiency | 3 | (3.2%) |
| Wilson Disease | 3 | (3.2%) |
| Acute liver failure | 2 | (2.2%) |
| Alagille Syndrome | 1 | (1.1%) |
| Primary sclerosing cholangitis | 1 | (1.1%) |
| Portal vein thrombosis | 1 | (1.1%) |
| Short bowel syndrome | 1 | (1.1%) |
| Crigler Najjar Syndrome | 1 | (1.1%) |
| Other a | 4 | (4.3%) |
| Elevated transaminases of unknown origin | 4 | (4.3%) |
| Cholestasis of unknown origin | 2 | (2.2%) |
| Blood Biochemistry, median (range) | ||
| Alanine aminotransferase (IU/L) | 83 | (6–2190) |
| Aspartate aminotransferase (IU/L) | 66 | (17–977) |
| Alkaline phosphatase (IU/L) | 265 | (41–1300) |
| Gamma-glutamyl transferase (IU/L) | 62 | (11–954) |
| Bilirubin (µmol/L) | 11 | (3–433) |
| Albumin (g/L) | 37 | (21–49) |
| International normalized ratio | 1.2 | (0.9–4.9) |
| Plasma coagulation factors II, VII, X (U/L) | 0.7 | (0.1–1.2) |
| Platelets (×109/L) | 240 | (27–558) |
| Hemoglobin (mmol/L) | 7.9 | (4.9–10.1) |
| Leucocytes (×109/L) | 6.3 | (1.4–33.5) |
| Creatinine (µmol/L) | 48 | (11–440) |
| Urea (mmol/L) | 3.8 | (0.8–25.8) |
| Sodium (mmol/L) | 140 | (132–146) |
| Potassium (mmol/L) | 3.9 | (2.7–5.2) |
| Magnesium (mmol/L) | 0.80 | (0.53–1.02) |
| Phosphate (mmol/L) | 1.37 | (0.83–2.05) |
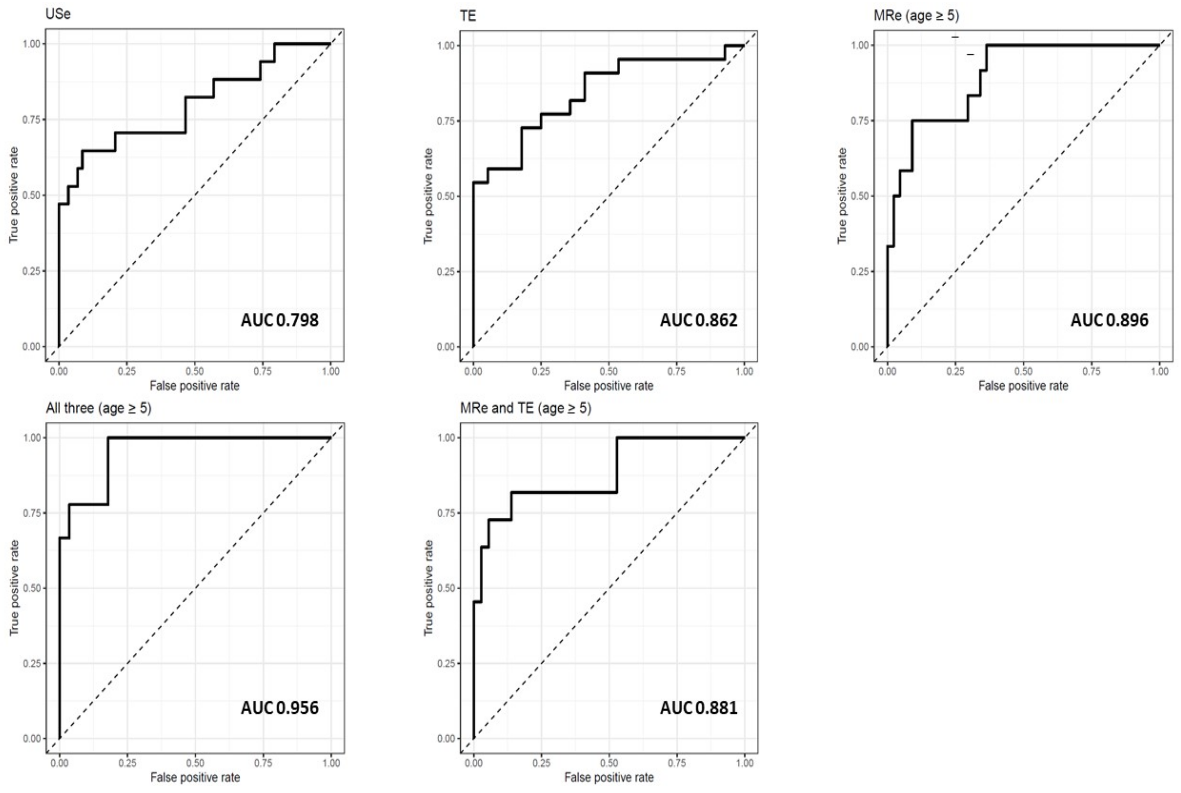
| Model | OR Elastography (CI) | OR Age (CI) | Area under Curve (CI) | Brier Score (CI) | ||||
|---|---|---|---|---|---|---|---|---|
| Complete Case | ||||||||
| USe Use (age ≥ 5) | 602 | (20.30–17,900) | 1.04 | (0.94–1.16) | 0.798 0.784 | (0.661–0.935) (0.607–0.960) | 0.115 0.121 | (0.064–0.166) (0.062–0.181) |
| TElog2 TElog2 (age ≥ 5) | 4.96 | (2.35–10.50) | 0.95 | (0.80–1.14) | 0.862 0.878 | (0.758–0.966) (0.781–0.976) | 0.118 0.104 | (0.065–0.171) (0.054–0.155) |
| MRelog2 (age ≥ 5) | 233 | (11.12–4873) | 0.82 | (0.58–1.16) | 0.896 | (0.798–0.994) | 0.098 | (0.049–0.148) |
| Multiple imputation | ||||||||
| USe USe (age ≥ 5) | 1155 | (9.39–142,000) | 1.04 | (0.94–1.16) | 0.786 0.765 | 0.115 0.121 | ||
| TElog2 TElog2 (age ≥ 5) | 5.30 | (2.18–12.90) | 1.04 | (0.90–1.19) | 0.834 0.847 | 0.117 0.111 | ||
| MRelog2 (age ≥ 5) | 305 | (13.10–7100) | 0.86 | (0.64–1.15) | 0.898 | 0.103 | ||
| Model | OR (CI) | Area under Curve | Brier Score | |
|---|---|---|---|---|
| Complete case all (age ≥ 5) | 0.956 | 0.068 | ||
| USe | 335 | (0.183–613,000) | ||
| TE | 0.50 | (0.029–8.41) | ||
| MRe | 82 | (0.076–88,500) | ||
| Age | 1.14 | (0.624–2.09) | ||
| Complete case TE/MRe (age ≥ 5) | 0.881 | 0.096 | ||
| TE | 5.80 | (0.630–53.40) | ||
| MRe | 3.14 | (0.104–95.30) | ||
| Age | 0.78 | (0.54–1.13) | ||
| Multiple imputation all (age ≥ 5) | 0.925 | 0.082 | ||
| USe | 1.37 | (0.00–3551) | ||
| TE | 5.33 | (0.24–1465) | ||
| MRe | 5.25 | (0.00–373) | ||
| Age | 0.81 | (0.54–1.44) | ||
| Multiple imputation TE/MRe (age ≥ 5) | 0.879 | 0.103 | ||
| TE | 6.69 | (0.0584–76.8) | ||
| MRe | 2.94 | (0.031–276) | ||
| Age | 0.82 | (0.615–1.09) | ||
Publisher’s Note: MDPI stays neutral with regard to jurisdictional claims in published maps and institutional affiliations. |
© 2022 by the authors. Licensee MDPI, Basel, Switzerland. This article is an open access article distributed under the terms and conditions of the Creative Commons Attribution (CC BY) license (https://creativecommons.org/licenses/by/4.0/).
Share and Cite
Nielsen, J.; Kjær, M.S.; Rasmussen, A.; Chiranth, D.; Willemoe, G.L.; Henriksen, B.M.; Borgwardt, L.; Grand, M.K.; Borgwardt, L.; Christensen, V.B. Noninvasive Prediction of Advanced Fibrosis in Pediatric Liver Disease—Discriminatory Performance of 2D Shear Wave Elastography, Transient Elastography and Magnetic Resonance Elastography in Comparison to Histopathology. Diagnostics 2022, 12, 2785. https://doi.org/10.3390/diagnostics12112785
Nielsen J, Kjær MS, Rasmussen A, Chiranth D, Willemoe GL, Henriksen BM, Borgwardt L, Grand MK, Borgwardt L, Christensen VB. Noninvasive Prediction of Advanced Fibrosis in Pediatric Liver Disease—Discriminatory Performance of 2D Shear Wave Elastography, Transient Elastography and Magnetic Resonance Elastography in Comparison to Histopathology. Diagnostics. 2022; 12(11):2785. https://doi.org/10.3390/diagnostics12112785
Chicago/Turabian StyleNielsen, Jon, Mette Skalshøi Kjær, Allan Rasmussen, Deepthi Chiranth, Gro Linno Willemoe, Birthe Merete Henriksen, Lotte Borgwardt, Mia Klinten Grand, Lise Borgwardt, and Vibeke Brix Christensen. 2022. "Noninvasive Prediction of Advanced Fibrosis in Pediatric Liver Disease—Discriminatory Performance of 2D Shear Wave Elastography, Transient Elastography and Magnetic Resonance Elastography in Comparison to Histopathology" Diagnostics 12, no. 11: 2785. https://doi.org/10.3390/diagnostics12112785
APA StyleNielsen, J., Kjær, M. S., Rasmussen, A., Chiranth, D., Willemoe, G. L., Henriksen, B. M., Borgwardt, L., Grand, M. K., Borgwardt, L., & Christensen, V. B. (2022). Noninvasive Prediction of Advanced Fibrosis in Pediatric Liver Disease—Discriminatory Performance of 2D Shear Wave Elastography, Transient Elastography and Magnetic Resonance Elastography in Comparison to Histopathology. Diagnostics, 12(11), 2785. https://doi.org/10.3390/diagnostics12112785

