MAGEA11 as a STAD Prognostic Biomarker Associated with Immune Infiltration
Abstract
1. Introduction
2. Materials and Methods
2.1. Transcription Data
2.2. RNA Sequencing Data of MAGEA11 in Gastric Cancer
2.3. The Subcellular Distribution of MAGEA11
2.4. Gene Enrichment Analysis
2.5. Construction and Evaluation of Nomograms
2.6. Protein–Protein Interaction (PPI) Network and Functional Enrichment Analysis
2.7. Gene Alteration Analysis
2.8. Immune Microenvironment Correlation Analysis
2.9. Drug Sensitivity Analysis
2.10. Statistical Analysis
3. Results
3.1. Expression of MAGEA11 in Tumors
3.2. Independent Risk Factors
3.3. Gene Enrichment Analysis
3.4. Construction and Verification of Nomogram
3.5. PPI Network and Functional Notes
3.6. MAGEA11 Mutation Analysis
3.7. Correlation of MAGEA11 with Immune Checkpoints and Immune Cell Infiltration
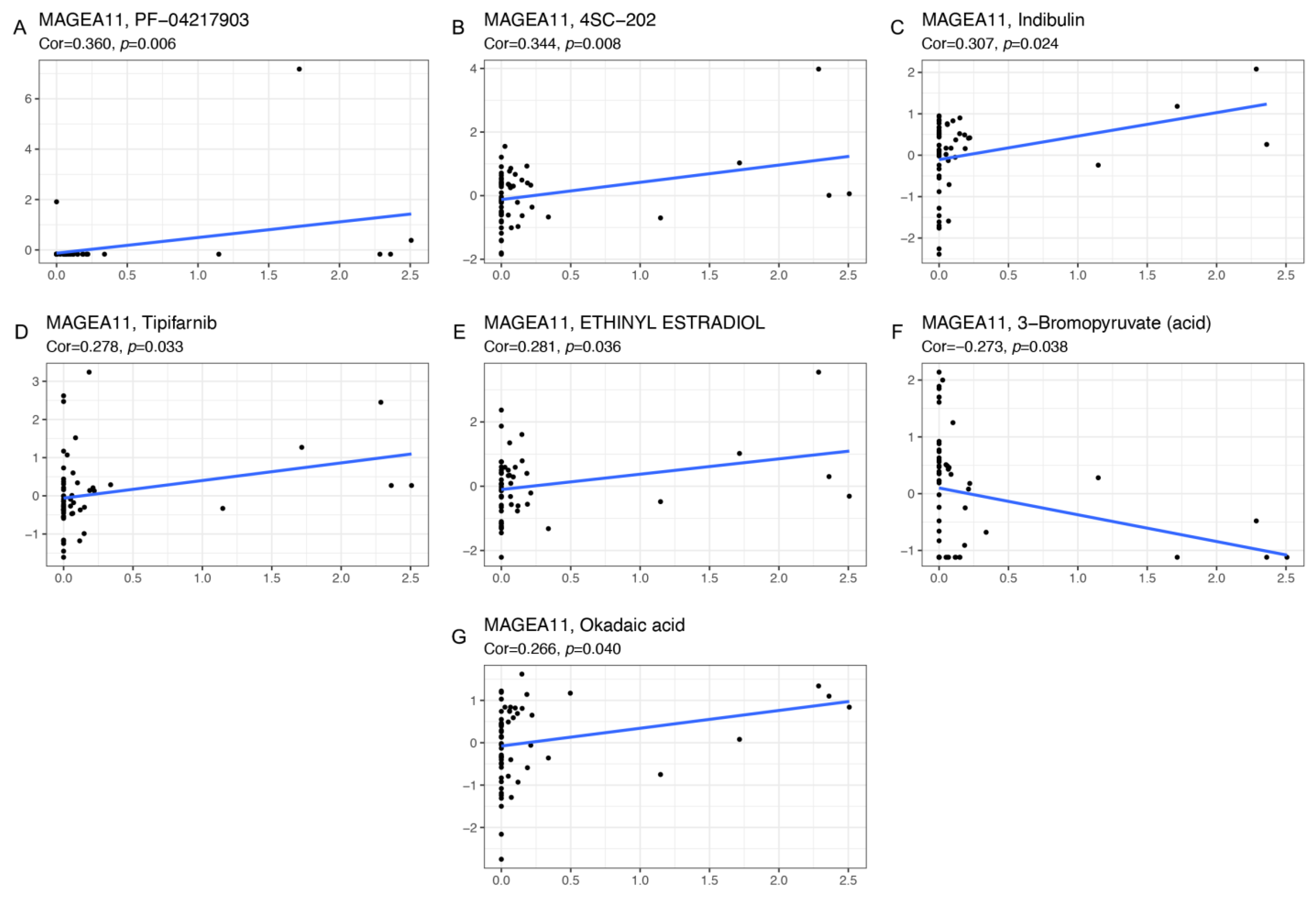
3.8. Drug Sensitivity
4. Discussion
5. Conclusions
Supplementary Materials
Author Contributions
Funding
Institutional Review Board Statement
Informed Consent Statement
Data Availability Statement
Acknowledgments
Conflicts of Interest
References
- Sung, H.; Ferlay, J.; Siegel, R.L.; Laversanne, M.; Soerjomataram, I.; Jemal, A.; Bray, F. Global Cancer Statistics 2020: GLOBOCAN Estimates of Incidence and Mortality Worldwide for 36 Cancers in 185 Countries. CA Cancer J. Clin. 2021, 71, 209–249. [Google Scholar] [CrossRef]
- Ilic, M.; Ilic, I. Epidemiology of stomach cancer. World J. Gastroenterol. 2022, 28, 1187–1203. [Google Scholar] [CrossRef] [PubMed]
- Hu, J.; Yang, Y.; Ma, Y.; Ning, Y.; Chen, G.; Liu, Y. Survival benefits from neoadjuvant treatment in gastric cancer: A systematic review and meta-analysis. Syst. Rev. 2022, 11, 136. [Google Scholar] [CrossRef]
- Chen, J.Y.; Lin, G.T.; Chen, Q.Y.; Zhong, Q.; Liu, Z.Y.; Que, S.J.; Wang, J.B.; Lin, J.X.; Lu, J.; Cao, L.L.; et al. Textbook outcome, chemotherapy compliance, and prognosis after radical gastrectomy for gastric cancer: A large sample analysis. Eur. J. Surg. Oncol. 2022, in press. [CrossRef]
- Zang, X.; Jiang, J.; Gu, J.; Chen, Y.; Wang, M.; Zhang, Y.; Fu, M.; Shi, H.; Cai, H.; Qian, H.; et al. Circular RNA EIF4G3 suppresses gastric cancer progression through inhibition of beta-catenin by promoting delta-catenin ubiquitin degradation and upregulating SIK1. Mol. Cancer 2022, 21, 141. [Google Scholar] [CrossRef]
- Wang, Y.; Jia, Z.; Gao, J.; Zhou, T.; Zhang, X.; Zu, G. Clinicopathological and Prognostic Value of USP22 Expression in Gastric Cancer: A Systematic Review and Meta-Analysis and Database Validation. Front. Surg. 2022, 9, 920595. [Google Scholar] [CrossRef] [PubMed]
- Liu, H.; Qiu, C.; Wang, B.; Bing, P.; Tian, G.; Zhang, X.; Ma, J.; He, B.; Yang, J. Evaluating DNA Methylation, Gene Expression, Somatic Mutation, and Their Combinations in Inferring Tumor Tissue-of-Origin. Front. Cell Dev. Biol. 2021, 9, 619330. [Google Scholar] [CrossRef] [PubMed]
- He, B.; Lang, J.; Wang, B.; Liu, X.; Lu, Q.; He, J.; Gao, W.; Bing, P.; Tian, G.; Yang, J. TOOme: A Novel Computational Framework to Infer Cancer Tissue-of-Origin by Integrating Both Gene Mutation and Expression. Front. Bioeng. Biotechnol. 2020, 8, 394. [Google Scholar] [CrossRef] [PubMed]
- Yamaji, T. Antidiuretic hormone and its disorders. Horumon Rinsho 1984, 32, 41–46. [Google Scholar]
- Peikert, T.; Specks, U.; Farver, C.; Erzurum, S.C.; Comhair, S.A. Melanoma antigen A4 is expressed in non-small cell lung cancers and promotes apoptosis. Cancer Res. 2006, 66, 4693–4700. [Google Scholar] [CrossRef] [PubMed]
- Suyama, T.; Ohashi, H.; Nagai, H.; Hatano, S.; Asano, H.; Murate, T.; Saito, H.; Kinoshita, T. The MAGE-A1 gene expression is not determined solely by methylation status of the promoter region in hematological malignancies. Leuk. Res. 2002, 26, 1113–1118. [Google Scholar] [CrossRef]
- Su, S.; Minges, J.T.; Grossman, G.; Blackwelder, A.J.; Mohler, J.L.; Wilson, E.M. Proto-oncogene activity of melanoma antigen-A11 (MAGE-A11) regulates retinoblastoma-related p107 and E2F1 proteins. J. Biol. Chem. 2013, 288, 24809–24824. [Google Scholar] [CrossRef] [PubMed]
- Sang, M.; Lian, Y.; Zhou, X.; Shan, B. MAGE-A family: Attractive targets for cancer immunotherapy. Vaccine 2011, 29, 8496–8500. [Google Scholar] [CrossRef] [PubMed]
- Otte, M.; Zafrakas, M.; Riethdorf, L.; Pichlmeier, U.; Loning, T.; Janicke, F.; Pantel, K. MAGE-A gene expression pattern in primary breast cancer. Cancer Res. 2001, 61, 6682–6687. [Google Scholar]
- Lin, J.; Lin, L.; Thomas, D.G.; Greenson, J.K.; Giordano, T.J.; Robinson, G.S.; Barve, R.A.; Weishaar, F.A.; Taylor, J.M.; Orringer, M.B.; et al. Melanoma-associated antigens in esophageal adenocarcinoma: Identification of novel MAGE-A10 splice variants. Clin. Cancer Res. 2004, 10, 5708–5716. [Google Scholar] [CrossRef]
- Jang, S.J.; Soria, J.C.; Wang, L.; Hassan, K.A.; Morice, R.C.; Walsh, G.L.; Hong, W.K.; Mao, L. Activation of melanoma antigen tumor antigens occurs early in lung carcinogenesis. Cancer Res. 2001, 61, 7959–7963. [Google Scholar]
- Brasseur, F.; Rimoldi, D.; Lienard, D.; Lethe, B.; Carrel, S.; Arienti, F.; Suter, L.; Vanwijck, R.; Bourlond, A.; Humblet, Y.; et al. Expression of MAGE genes in primary and metastatic cutaneous melanoma. Int. J. Cancer 1995, 63, 375–380. [Google Scholar] [CrossRef]
- Bergeron, A.; Picard, V.; LaRue, H.; Harel, F.; Hovington, H.; Lacombe, L.; Fradet, Y. High frequency of MAGE-A4 and MAGE-A9 expression in high-risk bladder cancer. Int. J. Cancer 2009, 125, 1365–1371. [Google Scholar] [CrossRef]
- Su, S.; Gu, Q.; Xu, A.; Shen, S.; Liu, S.; Zhang, C.; Miao, C.; Qin, C.; Liu, B.; Wang, Z. Genetic variations in MAGE-A11 predict the risk and survival of renal cell cancer. J. Cancer 2019, 10, 4860–4865. [Google Scholar] [CrossRef]
- Zhang, W.; Hu, X.; Chakravarty, H.; Yang, Z.; Tam, K.Y. Identification of Novel Pyruvate Dehydrogenase Kinase 1 (PDK1) Inhibitors by Kinase Activity-Based High-Throughput Screening for Anticancer Therapeutics. ACS Comb. Sci. 2018, 20, 660–671. [Google Scholar] [CrossRef]
- Bai, S.; Wilson, E.M. Epidermal-growth-factor-dependent phosphorylation and ubiquitinylation of MAGE-11 regulates its interaction with the androgen receptor. Mol. Cell. Biol. 2008, 28, 1947–1963. [Google Scholar] [CrossRef]
- Su, S.; Blackwelder, A.J.; Grossman, G.; Minges, J.T.; Yuan, L.; Young, S.L.; Wilson, E.M. Primate-specific melanoma antigen-A11 regulates isoform-specific human progesterone receptor-B transactivation. J. Biol. Chem. 2012, 287, 34809–34824. [Google Scholar] [CrossRef]
- Askew, E.B.; Bai, S.; Blackwelder, A.J.; Wilson, E.M. Transcriptional synergy between melanoma antigen gene protein-A11 (MAGE-11) and p300 in androgen receptor signaling. J. Biol. Chem. 2010, 285, 21824–21836. [Google Scholar] [CrossRef]
- Askew, E.B.; Bai, S.; Hnat, A.T.; Minges, J.T.; Wilson, E.M. Melanoma antigen gene protein-A11 (MAGE-11) F-box links the androgen receptor NH2-terminal transactivation domain to p160 coactivators. J. Biol. Chem. 2009, 284, 34793–34808. [Google Scholar] [CrossRef] [PubMed]
- Tomczak, K.; Czerwinska, P.; Wiznerowicz, M. The Cancer Genome Atlas (TCGA): An immeasurable source of knowledge. Contemp. Oncol. 2015, 19, A68–A77. [Google Scholar] [CrossRef] [PubMed]
- Yu, G.; Wang, L.G.; Han, Y.; He, Q.Y. Clusterprofiler: An R package for comparing biological themes among gene clusters. OMICS 2012, 16, 284–287. [Google Scholar] [CrossRef] [PubMed]
- Liu, J.; Lichtenberg, T.; Hoadley, K.A.; Poisson, L.M.; Lazar, A.J.; Cherniack, A.D.; Kovatich, A.J.; Benz, C.C.; Levine, D.A.; Lee, A.V.; et al. An Integrated TCGA Pan-Cancer Clinical Data Resource to Drive High-Quality Survival Outcome Analytics. Cell 2018, 173, 400–416.e11. [Google Scholar] [CrossRef]
- Szklarczyk, D.; Franceschini, A.; Kuhn, M.; Simonovic, M.; Roth, A.; Minguez, P.; Doerks, T.; Stark, M.; Muller, J.; Bork, P.; et al. The STRING database in 2011: Functional interaction networks of proteins, globally integrated and scored. Nucleic Acids Res. 2011, 39, D561–D568. [Google Scholar] [CrossRef]
- Bashiri, H.; Rahmani, H.; Bashiri, V.; Modos, D.; Bender, A. EMDIP: An Entropy Measure to Discover Important Proteins in PPI networks. Comput. Biol. Med. 2020, 120, 103740. [Google Scholar] [CrossRef]
- Zhang, Z.; Chai, H.; Wang, Y.; Pan, Z.; Yang, Y. Cancer survival prognosis with Deep Bayesian Perturbation Cox Network. Comput. Biol. Med. 2022, 141, 105012. [Google Scholar] [CrossRef]
- Robin, X.; Turck, N.; Hainard, A.; Tiberti, N.; Lisacek, F.; Sanchez, J.C.; Muller, M. pROC: An open-source package for R and S+ to analyze and compare ROC curves. BMC Bioinform. 2011, 12, 77. [Google Scholar] [CrossRef]
- Liu, C.; Wei, D.; Xiang, J.; Ren, F.; Huang, L.; Lang, J.; Tian, G.; Li, Y.; Yang, J. An Improved Anticancer Drug-Response Prediction Based on an Ensemble Method Integrating Matrix Completion and Ridge Regression. Mol. Ther. Nucleic Acids 2020, 21, 676–686. [Google Scholar] [CrossRef]
- Liu, X.; Yang, J.; Zhang, Y.; Fang, Y.; Wang, F.; Wang, J.; Zheng, X.; Yang, J. A systematic study on drug-response associated genes using baseline gene expressions of the Cancer Cell Line Encyclopedia. Sci. Rep. 2016, 6, 22811. [Google Scholar] [CrossRef]
- Ferlay, J.; Soerjomataram, I.; Dikshit, R.; Eser, S.; Mathers, C.; Rebelo, M.; Parkin, D.M.; Forman, D.; Bray, F. Cancer incidence and mortality worldwide: Sources, methods and major patterns in GLOBOCAN 2012. Int. J. Cancer 2015, 136, E359–E386. [Google Scholar] [CrossRef]
- Wang, B.; Yang, H.; Zhang, Y.; Tian, G.; Yang, J. A computational framework to trace tumor tissue-of-origin of 19 cancer types based on RNA sequencing. Res. Sq. 2022. [Google Scholar] [CrossRef]
- Yang, J.; Ju, J.; Guo, L.; Ji, B.; Shi, S.; Yang, Z.; Gao, S.; Yuan, X.; Tian, G.; Liang, Y.; et al. Prediction of HER2-positive breast cancer recurrence and metastasis risk from histopathological images and clinical information via multimodal deep learning. Comput. Struct. Biotechnol. J. 2022, 20, 333–342. [Google Scholar] [CrossRef]
- Ye, Z.; Zhang, Y.; Liang, Y.; Lang, J.; Zhang, X.; Zang, G.; Yuan, D.; Tian, G.; Xiao, M.; Yang, J. Cervical Cancer Metastasis and Recurrence Risk Prediction Based on Deep Convolutional Neural Network. Curr. Bioinform. 2022, 17, 164–173. [Google Scholar] [CrossRef]
- Liu, X.; Yuan, P.; Li, R.; Zhang, D.; An, J.; Ju, J.; Liu, C.; Ren, F.; Hou, R.; Li, Y.; et al. Predicting breast cancer recurrence and metastasis risk by integrating color and texture features of histopathological images and machine learning technologies. Comput. Biol. Med. 2022, 146, 105569. [Google Scholar] [CrossRef]
- Yang, M.; Yang, H.; Ji, L.; Hu, X.; Tian, G.; Wang, B.; Yang, J. A multi-omics machine learning framework in predicting the survival of colorectal cancer patients. Comput. Biol. Med. 2022, 146, 105516. [Google Scholar] [CrossRef]
- Liu, J.; Lan, Y.; Tian, G.; Yang, J. A Systematic Framework for Identifying Prognostic Genes in the Tumor Microenvironment of Colon Cancer. Front. Oncol. 2022, 12, 899156. [Google Scholar] [CrossRef]
- Jia, S.; Zhang, M.; Li, Y.; Zhang, L.; Dai, W. MAGE-A11 Expression Predicts Patient Prognosis in Head and Neck Squamous Cell Carcinoma. Cancer Manag. Res. 2020, 12, 1427–1435. [Google Scholar] [CrossRef]
- Liu, S.; Liu, F.; Huang, W.; Gu, L.; Meng, L.; Ju, Y.; Wu, Y.; Li, J.; Liu, L.; Sang, M. MAGE-A11 is activated through TFCP2/ZEB1 binding sites de-methylation as well as histone modification and facilitates ESCC tumor growth. Oncotarget 2018, 9, 3365–3378. [Google Scholar] [CrossRef]
- Tani, H.; Saito, N.; Kobayashi, M.; Kameoka, S. Clinical significance of keratinocyte growth factor and K-sam gene expression in gastric cancer. Mol. Med. Rep. 2013, 7, 1381–1386. [Google Scholar] [CrossRef]
- Yashiro, M.; Chung, Y.S.; Kubo, T.; Hato, F.; Sowa, M. Differential responses of scirrhous and well-differentiated gastric cancer cells to orthotopic fibroblasts. Br. J. Cancer 1996, 74, 1096–1103. [Google Scholar] [CrossRef][Green Version]
- Nakazawa, K.; Yashiro, M.; Hirakawa, K. Keratinocyte growth factor produced by gastric fibroblasts specifically stimulates proliferation of cancer cells from scirrhous gastric carcinoma. Cancer Res. 2003, 63, 8848–8852. [Google Scholar]
- Yu, L.; Lai, Q.; Feng, Q.; Li, Y.; Feng, J.; Xu, B. Serum Metabolic Profiling Analysis of Chronic Gastritis and Gastric Cancer by Untargeted Metabolomics. Front. Oncol. 2021, 11, 636917. [Google Scholar] [CrossRef]
- Yuan, K.; Ye, J.; Liu, Z.; Ren, Y.; He, W.; Xu, J.; He, Y.; Yuan, Y. Complement C3 overexpression activates JAK2/STAT3 pathway and correlates with gastric cancer progression. J. Exp. Clin. Cancer Res. 2020, 39, 9. [Google Scholar] [CrossRef]
- Afshar-Kharghan, V. The role of the complement system in cancer. J. Clin. Investig. 2017, 127, 780–789. [Google Scholar] [CrossRef]
- Bao, D.; Zhang, C.; Li, L.; Wang, H.; Li, Q.; Ni, L.; Lin, Y.; Huang, R.; Yang, Z.; Zhang, Y.; et al. Integrative Analysis of Complement System to Prognosis and Immune Infiltrating in Colon Cancer and Gastric Cancer. Front. Oncol. 2020, 10, 553297. [Google Scholar] [CrossRef]
- Repetto, O.; de Re, V. Coagulation and fibrinolysis in gastric cancer. Ann. N. Y. Acad. Sci. 2017, 1404, 27–48. [Google Scholar] [CrossRef]
- Takashima, H.; Koga, Y.; Manabe, S.; Ohnuki, K.; Tsumura, R.; Anzai, T.; Iwata, N.; Wang, Y.; Yokokita, T.; Komori, Y.; et al. Radioimmunotherapy with an (211) At-labeled anti-tissue factor antibody protected by sodium ascorbate. Cancer Sci. 2021, 112, 1975–1986. [Google Scholar] [CrossRef]
- Guo, Z.; Liang, E.; Zhang, T.; Xu, M.; Jiang, X.; Zhi, F. Identification and Validation of a Potent Multi-lncRNA Molecular Model for Predicting Gastric Cancer Prognosis. Front. Genet. 2021, 12, 607748. [Google Scholar] [CrossRef]
- Lund, I.; Scheffels, J. Perceptions of relative risk of disease and addiction from cigarettes and snus. Psychol. Addict. Behav. 2014, 28, 367–375. [Google Scholar] [CrossRef]
- Sheweita, S.A.; Alsamghan, A.S. Molecular Mechanisms Contributing Bacterial Infections to the Incidence of Various Types of Cancer. Mediat. Inflamm. 2020, 2020, 4070419. [Google Scholar] [CrossRef]
- Juvale, I.I.A.; Hassan, Z.; Has, A.T.C. The Emerging Roles of pi Subunit-Containing GABAA Receptors in Different Cancers. Int. J. Med. Sci. 2021, 18, 3851–3860. [Google Scholar] [CrossRef]
- Maemura, K.; Shiraishi, N.; Sakagami, K.; Kawakami, K.; Inoue, T.; Murano, M.; Watanabe, M.; Otsuki, Y. Proliferative effects of gamma-aminobutyric acid on the gastric cancer cell line are associated with extracellular signal-regulated kinase 1/2 activation. J. Gastroenterol. Hepatol. 2009, 24, 688–696. [Google Scholar] [CrossRef]
- Zeng, D.; Ye, Z.; Wu, J.; Zhou, R.; Fan, X.; Wang, G.; Huang, Y.; Wu, J.; Sun, H.; Wang, M.; et al. Macrophage correlates with immunophenotype and predicts anti-PD-L1 response of urothelial cancer. Theranostics 2020, 10, 7002–7014. [Google Scholar] [CrossRef]
- Engelhard, V.H.; Rodriguez, A.B.; Mauldin, I.S.; Woods, A.N.; Peske, J.D.; Slingluff, C.L., Jr. Immune Cell Infiltration and Tertiary Lymphoid Structures as Determinants of Antitumor Immunity. J. Immunol. 2018, 200, 432–442. [Google Scholar] [CrossRef]
- Vaddepally, R.K.; Kharel, P.; Pandey, R.; Garje, R.; Chandra, A.B. Review of Indications of FDA-Approved Immune Checkpoint Inhibitors per NCCN Guidelines with the Level of Evidence. Cancers 2020, 12, 738. [Google Scholar] [CrossRef]
- Hiramatsu, S.; Tanaka, H.; Nishimura, J.; Yamakoshi, Y.; Sakimura, C.; Tamura, T.; Toyokawa, T.; Muguruma, K.; Yashiro, M.; Hirakawa, K.; et al. Gastric cancer cells alter the immunosuppressive function of neutrophils. Oncol. Rep. 2020, 43, 251–259. [Google Scholar] [CrossRef]
- Erdogdu, I.H. MHC Class 1 and PDL-1 Status of Primary Tumor and Lymph Node Metastatic Tumor Tissue in Gastric Cancers. Gastroenterol. Res. Pract. 2019, 2019, 4785098. [Google Scholar] [CrossRef]
- Kennedy, A.; Waters, E.; Rowshanravan, B.; Hinze, C.; Williams, C.; Janman, D.; Fox, T.A.; Booth, C.; Pesenacker, A.M.; Halliday, N.; et al. Differences in CD80 and CD86 transendocytosis reveal CD86 as a key target for CTLA-4 immune regulation. Nat. Immunol. 2022, 23, 1365–1378. [Google Scholar] [CrossRef] [PubMed]
- Zhou, L.; Chong, M.M.; Littman, D.R. Plasticity of CD4+ T cell lineage differentiation. Immunity 2009, 30, 646–655. [Google Scholar] [CrossRef]
- Zander, R.; Schauder, D.; Xin, G.; Nguyen, C.; Wu, X.; Zajac, A.; Cui, W. CD4(+) T Cell Help Is Required for the Formation of a Cytolytic CD8(+) T Cell Subset that Protects against Chronic Infection and Cancer. Immunity 2019, 51, 1028–1042.e4. [Google Scholar] [CrossRef]
- Cao, B.; Liu, M.; Huang, J.; Zhou, J.; Li, J.; Lian, H.; Huang, W.; Guo, Y.; Yang, S.; Lin, L.; et al. Development of mesothelin-specific CAR NK-92 cells for the treatment of gastric cancer. Int. J. Biol. Sci. 2021, 17, 3850–3861. [Google Scholar] [CrossRef] [PubMed]
- Abdolahi, S.; Ghazvinian, Z.; Muhammadnejad, S.; Ahmadvand, M.; Aghdaei, H.A.; Ebrahimi-Barough, S.; Ai, J.; Zali, M.R.; Verdi, J.; Baghaei, K. Adaptive NK Cell Therapy Modulated by Anti-PD-1 Antibody in Gastric Cancer Model. Front. Pharmacol. 2021, 12, 733075. [Google Scholar] [CrossRef] [PubMed]







| Characteristic | Low Expression of MAGEA11 | High Expression of MAGEA11 | p |
|---|---|---|---|
| n | 187 | 188 | |
| T stage, n (%) | 0.358 | ||
| T1 | 7 (1.9%) | 12 (3.3%) | |
| T2 | 37 (10.1%) | 43 (11.7%) | |
| T3 | 83 (22.6%) | 85 (23.2%) | |
| T4 | 56 (15.3%) | 44 (12%) | |
| N stage, n (%) | 0.755 | ||
| N0 | 57 (16%) | 54 (15.1%) | |
| N1 | 52 (14.6%) | 45 (12.6%) | |
| N2 | 36 (10.1%) | 39 (10.9%) | |
| N3 | 34 (9.5%) | 40 (11.2%) | |
| M stage, n (%) | 1.000 | ||
| M0 | 163 (45.9%) | 167 (47%) | |
| M1 | 12 (3.4%) | 13 (3.7%) | |
| Gender, n (%) | 0.251 | ||
| Female | 61 (16.3%) | 73 (19.5%) | |
| Male | 126 (33.6%) | 115 (30.7%) | |
| Age, median (IQR) | 67.5 (57.75, 74) | 67 (59, 73) | 0.715 |
Publisher’s Note: MDPI stays neutral with regard to jurisdictional claims in published maps and institutional affiliations. |
© 2022 by the authors. Licensee MDPI, Basel, Switzerland. This article is an open access article distributed under the terms and conditions of the Creative Commons Attribution (CC BY) license (https://creativecommons.org/licenses/by/4.0/).
Share and Cite
Xiao, C.; Yang, L.; Jin, L.; Zhang, F.; Liu, J.; Yu, C.; Tao, L.; Li, C. MAGEA11 as a STAD Prognostic Biomarker Associated with Immune Infiltration. Diagnostics 2022, 12, 2506. https://doi.org/10.3390/diagnostics12102506
Xiao C, Yang L, Jin L, Zhang F, Liu J, Yu C, Tao L, Li C. MAGEA11 as a STAD Prognostic Biomarker Associated with Immune Infiltration. Diagnostics. 2022; 12(10):2506. https://doi.org/10.3390/diagnostics12102506
Chicago/Turabian StyleXiao, Chen, Linhui Yang, Liangzi Jin, Faqin Zhang, Jingbo Liu, Chunyu Yu, Lei Tao, and Changfu Li. 2022. "MAGEA11 as a STAD Prognostic Biomarker Associated with Immune Infiltration" Diagnostics 12, no. 10: 2506. https://doi.org/10.3390/diagnostics12102506
APA StyleXiao, C., Yang, L., Jin, L., Zhang, F., Liu, J., Yu, C., Tao, L., & Li, C. (2022). MAGEA11 as a STAD Prognostic Biomarker Associated with Immune Infiltration. Diagnostics, 12(10), 2506. https://doi.org/10.3390/diagnostics12102506
