Reading Wishes from the Lips: Cancer Patients’ Need for Psycho-Oncological Support during Inpatient and Outpatient Treatment
Abstract
1. Introduction
2. Methods
2.1. Subjects and Data Collection
2.2. Measurements
2.3. Statistical Procedures
3. Results
3.1. Description of the Study Sample
3.2. Prevalence of the Wish for PO
3.3. Identification of Predictors for the Wish for PO
3.4. BP Neural Network Structure
3.5. Training of the BP Neural Network
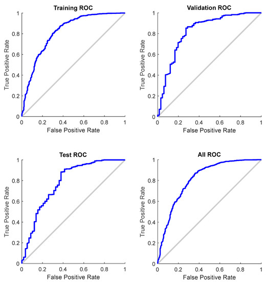
3.6. Validation of the BP Neural Network
4. Discussion
5. Conclusions
Author Contributions
Funding
Institutional Review Board Statement
Informed Consent Statement
Data Availability Statement
Conflicts of Interest
Appendix A
References
- Aaronson, N.K.; Mattioli, V.; Minton, O.; Weis, J.; Johansen, C.; Dalton, S.O.; Leeuw, I.M.V.-D.; Stein, K.D.; Alfano, C.M.; Mehnert, A.; et al. Beyond treatment—Psychosocial and behavioural issues in cancer survivorship research and practice. Eur. J. Cancer Suppl. 2014, 12, 54–64. [Google Scholar] [CrossRef] [PubMed]
- National Comprehensive Cancer Network. NCCN Clinical Practice Guidelines in Oncology: Distress Management; National Comprehensive Cancer Network: Montgomery, PA, USA, 2019; Volume 2. [Google Scholar]
- Zabora, J.; Brintzenhofe Szoc, K.; Curbow, B.; Hooker, C.; Piantadosi, S. The prevalence of psychological distress by cancer site. J. Psychol. Soc. Behav. Dimens. Cancer 2001, 10, 19–28. [Google Scholar] [CrossRef]
- Mehnert, A.; Hartung, T.J.; Friedrich, M.; Vehling, S.; Brähler, E.; Härter, M.; Keller, M.; Schulz, H.; Wegscheider, K.; Weis, J.; et al. One in two cancer patients is significantly distressed: Prevalence and indicators of distress. Sycho Oncol. J. Psychol. Soc. Behav. Dimens. Cancer 2017, 27, 75–82. [Google Scholar] [CrossRef]
- Wang, G.-L.; Cheng, C.-T.; Feng, A.-C.; Hsu, S.-H.; Hou, Y.-C.; Chiu, C.-Y. Prevalence, risk factors, and the desire for help of distressed newly diagnosed cancer patients: A large-sample study. Palliat. Support. Care 2017, 15, 295–304. [Google Scholar] [CrossRef]
- Skarstein, J.; Aass, N.; Fosså, S.D.; Skovlund, E.; Dahl, A.A. Anxiety and depression in cancer patients: Relation between the Hospital Anxiety and Depression Scale and the European Organization for Research and Treatment of Cancer Core Quality of Life Questionnaire. J. Psychosom. Res. 2000, 49, 27–34. [Google Scholar] [CrossRef]
- Schiel, R.O.; Brechtel, A.; Hartmann, M.; Taubert, A.; Walther, J.; Wiskemann, J.; Rötzer, I.; Becker, N.; Jäger, D.; Herzog, W.; et al. Multidisciplinary health care needs of psychologically distressed cancer patients in a Comprehensive Cancer Center. Dtsch. Med. Wochenschr. 2014, 139, 587–591. [Google Scholar] [PubMed]
- von Essen, L.; Larsson, G.; Oberg, K.; Sjödén, P.O. ‘Satisfaction with care’: Associations with health-related quality of life and psychosocial function among Swedish patients with endocrine gastrointestinal tumours. Eur. J. Cancer Care 2002, 11, 91–99. [Google Scholar] [CrossRef]
- Holland, R.R.; Ellis, C.A.; Geller, B.M.; Plante, D.A.; Secker-Walker, R.H. Life expectancy estimation with breast cancer: Bias of the declining exponential function and an alternative ot its use. J. Clin. Psychol. Med. Settings 1999, 19, 385–393. [Google Scholar] [CrossRef]
- Kennard, B.D.; Stewart, S.M.; Olvera, R.; Bawdon, R.E.; Hailin, A.O.; Lewis, C.P.; Winick, N.J. Nonadherence in Adolescent Oncology Patients: Preliminary Data on Psychological Risk Factors and Relationships to Outcome. J. Clin. Psychol. Med. Settings 2004, 11, 31–39. [Google Scholar] [CrossRef]
- Yee, M.K.; Sereika, S.M.; Bender, C.M.; Brufsky, A.M.; Connolly, M.C.; Rosenzweig, M. Symptom incidence, distress, cancer-related distress, and adherence to chemotherapy among African American women with breast cancer. Cancer 2017, 123, 2061–2069. [Google Scholar] [CrossRef] [PubMed]
- Carlsen, K.; Dalton, S.O.; Diderichsen, F.; Johansen, C. Risk for unemployment of cancer survivors: A Danish cohort study. Eur. J. Cancer 2008, 44, 1866–1874. [Google Scholar] [CrossRef] [PubMed]
- Carlson, L.E.; Walker, A.; Mitchell, A.J. Screening for distress and unmet needs in patients witch cancer: Review and recommendations. J. Clin. Oncol. 2012, 30, 1160–1177. [Google Scholar] [CrossRef] [PubMed]
- Mitchell, A.J. Screening for cancer-related distress: When is implementation successful and when is it unsuccessful? Acta Oncol. 2013, 52, 216–224. [Google Scholar] [CrossRef] [PubMed]
- Hart, S.L.; Hoyt, M.A.; Diefenbach, M.; Anderson, D.R.; Kilbourn, K.M.; Craft, L.L.; Steel, J.L.; Cuijpers, P.; Mohr, D.; Berendsen, M.; et al. Meta-Analysis of Efficacy of Interventions for Elevated Depressive Symptoms in Adults Diagnosed with Cancer. JNCI J. Natl. Cancer Inst. 2012, 104, 990–1004. [Google Scholar] [CrossRef]
- Faller, H.; Schuler, M.; Richard, M.; Heckl, U.; Weis, J.; Küffner, R. Effects of Psycho-Oncologic Interventions on Emotional Distress and Quality of Life in Adult Patients with Cancer: Systematic Review and Meta-Analysis. J. Clin. Oncol. 2013, 31, 782–793. [Google Scholar] [CrossRef] [PubMed]
- Arving, C.; Brandberg, Y.; Feldman, I.; Johansson, B.; Glimelius, B. Cost-utility analysis of individual psychosocial support interventions for breast cancer patients in a randomized controlled study. Psycho-Oncology 2014, 23, 251–258. [Google Scholar] [CrossRef]
- Riedl, D.; Gastl, R.; Gamper, E.; Arnold, C.R.; Dejaco, D.; Schoellmann, F.; Rumpold, G. Cancer patients’ wish for psychological support during outpatient radiation therapy. Strahlenther. Onkol. 2018, 194, 655–663. [Google Scholar] [CrossRef]
- Holland, J.C. Psycho-oncology: Overview, obstacles and opportunities. Psycho-Oncology 2018, 27, 1364–1376. [Google Scholar] [CrossRef]
- Suurmeijer, T.P.; Doeglas, D.M.; Briançon, S.; Krijnen, W.P.; Krol, B.; Sanderman, R.; Moum, T.; Bjelle, A.; Heuvel, W.J.V.D. The measurement of social support in the ‘European research on incapacitating diseases and social support’: The development of the Social Support Questionnaire for Transactions (SSQT). Soc. Sci. Med. 1995, 40, 1221–1229. [Google Scholar] [CrossRef]
- Sebri, V.; Mazzoni, D.; Triberti, S.; Pravettoni, G. The Impact of Unsupportive Social Support on the Injured Self in Breast Cancer Patients. Front. Psychol. 2021, 12, 722211. [Google Scholar] [CrossRef] [PubMed]
- Sebri, V.; Triberti, S.; Pravettoni, G. Injured Self: Autobiographical Memory, Self-Concept, and Mental Health Risk in Breast Cancer Survivors. Front. Psychol. 2020, 11, 607514. [Google Scholar] [CrossRef]
- Morel, N.; Dayan, J.; Piolino, P.; Viard, A.; Allouache, D.; Noal, S.; Levy, C.; Joly, F.; Eustache, F.; Giffard, B. Emotional specificities of autobiographical memory after breast cancer diagnosis. Conscious. Cogn. 2015, 35, 42–52. [Google Scholar] [CrossRef]
- McGinty, H.L.; Small, B.J.; Laronga, C.; Jacobsen, P.B. Predictors and patterns of fear of cancer recurrence in breast cancer survivors. Health Psychol. 2016, 35, 1–9. [Google Scholar] [CrossRef] [PubMed]
- Carlson, L.E.; Angen, M.; Cullum, J.; Goodey, E.; Koopmans, J.; Lamont, L.; Macrae, J.H.; Martin, M.; Pelletier, G.; Robinson, J.; et al. High levels of untreated distress and fatigue in cancer patients. Br. J. Cancer 2004, 90, 2297–2304. [Google Scholar] [CrossRef] [PubMed]
- Verdonck-de Leeuw, I.M.; de Bree, R.; Keizer, A.L.; Houffelaar, T.; Cuijpers, P.; van der Linden, M.H.; Leemans, C.R. Computerized prospective screening for high levels of emotional distress in head and neck cancer patients and referral rate to psychosocial care. Oral Oncol. 2009, 45, e129–e133. [Google Scholar] [CrossRef] [PubMed]
- Loth, F.L.; Meraner, V.; Holzner, B.; Singer, S.; Virgolini, I.; Gamper, E.M. Following patient pathways to psycho-oncological care: Identification of treatment needs by clinical staff and electronic screening. Psycho-Oncology 2018, 27, 1312–1319. [Google Scholar] [CrossRef] [PubMed]
- Günther, M.P.; Kirchebner, J.; Ben Schulze, J.; Götz, A.; von Känel, R.; Euler, S. Uncovering Barriers to Screening for Distress in Patients with Cancer via Machine Learning. J. Acad. Consult. Psychiatry 2022, 63, 163–169. [Google Scholar] [CrossRef] [PubMed]
- Günther, M.P.; Schulze, J.B.; Jellestad, L.; Mehnert-Theuerkauf, A.; von Känel, R.; Euler, S. Mental disorders, length of hospitalization, and psychopharmacy—New approaches to identify barriers to psychological support for patients with cancer. Psycho-Oncology 2021, 30, 1773–1781. [Google Scholar] [CrossRef] [PubMed]
- Knies, A.K.; Jutagir, D.R.; Ercolano, E.; Pasacreta, N.; Lazenby, M.; McCorkle, R. Barriers and facilitators to implementing the commission on cancer's distress screening program standard. Palliat. Support. Care 2019, 17, 253. [Google Scholar] [CrossRef] [PubMed]
- Fradgley, E.A.; Byrnes, E.; McCarter, K.; Rankin, N.; Britton, B.; Clover, K.; Carter, G.; Bellamy, D.; Paul, C.L. A cross-sectional audit of current practices and areas for improvement of distress screening and management in Australian cancer services: Is there a will and a way to improve? Support Care Cancer 2020, 28, 249–259. [Google Scholar] [CrossRef] [PubMed]
- Schweer, C.; Doering, S.; Haier, J.; Heuft, G.; Fritz, F.; Dugas, M.; Schneider, G. Psychooncological interventions—What do cancer patients aged 60 years or older wish for? Z. Psychosom. Med. Psychother. 2011, 57, 223–232. [Google Scholar]
- Ernst, J.; Zenger, M.; Schmidt, R.; Schwarz, R.; Brähler, E. Medical and psychosocial care needs of cancer patients: A systematic review comparing urban and rural provisions. Dtsch. Med. Wochenschr. 2010, 135, 1531–1537. [Google Scholar] [CrossRef]
- Dee, E.C.; Nipp, R.D.; Muralidhar, V.; Yu, Z.; Butler, S.S.; Mahal, B.A.; Nguyen, P.L.; Sanford, N.N. Financial worry and psychological distress among cancer survivors in the United States, 2013—2018. Support. Care Cancer 2021, 29, 5523–5535. [Google Scholar] [CrossRef]
- Kriegeskorte, N.; Golan, T. Neural network models and deep learning. Curr. Biol. 2019, 29, R231–R236. [Google Scholar] [CrossRef] [PubMed]
- Aruna, P.; Puviarasan, N.; Palaniappan, B. An investigation of neurofuzzy system in psychosomatic dirsorders. Exp. Syst. Appl. 2005, 28, 673–679. [Google Scholar] [CrossRef]
- Zou, Y.; Shen, Y.; Shu, L.; Wang, Y.; Feng, F.; Xu, K.; Qu, Y.; Song, Y.; Zhong, Y.; Wang, M.; et al. Artificial Neural Network to Assist Psychiatric Diagnosis. Br. J. Psychiatry 1996, 169, 64–67. [Google Scholar] [CrossRef] [PubMed]
- Chattopadhyay, S.; Kaur, P.; Rabhi, F.; Acharya, U.R. Neural Network Approaches to Grade Adult Depression. J. Med. Syst. 2011, 36, 2803–2815. [Google Scholar] [CrossRef]
- Fan, R.; Hua, T.; Shen, T.; Jiao, Z.; Yue, Q.; Chen, B.; Xu, Z. Identifying patients with major depressive disorder based on tryptophan hydroxylase-2 methylation using machine learning algorithms. Psychiatry Res. 2021, 306, 114258. [Google Scholar] [CrossRef]
- Davis, G.; Lowell, W.E. A neural network that predicts psychiatric length of stay. MD. Comput. Comput. Med. Pract. 1993, 10, 87–92. [Google Scholar]
- Lyu, J.; Zhan, J. BP neural network prediction model for suicide attempt among Chinese rural residents. J. Affect. Disord. 2019, 246, 465–473. [Google Scholar] [CrossRef]
- Huan, J.; Chen, J. BP neural networrk model for early diagnosis of Kawasaki disease. Biomed. Eng. Res. 2011, 30, 207–210. [Google Scholar]
- Ownby, K.K. Use of the Distress Thermometer in Clinical Practice. J. Adv. Pract. Oncol. 2019, 10, 175–179. [Google Scholar] [PubMed]
- Holland, J.C.; Bultz, B.D. The NCNN guideline for distress management: A case for making distress the sixth vital sign. J. Natl. Compr. Cancer Netw. 2007, 5, 3–7. [Google Scholar] [CrossRef]
- Bertero, L.; Massa, F.; Metovic, J.; Zanetti, R.; Castellano, I.; Ricardi, U.; Papotti, M.; Cassoni, P. Eighth edition of the UICC classification of malignant tumours: An overview of the changes in the pathological TNM classification criteria—What has changed and why? Virchows Arch. 2018, 472, 519–531. [Google Scholar] [CrossRef] [PubMed]
- Charlson, M.E.; Pompei, P.; Ales, K.L.; MacKenzie, C.R. A new method of classifying prognostic comorbidity in longitudinal studies: Development and validation. J. Chronic Dis. 1987, 40, 373–383. [Google Scholar] [CrossRef]
- Quan, H.; Li, B.; Couris, C.M.; Fushimi, K.; Graham, P.; Hider, P.; Januel, J.-M.; Sundararajan, V. Updating and Validating the Charlson Comorbidity Index and Score for Risk Adjustment in Hospital Discharge Abstracts Using Data From 6 Countries. Am. J. Epidemiol. 2011, 173, 676–682. [Google Scholar] [CrossRef]
- Kim, D.H.; Park, H.C.; Cho, A.; Kim, J.; Yun, K.-S.; Kim, J.; Lee, Y.-K. Age-adjusted Charlson comorbidity index score is the best predictor for severe clinical outcome in the hospitalized patients with COVID-19 infection. Medicine 2021, 100, e25900. [Google Scholar] [CrossRef]
- Kutner, M.H. Applied Linear Statistical Models; McGraw-Hill Irwin: Boston, MA, USA, 2005; p. 410. [Google Scholar]
- de Vries, A.; Sollner, W.; Steixner, E.; Auer, V.; Schiessling, G.; Stzankay, A.; Iglseder, W.; Lukas, P. Subjective psychological stress and need for psychosocial support in cancer patients during radiotherapy treatment. Strahlenther Onkol. 1998, 174, 408–414. [Google Scholar] [CrossRef]
- Faller, H.; Olshausen, B.; Flentje, M. Emotional distress and needs for psychosocial support among breast cancer patients at start of radiotherapy. Psychother. Psychosom. Med. Psychol. 2003, 53, 229–235. [Google Scholar] [CrossRef]
- Carolan, C.; Smith, A.; Davies, G.; Forbat, L. Seeking, accepting and declining help for emotional distress in cancer: A systematic review and thematic synthesis of qualitative evidence. Eur. J. Cancer Care 2017, 27, e12720. [Google Scholar] [CrossRef]
- Clover, K.A.; Mitchell, A.J.; Britton, B.; Carter, G. Why do oncology outpatients who report emotional distress decline help? Psycho-Oncology 2015, 24, 812–818. [Google Scholar] [CrossRef] [PubMed]
- Kacel, E.L.; Pereira, D.B.; Estores, I.M. Advancing supportive oncology care via collaboration between psycho-oncology and integrative medicine. Support Care Cancer 2019, 27, 3175–3178. [Google Scholar] [CrossRef] [PubMed]
- Stark, A.; Kaduszkiewicz, H.; Stein, J.; Maier, W.; Heser, K.; Weyerer, S.; Werle, J.; Wiese, B.; Mamone, S.; König, H.-H.; et al. A qualitative study on older primary care patients’ perspectives on depression and its treatments—Potential barriers to and opportunities for managing depression. BMC Fam. Pract. 2018, 19, 2. [Google Scholar] [CrossRef] [PubMed]
- Latalova, K.; Kamaradova, D.; Prasko, J. Perpectives on perceived stigma and self-stigma in adult male patients with depression. Neuropsychiatr. Dis. Treat. 2014, 10, 1399–1405. [Google Scholar] [CrossRef] [PubMed]
- Bracke, P.; Delaruelle, K.; Verhaeghe, M. Dominant Cultural and Personal Stigma Beliefs and the Utilization of Mental Health Services: A Cross-National Comparison. Front. Sociol. 2019, 4, 40. [Google Scholar] [CrossRef]
- Dilworth, S.; Higgins, I.; Parker, V.; Kelly, B.; Turner, J. Patient and health professional’s perceived barriers to the delivery of psychosocial care to adults with cancer: A systematic review. Psycho-Oncology 2014, 23, 601–612. [Google Scholar] [CrossRef]
- Pichler, T.; Dinkel, A.; Marten-Mittag, B.; Hermelink, K.; Telzerow, E.; Ackermann, U.; Belka, C.; Combs, S.E.; Gratzke, C.; Gschwend, J.; et al. Factors associated with the decline of psychological support in hospitalized patients with cancer. Psycho-Oncology 2019, 28, 2049–2059. [Google Scholar] [CrossRef]
- Frey Nascimento, A.; Tondorf, T.; Rothschild, S.I.; Koller, M.T.; Rochlitz, C.; Kiss, A.; Schaefert, R.M.; Meinlschmidt, G.P.; Hunziker, S.; Gaab, J.; et al. Oncologist recommendation matters—Predictors of psycho-oncological service uptake in oncology outpatients. Psycho-Oncology 2019, 28, 351–357. [Google Scholar] [CrossRef]
- Ben Schulze, J.; Günther, M.P.; Riemenschnitter, C.; Wicki, A.; von Känel, R.; Euler, S. Distinct psycho-oncological support inclinations and needs in patients with cancer: A large sample latent class analysis approach. Gen. Hosp. Psychiatry 2021, 75, 17–22. [Google Scholar] [CrossRef]
- Jacobsen Paul, B.; Donovan Kristine, A.; Trask Peter, C.; Fleishman Stewart, B.; Zabora, J.; Baker, F.; Holland, J.C. Screening for psychologic distress in ambulatory cancer patients. Cancer. 2005, 103, 1494–1502. [Google Scholar] [CrossRef]
- Shim, E.-J.; Shin, Y.-W.; Jeon, H.J.; Hahm, B.-J. Distress and its correlates in Korean cancer patients: Pilot use of the distress thermometer and the problem list. Psycho-Oncology 2008, 17, 548–555. [Google Scholar] [CrossRef] [PubMed]
- Hegel Mark, T.; Collins, E.D.; Kearing, S.; Gillock, K.L.; Moore, C.P.; Ahles, T.A. Sensitivity and specificity of the Distress. Thermometer for depression in newly diagnosed breast cancer patients. Psycho-Oncology 2008, 17, 556–560. [Google Scholar] [CrossRef] [PubMed]
- Acquati, C.; Kayser, K. Predictors of psychological distress among cancer patients receiving care at a safety-net institution: The role of younger age and psychosocial problems. Support. Care Cancer 2017, 25, 2305–2312. [Google Scholar] [CrossRef]
- Günther, M.P.; Schulze, J.B.; Kirchebner, J.; Jordan, K.-D.; von Känel, R.; Euler, S. Severe mental illness in cancer is assosciated with disparities in psycho-oncological support. Curr. Probl. Cancer 2022, 46, 100849. [Google Scholar] [CrossRef]
- Guy, G.P.; Machlin, S.R.; Ekwueme, D.U.; Yabroff, K.R. Prevalence and costs of skin cancer treatment in the U.S.; 2002–2006 and 2007–2011. Am. J. Prev. Med. 2015, 48, 183–187. [Google Scholar] [CrossRef]
- Wiggins, B.; Corsini, N.; Ramsey, I.; Edwards, S.; Ball, D.; Cocks, L.; Lill, J.; Sharplin, G.; Wilson, C. An evaluation of social work services in a cancer accomodation facility for rural South Australians. Support Cancer Care 2018, 26, 147–154. [Google Scholar] [CrossRef]
- Hyer, J.M.; Paredes, A.Z.; Palmer Kelley, E.; Tsilimigras, D.; Meyer, B.; Newberry, H.; Pawlik, T.M. Characterizing pastoral care utilization by cancer patients. Am. J. Hosp. Palliat. Care 2021, 38, 758–765. [Google Scholar] [CrossRef]
- Palmer Kelly, E.; Hyer, J.M.; Paredes, A.Z.; Tsilimigras, D.; Meyer, B.; Newberry, H.; Pawlik, T.M. Provision of supportive spiritual care for hepatopancreatic cancer patients: An unmet need? HPB 2021, 23, 1400–1409. [Google Scholar] [CrossRef] [PubMed]
- Moghimian, M.; Irajpour, A. The requirements of hospital-based spiritual care for cancer patients. Support. Care Cancer 2019, 27, 2643–2648. [Google Scholar] [CrossRef]
- Cutillo, A.; O’Hea, E.; Person, S.D.; Lessard, D.; Harralson, T.L.; Boudreaux, E. The Distress Thermometer: Cutoff Points and Clinical Use. Oncol. Nurs. Forum 2017, 44, 329–336. [Google Scholar] [CrossRef]
- Ploos van Amstel, F.; Tol, J.; Sessink, K.; van der Graaf, W.T.; Prins, J.; Ottevanger, P. A specific distress cutoff score shortly after breast cancer diagnosis. Cancer Nurs. 2017, 40, E35–E40. [Google Scholar] [CrossRef] [PubMed]
- Zwahlen, D.; Tondorf, T.; Rothschild, S.; Koller, M.T.; Rochlitz, C.; Kiss, A. Understanding why cancer patients accept or turn down psycho-oncological support: A prospective observational study including patients’ and clinicians’ perspectives on communication about distress. BMC Cancer 2017, 17, 385. [Google Scholar] [CrossRef] [PubMed]






| ICD-10 (3-Digit Diagnosis Code) | Type of Cancer | 2011–2019 | (%) |
|---|---|---|---|
| N | |||
| C00-C14 | Malignant neoplasms of lip, oral cavity and pharynx | 423 | 13.8 |
| C15-C26 | Malignant neoplasms of digestive organs | 345 | 11.3 |
| C30-C39 | Malignant neoplasms of respiratory and intrathoracic organs | 542 | 17.7 |
| C40-C41 | Malignant neoplasms of bone and articular cartilage | 3 | 0.1 |
| C43 | Melanoma and other malignant neoplasms of skin (without basalioma) | 135 | 4.4 |
| C45-C49 | Malignant neoplasms of mesothelial and soft tissue | 44 | 1.4 |
| C50 | Malignant neoplasms of breast | 30 | 1 |
| C51-C58 | Malignant neoplasms of female genital organs | 42 | 1.4 |
| C60-C63 | Malignant neoplasms of male genital organs | 384 | 12.5 |
| C64-C68 | Malignant neoplasms of urinary tract | 104 | 3.4 |
| C69-C72 | Malignant neoplasms of eye, brain and other parts of central nervous system | 374 | 12.2 |
| C73-C75 | Malignant neoplasms of thyroid and other endocrine glands | 37 | 1.2 |
| C76-C80 | Malignant neoplasms of ill-defined, other secondary and unspecified sites | 4 | 0.1 |
| C81-C96 | Malignant neoplasms of lymphoid, hematopoietic and related tissue | 586 | 19.1 |
| D00-D09 | In situ neoplasms | 10 | 0.3 |
| Total | 3063 | 100 |
| Total | Women | Men | |
|---|---|---|---|
| Patients | N (%) | 1022 (33.3%) | 2041 (66.6%) |
| 3063 (100) | |||
| Age (mean and SD; range) | 61.5 (13.9); 18–95 | 60.6 (14.8); 18–92 | 62 (13.4); 18–95 |
| Married | 1750 (57%) | 511 (50%) | 1239 (60.7%) |
| Primary language German | 3019 (98.6%) | 1012 (99%) | 2007 (98.3%) |
| Nationality | |||
| ch | 2516 (82.1%) | 863 (84.4%) | 1653 (81.0%) |
| eu (non-ch) | 396 (12.9%) | 114 (11.1%) | 282 (13.8%) |
| non-eu | 151 (4.9%) | 46 (4.5%) | 105 (5.1%) |
| Advanced stage of cancer | 1451 (47.4%) | 526 (51.5%) | 925 (45.3%) |
| CCI (≥ 5) | 1865 (61.4%) | 625 (61.2%) | 1240 (60.7%) |
| Distress score ≥ 5 | 1752 (57.1%) | 675 (66%) | 1085 (53.1%) |
| Psychiatric diagnosis present | 209 (6.8%) | 72 (7%) | 137 (6.7%) |
| Total | Men | Women | ||
|---|---|---|---|---|
| N (%) | ||||
| Wish for PO | Distress score ≥ 5 | 366 (11.94) | 184 (9.01) | 182 (17.79) |
| Wish for PO | Distress score < 5 | 81 (2.64) | 48 (2.35) | 33 (3.22) |
| No wish for PO | Distress score ≥ 5 | 1386 (45.24) | 896 (43.92) | 490 (47.89) |
| No wish for PO | Distress score < 5 | 1230 (40.15) | 912 (44.70) | 318 (31.08) |
| total | 3063 (100) | 2040 (100) | 1023 (100) | |
| Wish for PO | 447 (14.59) | 232 (11.37) | 215 (21.01) | |
| No wish for PO | 2616 (85.40) | 1808 (88.62) | 808 (78.98) | |
| Distress score ≥ 5 | 1752 (57.19) | 1081 (52.99) | 671 (65.59) | |
| Distress score < 5 | 1311 (42.80) | 960 (47.05) | 351 (34.31) |
| Variables | Standard B | OR | p Value |
|---|---|---|---|
| Request for social services | 0.137 | 5.431 | <0.001 |
| Request for pastoral care | 0.180 | 13.094 | <0.001 |
| Psychiatric diagnosis present | 0.214 | 1.457 | 0.078 |
| Opioid treatment | 0.130 | 1.409 | 0.008 |
| Age | 0.004 | 0.984 | <0.001 |
| Female sex | 0.123 | 1.796 | <0.001 |
| Malignant neoplasms of digestive organs | 0.233 | 0.584 | 0.0021 |
| Melanoma and other malignant neoplasms of skin (without basalioma) | 0.276 | 1.720 | 0.049 |
| Malignant neoplasms of lymphoid, hematopoietic and related tissue | 0.144 | 1.666 | <0.001 |
| Nagelkerke R2 | 0.360 |
| Nhidden | Se | Sp | 1-Sp | PV+ | PV- | π | Number of Iterations |
|---|---|---|---|---|---|---|---|
| 7 | 30.1 | 98.8 | 0.012 | 81.1 | 89.1 | 88.6 | 24 |
| 8 | 31.2 | 98.8 | 0.012 | 82.0 | 89.2 | 88.8 | 13 |
| 9 | 37.6 | 97.6 | 0.024 | 73.3 | 90.0 | 88.8 | 19 |
| π | Total Sample | Number of Iterations | ||||||||
|---|---|---|---|---|---|---|---|---|---|---|
| Network | Nhidden | Training Sample | Verification Sample | Test Sample | Se | Sp | PV+ | PV- | π | |
| 1 | 7 | 88.8 | 88.0 | 88.5 | 34.7 | 98.8 | 74.8 | 89.7 | 88.6 | 28 |
| 2 | 7 | 88.4 | 89.5 | 88.7 | 30.1 | 98.8 | 81.1 | 89.1 | 88.6 | 24 |
| 3 | 8 | 88.3 | 90.4 | 90.0 | 31.2 | 98.8 | 82.0 | 89.2 | 88.8 | 13 |
| 4 | 8 | 89.1 | 86.5 | 88.5 | 40.7 | 96.9 | 69.7 | 90.4 | 88.6 | 18 |
| 5 | 9 | 88.9 | 89.3 | 87.6 | 37.6 | 97.6 | 73.3 | 90.0 | 88.8 | 19 |
| 6 | 9 | 89.5 | 89.3 | 86.5 | 36.7 | 98.0 | 76.5 | 90.0 | 89.0 | 33 |
Publisher’s Note: MDPI stays neutral with regard to jurisdictional claims in published maps and institutional affiliations. |
© 2022 by the authors. Licensee MDPI, Basel, Switzerland. This article is an open access article distributed under the terms and conditions of the Creative Commons Attribution (CC BY) license (https://creativecommons.org/licenses/by/4.0/).
Share and Cite
Schulze, J.B.; Dörner, M.; Usas, H.; Günther, M.P.; von Känel, R.; Euler, S. Reading Wishes from the Lips: Cancer Patients’ Need for Psycho-Oncological Support during Inpatient and Outpatient Treatment. Diagnostics 2022, 12, 2440. https://doi.org/10.3390/diagnostics12102440
Schulze JB, Dörner M, Usas H, Günther MP, von Känel R, Euler S. Reading Wishes from the Lips: Cancer Patients’ Need for Psycho-Oncological Support during Inpatient and Outpatient Treatment. Diagnostics. 2022; 12(10):2440. https://doi.org/10.3390/diagnostics12102440
Chicago/Turabian StyleSchulze, Jan Ben, Marc Dörner, Hermanas Usas, Moritz Philipp Günther, Roland von Känel, and Sebastian Euler. 2022. "Reading Wishes from the Lips: Cancer Patients’ Need for Psycho-Oncological Support during Inpatient and Outpatient Treatment" Diagnostics 12, no. 10: 2440. https://doi.org/10.3390/diagnostics12102440
APA StyleSchulze, J. B., Dörner, M., Usas, H., Günther, M. P., von Känel, R., & Euler, S. (2022). Reading Wishes from the Lips: Cancer Patients’ Need for Psycho-Oncological Support during Inpatient and Outpatient Treatment. Diagnostics, 12(10), 2440. https://doi.org/10.3390/diagnostics12102440

