Noninvasive Assessment of Interstitial Fibrosis and Tubular Atrophy in Renal Transplant by Combining Point-Shear Wave Elastography and Estimated Glomerular Filtration Rate
Abstract
:1. Introduction
2. Materials and Methods
2.1. Study Population
2.2. Serum Biomarkers
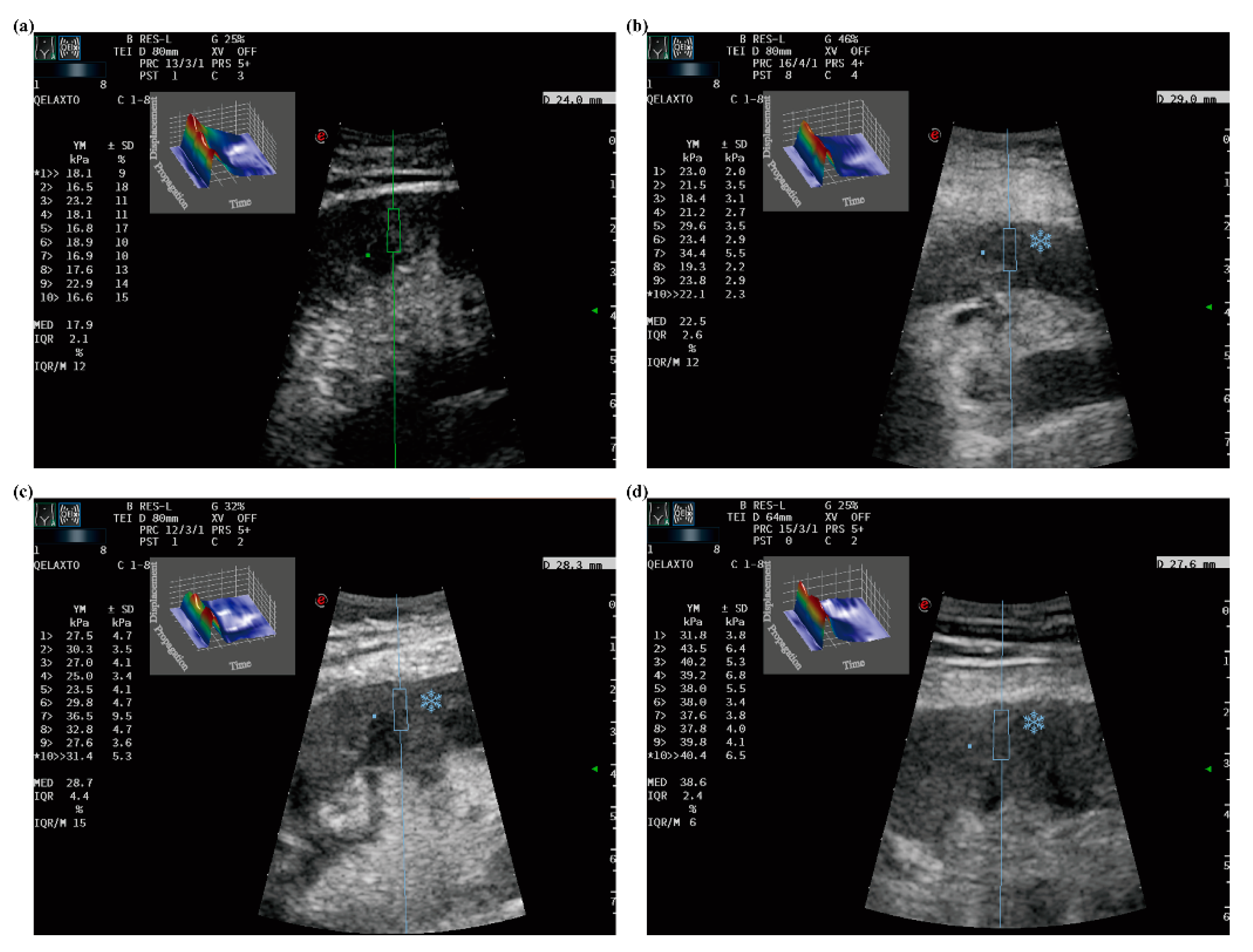
2.3. Ultrasound and p-SWE Examinations
2.4. Renal Biopsy and Histologic Assessment
2.5. Statistical Analysis
3. Results
3.1. Baseline Characteristics
3.2. Comparison Renal Cortical Stiffness, eGFR, Proteinuria and Resistive Index in Patients between IF/TA Grade 0–1 and Grade 2–3
3.3. Correlations between Renal Cortical Stiffness and Baseline Parameters
3.4. Correlations between Renal Cortical Stiffness and Histopathological Findings
3.5. Analysis of Factors Associated with Moderate-to-Severe IF/TA
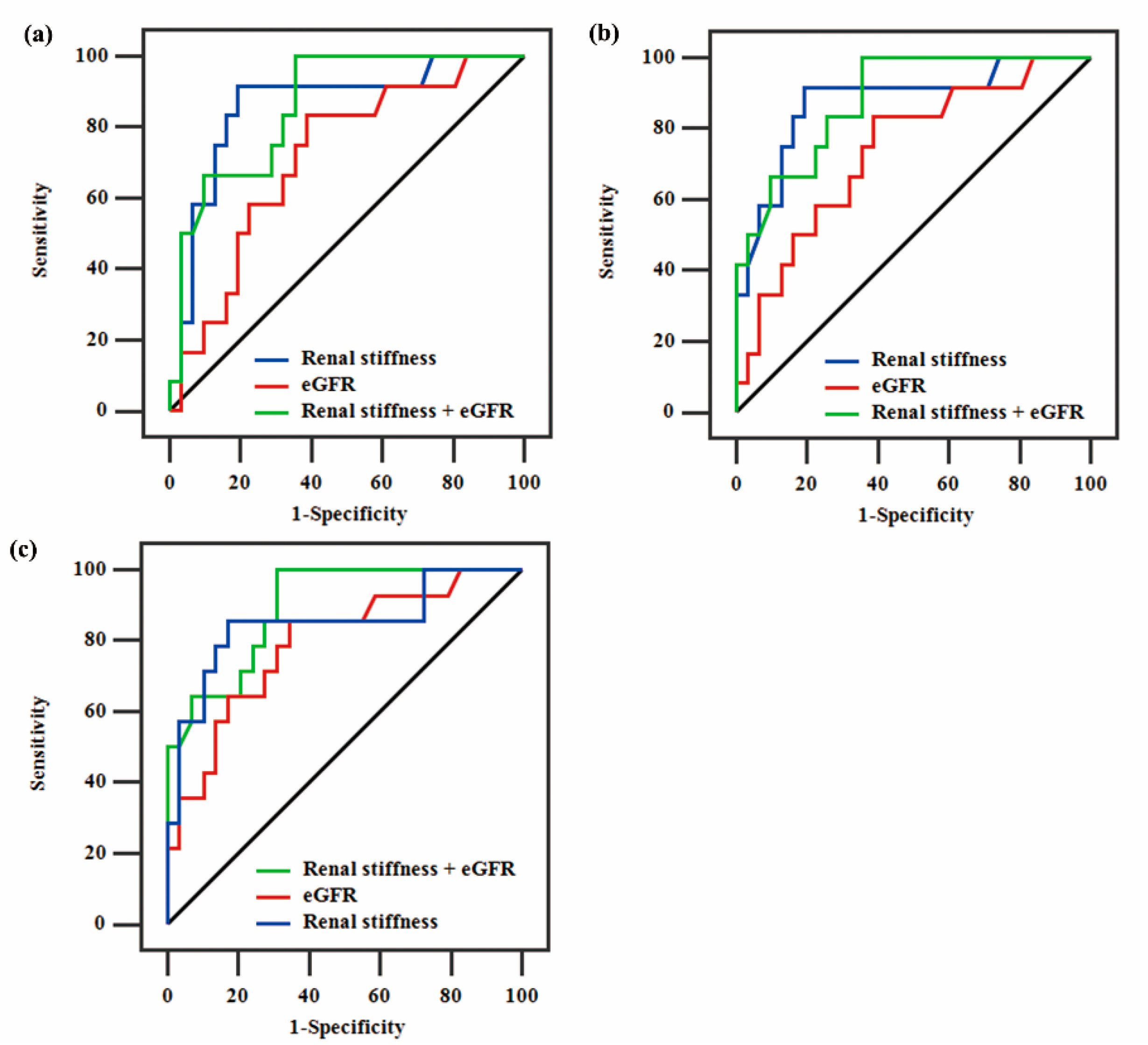
3.6. Assessment Diagnosis of Histopathological Banff Scores
4. Discussion
5. Conclusions
Author Contributions
Funding
Institutional Review Board Statement
Informed Consent Statement
Acknowledgments
Conflicts of Interest
References
- Kalantar-Zadeh, K.; Wightman, A.; Liao, S. Ensuring Choice for People with Kidney Failure-Dialysis, Supportive Care, and Hope. N. Engl. J. Med. 2020, 383, 99–101. [Google Scholar] [CrossRef]
- Tong, A.; Sautenet, B.; Poggio, E.D.; Lentine, K.L.; Oberbauer, R.; Mannon, R.; Murphy, B.; Padilla, B.; Chow, K.M.; Marson, L.; et al. Establishing a Core Outcome Measure for Graft Health: A Standardized Outcomes in Nephrology-Kidney Transplantation (SONG-Tx) Consensus Workshop Report. Transplantation 2018, 102, 1358–1366. [Google Scholar] [CrossRef] [PubMed] [Green Version]
- Haas, M. Chronic allograft nephropathy or interstitial fibrosis and tubular atrophy: What is in a name? Curr. Opin. Nephrol. Hypertens. 2014, 23, 245–250. [Google Scholar] [CrossRef] [PubMed]
- Stegall, M.D.; Cornell, L.D.; Park, W.D.; Smith, B.H.; Cosio, F.G. Renal Allograft Histology at 10 Years After Transplantation in the Tacrolimus Era: Evidence of Pervasive Chronic Injury. Am. J. Transplant. 2018, 18, 180–188. [Google Scholar] [CrossRef] [Green Version]
- Vanhove, T.; Goldschmeding, R.; Kuypers, D. Kidney Fibrosis: Origins and Interventions. Transplantation 2017, 101, 713–726. [Google Scholar] [CrossRef] [PubMed]
- Granata, S.; Benedetti, C.; Gambaro, G.; Zaza, G. Kidney allograft fibrosis: What we learned from latest translational research studies. J. Nephrol. 2020, 33, 1201–1211. [Google Scholar] [CrossRef]
- Stegall, M.D.; Park, W.D.; Larson, T.S.; Gloor, J.M.; Cornell, L.D.; Sethi, S.; Dean, P.G.; Prieto, M.; Amer, H.; Textor, S.; et al. The histology of solitary renal allografts at 1 and 5 years after transplantation. Am. J. Transplant. 2011, 11, 698–707. [Google Scholar] [CrossRef] [PubMed]
- Tsai, S.F.; Chen, C.H.; Shu, K.H.; Cheng, C.H.; Yu, T.M.; Chuang, Y.W.; Huang, S.T.; Tsai, J.L.; Wu, M.J. Current Safety of Renal Allograft Biopsy With Indication in Adult Recipients: An Observational Study. Medicine 2016, 95, e2816. [Google Scholar] [CrossRef]
- Torres-Rodriguez, I.B.; Castella-Fierro, E.; Serres-Creixans, X.; Salcedo-Allende, M.; Azancot-Rivero, M.A.; Perello-Carrascosa, M.; Sellares-Roig, J.; Cantarell-Aixandri, C.; Moreso-Mateos, F.; Seron-Micas, D. Safety and efficacy of outpatient biopsy in renal transplantation. Nefrologia 2014, 34, 749–755. [Google Scholar]
- Yang, C.; Yunjie, J.; Shengdi, W.; Long, L.; Mushuang, H.; Ming, X.; Ruming, R.; Tongyu, Z.; Wanyuan, H. Prediction of renal allograft acute rejection suing a novel non-invasive model based on acoustic radiation force impulse. Ultrasound Med. Biol. 2016, 42, 2167–2179. [Google Scholar] [CrossRef]
- Preuss, S.; Rother, C.; Renders, L.; Wagenpfeil, S.; Buttner-Herold, M.; Slotta-Huspenina, J.; Holtzmann, C.; Kuechle, C.; Heemann, U.; Stock, K.F. Sonography of the renal allograft: Correlation between Doppler sonographic resistance index (RI) and histopathology. Clin. Hemorheol. Microcirc. 2018, 70, 413–422. [Google Scholar] [CrossRef] [PubMed]
- He, W.Y.; Jin, Y.J.; Wang, W.P.; Li, C.L.; Ji, Z.B.; Yang, C. Tissue elasticity quantification by acoustic radiation force impulse for the assessment of renal allograft function. Ultrasound Med. Biol. 2014, 40, 322–329. [Google Scholar] [CrossRef] [PubMed]
- Cenk Gokalpa, M.G.O. Acoustic Radiation Force Impulse Elastography May Predict Acute Rejection in Kidney Transplantation. Transplant. Proc. 2020, 52, 3097–3102. [Google Scholar] [CrossRef] [PubMed]
- Gao, Y.; Zheng, J.; Liang, P.; Tong, M.; Wang, J.; Wu, C.; He, X.; Liu, C.; Zhang, S.; Huang, L.; et al. Liver Fibrosis with Two-dimensional US Shear-Wave Elastography in Participants with Chronic Hepatitis B: A Prospective Multicenter Study. Radiology 2018, 289, 407–415. [Google Scholar] [CrossRef] [PubMed]
- Zhang, H.; Peng, W.; Qin, C.; Miao, Y.; Zhou, F.; Ma, Y.; Gao, Y. Lower Leg Muscle Stiffness on Two-Dimensional Shear Wave Elastography in Subjects With Medial Tibial Stress Syndrome. J. Ultrasound Med. 2021. [Google Scholar] [CrossRef]
- Dietrich, C.F.; Bamber, J.; Berzigotti, A.; Bota, S.; Cantisani, V.; Castera, L.; Cosgrove, D.; Ferraioli, G.; Friedrich-Rust, M.; Gilja, O.H.; et al. EFSUMB Guidelines and Recommendations on the Clinical Use of Liver Ultrasound Elastography, Update 2017 (Long Version). Ultraschall Med. 2017, 38, e16–e47. [Google Scholar] [PubMed] [Green Version]
- Ferraioli, G.; Filice, C.; Castera, L.; Choi, B.I.; Sporea, I.; Wilson, S.R.; Cosgrove, D.; Dietrich, C.F.; Amy, D.; Bamber, J.C.; et al. WFUMB guidelines and recommendations for clinical use of ultrasound elastography: Part 3: Liver. Ultrasound Med. Biol. 2015, 41, 1161–1179. [Google Scholar] [CrossRef] [Green Version]
- Sidhu, P.S.; Cantisani, V.; Dietrich, C.F.; Gilja, O.H.; Saftoiu, A.; Bartels, E.; Bertolotto, M.; Calliada, F.; Clevert, D.A.; Cosgrove, D.; et al. The EFSUMB Guidelines and Recommendations for the Clinical Practice of Contrast-Enhanced Ultrasound (CEUS) in Non-Hepatic Applications: Update 2017 (Long Version). Ultraschall Med. 2018, 39, e2–e44. [Google Scholar]
- Juhan Lee, M.; Young Taik, O. Acoustic Radiation Force Impulse Measurement in Renal Transplantation. Medicine 2015, 94, e1590. [Google Scholar]
- Maggie KM Ma, H.K.L. Non-invasive assessment of kidney allograft fibrosis with shear wave elastography: A radiological-pathological correlation analysis. Int. J. Urol. 2018, 25, 450–455. [Google Scholar]
- Yoo, M.G. Usefulness of Multiparametric Ultrasound for Evaluating Structural Abnormality of Transplanted Kidney: Can We Predict Histologic Abnormality on Renal Biopsy in Advance? Genitour. Ina. Imaging 2017, 209, W1–W6. [Google Scholar] [CrossRef] [PubMed]
- Yang, J.R.; La, Q.; Ding, X.M.; Song, Y.; Wang, Y.Y. Using real-time sound touch elastography to monitor changes in transplant kidney elasticity. Clin. Radiol. 2020, 75, e1–e963. [Google Scholar] [CrossRef] [PubMed]
- Gungor, O.; Guzel, F.B.; Sarica, M.A.; Gungor, G.; Ganidagli, B.; Yurttutan, N.; Gorgel, A.F.; Altunoren, O. Ultrasound Elastography Evaluations in Patient Populations With Various Kidney Diseases. Ultrasound Q. 2019, 35, 169–172. [Google Scholar] [CrossRef] [PubMed]
- Kim, B.J.; Kim, C.K.; Park, J.J. Non-invasive evaluation of stable renal allograft function using point shear-wave elastography. Br. J. Radiol. 2017, 91, 20170372. [Google Scholar] [CrossRef]
- Solez, K.; Colvin, R.B.; Racusen, L.C.; Haas, M.; Sis, B.; Mengel, M.; Halloran, P.F.; Baldwin, W.; Banfi, G.; Collins, A.B.; et al. Banff 07 classification of renal allograft pathology: Updates and future directions. Am. J. Transplant. 2008, 8, 753–760. [Google Scholar] [CrossRef]
- Chiocchini, A.L.C.; Sportoletti, C.; Comai, G.; Brocchi, S.; Capelli, I.; Baraldi, O.; Bruno, P.; Conti, F.; Serra, C.; Meola, M.; et al. Correlation Between Renal Cortical Stiffness and Histological Determinants by Point Shear-Wave Elastography in Patients With Kidney Transplantation. Prog. Transplant. 2017, 27, 346–353. [Google Scholar] [CrossRef]
- Stock, K.; Klein, B.; Cong, M.V.; Regenbogen, C.; Kemmner, S.; Büttner, M.; Wagenpfeil, S.; Matevossian, E.; Renders, L.; Heemann, U.; et al. ARFI-based tissue elasticity quantification and kidney graft dysfunction: First clinical experiences. Clin. Hemorheol. Microcirc. 2011, 49, 527–535. [Google Scholar] [CrossRef]
- Nicolas Grenier, S.P. Quantitative elastography of renal transplants using supersonic shear imaging: A pilot study. Eur. Radiol. 2012, 22, 2138–2146. [Google Scholar] [CrossRef]
- Järv, L. Ultrasound elastography correlations between anthropometrical parameters in kidney transplant recipients. J. Investig. Med. 2019, 67, 1137–1141. [Google Scholar] [CrossRef]
- Ghonge, N.P.; Mohan, M.; Kashyap, V.; Jasuja, S. Renal Allograft Dysfunction: Evaluation with Shear-wave Sonoelastography1. Radiology 2018, 288, 146–152. [Google Scholar] [CrossRef]
- Schmidt, R.A.S. Noninvasive evaluation of renal allograft fibrosis by transient elastography—A pilot study. Transpl. Int. 2010, 23, 871–877. [Google Scholar]
- Zhang, Q.; Yu, Z.; Xu, Y.; Zeng, S.; Zhang, Z.; Xue, W.; Wang, W.; Zhang, X.; Hu, X. Use of Contrast-Enhanced Ultrasonography to Evaluate Chronic Allograft Nephropathy in Rats and Correlations between Time-Intensity Curve Parameters and Allograft Fibrosis. Ultrasound Med. Biol. 2016, 42, 1574–1583. [Google Scholar] [CrossRef] [PubMed]





| Characteristics | Value |
|---|---|
| Donor | |
| Donor type 1 | |
| Deceased donor | 36 (83.7%) |
| Living donor | 7 (16.3%) |
| Donor age, years 2 | 52 (48–59) |
| Recipient | |
| Age, years | 43 (38–56) |
| Male/Female | 38/5 (88.4%/11.6%) |
| BMI | 24.2 (22.6–26.9) |
| Underlying disease | |
| No | 9 (20.9%) |
| Hypertension | 21 (48.8%) |
| Diabetes | 5 (11.6%) |
| Hypertension and diabetes | 8 (18.6%) |
| Time since transplantation (months) | 48 (28–64) |
| Immunosuppressor | |
| Tacrolimus | 38 (88.4%) |
| Cyclosporine | 5 (11.6%) |
| Steroids | 37 (86.1%) |
| Biomarkers | |
| Urea (mmol/L) | 14.61 (10.89–20.18) |
| Serum creatinine (mg/dL) | 2.35 (1.71–3.41) |
| Proteinuria (g/24 h) | 1.30 (0.61–2.51) |
| eGFR (mL/min/1.73 m2) | 31.2(19.6–47.8) |
| WBC | 6.62 (4.95–8.54) |
| RBC | 3.71 (3.24–4.41) |
| PLT | 201.00 (158.75–231.00) |
| Ultrasound examinations | |
| Renal length (cm) | 11.39 (10.72–12.10) |
| Renal width (cm) | 5.30 (4.76–5.80) |
| RI | 0.69 (0.64–0.73) |
| Skin-allograft distance (cm) | 2.12 (1.57–2.58) |
| Grade of IF/TA | |
| 0 | 12 (27.9%) |
| 1 | 17 (39.5%) |
| 2 | 10 (23.3%) |
| 3 | 4 (9.3%) |
| Renal stiffness (kPa) | 23.1 (20.4–25.1) |
| Grades | Definition |
|---|---|
| Grade 0 | No interstitial fibrosis |
| Grade 1 | Mild interstitial fibrosis, <25%of the cortical area |
| Grade 2 | Moderate interstitial fibrosis, 26–50% of the cortical area |
| Grade 3 | Severe interstitial fibrosis, >50% of cortical area |
| Variables | r | p Value |
|---|---|---|
| Age | −0.170 | 0.276 |
| Sex | −0.047 | 0.766 |
| BMI | −0.098 | 0.531 |
| Time since transplantation | −0.104 | 0.505 |
| Urea (mmol/L) | 0.394 | 0.009 |
| Serum creatinine (mg/dL) | 0.372 | 0.014 |
| Proteinuria (g/24 h) | 0.526 | <0.001 |
| eGFR (mL/min/1.73 m2) | −0.375 | 0.013 |
| RI | 0.198 | 0.203 |
| Skin–allograft distance (cm) | −0.005 | 0.973 |
| r | p Value | |
|---|---|---|
| Banff score | ||
| C4d | 0.080 | 0.612 |
| ptc | 0.055 | 0.726 |
| g | −0.151 | 0.333 |
| i | 0.494 | 0.001 |
| t | 0.462 | 0.002 |
| ti | 0.535 | <0.001 |
| v | 0.168 | 0.282 |
| ah | −0.068 | 0.663 |
| aah | 0.018 | 0.911 |
| ci | 0.563 | <0.001 |
| ct | 0.649 | <0.001 |
| cv | 0.207 | 0.184 |
| mm | 0.032 | 0.839 |
| cg | −0.033 | 0.834 |
| IF/TA | 0.662 | <0.001 |
| Parameters | Univariate | Multivariate | ||
|---|---|---|---|---|
| OR (95%CI) | p Value | OR (95%CI) | p Value | |
| Sex | 0.69 (0.10–4.70) | 0.707 | ||
| BMI | 0.85 (0.69–1.05) | 0.149 | ||
| eGFR | 0.92 (0.87–0.98) | 0.007 | 0.93 (0.86–1.00) | 0.043 |
| RI | 0.05(0.00–544.13) | 0.522 | ||
| Proteinuria (g/24 h) | 1.46 (1.01–2.10) | 0.040 | 1.21 (0.74–1.99) | 0.455 |
| Renal stiffness | 1.69 (1.18–2.42) | 0.004 | 1.70 (1.14–2.53) | 0.010 |
| AUC (95%CI) | Cut-Off | Sensitivity (%) | Specificity (%) | PPV (%) | NPV (%) | |
|---|---|---|---|---|---|---|
| Ci | ||||||
| p-SWE | 0.86 (0.72–0.95) | 23.7 | 91.7 | 80.6 | 64.7 | 96.2 |
| eGFR | 0.72 (0.56–0.84) | 31.2 | 83.3 | 61.3 | 45.5 | 90.5 |
| p-SWE plus eGFR | 0.86 (0.72–0.95) | −1.63 | 100.0 | 64.5 | 52.2 | 100.0 |
| Ct | ||||||
| p-SWE | 0.87 (0.74–0.96) | 23.7 | 91.7 | 80.7 | 64.7 | 96.2 |
| eGFR | 0.74 (0.58–0.86) | 31.2 | 83.3 | 63.3 | 45.5 | 90.5 |
| p-SWE plus eGFR | 0.88 (0.75–0.96) | −1.63 | 100.0 | 64.5 | 52.2 | 100.0 |
| IF/TA | ||||||
| p-SWE | 0.85 (0.71–0.94) | 23.7 | 85.7 | 82.7 | 70.6 | 92.3 |
| eGFR | 0.79 (0.64–0.90) | 31.2 | 85.7 | 65.5 | 54.5 | 90.5 |
| p-SWE plus eGFR | 0.89 (0.76–0.97) | −1.63 | 100.0 | 69.0 | 60.9 | 100.0 |
Publisher’s Note: MDPI stays neutral with regard to jurisdictional claims in published maps and institutional affiliations. |
© 2021 by the authors. Licensee MDPI, Basel, Switzerland. This article is an open access article distributed under the terms and conditions of the Creative Commons Attribution (CC BY) license (https://creativecommons.org/licenses/by/4.0/).
Share and Cite
Qin, C.; Jin, H.; Zhang, H.; Zhang, Y.; Guan, Z.; Gao, Y. Noninvasive Assessment of Interstitial Fibrosis and Tubular Atrophy in Renal Transplant by Combining Point-Shear Wave Elastography and Estimated Glomerular Filtration Rate. Diagnostics 2022, 12, 18. https://doi.org/10.3390/diagnostics12010018
Qin C, Jin H, Zhang H, Zhang Y, Guan Z, Gao Y. Noninvasive Assessment of Interstitial Fibrosis and Tubular Atrophy in Renal Transplant by Combining Point-Shear Wave Elastography and Estimated Glomerular Filtration Rate. Diagnostics. 2022; 12(1):18. https://doi.org/10.3390/diagnostics12010018
Chicago/Turabian StyleQin, Chi, Hailong Jin, Haixiang Zhang, Yun Zhang, Zhaojie Guan, and Yongyan Gao. 2022. "Noninvasive Assessment of Interstitial Fibrosis and Tubular Atrophy in Renal Transplant by Combining Point-Shear Wave Elastography and Estimated Glomerular Filtration Rate" Diagnostics 12, no. 1: 18. https://doi.org/10.3390/diagnostics12010018
APA StyleQin, C., Jin, H., Zhang, H., Zhang, Y., Guan, Z., & Gao, Y. (2022). Noninvasive Assessment of Interstitial Fibrosis and Tubular Atrophy in Renal Transplant by Combining Point-Shear Wave Elastography and Estimated Glomerular Filtration Rate. Diagnostics, 12(1), 18. https://doi.org/10.3390/diagnostics12010018

