Next Article in Journal
Applications of Advanced Ultrasound Technology in Obstetrics
Previous Article in Journal
Prognostic Value of CTA-Derived Left Ventricular Mass in Neonates with Congenital Heart Disease
 
 
Font Type:
Arial Georgia Verdana
Font Size:
Aa Aa Aa
Line Spacing:
Column Width:
Background:
Article

The Dependence of Renal 68Ga[Ga]-DOTATOC Uptake on Kidney Function and Its Relevance for Peptide Receptor Radionuclide Therapy with 177Lu[Lu]-DOTATOC

Clinic of Nuclear Medicine, Jena University Hospital, Am Klinikum 1, 07747 Jena, Germany
*
Author to whom correspondence should be addressed.
Diagnostics 2021, 11(7), 1216; https://doi.org/10.3390/diagnostics11071216
Submission received: 16 May 2021 / Revised: 28 June 2021 / Accepted: 2 July 2021 / Published: 6 July 2021
(This article belongs to the Section Medical Imaging and Theranostics)

Abstract

Background: In addition to its SSTR-specific binding in tumors and healthy tissues, DOTATOC analogues accumulate in kidney parenchyma. Renal tracer uptake might be a surrogate of kidney function or dysfunction. This study aimed to evaluate if kidney function can be estimated from 68Ga[Ga]-DOTATOC uptake in PET/CT and its impact on the nephrotoxicity of 177Lu[Lu]-DOTATOC PRRT. Methods: Two cohorts of patients (A: 128 diagnostic patients; B: 32 PRRT patients) were evaluated retrospectively. SUV values of the kidneys, physiologically SSTR-expressing organs and in background compartments were assessed. Kidney function was calculated as eGFR by CKD-EPI creatinine equation. Pearson’s correlation coefficients and treatment-induced changes of uptake and kidney function were assessed and compared. Results: Kidney function and renal DOTATOC uptake showed a significant inverse correlation (R2 = 0.037; p = 0.029). Evaluated models of PET/CT measurements were not able to predict kidney function sufficiently. The uptake of other organs did not depend on eGFR. While the renal uptake increased after PRRT (p < 0.001), the kidney function did not change significantly (p = 0.382). Neither low pre-therapeutic eGFR nor high pre-therapeutic kidney uptake were risk factors of PRRT-induced deterioration in kidney function. Conclusion: The relevance of kidney function for renal 68Ga[Ga]-DOTATOC uptake is limited. The nephrotoxicity of 177Lu[Lu]-DOTATOC PRRT might be low and cannot be reliably predicted by pre-therapeutic measurements.

1. Introduction

Neuroendocrine tumors (NET), a rare group of tumors originating from the neural and endocrine cells, are mostly located in the gastrointestinal system or the lung [1]. NET typically overexpress somatostatin receptors (SSTR). Radiolabeled somatostatin analogues are established radiopharmaceuticals in diagnostics and the treatment of NET and especially target the SSTR subtype 2 [2]. During the last 20 years, 68Ga-DOTA conjugates became widely available and superseded 111In-octreotides in tumor detection rate and renal uptake [3]. Nowadays, they are widely used for positron emission tomography/computed tomography (PET/CT) diagnostics in different issues such as tumor staging, or pre- and post-therapeutic evaluation. In addition to classical NET of the pancreas or bowel, PET/CT with 68Ga-DOTA conjugates is also able to identify manifestations of rare and extraordinary diseases [4]. In a theranostic approach, beta-emitter-labeled DOTA conjugates can be used for peptide receptor radionuclide therapy (PRRT) for metastasized NET, as recommended by guidelines in different clinical scenarios among other treatment options [5,6]. PRRT aims for a targeted irradiation of SSTR-positive tumor lesions. Nephrotoxicity is a well-known consequence of PRRT and dose-limiting in performing the treatment [7,8,9]. Despite the different affinity with the SSTR subtypes, the DOTA conjugates DOTATOC, DOTATE and DOTANOC show similar results in diagnostic sensitivity and specificity and are equally recommended [10,11].
Beyond their selective binding to NET, 68Ga-DOTA conjugates show an accumulation in organs with physiologic SSTR expression, such as the pituitary gland, thyroid, spleen and adrenal glands [12]. Additionally, a more unspecific distribution and excretion leads to a partially or fully SSTR-independent tracer uptake in different tissues, compartments, or organs [3]. The different DOTA conjugates also differ in their biodistribution, which may influence PRRT and its side effects [13]. 68Ga-DOTA conjugates are almost exclusively eliminated renally [14]. In addition to the visible urinary excretion in PET/CT diagnostics, the kidney parenchyma shows one of the highest tracer uptakes of all organs. The uptake is mainly located within the inner zone of the renal cortex. Like other small peptides, 68Ga-DOTA conjugates undergo glomerular filtration and subsequent reabsorption in the proximal tubules [15]. The reabsorption in tubular cells is primarily mediated by the megalin/cubulin complex, which are endocytic receptors internalizing peptides and thereby modulating the urinary protein excretion [9,16]. Moreover, certain parts of the kidney parenchyma, such as glomeruli, tubule cells and the vasa recta, express SSTR 2 as well [17].
Renal tracer uptake can be a goal or an undesirable side effect of nuclear medicine diagnostics. On the one hand, particular radiopharmaceuticals, e.g., 99mTc[Tc]-DMSA or 99mTc[Tc]-MAG3, enable assessment of the kidney function. On the other hand, renal uptake of radiopharmaceuticals such as 90Y- or 177Lu-DOTA conjugates may cause irradiation induced renal damage as a potential risk of PRRT [8].
Kaewput and Vinjamuri proposed the hypothesis that rising renal 68Ga[Ga]-DOTANOC uptake is a surrogate of kidney dysfunction in patients receiving 90Y[Y]-DOTATATE, potentially restricting the application of PRRT [18]. However, the correlation of kidney function and renal 68Ga[Ga]-DOTATOC uptake and its relevance for 177Lu[Lu]-DOTATOC PRRT is previously undisclosed. Therefore, the aim of this study was to investigate the following questions dedicatedly for DOTATOC radiopharmaceuticals: Does a correlation between renal tracer uptake and kidney function exist? Can the kidney function be determined solely from the PET parameters? Does PRRT influence the kidney function, or solely the renal tracer uptake? Is it possible to predict the potential loss of function from pre-therapeutic tracer uptake?

2. Materials and Methods

A retrospective analysis of clinical data collected in our institution from treatment of patients receiving 68Ga[Ga]-DOTATOC PET/CT is presented. All diagnostics and therapies were clinically indicated without study-specific requirements. To assess the above-mentioned questions, two different collectives of patients were included in the study.
To investigate the correlation between kidney function and tracer uptake, we assessed all patients receiving a 68Ga[Ga]-DOTATOC PET/CT in 2018 (cohort A). A database query resulted in 230 PET/CT examinations. Cases were excluded from the analysis due to insufficient laboratory determination of kidney function (results missing or older than 30 days before PET/CT examination; n = 30), PET/CT-protocols only covering parts of the body (n = 3), patients undergoing PRRT prior to PET/CT (n = 47), and same patients receiving a further PET/CT examination in the period of investigation (n = 22).
To examine the influence of PRRT, a longer period of time for data acquisition was assessed (cohort B). A database query of 2013 to 2018 resulted in 60 patients receiving between 1 and 7 cycles of PRRT using 177Lu[Lu]-DOTATOC. To ensure the comparability of the results, 68Ga[Ga]-DOTATOC PET/CT was assessed before and after 3 cycles of PRRT, which was the standard treatment course within the investigated time period. Patients were excluded if they received less than 3 cycles of PRRT (n = 19), did not receive PET/CT after third cycle (n = 5), PET/CT only covering parts of the body (n = 3), and if PRRT was performed intraarterially (n = 1). No time limit was set for the interval between PET/CT and eGFR assessment, due to the low number of patients and the content of the evaluation. PRRT cycles above 3 and respective PET/CT examinations were not included. All included data were acquired before potential further cycles.
The PET/CT scans were performed according to guidelines with an administered activity of approximately 185 MBq 68Ga[Ga]-DOTATOC, uptake time was at least 45 min, scanning region from vertex to mid-thigh, iterative reconstruction technique, and scanning time of 2 min per bed position. All examinations were performed with a Biograph mCT40 (Siemens, Germany), a low-dose CT was used for attenuation correction.
The PRRT was performed after interdisciplinary indication, a standard activity of 7.4 GBq 177Lu[Lu]-DOTATOC was administered per cycle at our inpatient clinic. Doses were decreased if clinically necessary (e.g., previously known renal impairment). All patients received a standardized protocol of nephroprotective amino acid infusion containing arginine and lysine over 4 h, given parallel to radiotracer application. All patients underwent PET/CT before first cycle for therapy planning and 3 months after the third cycle for response evaluation. PRRT cycles were performed with an interval of 3 months. Interim PET/CT investigations were not taken into account in this study. All patients underwent kidney function determinations by 99mTc[Tc]-MAG3 scintigraphy and 99mTc[Tc]-DTPA scintigraphy prior to therapy.
For estimation of kidney function the glomerular filtration rate (eGFR) was calculated using the CKD-EPI creatinine equation, since this formula outperformed the former equations MDRD and Cockcroft–Gault [19]. For calculating eGFR, serum creatinine level, sex and skin color were considered according to the formula. Additionally, pre-therapeutic tubular excretion rate of 99mTc[Tc]-MAG3 (MAG3-TER) and glomerular filtration rate of 99mTc[Tc]-DTPA (DTPA-GFR) were used for comparison in cohort B.
To avoid interobserver variability, only one examiner experienced in PET/CT diagnostics measured renal tracer uptake. Dedicated PET/CT evaluation was conducted without knowledge about kidney function. Standardized uptake values (SUV) were determined at the renal parenchyma, identified with anatomical CT information. Per kidney, the SUVmax was assessed, as well as the SUVmean of three defined volumes of interest (VOI) with a diameter of 1 cm at the upper and lower kidney pole, and the lateral aspect of the kidney (Figure 1). For comparison with the global kidney function, the mean value was then calculated from the SUVmax and the three SUVmean for both kidneys, respectively. Additionally, tracer concentraction in the urine was measured in both renal pelvis and the urinary bladder (SUVmax). For comparison, extrarenal organs were quantified. SUVmax of typical DOTATOC-positive organs, i.e., pituitary gland, thyroid, spleen and adrenal glands were acquired. Additionally, the SUVmean of surrogates of background compartments were measured in the blood (ascending aorta), muscle (gluteal musculature), liver (parenchyma) and bone (4th lumbar vertebral body). In all measurements, care was taken to ensure that no tumor manifestations were included in the VOI. The individual tumor burden was categorized visually as none, low (less than 5 tumor lesions) or high (5 or more tumor lesions).
Pearson’s correlation coefficient (PCC) was used for statistical analysis of covariance of two variables. The comparison of pre- and post-therapeutic variables was performed by paired t-test. The influence of tumor burden was tested by ANOVA with Tukey’s range test. The level of significance was set at 0.05.

3. Results

128 patients were included in the evaluation for diagnostic purposes (cohort A). Diagnoses and indications for PET/CT are shown in Table 1. In the evaluation of those patients, we focused on the relationship of renal tracer uptake and kidney function. Mean eGFR was 78.9 ± 23.4 mL/min/1.73 m2 (range 9.8–126.2 mL/min/1.73 m2), mean SUVmean of kidneys was 11.7 ± 2.9 (range 2.6–21.5) and mean SUVmax of kidneys was 18.4 ± 5.0 (range 4.9–31.5). Time interval between laboratory estimation of kidney function and PET/CT was 4.3 ± 6.5 days (range 0–29 days). Mean administered activity was 183.7 ± 6.6 MBq 68Ga[Ga]-DOTATOC (range 166–223 MBq), uptake time 61.1 ± 14.7 min (range 42–121 min).
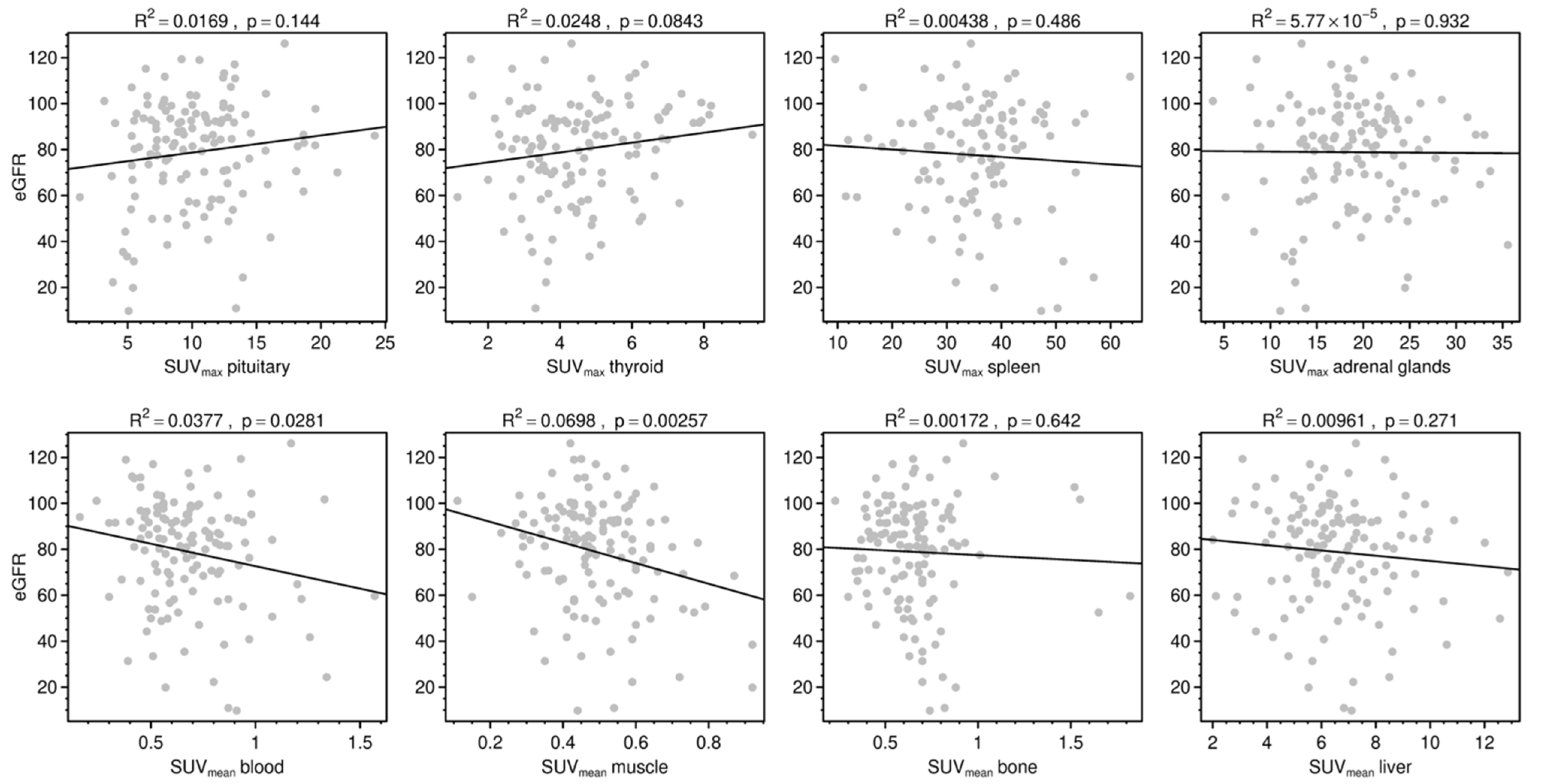
No correlation between SUVmax of the kidneys and eGFR was found (R2 = 0.005; p = 0.424). SUVmean showed a significant but weak, negative correlation (R2 = 0.037; p = 0.029) (Figure 2). By contrast, the uptake of all typically TOC-positive organs showed no correlation to eGFR (Figure 3). Regarding the background tracer distribution, neither SUVmean of the kidney nor eGFR corresponded with bone or liver uptake but showed a significant correlation to blood and muscle uptake (Figure 3). The quotient of uptake in the renal parenchyma and the renal pelvis revealed a moderate correlation with high significance (R2 = 0.213; p = < 0.001), whereas the quotient of renal parenchyma uptake to urinary uptake in the bladder remained at a very low level of correlation (R2 = 0.046; p = 0.015). A number of outliers with very high SUVmax characterized the uptake measurements of the bladder. Target-background corrections with musculature and with blood (quotient between SUVmean values) had no significant correlations to eGFR (p = 0.479; 0.553, respectively). SUVmean of the kidneys was significantly higher within the group with no tumor than in the group with high tumor burden (p = 0.029); comparisons of both of those groups with the low tumor burden group were not significant (p = 0.945; 0.095, respectively).
Regarding patients who underwent PRRT (cohort B), 32 patients were included (Table 2). This part of the evaluation focused on therapy-dependent changes of renal tracer uptake and eGFR. The mean pre-therapeutic eGFR was 79.8 ± 23.2 mL/min/1.73 m2 (range 5.7–111.5 mL/min/1.73 m2) and the post-therapeutic eGFR 81.4 ± 22.7 mL/min/1.73 m2 (range 7.1–115.8 mL/min/1.73 m2). Pre-therapeutic SUVmean of the kidneys was 10.3 ± 2.7 (range 6.1–17.8) and post-therapeutic SUVmean was 12.3 ± 3.9 (range 3.8–23.1), showing an increase of 19%. Mean cumulative administered activity for PRRT was 20.6 ± 3.1 GBq (range 4.1–22.8 GBq). Six patients received less than 20 GBq cumulative dose due to renal impairment, only one of them less than 15 GBq. The mean interval between the third cycle of PRRT and the post-therapeutic eGFR measurement was at 99.1 ± 36.2 days (range 42–204 days), and between the third cycle of PRRT and post-therapeutic PET/CT was 105.6 ± 36.3 days (range 46–211 days).
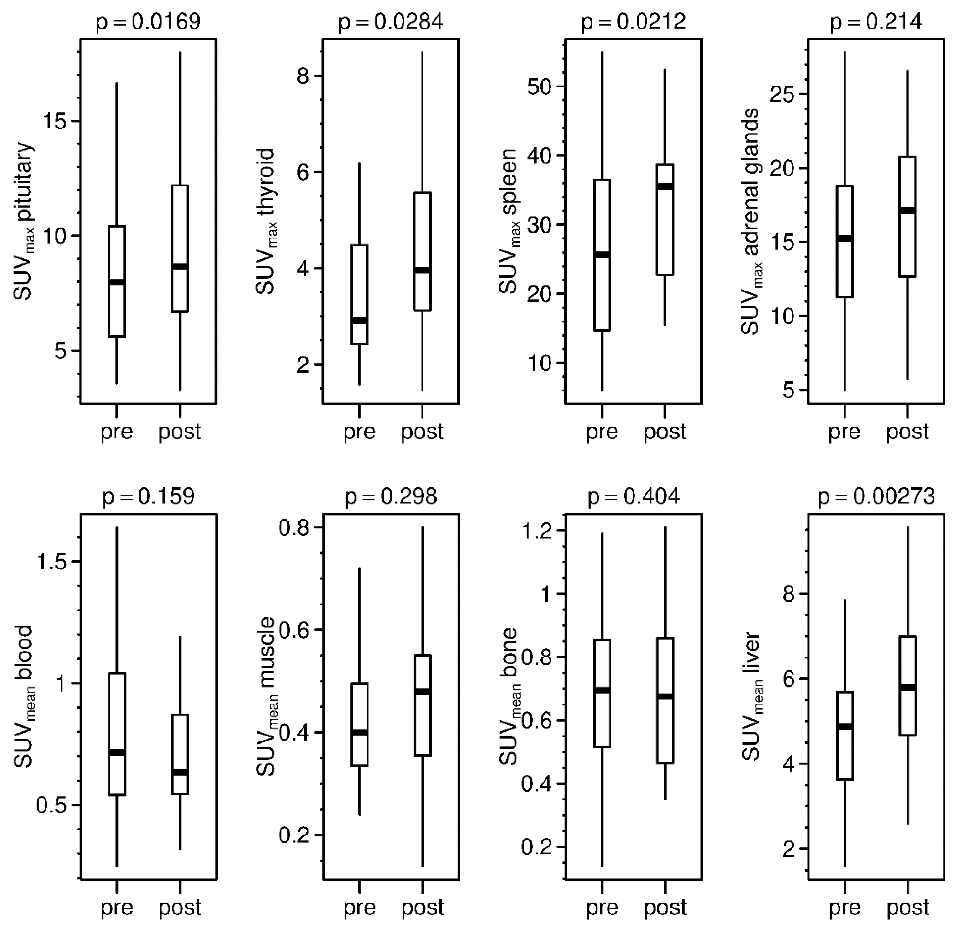
Data revealed a strong intermodal correlation between pre-therapeutic estimations of kidney function, i.e., MAG3-TER compared to eGFR (R2 = 0.731; p = < 0.001) and DTPA-GFR to eGFR (R2 = 0.621; p = < 0.001). The SUVmean of kidneys in the pre-therapeutic setting correlated neither with eGFR, nor with MAG3-TER or DTPA-GFR (p = 0.356; 0.645; 0.05, respectively). Comparison of the pre- and post-therapeutic SUVmean of the kidneys showed a significant increase in uptake (p ≤ 0.001) (Figure 4). However, there was no significant change in eGFR (p = 0.382) and no significant correlation between change in SUVmean of the kidneys and change in the eGFR (R2 ≤ 0.001; p = 0.915). DOTATOC-positive organs showed a significant increase in SUVmax, except for adrenal glands (p = 0.214, tending to increase as well) (Figure 5). Background compartments showed, in contrast, no significant change due to PRRT, except for liver (p = 0.002), which increased in post-therapeutic PET/CT (Figure 5). Overall, there were inconsistent dynamics of SUVs and eGFR with individually increasing and decreasing values.
The PRRT-associated change of eGFR did not correlate significantly with pre-therapeutic kidney uptake, with pre-therapeutic renal function (eGFR, DTPA-GFR, MAG3-TER) or with the cumulated administered dose over all three cycles of PRRT (Figure 6).
Even highly deficient kidneys, such as in one patient with high-grade renal insufficiency requiring dialysis and a second patient with one non-functioning kidney, showed a 68Ga[Ga]-DOTATOC uptake only slightly lower than in normal functioning kidneys, with average pre-therapeutic SUVmean of 7.2 and post-therapeutic SUVmean of 7.8, indicating a treatment-dependent increase of 8%. There was no correlation between the partial function of one kidney in MAG3 scintigraphy and partial SUVmean of the same kidney in the pre-therapeutic setting (p = 0.605).

4. Discussion

A significant negative, albeit weak correlation between kidney function and renal tracer uptake exists: the lower the eGFR, the higher the renal uptake of 68Ga[Ga]-DOTATOC. Therefore, kidney function appears not to be a major influencing factor in DOTATOC uptake in kidney parenchyma and other parameters have to be co-factors. Correlation would have been slightly stronger if only laboratory eGFR assays within 3 days prior to PET/CT had been considered. Even within a time interval of 30 days kidney function could vary significantly. In addition, a difference in hydrogenation status can have a relevant and even more rapid effect. The methodical inaccuracy of creatinine-based eGFR may reduce the significance of correlation in general. The uptake time between the administration of 68Ga[Ga]-DOTATOC and the scan is a significant confounder to the correlation in our study. Nevertheless, the correlation coefficient would not substantially increase by this secondary exclusion or correction (R2 = 0.067; 0.043, respectively). Additionally, the tumor burden had a weak but significant influence on renal uptake in our patients, possibly indicating a steal effect by the high tracer avidity of the NET tissue. The existence of a so-called tumor sink effect has been discussed, controversially, in this setting [20,21]. A former splenectomy, also found in a few patients in our cohort, has a previously reported effect on renal uptake [22]. Further factors such as age and gender, as well as secondary diseases such as diabetes or former nephrotoxic treatments, which were not ascertained here, may be of influence [23]. Despite glomerular filtration, 68Ga[Ga]-DOTATOC is not suitable for determining kidney function due to the tubular absorption and, above all, the specific extrarenal binding in tumor tissue and organs.
Since the uptake of other physiologically DOTATOC-positive organs, like the pituitary gland, thyroid, spleen and adrenal glands, does not correlate with kidney function, a general dependency on SSTR-specific binding can be excluded. The effect of the kidney function on the tracer allocation to the blood and muscle compartments might be caused by decreased renal tracer excretion due to loss of eGFR. The effect of kidney function seems to be similar for renal, blood and muscle uptake. Therefore, correction of renal uptake with blood or muscle uptake had a negative effect on correlation to kidney function. Dedicated models were evaluated, aiming to achieve the highest possible correlation between renal uptake and kidney function, whereby the quotient from parenchymal uptake to urinary uptake within the renal pelvis had a superior performance, potentially representing a dynamic function of excretion. The urinary SUV measurement within the renal pelvis is more feasible than in the bladder, in which a large amount of outlier values influences the results.
Within the population of patients undergoing therapy, the weak correlation between kidney function and renal uptake could not be verified, due to the small size of the cohort. This applies to the eGFR by CKD-EPI as well as the MAG3-TER and the DTPA-GFR. A high agreement between pre-therapeutic eGFR and MAG3-TER or DTPA-GFR confirmed the validity of the kidney function determinations and is in accordance with previous study results [24,25].
The comparison between pre- and post-therapeutic eGFR showed no significant reduction. PRRT, especially if performed with 177Lu[Lu]-DOTATOC, might not be as nephrotoxic as assumed, which was suggested by other authors as well [26]. Possibly, the previously reported decrease in eGFR is caused by 90Y-labeled SSTR-analogues only [18], which were shown to be more nephrotoxic than 177Lu-radiopharmaceuticals [13,27]. The prophylactic application of amino acid infusions is effective in protection of the kidneys [5,28] and may prevent nephrotoxicity mostly at administered single doses of up to 7.4 GBq. On the other hand, it cannot be ruled out that renal insufficiency may appear later, after a progressive deterioration in kidney function has been demonstrated for months and years after the PRRT [28]. The post-therapeutic eGFR of our study was assessed, approximately, only 3 months after the third cycle, but 9 months after the first cycle of the PRRT; therefore, a considerable interval had passed. eGFR might be the wrong parameter to reveal kidney dysfunction, as mainly the proximal tubules were irradiated and thus nephrotoxicity could be underestimated [27,28], but, also, post-therapeutic MAG3-TER and DTPA-GFR, which were only available in some of our patients, failed to verify renal dysfunction. The differences between our results and the results of Kaewput and Vinjamuri could be caused by different SSTR-analogues being used for PET/CT. Nevertheless, renal uptake of DOTATOC and DOTATE is proposed to be similar [29,30].
Dosimetry of the kidneys is possible but challenging [31,32]. In particular, the PET/CT-based pre-therapeutic estimation of kidney dose in PRRT is limited due to the short physical half-life of 68Ga, which cannot depict the biokinetics of 177Lu during treatment [21]. Consequently, the pre-therapeutic PET and laboratory data in this study were not able to predict a change of kidney function [26]. Although insignificant, the patients with high pre-therapeutic kidney function (in all three assessments) tended towards a minor worsening of eGFR by PRRT, which lowers concerns about a further deterioration in the case of initial kidney insufficiency. Even though the increase in kidney uptake as a result of PRRT was significant, no correlation between change in uptake and change in kidney function could be verified. However, it is possible that the increased renal uptake could be a predictor or early sign of a later deterioration in kidney function. A compensatory increase in megalin, caused by defects of tubular cells as described in elderly humans [33], might be the reason for increased uptake. Although a high renal uptake correlates overall with poorer kidney function, functionless kidneys in particular showed a relatively low uptake and a lower therapy-associated increase in uptake. A purely mathematical relationship between deterioration in kidney function and increasing renal DOTATOC uptake thus appears unlikely. In contrast to previous studies, a few other organs also showed an increased uptake [34]. Hence, it cannot be ruled out that an elevated tracer availability in general, caused by tumor regression in consequence of PRRT, is the decisive factor.
Method discussion and limitations: To validate a mathematic correlation between kidney function and renal tracer uptake a bigger sample with variability in kidney function was required, since the population of patients receiving PRRT was relatively small in our study, as in other studies before [18,20,26]. Therefore, a second collective of patients, independent of PPRT had to be assessed. We assume that their results can, in principle, be transferred to PRRT patients. Due to retrospective evaluation, missing or time-variable parameters could have influenced the validity of our study. Nevertheless, by performing PET/CT and PRRT consequently complying with institutional standard operating procedures, as well as the dedicated review of all 192 PET/CT by one examiner, the variability could be kept low. Individually drawn VOIs to assess the SUVmean of entire kidney parenchyma, used in other studies [18], could have increased the reliability of measurements, but the concordance of the three exemplary VOIs was high, which were therefore deemed to be representative. Computer-assisted rendering of voxel-based isocontours or isosurfaces is ineligible due to high SUV in the renal pelvis or adjacent organs such as the spleen.

5. Conclusions

The relationship between kidney function and renal 68Ga[Ga]-DOTATOC uptake is inversely proportional but of negligible importance. Kidney function has a significant impact on biodistribution, but it is not the only variable. It is therefore not possible to reliably estimate kidney function based on PET measurements alone. Nephrotoxicity of 177Lu[Lu]-DOTATOC PRRT is limited, an early deterioration in kidney function was not seen, but renal tracer uptake increased significantly. Therefore, rising renal uptake cannot be ruled out to be a pre-sign of renal malfunction. Estimation of nephrotoxicity remains limited since pre-therapeutic renal uptake or function could not predict a therapy-induced change of kidney function.

Author Contributions

Conceptualization, F.G. and M.F.; methodology, F.G. and A.H.; validation and formal analysis, P.S. and R.D.; investigation, A.H.; resources, M.F.; writing—original draft preparation, F.G.; writing—review and editing, P.S. and R.D.; visualization, F.G.; supervision, M.F. All authors have read and agreed to the published version of the manuscript.

Funding

This research received no external funding.

Institutional Review Board Statement

The study was conducted according to the guidelines of the Declaration of Helsinki, and approved by the Institutional Ethics Committee of Jena University Hospital (2021-2206-Daten; 29.04.2021).

Informed Consent Statement

Informed consent for clinically indicated diagnostics and consent to scientific evaluation were obtained from all subjects involved in the study.

Acknowledgments

We thank Dominik Driesch for statistical evaluation and illustrations.

Conflicts of Interest

The authors declare no conflict of interest.

References

  1. Kim, J.Y.; Hong, S.-M.; Ro, J.Y. Recent updates on grading and classification of neuroendocrine tumors. Ann. Diagn. Pathol. 2017, 29, 11–16. [Google Scholar] [CrossRef] [PubMed]
  2. Zhang, H.; Moroz, M.A.; Serganova, I.; Ku, T.; Huang, R.; Vider, J.; Maecke, H.R.; Larson, S.M.; Blasberg, R.; Smith-Jones, P.M. Imaging Expression of the Human Somatostatin Receptor Subtype-2 Reporter Gene with 68Ga-DOTATOC. J. Nucl. Med. 2011, 52, 123–131. [Google Scholar] [CrossRef]
  3. Froidevaux, S.; Eberle, A.N.; Christe, M.; Sumanovski, L.; Heppeler, A.; Schmitt, J.S.; Eisenwiener, K.; Beglinger, C.; Mäcke, H.R. Neuroendocrine tumor targeting: Study of novel gallium-labeled somatostatin radiopeptides in a rat pancreatic tumor model. Int. J. Cancer 2002, 98, 930–937. [Google Scholar] [CrossRef] [PubMed]
  4. Meneret, P.; Girard, A.; Pagenault, M.; Riffaud, L.; Palard-Novello, X. Different manifestations detected with 68Ga-DOTATOC PET/CT in patients with Von Hippel-Lindau disease: A case report. Nuklearmedizin 2020, 59, 332–334. [Google Scholar] [CrossRef] [PubMed]
  5. Zaknun, J.J.; Bodei, L.; Mueller-Brand, J.; Pavel, M.E.; Baum, R.P.; Hörsch, D.; O’Dorisio, M.S.; O’Dorisiol, T.M.; Howe, J.R.; Cremonesi, M.; et al. The joint IAEA, EANM, and SNMMI practical guidance on peptide receptor radionuclide therapy (PRRNT) in neuroendocrine tumours. Eur. J. Nucl. Med. Mol. Imaging 2013, 40, 800–816. [Google Scholar] [CrossRef] [PubMed]
  6. Strosberg, J.R.; Halfdanarson, T.; Bellizzi, A.; Chan, J.A.; Dillon, J.; Heaney, A.P.; Kunz, P.L.; O’Dorisio, T.; Salem, R.; Segelov, E.; et al. The North American Neuroendocrine Tumor Society Consensus Guidelines for Surveillance and Medical Management of Midgut Neuroendocrine Tumors. Pancreas 2017, 46, 707–714. [Google Scholar] [CrossRef] [PubMed]
  7. Imhof, A.; Brunner, P.; Marincek, N.; Briel, M.; Schindler, C.; Rasch, H.; Mäcke, H.R.; Rochlitz, C.; Müller-Brand, J.; Walter, M.A. Response, Survival, and Long-Term Toxicity After Therapy with the Radiolabeled Somatostatin Analogue [90Y-DOTA]-TOC in Metastasized Neuroendocrine Cancers. J. Clin. Oncol. 2011, 29, 2416–2423. [Google Scholar] [CrossRef] [PubMed]
  8. Valkema, R.; Pauwels, S.A.; Kvols, L.K.; Kwekkeboom, D.J.; Jamar, F.; De Jong, M.; Barone, R.; Walrand, S.; Kooij, P.P.M.; Bakker, W.H.; et al. Long-term follow-up of renal function after peptide receptor radiation therapy with (90)Y-DOTA(0),Tyr(3)-octreotide and (177)Lu-DOTA(0), Tyr(3)-octreotate. J. Nucl. Med. 2005, 46 (Suppl. 1), 83S–91S. [Google Scholar]
  9. Rolleman, E.J.; Melis, M.; Valkema, R.; Boerman, O.C.; Krenning, E.P.; De Jong, M. Kidney protection during peptide receptor radionuclide therapy with somatostatin analogues. Eur. J. Nucl. Med. Mol. Imaging 2009, 37, 1018–1031. [Google Scholar] [CrossRef]
  10. Boy, C.; Poeppel, T.; Kotzerke, J.; Krause, B.J.; Amthauer, H.; Baum, R.P.; Buchmann, I.; Ezziddin, S.; Führer, D.; Gabriel, M.; et al. [Somatostatin receptor PET/CT (SSTR-PET/CT)]. Nuklearmedizin 2018, 57, 4–17. [Google Scholar] [CrossRef]
  11. Bozkurt, M.F.; Virgolini, I.; Balogova, S.; Beheshti, M.; Rubello, D.; Decristoforo, C.; Ambrosini, V.; Kjaer, A.; Delgado-Bolton, R.; Kunikowska, J.; et al. Guideline for PET/CT imaging of neuroendocrine neoplasms with 68Ga-DOTA-conjugated somatostatin receptor targeting peptides and 18F–DOPA. Eur. J. Nucl. Med. Mol. Imaging 2017, 44, 1588–1601. [Google Scholar] [CrossRef] [PubMed]
  12. Boy, C.; Heusner, T.A.; Poeppel, T.D.; Redmann-Bischofs, A.; Unger, N.; Jentzen, W.; Brandau, W.; Mann, K.; Antoch, G.; Bockisch, A.; et al. 68Ga-DOTATOC PET/CT and somatostatin receptor (sst1–sst5) expression in normal human tissue: Correlation of sst2 mRNA and SUVmax. Eur. J. Nucl. Med. Mol. Imaging 2011, 38, 1224–1236. [Google Scholar] [CrossRef]
  13. Kulkarni, H.R.; Schuchardt, C.; Baum, R.P. Peptide Receptor Radionuclide Therapy with 177Lu Labeled Somatostatin Analogs DOTATATE and DOTATOC: Contrasting Renal Dosimetry in the Same Patient. Adv. Struct. Saf. Stud. 2012, 194, 551–559. [Google Scholar] [CrossRef]
  14. Hofmann, M.; Maecke, H.; Börner, A.; Weckesser, E.; Schöffski, P.; Oei, M.; Schumacher, J.; Henze, M.; Heppeler, A.; Meyer, J.; et al. Biokinetics and imaging with the somatostatin receptor PET radioligand 68Ga-DOTATOC: Preliminary data. Eur. J. Nucl. Med. Mol. Imaging 2001, 28, 1751–1757. [Google Scholar] [CrossRef] [PubMed]
  15. Melis, M.; Krenning, E.P.; Bernard, B.F.; Barone, R.; Visser, T.J.; De Jong, M. Localisation and mechanism of renal retention of radiolabelled somatostatin analogues. Eur. J. Nucl. Med. Mol. Imaging 2005, 32, 1136–1143. [Google Scholar] [CrossRef]
  16. Nielsen, R.; Christensen, E.I.; Birn, H. Megalin and cubilin in proximal tubule protein reabsorption: From experimental models to human disease. Kidney Int. 2016, 89, 58–67. [Google Scholar] [CrossRef]
  17. Balster, D.A.; O’Dorisio, M.S.; Summers, M.A.; Turman, M.A. Segmental expression of somatostatin receptor subtypes sst1 and sst2 in tubules and glomeruli of human kidney. Am. J. Physiol. Physiol. 2001, 280, F457–F465. [Google Scholar] [CrossRef]
  18. Kaewput, C.; Vinjamuri, S. Comparison of renal uptake of 68Ga-DOTANOC PET/CT and estimated glomerular filtration rate before and after peptide receptor radionuclide therapy in patients with metastatic neuroendocrine tumours. Nucl. Med. Commun. 2016, 37, 1325–1332. [Google Scholar] [CrossRef] [PubMed]
  19. Levey, A.S.; Stevens, L.A.; Schmid, C.H.; Zhang, Y.L.; Castro, A.F., 3rd; Feldman, H.I.; Kusek, J.W.; Eggers, P.; Van Lente, F.; Greene, T.; et al. A new equation to estimate glomerular filtration rate. Ann. Intern. Med. 2009, 150, 604–612. [Google Scholar] [CrossRef]
  20. Beauregard, J.-M.; Hofman, M.; Kong, G.; Hicks, R.J. The tumour sink effect on the biodistribution of 68Ga-DOTA-octreotate: Implications for peptide receptor radionuclide therapy. Eur. J. Nucl. Med. Mol. Imaging 2012, 39, 50–56. [Google Scholar] [CrossRef] [PubMed]
  21. Werner, R.A.; Hänscheid, H.; Leal, J.P.; Javadi, M.S.; Higuchi, T.; Lodge, M.A.; Buck, A.K.; Pomper, M.G.; Lapa, C.; Rowe, S.P. Impact of Tumor Burden on Quantitative [68Ga] DOTATOC Biodistribution. Mol. Imaging Biol. 2018, 21, 790–798. [Google Scholar] [CrossRef] [PubMed]
  22. Kratochwil, C.; Mavriopoulou, E.; Rath, D.; Afshar-Oromieh, A.; Apostolopoulos, D.; Haufe, S.; Mier, W.; Haberkorn, U.; Giesel, F.L. Comparison of 68Ga-DOTATOC biodistribution in patients with and without spleenectomy. Q. J. Nucl. Med. Mol. Imaging 2013, 59, 116–120. [Google Scholar]
  23. Leisser, A.; Lukic, K.; Nejabat, M.; Wadsak, W.; Mitterhauser, M.; Mayerhöfer, M.; Karnaikas, G.; Raderer, M.; Hacker, M.; Haug, A. Sex-differences in [68Ga]Ga-DOTANOC biodistribution. Nucl. Med. Biol. 2019, 76-77, 15–20. [Google Scholar] [CrossRef] [PubMed]
  24. Esteves, F.P.; Halkar, R.K.; Issa, M.M.; Grant, S.; Taylor, A. Comparison of Camera-Based99mTc-MAG3 and 24-Hour Creatinine Clearances for Evaluation of Kidney Function. Am. J. Roentgenol. 2006, 187, W316–W319. [Google Scholar] [CrossRef] [PubMed]
  25. Werner, R.A.; Bluemel, C.; Lapa, C.; Muegge, D.O.; Kudlich, T.; Buck, A.; Herrmann, K. Pretherapeutic estimation of kidney function in patients treated with peptide receptor radionuclide therapy. Nucl. Med. Commun. 2014, 35, 1143–1149. [Google Scholar] [CrossRef]
  26. Werner, R.A.; Beykan, S.; Higuchi, T.; Lückerath, K.; Weich, A.; Scheurlen, M.; Bluemel, C.; Herrmann, K.; Buck, A.K.; Lassmann, M.; et al. The impact of 177Lu-octreotide therapy on 99mTc-MAG3 clearance is not predictive for late nephropathy. Oncotarget 2016, 7, 41233–41241. [Google Scholar] [CrossRef]
  27. Sabet, A.; Ezziddin, K.; Pape, U.-F.; Reichman, K.; Haslerud, T.; Ahmadzadehfar, H.; Biersack, H.-J.; Nagarajah, J.; Ezziddin, S. Accurate assessment of long-term nephrotoxicity after peptide receptor radionuclide therapy with 177Lu-octreotate. Eur. J. Nucl. Med. Mol. Imaging 2013, 41, 505–510. [Google Scholar] [CrossRef]
  28. Arveschoug, A.; Kramer, S.; Iversen, P.; Frokiaer, J.; Gronbaek, H. Monitoring kidney function in neuroendocrine tumor patients treated with 90Y-DOTATOC: Associations with risk factors. Curr. Radiopharm. 2015, 8, 49–55. [Google Scholar] [CrossRef]
  29. Poeppel, T.D.; Binse, I.; Petersenn, S.; Lahner, H.; Schott, M.; Antoch, G.; Brandau, W.; Bockisch, A.; Boy, C. 68Ga-DOTATOC Versus 68Ga-DOTATATE PET/CT in Functional Imaging of Neuroendocrine Tumors. J. Nucl. Med. 2011, 52, 1864–1870. [Google Scholar] [CrossRef]
  30. Poeppel, T.D.; Binse, I.; Petersenn, S.; Lahner, H.; Schott, M.; Antoch, G.; Brandau, W.; Bockisch, A.; Boy, C.G.F. Differential Uptake of 68Ga-DOTATOC and 68Ga-DOTATATE in PET/CT of Gastroenteropancreatic Neuroendocrine Tumors. Methods Mol. Biol. 2012, 194, 353–371. [Google Scholar] [CrossRef]
  31. Leonhäuser, B.; Happel, C.; Gröner, D.; Bockisch, B.; Fiebich, M.; Hellwig, D.; Grünwald, F.; Kranert, W.T. Evaluation der intratherapeutischen Dosimetrie bei der 177Lu-HA-DOTATATE Therapie neuroendokriner Tumoren mittels SPECT, Ganzkörperszintigraphie und Gammasonde. Nuklearmedizin 2019, 58, 379–386. [Google Scholar] [CrossRef] [PubMed]
  32. Walrand, S.; Jamar, F.; Van Elmbt, L.; Lhommel, R.; Bekonde, E.B.; Pauwels, S. 4-Step Renal Dosimetry Dependent on Cortex Geometry Applied to 90Y Peptide Receptor Radiotherapy: Evaluation Using a Fillable Kidney Phantom Imaged by 90Y PET. J. Nucl. Med. 2010, 51, 1969–1973. [Google Scholar] [CrossRef][Green Version]
  33. Odera, K.; Goto, S.; Takahashi, R. Age-related change of endocytic receptors megalin and cubilin in the kidney in rats. Biogerontology 2007, 8, 505–515. [Google Scholar] [CrossRef] [PubMed]
  34. Giesel, F.L.; Stefanova, M.; Schwartz, L.H.; Afshar-Oromieh, A.; Eisenhut, M.; Haberkorn, U.; Kratochwil, C. Impact of peptide receptor radionuclide therapy on the 68Ga-DOTATOC-PET/CT uptake in normal tissue. Q. J. Nucl. Med. Mol. Imaging 2013, 57, 171–176. [Google Scholar] [PubMed]
Figure 1. Maximum intensity projection of 68Ga[Ga]-DOTATOC PET with high tracer uptake in intrathoracic tumor manifestations, kidneys and typical SSTR-expressing organs (A). PET/CT coronal view of right kidney is showing the uptake in renal cortex and the localization of the three defined VOIs for SUVmean measurements, which were averaged with measurements of the contralateral kidney (B).
Figure 1. Maximum intensity projection of 68Ga[Ga]-DOTATOC PET with high tracer uptake in intrathoracic tumor manifestations, kidneys and typical SSTR-expressing organs (A). PET/CT coronal view of right kidney is showing the uptake in renal cortex and the localization of the three defined VOIs for SUVmean measurements, which were averaged with measurements of the contralateral kidney (B).
Diagnostics 11 01216 g001
Figure 2. Relationship between eGFR (in mL/min/1.73 m2) and SUVmean of the kidneys (both kidneys averaged). Line represents correlation trend. Normal range of eGFR: >90 mL/min/1.73 m2.
Figure 2. Relationship between eGFR (in mL/min/1.73 m2) and SUVmean of the kidneys (both kidneys averaged). Line represents correlation trend. Normal range of eGFR: >90 mL/min/1.73 m2.
Diagnostics 11 01216 g002
Figure 3. Relationships between eGFR (in mL/min/1.73 m2) and SUVmax of SSTR-positive organs (upper row) and SUVmean of background compartments (bottom row). Lines represent correlation trends.
Figure 3. Relationships between eGFR (in mL/min/1.73 m2) and SUVmax of SSTR-positive organs (upper row) and SUVmean of background compartments (bottom row). Lines represent correlation trends.
Diagnostics 11 01216 g003
Figure 4. Comparison of pre- and post-therapeutic eGFR (in mL/min/1.73 m2) and SUVmean of kidneys.
Figure 4. Comparison of pre- and post-therapeutic eGFR (in mL/min/1.73 m2) and SUVmean of kidneys.
Diagnostics 11 01216 g004
Figure 5. Comparison of pre- and post-therapeutic SUVmax of SSTR-positive organs (upper row) and SUVmean of background compartments (bottom row).
Figure 5. Comparison of pre- and post-therapeutic SUVmax of SSTR-positive organs (upper row) and SUVmean of background compartments (bottom row).
Diagnostics 11 01216 g005
Figure 6. Relationships between PRRT-associated change of eGFR (in mL/min/1.73 m2) and pre-therapeutic measurements: SUVmean of kidneys, eGFR (in mL/min/1.73 m2), DTPA-GFR and MAG3-TER (both in mL/min). Lines represent correlation trends.
Figure 6. Relationships between PRRT-associated change of eGFR (in mL/min/1.73 m2) and pre-therapeutic measurements: SUVmean of kidneys, eGFR (in mL/min/1.73 m2), DTPA-GFR and MAG3-TER (both in mL/min). Lines represent correlation trends.
Diagnostics 11 01216 g006
Table 1. Patient characteristics of cohort A.
Table 1. Patient characteristics of cohort A.
n, Sex128 (57 female/71 male)
Age61.8 ± 13.1 years
Diagnosisforegut NET:35
midgut NET:22
hindgut NET:6
NET of unknown primary:5
lung carcinoid:10
unconfirmed suspicion:28
others:22
Tumor Loadnone:66
low:37
high:25
eGFR>90 mL/min/1.73 m2:48
60–90 mL/min/1.73 m2:52
<60 mL/min/1.73 m2:28
Table 2. Patient characteristics of cohort B.
Table 2. Patient characteristics of cohort B.
n, Sex32 (16 female/16 male)
Age64.2 ± 11.1 years
Diagnosisforegut NET:
midgut NET:
NET of unknown primary:
others:
16
6
4
6
Cumulative Dose20.7 ± 3.7 GBq
Pre-Therapeutic eGFR>90 mL/min/1.73 m2:
60–90 mL/min/1.73 m2:
<60 mL/min/1.73 m2:
12
17
3
Publisher’s Note: MDPI stays neutral with regard to jurisdictional claims in published maps and institutional affiliations.

Share and Cite

MDPI and ACS Style

Gühne, F.; Heinzig, A.; Seifert, P.; Drescher, R.; Freesmeyer, M. The Dependence of Renal 68Ga[Ga]-DOTATOC Uptake on Kidney Function and Its Relevance for Peptide Receptor Radionuclide Therapy with 177Lu[Lu]-DOTATOC. Diagnostics 2021, 11, 1216. https://doi.org/10.3390/diagnostics11071216

AMA Style

Gühne F, Heinzig A, Seifert P, Drescher R, Freesmeyer M. The Dependence of Renal 68Ga[Ga]-DOTATOC Uptake on Kidney Function and Its Relevance for Peptide Receptor Radionuclide Therapy with 177Lu[Lu]-DOTATOC. Diagnostics. 2021; 11(7):1216. https://doi.org/10.3390/diagnostics11071216

Chicago/Turabian Style

Gühne, Falk, Alexander Heinzig, Philipp Seifert, Robert Drescher, and Martin Freesmeyer. 2021. "The Dependence of Renal 68Ga[Ga]-DOTATOC Uptake on Kidney Function and Its Relevance for Peptide Receptor Radionuclide Therapy with 177Lu[Lu]-DOTATOC" Diagnostics 11, no. 7: 1216. https://doi.org/10.3390/diagnostics11071216

APA Style

Gühne, F., Heinzig, A., Seifert, P., Drescher, R., & Freesmeyer, M. (2021). The Dependence of Renal 68Ga[Ga]-DOTATOC Uptake on Kidney Function and Its Relevance for Peptide Receptor Radionuclide Therapy with 177Lu[Lu]-DOTATOC. Diagnostics, 11(7), 1216. https://doi.org/10.3390/diagnostics11071216

Note that from the first issue of 2016, this journal uses article numbers instead of page numbers. See further details here.

Article Metrics

Back to TopTop