Prediction of Postoperative Sepsis Based on Changes in Presepsin Levels of Critically Ill Patients with Acute Kidney Injury after Abdominal Surgery
Abstract
:1. Introduction
2. Materials and Methods
2.1. Study Design and Patient Enrollment
2.2. Data Recruitment and Postoperative Management
2.3. Clinical Outcome Assessment
2.4. Statistical Analysis
3. Results
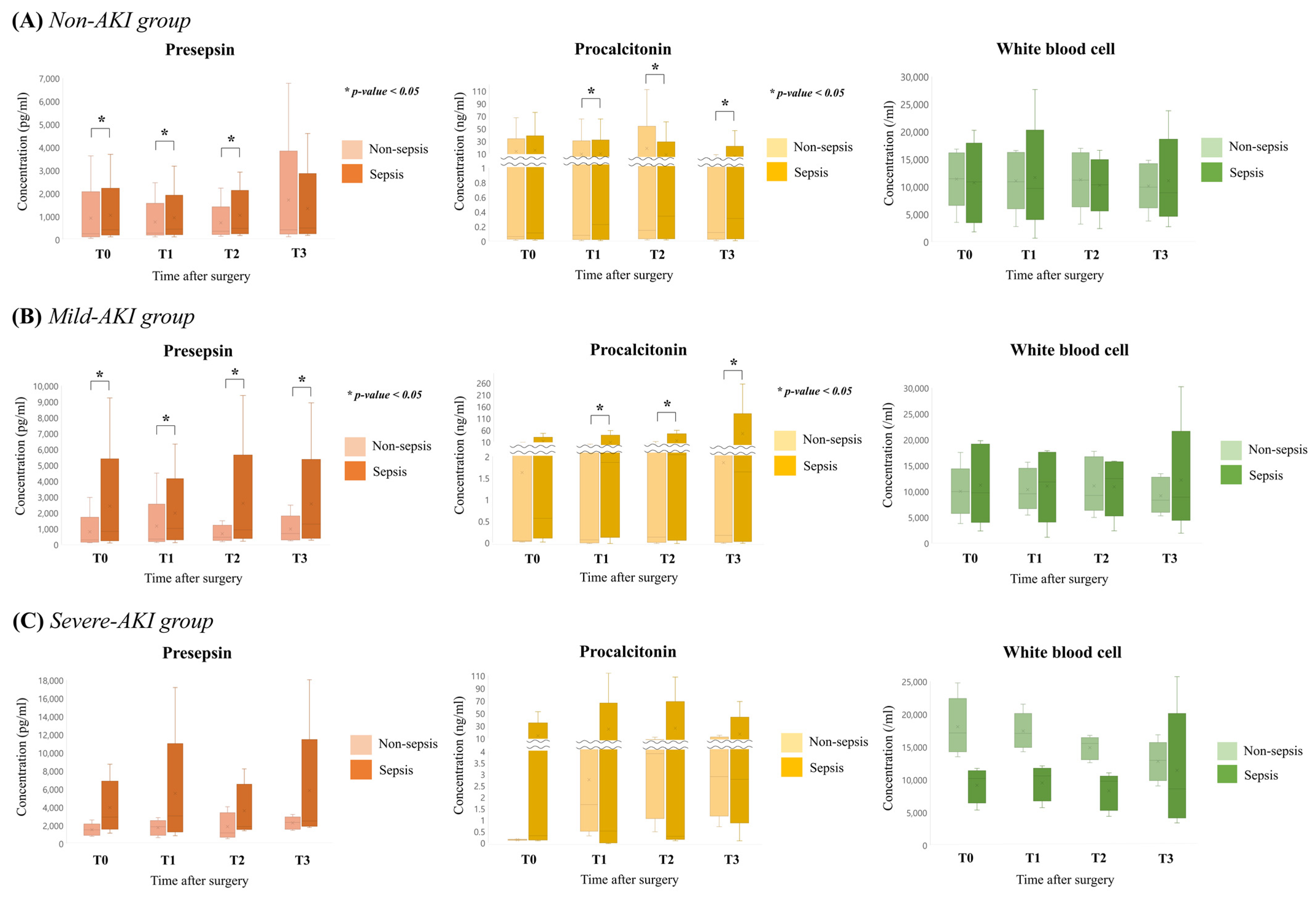
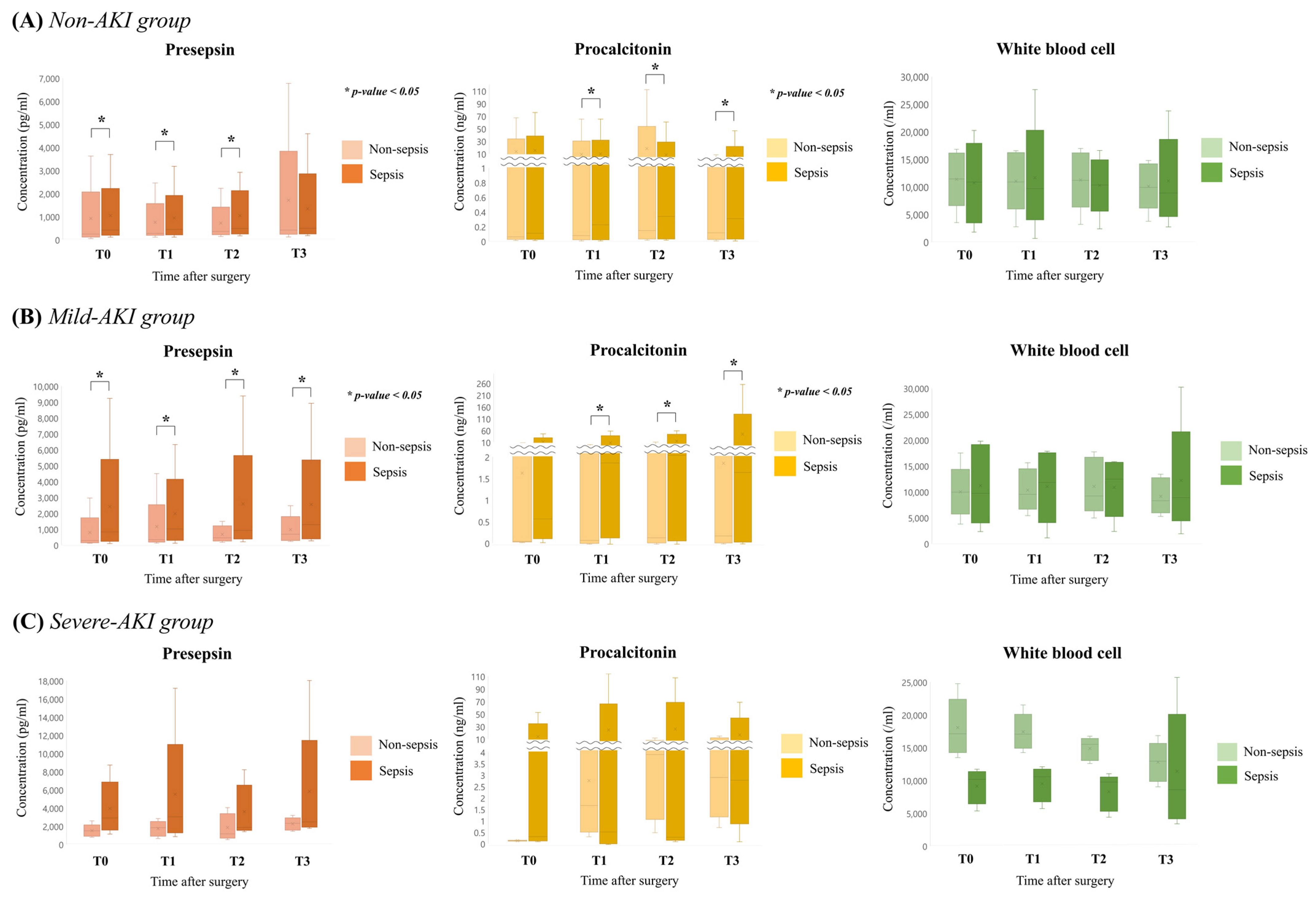
3.1. Demographics and Clinical Outcomes, and the Changes in Inflammatory Markers during Observational Period
3.2. Predictive Values of Various Markers in Postoperative Sepsis According to Renal Function
4. Discussion
5. Conclusions
Author Contributions
Funding
Institutional Review Board Statement
Informed Consent Statement
Data Availability Statement
Acknowledgments
Conflicts of Interest
Abbreviations
References
- Bosch, F.; Schallhorn, S.; Miksch, R.C.; Chaudry, I.H.; Faist, E.; Werner, J.; Angele, M.K.; Pratschke, S. The Prognostic Value of Presepsin for Sepsis in Abdominal Surgery: A Prospective Study. Shock 2020, 54, 56–61. [Google Scholar] [CrossRef] [PubMed]
- Fried, E.; Weissman, C.; Sprung, C. Postoperative Sepsis. Curr. Opin. Crit. Care 2011, 17, 396–401. [Google Scholar] [CrossRef] [PubMed]
- Sido, B.; Teklote, J.R.; Hartel, M.; Friess, H.; Buchler, M.W. Inflammatory Response after Abdominal Surgery. Best Pract. Res. Clin. Anaesthesiol. 2004, 18, 439–454. [Google Scholar] [CrossRef] [PubMed]
- Zheng, Z.; Jiang, L.; Ye, L.; Gao, Y.; Tang, L.; Zhang, M. The Accuracy of Presepsin for the Diagnosis of Sepsis from Sirs: A Systematic Review and Meta-Analysis. Ann. Intensive Care 2015, 5, 48. [Google Scholar] [CrossRef] [PubMed] [Green Version]
- Mihajlovic, D.; Brkic, S.; Uvelin, A.; Draskovic, B.; Vrsajkov, V. Use of Presepsin and Procalcitonin for Prediction of Septifast Results in Critically Ill Patients. J. Crit. Care 2017, 40, 197–201. [Google Scholar] [CrossRef]
- Memar, M.Y.; Baghi, H.B. Presepsin: A Promising Biomarker for the Detection of Bacterial Infections. Biomed. Pharmacother. 2019, 111, 649–656. [Google Scholar] [CrossRef] [PubMed]
- Lee, M.J.; Han, W.H.; Chun, J.Y.; Kim, S.Y.; Kim, J.H. Presepsin in the Rapid Response System for Cancer Patients: A Retrospective Analysis. J. Clin. Med. 2021, 10, 2153. [Google Scholar] [CrossRef]
- Lee, J.; Kim, S.; Kim, K.H.; Jeong, N.R.; Kim, S.C.; Oh, E.J. The Association between Dynamic Changes in Serum Presepsin Levels and Mortality in Immunocompromised Patients with Sepsis: A Prospective Cohort Study. Diagnostics 2021, 11, 60. [Google Scholar] [CrossRef] [PubMed]
- Nakamura, Y.; Ishikura, H.; Nishida, T.; Kawano, Y.; Yuge, R.; Ichiki, R.; Murai, A. Usefulness of Presepsin in the Diagnosis of Sepsis in Patients with or without Acute Kidney Injury. BMC Anesthesiol. 2014, 14, 88. [Google Scholar] [CrossRef] [Green Version]
- Nagata, T.; Yasuda, Y.; Ando, M.; Abe, T.; Katsuno, T.; Kato, S.; Tsuboi, N.; Matsuo, S.; Maruyama, S. Clinical Impact of Kidney Function on Presepsin Levels. PLoS ONE 2015, 10, e0129159. [Google Scholar] [CrossRef] [Green Version]
- Solomkin, J.S.; Ristagno, R.L.; Das, A.F.; Cone, J.B.; Wilson, S.E.; Rotstein, O.D.; Murphy, B.S.; Severin, K.S.; Bruss, J.B. Source Control Review in Clinical Trials of Anti-Infective Agents in Complicated Intra-Abdominal Infections. Clin. Infect. Dis. 2013, 56, 1765–1773. [Google Scholar] [CrossRef] [Green Version]
- Kellum, J.A.; Lameire, N. Diagnosis, Evaluation, and Management of Acute Kidney Injury: A Kdigo Summary (Part 1). Crit. Care 2013, 17, 204. [Google Scholar] [CrossRef] [PubMed] [Green Version]
- Jekarl, D.W.; Lee, S.; Kim, M.; Kim, Y.; Woo, S.H.; Lee, W.J. Procalcitonin as a Prognostic Marker for Sepsis Based on Sepsis-3. J. Clin. Lab. Anal. 2019, 33, e22996. [Google Scholar] [CrossRef] [PubMed] [Green Version]
- Clementi, A.; Virzi, G.M.; Mucino-Bermejo, M.J.; Nalesso, F.; Giavarina, D.; Carta, M.; Brocca, A.; de Cal, M.; Danesi, T.H.; Zanella, M.; et al. Presepsin and Procalcitonin Levels as Markers of Adverse Postoperative Complications and Mortality in Cardiac Surgery Patients. Blood Purif. 2019, 47, 140–148. [Google Scholar] [CrossRef] [PubMed]
- Singer, M.; Deutschman, C.S.; Seymour, C.W.; Shankar-Hari, M.; Annane, D.; Bauer, M.; Bellomo, R.; Bernard, G.R.; Chiche, J.D.; Coopersmith, C.M.; et al. The Third International Consensus Definitions for Sepsis and Septic Shock (Sepsis-3). JAMA 2016, 315, 801–810. [Google Scholar] [CrossRef] [PubMed]
- Rhodes, A.; Evans, L.E.; Alhazzani, W.; Levy, M.M.; Antonelli, M.; Ferrer, R.; Kumar, A.; Sevransky, J.E.; Sprung, C.L.; Nunnally, M.E.; et al. Surviving Sepsis Campaign: International Guidelines for Management of Sepsis and Septic Shock: 2016. Crit. Care Med. 2017, 45, 486–552. [Google Scholar] [CrossRef] [PubMed]
- Dindo, D.; Demartines, N.; Clavien, P.A. Classification of Surgical Complications: A New Proposal with Evaluation in a Cohort of 6336 Patients and Results of a Survey. Ann. Surg. 2004, 240, 205–213. [Google Scholar] [CrossRef]
- Deborah, B.; Nicholson, G.; Hall, G. Endocrine and Metabolic Response to Surgery. Contin. Educ. Anaesth. Crit. Care Pain 2004, 4, 144–147. [Google Scholar]
- Kayilioglu, S.I.; Dinc, T.; Sozen, I.; Bostanoglu, A.; Cete, M.; Coskun, F. Postoperative Fluid Management. World J. Crit. Care Med. 2015, 4, 192–201. [Google Scholar] [CrossRef] [PubMed]
- Christina, W.; Prkno, A.; Brunkhorst, F.M.; Schlattmann, P. Procalcitonin as a Diagnostic Marker for Sepsis: A Systematic Review and Meta-Analysis. Lancet Infect. Dis. 2013, 13, 426–435. [Google Scholar] [CrossRef]
- Montaldo, P.; Rosso, R.; Santantonio, A.; Chello, G.; Giliberti, P. Presepsin for the Detection of Early-Onset Sepsis in Preterm Newborns. Pediatr. Res. 2017, 81, 329–334. [Google Scholar] [CrossRef] [PubMed]
- Larsen, F.F.; Petersen, J.A. Novel Biomarkers for Sepsis: A Narrative Review. Eur. J. Intern. Med. 2017, 45, 46–50. [Google Scholar] [CrossRef] [PubMed]
- Moustafa, R.; Albouni, T.; Aziz, G. The Role of Procalcitonin and Presepsin in the Septic Febrile Neutropenia in Acute Leukemia Patients. PLoS ONE 2021, 16, e0253842. [Google Scholar] [CrossRef] [PubMed]
- Shimoyama, Y.; Umegaki, O.; Kadono, N.; Minami, T. Presepsin Values Predict Septic Acute Kidney Injury, Acute Respiratory Distress Syndrome, Disseminated Intravascular Coagulation, and Shock. Shock 2021, 55, 501–506. [Google Scholar] [CrossRef]
- Zhao, J.; Tan, Y.; Wang, L.; Shi, Y. Discriminatory Ability and Prognostic Evaluation of Presepsin for Sepsis-Related Acute Respiratory Distress Syndrome. Sci. Rep. 2020, 10, 9114. [Google Scholar] [CrossRef] [PubMed]
- Kweon, O.J.; Choi, J.H.; Park, S.K.; Park, A.J. Usefulness of Presepsin (Scd14 Subtype) Measurements as a New Marker for the Diagnosis and Prediction of Disease Severity of Sepsis in the Korean Population. J. Crit. Care 2020, 29, 965–970. [Google Scholar] [CrossRef] [PubMed]
- Xiao, H.; Wang, G.; Wang, Y.; Tan, Z.; Sun, X.; Zhou, J.; Duan, M.; Zhi, D.; Tang, Z.; Hang, C.; et al. Potential Value of Presepsin Guidance in Shortening Antibiotic Therapy in Septic Patients: A Multicenter, Prospective Cohort Trial. Shock 2021. [Google Scholar] [CrossRef] [PubMed]
- Wu, C.C.; Lan, H.M.; Han, S.T.; Chaou, C.H.; Yeh, C.F.; Liu, S.H.; Li, C.H.; Blaney, G.N., 3rd; Liu, Z.Y.; Chen, K.F. Comparison of Diagnostic Accuracy in Sepsis between Presepsin, Procalcitonin, and C-Reactive Protein: A Systematic Review and Meta-Analysis. Ann. Intensive Care 2017, 7, 91. [Google Scholar] [CrossRef] [Green Version]
- Sekine, Y.; Kotani, K.; Oka, D.; Nakayama, H.; Miyazawa, Y.; Syuto, T.; Arai, S.; Nomura, M.; Koike, H.; Matsui, H.; et al. Presepsin as a Predictor of Septic Shock in Patients with Urinary Tract Infection. BMC Urol. 2021, 21, 144. [Google Scholar] [CrossRef] [PubMed]
- Saito, J.; Hashiba, E.; Kushikata, T.; Mikami, A.; Hirota, K. Changes in Presepsin Concentrations in Surgical Patients with End-Stage Kidney Disease Undergoing Living Kidney Transplantation: A Pilot Study. J. Anesth. 2016, 30, 174–177. [Google Scholar] [CrossRef]
- Nakamura, Y.; Hoshino, K.; Kiyomi, F.; Kawano, Y.; Mizunuma, M.; Tanaka, J.; Nishida, T.; Ishikura, H. Comparison of Accuracy of Presepsin and Procalcitonin Concentrations in Diagnosing Sepsis in Patients with and without Acute Kidney Injury. Clin. Chim. Acta 2019, 490, 200–206. [Google Scholar] [CrossRef] [PubMed]
- Shiota, J. Changes of Early Sepsis Biomarker Presepsin Level During Hemodialysis: Influence of Β(2)-Microglobulin Clearance of Dialysis Membrane: A Preliminary Study. Kidney Dis. 2019, 5, 43–50. [Google Scholar] [CrossRef] [PubMed]
- Takahashi, G.; Shibata, S.; Fukui, Y.; Okamura, Y.; Inoue, Y. Diagnostic Accuracy of Procalcitonin and Presepsin for Infectious Disease in Patients with Acute Kidney Injury. Diagn. Microbiol. Infect. Dis. 2016, 86, 205–210. [Google Scholar] [CrossRef] [PubMed]
- Klouche, K.; Cristol, J.P.; Devin, J.; Gilles, V.; Kuster, N.; Larcher, R.; Amigues, L.; Corne, P.; Jonquet, O.; Dupuy, A.M. Diagnostic and Prognostic Value of Soluble Cd14 Subtype (Presepsin) for Sepsis and Community-Acquired Pneumonia in Icu Patients. Ann. Intensive Care 2016, 6, 59. [Google Scholar] [CrossRef] [PubMed] [Green Version]
- Park, J.E.; Lee, B.; Yoon, S.J.; Park, C.M.; Jung, C.W.; Ahn, M.J.; Park, H.D.; Hwang, S.Y.; Shin, T.G.; Kang, E.S. Complementary Use of Presepsin with the Sepsis-3 Criteria Improved Identification of High-Risk Patients with Suspected Sepsis. Biomedicines 2021, 9, 1076. [Google Scholar] [CrossRef]
- Shimoyama, Y.; Umegaki, O.; Kadono, N.; Minami, T. Presepsin Values and Prognostic Nutritional Index Predict Mortality in Intensive Care Unit Patients with Sepsis: A Pilot Study. BMC Res. Notes 2021, 14, 245. [Google Scholar] [CrossRef]
- Ferrarese, A.; Frigo, A.C.; Mion, M.M.; Plebani, M.; Russo, F.P.; Germani, G.; Gambato, M.; Cillo, U.; Cattelan, A.; Burra, P.; et al. Diagnostic and Prognostic Role of Presepsin in Patients with Cirrhosis and Bacterial Infection. Clin. Chem. Lab. Med. 2021, 59, 775–782. [Google Scholar] [CrossRef]




| Stage | Serum Creatinine | Urine Output |
|---|---|---|
| 1 | 1.5-to-1.9-fold increase than baseline or more than 0.3 mg/dL increase | Less than 0.5 mL/kg/h over 6 h |
| 2 | 2.0-to-2.9-fold increase than baseline | Less than 0.5 mL/kg/h over 12 h |
| 3 | 3.0-fold increase than baseline or increase more than 4.0 mg/dL or initiation of renal replacement therapy | Less than 0.3 mL/kg/h over 24 h or anuria over 12 h |
| Variables | N = 311, Mean ± SD, (Range or %) |
|---|---|
| Demographic characteristics | |
| Age, years | 66.8 ± 15.2 (18–95) |
| Gender (male/female) | 210/101 (67.5/32.5) |
| BMI | 23.3 ± 3.6 (13.4–38.7) |
| APACHE II score * | 11.7 ± 6.3 (1–37) |
| SOFA score * | 2.9 ± 2.8 (0–14) |
| Malignancy | 143 (46) |
| Hypertension | 158 (50.8) |
| Diabetes | 99 (31.8) |
| Heart failure | 7(2.3) |
| End-stage liver disease | 9 (2.9) |
| Operative profiles | |
| Operative time, min | 184.3 ± 132.5 (50–880) |
| Estimated blood loss, ml | 323.6 ± 586.9 (50–2500) |
| Operation type | |
| Gastrectomy | 20 (6.4) |
| Small bowel resection | 27 (8.7) |
| Hepato-pancreatobiliary | 98 (31.5) |
| Colorectal resection | 55 (17.7) |
| Trauma | 39 (12.5) |
| Miscellaneous | 17 (5.5) |
| Clinical outcomes | |
| Sepsis | 99 (31.8) |
| Septic shock | 40 (12.9) |
| Length of ICU stay, day | 2.6 ± 2.8 (1–16) |
| Length of hospital stay, day | 15.2 ± 11.8 (1–93) |
| ICU mortality | 15 (4.8) |
| In-hospital mortality | 23 (7.4) |
| Variables | N = 311 (Range or %) |
|---|---|
| Presence of Acute kidney injury * | |
| No-AKI | 210 (67.5) |
| AKI | 101 (32.5) |
| Grade of Acute kidney injury * | |
| Stage 1 | 59 (19) |
| Stage 2 | 10 (3.2) |
| Stage 3 without RRT | 19 (6.1) |
| Stage 3 with RRT | 13 (4.2) |
| Inflammatory Markers | T0 | T1 | T2 | T3 |
|---|---|---|---|---|
| Presepsin | 355 (46–9229) | 421 (109–16,718) | 470 (136–8875) | 602 (116–17,428) |
| Procalcitonin | 0.06 (0.02–816.4) | 0.22 (0.02–407.4) | 0.29 (0.02–285.1) | 0.24 (0.04–268.6) |
| WBC | 10,700 (1780–20,230) | 10,160 (440–26,620) | 10,340 (1990–16,260) | 8920 (1630–14,150) |
| Inflammatory Markers | Renal Function, n | T0 | T1 | T2 | T3 |
|---|---|---|---|---|---|
| Presepsin | No-AKI, n = 210 | 312 (46–3690) | 352 (109–3042) | 412.5 (136–2790) | 471 (116–6479) |
| Mild-AKI, n = 88 | 506 (92–9229) | 594 (109–5975) | 646 (171–8875) | 918 (230–8431) | |
| Severe-AKI, n = 13 | 2227 (785–8725) | 2629 (1023–16,718) | 2118 (914–8212) | 2746 (1771–17,428) | |
| Procalcitonin | No-AKI, n = 210 | 0.04 (0.02–75.55) | 0.11 (0.02–63) | 0.16 (0.02–112) | 0.15 (0.04–49.37) |
| Mild-AKI, n = 88 | 0.18 (0.02–816.37) | 0.71 (0.04–407.43) | 0.73 (0.04–285.05) | 0.74 (0.04–268.57) | |
| Severe-AKI, n = 13 | 0.17 (0.08–52.35) | 0.77 (0.09–110.26) | 0.71 (0.23–104.35) | 2.88 (0.24–61) | |
| WBC | No-AKI, n = 210 | 11,225 (1780–20,230) | 10,065 (440–26,620) | 10,390 (2130–16,260) | 9320 (2460–14,150) |
| Mild-AKI, n = 88 | 9795 (2320–15,770) | 10,240 (780–16,090) | 9395 (1990–14,970) | 8060 (1630–11,860) | |
| Severe-AKI, n = 13 | 12,720 (5350–11,720) | 13,740 (5540–11,660) | 10,340 (4270–10,640) | 9320 (3420–26,730) |
| Inflammatory Markers | Renal Function | T0, Median | T1, Median | T2, Median | T3, Median | ||||||||
|---|---|---|---|---|---|---|---|---|---|---|---|---|---|
| No Sepsis or Septic Shock (n = 172) | Sepsis or Septic Shock (n = 139) | p-Value | No Sepsis or Septic Shock (n = 172) | Sepsis or Septic Shock (n = 139) | p-Value | No Sepsis or Septic Shock (n = 172) | Sepsis or Septic Shock (n = 139) | p-Value | No Sepsis or Septic Shock (n = 172) | Sepsis or Septic Shock (n = 139) | p-Value | ||
| Presepsin | Non-AKI | 243 | 413.5 | 0.007 | 264 | 426 | 0.028 | 341 | 463.5 | 0.031 | 401 | 477 | 0.484 |
| Mild-AKI * | 280 | 821 | 0.001 | 320.5 | 960 | 0.016 | 435 | 875.5 | 0.005 | 659 | 1226 | 0.008 | |
| Severe-AKI * | 1493 | 2895 | 0.300 | 2156 | 3291 | 0.370 | 1507 | 2182 | 0.486 | 2600.5 | 2746 | 0.424 | |
| Procalcitonin | Non-AKI | 0.06 | 0.11 | 0.358 | 0.08 | 0.22 | 0.004 | 0.14 | 0.33 | 0.042 | 0.12 | 0.31 | 0.037 |
| Mild-AKI | 0.04 | 0.56 | 0.124 | 0.09 | 1.79 | 0.012 | 0.15 | 1.96 | 0.005 | 0.19 | 1.63 | 0.018 | |
| Severe-AKI | 0.13 | 0.30 | 0.503 | 1.71 | 0.61 | 0.616 | 3.84 | 0.41 | 0.671 | 2.88 | 2.77 | 0.609 | |
| WBC | Non-AKI | 11,430 | 10,850 | 0.666 | 10,370 | 9210 | 0.841 | 10,655 | 9835 | 0.450 | 9425 | 8430 | 0.055 |
| Mild-AKI | 9935 | 9700 | 0.762 | 8965 | 11,190 | 0.912 | 8680 | 11,840 | 0.579 | 8055 | 8460 | 0.327 | |
| Severe-AKI | 17,120 | 10,155 | 0.608 | 16,440 | 10,195 | 0.608 | 14,950 | 9420 | 0.607 | 13,395 | 8840 | 0.764 | |
| Inflammatory Markers | Renal Function | T0 | T1 | T2 | T3 | ||||||||
|---|---|---|---|---|---|---|---|---|---|---|---|---|---|
| Cutoff | AUC | p-Value | Cutoff | AUC | p-Value | Cutoff | AUC | p-Value | Cutoff | AUC | p-Value | ||
| Presepsin | Non-AKI | 314 | 0.686 | <0.001 | 283 | 0.644 | 0.036 | 933.5 | 0.569 | 0.147 | 890.5 | 0.498 | 0.964 |
| Mild-AKI * | 544 | 0.757 | <0.001 | 458.5 | 0.743 | <0.001 | 548.5 | 0.706 | 0.004 | 949.9 | 0.714 | 0.004 | |
| Severe-AKI * | 2739 | 0.741 | 0.229 | 3534 | 0.7 | 0.31 | 1624 | 0.762 | 0.21 | 1925 | 0.7 | 0.439 | |
| Procalcitonin | Non-AKI | 0.045 | 0.674 | <0.001 | 0.075 | 0.644 | 0.001 | 1.135 | 0.606 | 0.024 | 0.665 | 0.619 | 0.024 |
| Mild-AKI | 0.15 | 0.861 | <0.001 | 0.26 | 0.784 | <0.001 | 0.965 | 0.77 | <0.001 | 0.37 | 0.745 | 0.001 | |
| Severe-AKI | 0.155 | 0.87 | 0.064 | 7.775 | 0.4 | 0.612 | 17.76 | 0.333 | 0.405 | 16.61 | 0.444 | 0.796 | |
| WBC | Non-AKI | 11,790 | 0.469 | 0.451 | 24,745 | 0.425 | 0.077 | 7610 | 0.446 | 0.255 | 19,225 | 0.405 | 0.051 |
| Mild-AKI | 18,690 | 0.484 | 0.804 | 11,080 | 0.577 | 0.233 | 8805 | 0.555 | 0.429 | 9105 | 0.486 | 0.847 | |
| Severe-AKI | 25,760 | 0.067 | 0.028 | 21,720 | 0.133 | 0.063 | 20,610 | 0.133 | 0.063 | 22,100 | 0.286 | 0.38 | |
| Inflammatory Markers | Renal Function | T0 | T1 | T2 | T3 | ||||||||
|---|---|---|---|---|---|---|---|---|---|---|---|---|---|
| Cutoff | AUC | p-Value | Cutoff | AUC | p-Value | Cutoff | AUC | p-Value | Cutoff | AUC | p-Value | ||
| Presepsin | Mild-AKI | 1643 | 0.832 | <0.001 | 1238 | 0.806 | 0.001 | 1355 | 0.823 | 0.015 | 5052 | 0.851 | 0.042 |
| Procalcitonin | Mild-AKI | 1.035 | 0.729 | 0.02 | 0.995 | 0.746 | 0.023 | 0.985 | 0.782 | 0.044 | 11.83 | 0.825 | 0.031 |
| WBC | Mild-AKI | 7900 | 0.464 | 0.7 | 885 | 0.37 | 0.229 | 17,995 | 0.319 | 0.178 | 22,695 | 0.333 | 0.332 |
| Inflammatory Markers | Renal Function | T0 | T1 | T2 | T3 | ||||||||
|---|---|---|---|---|---|---|---|---|---|---|---|---|---|
| Cutoff | AUC | p-Value | Cutoff | AUC | p-Value | Cutoff | AUC | p-Value | Cutoff | AUC | p-Value | ||
| Presepsin | Mild-AKI | 713 | 0.791 | <0.001 | 651 | 0.772 | 0.001 | 1437 | 0.872 | <0.001 | 949 | 0.794 | 0.019 |
| Procalcitonin | Mild-AKI | 0.43 | 0.765 | 0.002 | 1.235 | 0.78 | 0.002 | 7.315 | 0.857 | 0.001 | 0.785 | 0.835 | 0.002 |
| WBC | Mild-AKI | 2325 | 0.394 | 0.187 | 10,820 | 0.462 | 0.66 | 11,840 | 0.596 | 0.331 | 9145 | 0.494 | 0.954 |
| Univariate Analysis | Multivariate Analysis | |||
|---|---|---|---|---|
| OR (95% CI) | p-Value | OR (95% CI) | p-Value | |
| Presepsin at T0 | 1.001 (1.000–1.002) | 0.006 | 1.001 (1.000–1.002) | 0.026 |
| Presepsin at T1 | 1.001 (1.000–1.002) | 0.006 | 0.998 (0.997–1.000) | 0.090 |
| Presepsin at T2 | 1.001 (1.000–1.002) | 0.037 | 1.002 (1.000–1.003) | 0.014 |
| Procalcitonin at T0 | 4.339 (1.260–14.944) | 0.020 | 2.252 (0.956–5.307) | 0.063 |
| Procalcitonin at T1 | 1.117 (1.017–1.226) | 0.020 | 0.782 (0.624–1.080) | 0.133 |
| Procalcitonin at T3 | 1.291 (1.025–1.626) | 0.030 | 1.824 (1.182–2.814) | 0.007 |
| SOFA score at T0 | 1.778 (1.439–2.198) | <0.001 | 1.292 (1.011–1.653) | 0.041 |
| APACHE-II score at T0 | 1.108 (1.041–1.179) | 0.001 | 1.135 (0.987–1.304) | 0.075 |
| Univariate Analysis | Multivariate Analysis | |||
|---|---|---|---|---|
| OR (95% CI) | p-Value | OR (95% CI) | p-Value | |
| Presepsin at T0 | 1.001 (1.000–1.002) | 0.005 | 1.000 (0.998–1.001) | 0.671 |
| Presepsin at T1 | 1.001 (1.000–1.001) | 0.034 | 1.002 (0.999–1.005) | 0.142 |
| Presepsin at T2 | 1.002 (1.000–1.003) | 0.007 | 1.002 (1.000–1.004) | 0.044 |
| Presepsin at T3 | 1.001 (1.000–1.002) | 0.017 | 1.001 (1.000–1.003) | 0.049 |
| Procalcitonin at T1 | 1.086 (1.015–1.162) | 0.017 | 0.967 (0.899–1.041) | 0.377 |
| Procalcitonin at T2 | 1.120 (1.006–1.246) | 0.038 | 0.963 (0.915–1.013) | 0.145 |
| SOFA score at T0 | 1.806 (1.331–2.451) | <0.001 | 1.009 (0.665–1.530) | 0.966 |
| APACHE-II score at T0 | 1.179 (1.075–1.294) | <0.001 | 1.297 (1.043–1.614) | 0.019 |
| Univariate Analysis | Multivariate Analysis | |||
|---|---|---|---|---|
| OR (95% CI) | p-Value | OR (95% CI) | p-Value | |
| Presepsin at T0 | 1.001 (0.999–1.002) | 0.276 | - | - |
| Presepsin at T1 | 1.001 (0.999–1.002) | 0.380 | - | - |
| Presepsin at T2 | 1.000 (0.999–1.001) | 0.462 | - | - |
| Presepsin at T3 | 1.000 (0.999–1.002) | 0.528 | - | - |
| Procalcitonin at T0 | 2.284 (0.711–5.322) | 0.357 | - | - |
| Procalcitonin at T1 | 1.031 (0.886–1.200) | 0.695 | - | - |
| Procalcitonin at T2 | 1.017 (0.943–1.097) | 0.664 | - | - |
| Procalcitonin at T3 | 1.031 (0.926–1.147) | 0.580 | - | - |
| SOFA score at T0 | 1.288 (0.696–2.384) | 0.420 | - | - |
| APACHE-II score at T0 | 1.044 (0.888–1.227) | 0.603 | - | - |
Publisher’s Note: MDPI stays neutral with regard to jurisdictional claims in published maps and institutional affiliations. |
© 2021 by the authors. Licensee MDPI, Basel, Switzerland. This article is an open access article distributed under the terms and conditions of the Creative Commons Attribution (CC BY) license (https://creativecommons.org/licenses/by/4.0/).
Share and Cite
Kim, C.H.; Kim, E.Y. Prediction of Postoperative Sepsis Based on Changes in Presepsin Levels of Critically Ill Patients with Acute Kidney Injury after Abdominal Surgery. Diagnostics 2021, 11, 2321. https://doi.org/10.3390/diagnostics11122321
Kim CH, Kim EY. Prediction of Postoperative Sepsis Based on Changes in Presepsin Levels of Critically Ill Patients with Acute Kidney Injury after Abdominal Surgery. Diagnostics. 2021; 11(12):2321. https://doi.org/10.3390/diagnostics11122321
Chicago/Turabian StyleKim, Chang Hwan, and Eun Young Kim. 2021. "Prediction of Postoperative Sepsis Based on Changes in Presepsin Levels of Critically Ill Patients with Acute Kidney Injury after Abdominal Surgery" Diagnostics 11, no. 12: 2321. https://doi.org/10.3390/diagnostics11122321
APA StyleKim, C. H., & Kim, E. Y. (2021). Prediction of Postoperative Sepsis Based on Changes in Presepsin Levels of Critically Ill Patients with Acute Kidney Injury after Abdominal Surgery. Diagnostics, 11(12), 2321. https://doi.org/10.3390/diagnostics11122321

