Analysis of Wavelet Coherence in Calf Agonist-Antagonist Muscles during Dynamic Fatigue
Abstract
1. Introduction
2. Materials and Methods
2.1. Subjects
2.2. Experimental Protocol
2.3. Data Processing
2.4. Synchrosqueezed Wavelet Transform
2.5. EMG-EMG Coherence
2.6. RMS, MF and Coactivation Ratio
2.7. Statistical Analysis
3. Results
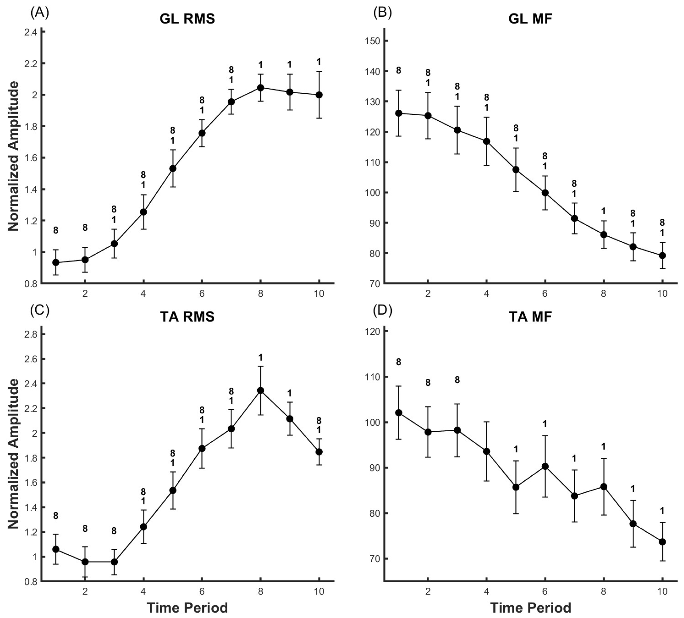
3.1. Gastrocnemius Lateralis (GL)
- (a)
- RMS: Compared to the onset of the motion, a significant increase occurred at time points T3 through T10 (p < 0.05). However, there were no significant changes noted when comparing T9 and T10 to T8.
- (b)
- MF: There was a significant decline at all points from T2 to T10 when compared to the beginning of the action (p < 0.05). In comparison to T8, T9 and T10 also exhibited a significant decrease (p < 0.05).
- (c)
- Low frequency band (8–60 Hz): Power significantly increased at time points T4 to T10, compared to the beginning of the action (p < 0.05). No significant power changes were observed in T9 and T10 relative to T8 (p < 0.05).
- (d)
- Frequency band above 100 Hz: Compared to the onset of the motion, power significantly increased at time points T5 through T10 (p < 0.05), while it significantly decreased in T9 and T10 when compared to T8 (p < 0.05).
3.2. Tibialis Anterior (TA)
- (a)
- RMS: Compared to the onset of the motion, there was a significant increase at time points T4 through T10 (p < 0.05). Nevertheless, a significant decrease was observed at T10 when compared to T8.
- (b)
- MF: A significant decline was observed at all time points from T5 through T10 when compared to the beginning of the action (p < 0.05). However, there were no significant changes noted when comparing T9 and T10 to T8.
- (c)
- Low frequency band (8–60 Hz): Compared to the onset of the motion, power significantly increased at time points T4 through T10 (p < 0.05). However, significant power decrease was observed at T10 when compared to T8 (p < 0.05).
- (d)
- Frequency band above 100 Hz: Compared to the onset of the motion, power significantly increased at time points T5 through T10 (p < 0.05), while it significantly decreased at T10 when compared to T8 (p < 0.05).
3.3. Co-Activation and EMG-EMG Coherence
4. Discussion
4.1. EMG Time Domain Changes in the Agonist GL and Antagonist TA Muscles
4.2. EMG Frequency Domain Changes in the Agonist GL and Antagonist TA Muscles
4.3. Coactivation of the Agonist GL and Antagonist TA Muscles
4.4. EMG-EMG Coherence of the Agonist GL and Antagonist TA Muscles
4.5. Limitation
5. Conclusions
Author Contributions
Funding
Institutional Review Board Statement
Informed Consent Statement
Data Availability Statement
Acknowledgments
Conflicts of Interest
References
- Liu, J.; Sheng, Y.; Liu, H. Corticomuscular Coherence and Its Applications: A Review. Front. Hum. Neurosci. 2019, 13, 100. [Google Scholar] [CrossRef] [PubMed]
- De Luca, C.J.; Mambrito, B. Voluntary Control of Motor Units in Human Antagonist Muscles: Coactivation and Reciprocal Activation. J. Neurophysiol. 1987, 58, 525–542. [Google Scholar] [CrossRef] [PubMed]
- Yang, Q.; Fang, Y.; Sun, C.-K.; Siemionow, V.; Ranganathan, V.K.; Khoshknabi, D.; Davis, M.P.; Walsh, D.; Sahgal, V.; Yue, G.H. Weakening of Functional Corticomuscular Coupling during Muscle Fatigue. Brain Res. 2009, 1250, 101–112. [Google Scholar] [CrossRef] [PubMed]
- Xie, P.; Cheng, S.; Zhang, Y.; Liu, Z.; Liu, H.; Chen, X.; Li, X. Direct Interaction on Specific Frequency Bands in Functional Corticomuscular Coupling. IEEE Trans. Biomed. Eng. 2020, 67, 762–772. [Google Scholar] [CrossRef] [PubMed]
- Mehrkanoon, S.; Breakspear, M.; Boonstra, T.W. The Reorganization of Corticomuscular Coherence during a Transition between Sensorimotor States. NeuroImage 2014, 100, 692–702. [Google Scholar] [CrossRef]
- Qiu, Q.; Cao, L.; Hao, D.; Yang, L.; Hillstrom, R.; Zheng, D. Muscle Extremely Low Frequency Magnetic Stimulation Eliminates the Effect of Fatigue on EEG-EMG Coherence during the Lateral Raise Task: A Pilot Quantitative Investigation. BioMed Res. Int. 2018, 2018, 1–8. [Google Scholar] [CrossRef]
- Yang, Q.; Siemionow, V.; Yao, W.; Sahgal, V.; Yue, G.H. Single-Trial EEG-EMG Coherence Analysis Reveals Muscle Fatigue-Related Progressive Alterations in Corticomuscular Coupling. IEEE Trans. Neural Syst. Rehabil. Eng. 2010, 18, 97–106. [Google Scholar] [CrossRef]
- Potvin, J.R.; Fuglevand, A.J. A Motor Unit-Based Model of Muscle Fatigue. PLoS Comput. Biol. 2017, 13, e1005581. [Google Scholar] [CrossRef]
- Al-Mulla, M.R.; Sepulveda, F.; Colley, M.; Al-Mulla, F. Statistical Class Separation Using sEMG Features Towards Automated Muscle Fatigue Detection and Prediction. In Proceedings of the 2009 2nd International Congress on Image and Signal Processing, Tianjin, China, 17–19 October 2009; IEEE: New York, NY, USA, 2009; pp. 1–5. [Google Scholar] [CrossRef]
- Kattla, S.; Lowery, M.M. Fatigue Related Changes in Electromyographic Coherence between Synergistic Hand Muscles. Exp. Brain Res. 2010, 202, 89–99. [Google Scholar] [CrossRef]
- Wang, L.; Lu, A.; Zhang, S.; Niu, W.; Zheng, F.; Gong, M. Fatigue-Related Electromyographic Coherence and Phase Synchronization Analysis between Antagonistic Elbow Muscles. Exp. Brain Res. 2015, 233, 971–982. [Google Scholar] [CrossRef]
- Latash, M.L. Muscle Coactivation: Definitions, Mechanisms, and Functions. J. Neurophysiol. 2018, 120, 88–104. [Google Scholar] [CrossRef] [PubMed]
- Lévénez, M.; Kotzamanidis, C.; Carpentier, A.; Duchateau, J. Spinal Reflexes and Coactivation of Ankle Muscles during a Submaximal Fatiguing Contraction. J. Appl. Physiol. 2005, 99, 1182–1188. [Google Scholar] [CrossRef] [PubMed]
- Lévénez, M.; Garland, S.J.; Klass, M.; Duchateau, J. Cortical and Spinal Modulation of Antagonist Coactivation During a Submaximal Fatiguing Contraction in Humans. J. Neurophysiol. 2008, 99, 554–563. [Google Scholar] [CrossRef]
- Al-Mulla, M.R.; Sepulveda, F.; Colley, M. A Review of Non-Invasive Techniques to Detect and Predict Localised Muscle Fatigue. Sensors 2011, 11, 3545–3594. [Google Scholar] [CrossRef] [PubMed]
- Grosse, P.; Cassidy, M.J.; Brown, P. EEG–EMG, MEG–EMG and EMG–EMG Frequency Analysis: Physiological Principles and Clinical Applications. Clin. Neurophysiol. 2002, 113, 1523–1531. [Google Scholar] [CrossRef] [PubMed]
- Hansen, S.; Hansen, N.L.; Christensen, L.O.D.; Petersen, N.T.; Nielsen, J.B. Coupling of Antagonistic Ankle Muscles during Co-Contraction in Humans. Exp. Brain Res. 2002, 146, 282–292. [Google Scholar] [CrossRef]
- Chen, Y.-T.; Li, S.; Magat, E.; Zhou, P.; Li, S. Motor Overflow and Spasticity in Chronic Stroke Share a Common Pathophysiological Process: Analysis of Within-Limb and Between-Limb EMG-EMG Coherence. Front. Neurol. 2018, 9, 795. [Google Scholar] [CrossRef]
- Wang, L.-J.; Yu, X.-M.; Shao, Q.-N.; Wang, C.; Yang, H.; Huang, S.-J.; Niu, W.-X. Muscle Fatigue Enhance Beta Band EMG-EMG Coupling of Antagonistic Muscles in Patients With Post-Stroke Spasticity. Front. Bioeng. Biotechnol. 2020, 8, 1007. [Google Scholar] [CrossRef]
- Sato, S.; Choi, J.T. Increased Intramuscular Coherence Is Associated with Temporal Gait Symmetry during Split-Belt Locomotor Adaptation. J. Neurophysiol. 2019, 122. [Google Scholar] [CrossRef]
- Brown, P. Cortical Drives to Human Muscle: The Piper and Related Rhythms. Prog. Neurobiol. 2000, 60, 97–108. [Google Scholar] [CrossRef]
- Gwin, J.T.; Ferris, D.P. Beta- and Gamma-Range Human Lower Limb Corticomuscular Coherence. Front. Hum. Neurosci. 2012, 6, 258. [Google Scholar] [CrossRef] [PubMed]
- Chen, M.; Lu, Z.; Zhou, P. A Dilemma for Coherence Calculation: Should Preprocessing Filters Be Applied? Front. Neurosci. 2022, 16, 838627. [Google Scholar] [CrossRef] [PubMed]
- Karlsson, S.; Yu, J.; Akay, M. Time-Frequency Analysis of Myoelectric Signals during Dynamic Contractions: A Comparative Study. IEEE Trans. Biomed. Eng. 2000, 47, 228–238. [Google Scholar] [CrossRef] [PubMed]
- Hari, L.M.; Venugopal, G.; Ramakrishnan, S. Dynamic Contraction and Fatigue Analysis in Biceps Brachii Muscles Using Synchrosqueezed Wavelet Transform and Singular Value Features. Proc. Inst. Mech. Eng. Part H 2022, 236, 208–217. [Google Scholar] [CrossRef]
- Webster, K.A.; Pietrosimone, B.G.; Gribble, P.A. Muscle Activation During Landing Before and After Fatigue in Individuals With or Without Chronic Ankle Instability. J. Athl. Train. 2016, 51, 629–636. [Google Scholar] [CrossRef]
- Trappe, S.; Trappe, T.; Lee, G.; Costill, D. Calf Muscle Strength in Humans. Int. J. Sports Med. 2001, 22, 186–191. [Google Scholar] [CrossRef]
- Borg, G.A. Psychophysical Bases of Perceived Exertion. Med. Sci. Sports Exerc. 1982, 14, 377–381. [Google Scholar] [CrossRef]
- Österberg, U.; Svantesson, U.; Takahashi, H.; Grimby, G. Torque, Work and EMG Development in a Heel-Rise Test. Clin. Biomech. 1998, 13, 344–350. [Google Scholar] [CrossRef]
- Merletti, R.; Cerone, G.L. Tutorial. Surface EMG Detection, Conditioning and Pre-Processing: Best Practices. J. Electromyogr. Kinesiol. 2020, 54, 102440. [Google Scholar] [CrossRef]
- Maraun, D.; Kurths, J.; Holschneider, M. Nonstationary Gaussian Processes in Wavelet Domain: Synthesis, Estimation, and Significance Testing. Phys. Rev. E 2007, 75, 016707. [Google Scholar] [CrossRef]
- Gonzalez-Izal, M.; Malanda, A.; Navarro-Amezqueta, I.; Gorostiaga, E.; Mallor, F.; Ibanez, J.; Izquierdo, M. EMG Spectral Indices and Muscle Power Fatigue during Dynamic Contractions. J. Electromyogr. Kinesiol. 2010, 20, 233–240. [Google Scholar] [CrossRef] [PubMed]
- Hunter, S.K.; Lepers, R.; MacGillis, C.J.; Enoka, R.M. Activation among the Elbow Flexor Muscles Differs When Maintaining Arm Position during a Fatiguing Contraction. J. Appl. Physiol. 2003, 94, 2439–2447. [Google Scholar] [CrossRef] [PubMed][Green Version]
- Hägg, G.M.; Luttmann, A.; Jäger, M. Methodologies for Evaluating Electromyographic Field Data in Ergonomics. J. Electromyogr. Kinesiol. 2000, 10, 301–312. [Google Scholar] [CrossRef] [PubMed]
- Henneman, E. Relation between Size of Neurons and Their Susceptibility to Discharge. Science 1957, 126, 1345–1347. [Google Scholar] [CrossRef]
- Keenan, K.G.; Farina, D.; Maluf, K.S.; Merletti, R.; Enoka, R.M. Influence of Amplitude Cancellation on the Simulated Surface Electromyogram. J. Appl. Physiol. 2005, 98, 120–131. [Google Scholar] [CrossRef]
- Benwell, N.M.; Sacco, P.; Hammond, G.R.; Byrnes, M.L.; Mastaglia, F.L.; Thickbroom, G.W. Short-Interval Cortical Inhibition and Corticomotor Excitability with Fatiguing Hand Exercise: A Central Adaptation to Fatigue? Exp. Brain Res. 2006, 170, 191–198. [Google Scholar] [CrossRef]
- von Tscharner, V. A Model Computation of How Synchronization and Clustering of Motor Unit Action Potentials Alter the Power Spectra of Electromyograms. Biomed. Signal Process. Control. 2019, 47, 344–349. [Google Scholar] [CrossRef]
- Walker, S.; Davis, L.; Avela, J.; Häkkinen, K. Neuromuscular Fatigue during Dynamic Maximal Strength and Hypertrophic Resistance Loadings. J. Electromyogr. Kinesiol. 2012, 22, 356–362. [Google Scholar] [CrossRef]
- Wang, L.; Song, X.; Yang, H.; Wang, C.; Shao, Q.; Tao, H.; Qiao, M.; Niu, W.; Liu, X. Are the Antagonist Muscle Fatigued during a Prolonged Isometric Fatiguing Elbow Flexion at Very Low Forces for Young Adults? Front. Physiol. 2022, 13, 956639. [Google Scholar] [CrossRef]
- Kotzamanidis, C. Are the Antagonist Muscles Fatigued during a Fatigue Task of Agonist Muscles? IES 2004, 12, 167–171. [Google Scholar] [CrossRef]
- Dietz, V. Spinal Cord Pattern Generators for Locomotion. Clin. Neurophysiol. 2003, 114, 1379–1389. [Google Scholar] [CrossRef] [PubMed]
- Norton, J.A.; Gorassini, M.A. Changes in Cortically Related Intermuscular Coherence Accompanying Improvements in Locomotor Skills in Incomplete Spinal Cord Injury. J. Neurophysiol. 2006, 95, 2580–2589. [Google Scholar] [CrossRef] [PubMed]
- Conway, B.A.; Halliday, D.M.; Farmer, S.F.; Shahani, U.; Maas, P.; Weir, A.I.; Rosenberg, J.R. Synchronization between Motor Cortex and Spinal Motoneuronal Pool during the Performance of a Maintained Motor Task in Man. J. Physiol. 1995, 489, 917–924. [Google Scholar] [CrossRef]
- Liu, X.; Zhou, M.; Geng, Y.; Meng, L.; Wan, H.; Ren, H.; Zhang, X.; Dai, C.; Chen, W.; Ye, X. Changes in Synchronization of the Motor Unit in Muscle Fatigue Condition during the Dynamic and Isometric Contraction in the Biceps Brachii Muscle. Neurosci. Lett. 2021, 761, 136101. [Google Scholar] [CrossRef] [PubMed]
- Chowdhury, S.K.; Nimbarte, A.D.; Jaridi, M.; Creese, R.C. Discrete Wavelet Transform Analysis of Surface Electromyography for the Fatigue Assessment of Neck and Shoulder Muscles. J. Electromyogr. Kinesiol. 2013, 23, 995–1003. [Google Scholar] [CrossRef] [PubMed]
- Kline, J.C.; De Luca, C.J. Synchronization of Motor Unit Firings: An Epiphenomenon of Firing Rate Characteristics Not Common Inputs. J. Neurophysiol. 2016, 115, 178–192. [Google Scholar] [CrossRef]
- von Tscharner, V.; Ullrich, M.; Mohr, M.; Comaduran Marquez, D.; Nigg, B.M. Beta, Gamma Band, and High-Frequency Coherence of EMGs of Vasti Muscles Caused by Clustering of Motor Units. Exp. Brain Res. 2018, 236, 3065–3075. [Google Scholar] [CrossRef]
- Hogan, N. Adaptive Control of Mechanical Impedance by Coactivation of Antagonist Muscles. IEEE Trans. Autom. Control. 1984, 29, 681–690. [Google Scholar] [CrossRef]
- Benitez, B.; Dinyer-McNeely, T.K.; McCallum, L.; Kwak, M.; Succi, P.J.; Bergstrom, H.C. Load-Specific Performance Fatigability, Coactivation, and Neuromuscular Responses to Fatiguing Forearm Flexion Muscle Actions in Women. J. Strength Cond. Res. 2023, 37, 769–779. [Google Scholar] [CrossRef]
- Brown, P.; Farmer, S.; Halliday, D.; Marsden, J.; Rosenberg, J. Coherent Cortical and Muscle Discharge in Cortical Myoclonus. Brain 1999, 122, 461–472. [Google Scholar] [CrossRef]
- Chang, Y.-J.; Chou, C.-C.; Chan, H.-L.; Hsu, M.-J.; Yeh, M.-Y.; Fang, C.-Y.; Chuang, Y.-F.; Wei, S.-H.; Lien, H.-Y. Increases of Quadriceps Inter-Muscular Cross-Correlation and Coherence during Exhausting Stepping Exercise. Sensors 2012, 12, 16353–16367. [Google Scholar] [CrossRef] [PubMed]
- Aumann, T.D.; Prut, Y. Do Sensorimotor β-Oscillations Maintain Muscle Synergy Representations in Primary Motor Cortex? Trends Neurosci. 2015, 38, 77–85. [Google Scholar] [CrossRef]
- Laine, C.M.; Valero-Cuevas, F.J. Intermuscular Coherence Reflects Functional Coordination. J. Neurophysiol. 2017, 118, 1775–1783. [Google Scholar] [CrossRef]
- Baker, S.N.; Olivier, E.; Lemon, R.N. Coherent Oscillations in Monkey Motor Cortex and Hand Muscle EMG Show Task-Dependent Modulation. J. Physiol. 1997, 501, 225–241. [Google Scholar] [CrossRef]
- Chakarov, V.; Naranjo, J.R.; Schulte-Mönting, J.; Omlor, W.; Huethe, F.; Kristeva, R. Beta-Range EEG-EMG Coherence with Isometric Compensation for Increasing Modulated Low-Level Forces. J. Neurophysiol. 2009, 102, 1115–1120. [Google Scholar] [CrossRef] [PubMed]
- Reyes, A.; Laine, C.M.; Kutch, J.J.; Valero-Cuevas, F.J. Beta Band Corticomuscular Drive Reflects Muscle Coordination Strategies. Front. Comput. Neurosci. 2017, 11, 17. [Google Scholar] [CrossRef] [PubMed]
- Velázquez-Pérez, L.; Tünnerhoff, J.; Rodríguez-Labrada, R.; Torres-Vega, R.; Ruiz-Gonzalez, Y.; Belardinelli, P.; Medrano-Montero, J.; Canales-Ochoa, N.; González-Zaldivar, Y.; Vazquez-Mojena, Y.; et al. Early Corticospinal Tract Damage in Prodromal SCA2 Revealed by EEG-EMG and EMG-EMG Coherence. Clin. Neurophysiol. 2017, 128, 2493–2502. [Google Scholar] [CrossRef]
- Sun, J.; Liu, G.; Sun, Y.; Lin, K.; Zhou, Z.; Cai, J. Application of Surface Electromyography in Exercise Fatigue: A Review. Front. Syst. Neurosci. 2022, 16, 893275. [Google Scholar] [CrossRef]





Disclaimer/Publisher’s Note: The statements, opinions and data contained in all publications are solely those of the individual author(s) and contributor(s) and not of MDPI and/or the editor(s). MDPI and/or the editor(s) disclaim responsibility for any injury to people or property resulting from any ideas, methods, instructions or products referred to in the content. |
© 2024 by the authors. Licensee MDPI, Basel, Switzerland. This article is an open access article distributed under the terms and conditions of the Creative Commons Attribution (CC BY) license (https://creativecommons.org/licenses/by/4.0/).
Share and Cite
Ni, X.; Ieong, L.; Xiang, M.; Liu, Y. Analysis of Wavelet Coherence in Calf Agonist-Antagonist Muscles during Dynamic Fatigue. Life 2024, 14, 1137. https://doi.org/10.3390/life14091137
Ni X, Ieong L, Xiang M, Liu Y. Analysis of Wavelet Coherence in Calf Agonist-Antagonist Muscles during Dynamic Fatigue. Life. 2024; 14(9):1137. https://doi.org/10.3390/life14091137
Chicago/Turabian StyleNi, Xindi, Loi Ieong, Mai Xiang, and Ye Liu. 2024. "Analysis of Wavelet Coherence in Calf Agonist-Antagonist Muscles during Dynamic Fatigue" Life 14, no. 9: 1137. https://doi.org/10.3390/life14091137
APA StyleNi, X., Ieong, L., Xiang, M., & Liu, Y. (2024). Analysis of Wavelet Coherence in Calf Agonist-Antagonist Muscles during Dynamic Fatigue. Life, 14(9), 1137. https://doi.org/10.3390/life14091137

