Palmitoylethanolamide (PEA) for Prevention of Gastroesophageal Inflammation: Insights from In Vitro Models
Abstract
1. Introduction
2. Materials and Methods
2.1. Study Treatments and Dose Selection
2.2. Cell Cultures
2.3. MTT Vitality Assays
2.4. Cytokine Analysis
2.5. Synergy Analysis
2.6. Statistical Analysis
3. Results
3.1. Effect of Study Treatments on Cell Viability
3.2. Effect of LPS and HCl Exposure on Inflammatory Cytokine Secretion
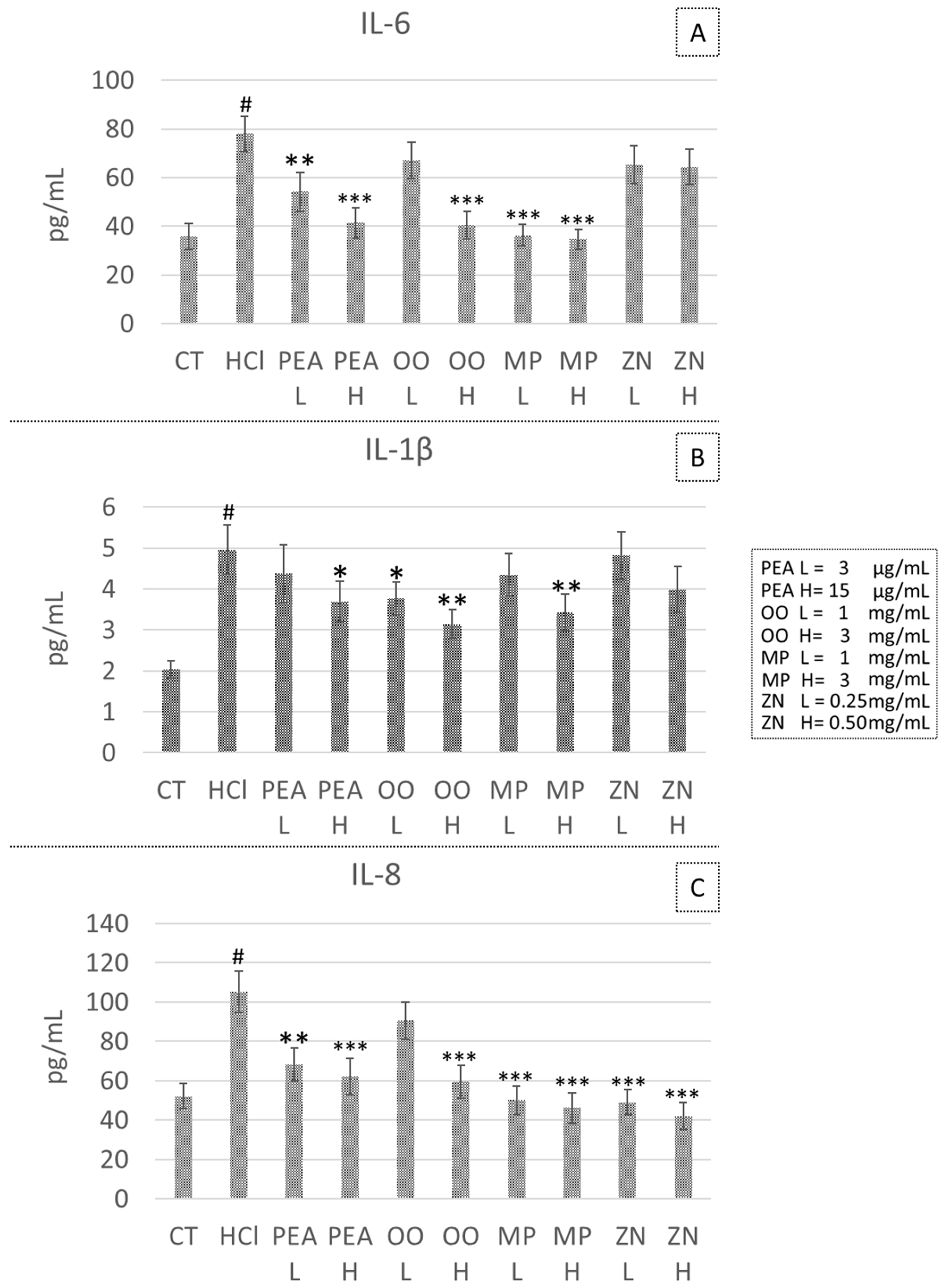
3.3. Effect of PEA, OO, MP and ZN on Cytokine Secretion in the HCl-Induced GERD Model
3.4. Effect PEA, OO, MP and ZN on Cytokine Secretion in the LPS-Induced Inflammatory Model
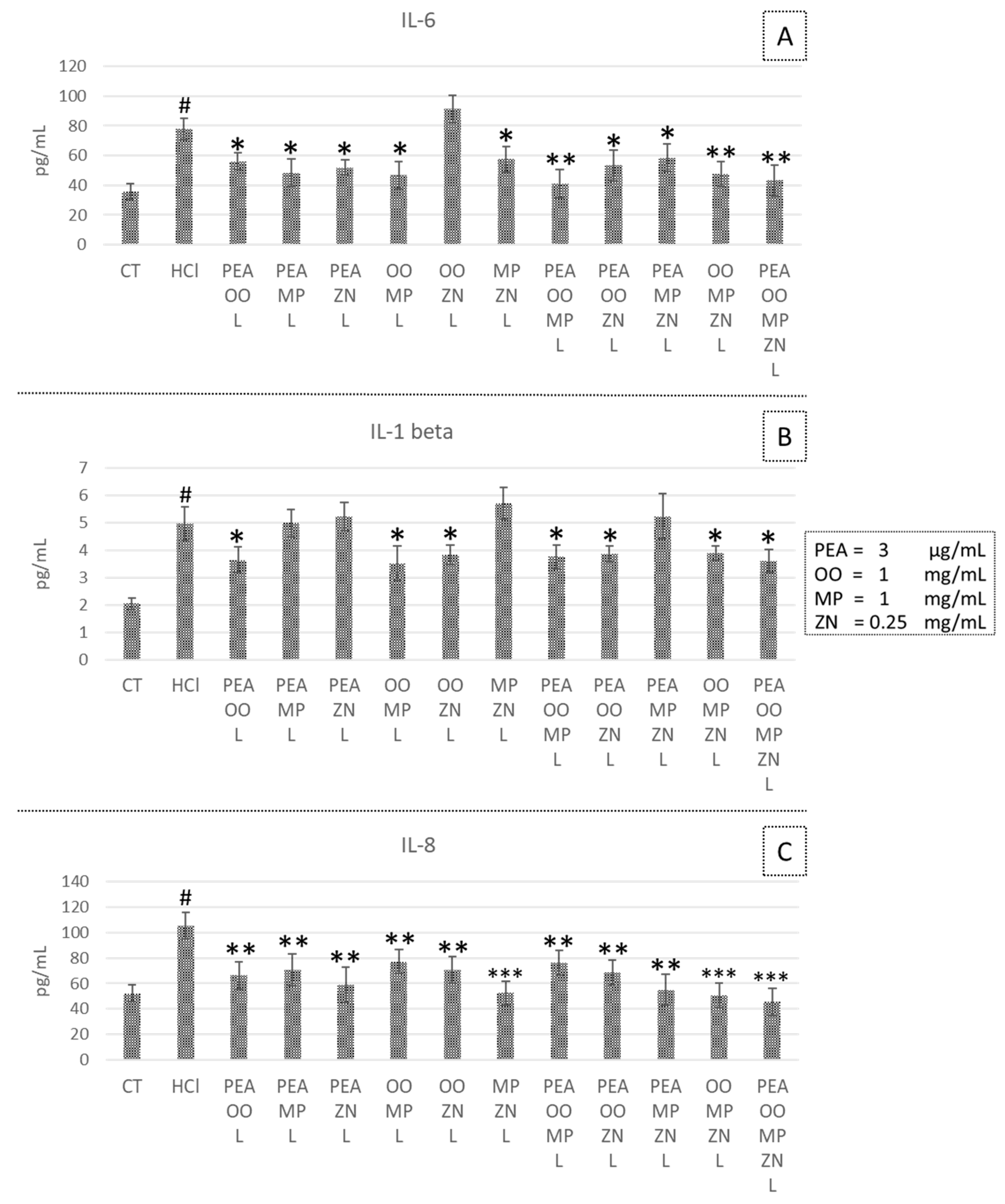
3.5. Effects of Combined PEA, OO, MP and ZN on Cytokine Secretion in HCl- and LPS-Induced Inflammation
4. Discussion
5. Conclusions
Supplementary Materials
Author Contributions
Funding
Institutional Review Board Statement
Informed Consent Statement
Data Availability Statement
Conflicts of Interest
References
- Maret-Ouda, J.; Markar, S.R.; Lagergren, J. Gastroesophageal Reflux Disease. JAMA 2020, 324, 2565. [Google Scholar] [CrossRef] [PubMed]
- Eusebi, L.H.; Ratnakumaran, R.; Yuan, Y.; Solaymani-Dodaran, M.; Bazzoli, F.; Ford, A.C. Global prevalence of, and risk factors for, gastro-oesophageal reflux symptoms: A meta-analysis. Gut 2018, 67, 430–440. [Google Scholar] [CrossRef] [PubMed]
- Mikami, D.J.; Murayama, K.M. Physiology and pathogenesis of gastroesophageal reflux disease. Surg. Clin. N. Am. 2015, 95, 515–525. [Google Scholar] [CrossRef] [PubMed]
- Surdea-Blaga, T.; Negrutiu, D.E.; Palage, M.; Dumitrascu, D.L. Food and Gastroesophageal Reflux Disease. Curr. Med. Chem. 2019, 26, 3497–3511. [Google Scholar] [CrossRef]
- Zheng, Z.; Nordenstedt, H.; Pedersen, N.L.; Lagergren, J.; Ye, W. Lifestyle factors and risk for symptomatic gastroesophageal reflux in monozygotic twins. Gastroenterology 2007, 132, 87–95. [Google Scholar] [CrossRef] [PubMed]
- Richter, J.E.; Rubenstein, J.H. Presentation and Epidemiology of Gastroesophageal Reflux Disease. Gastroenterology 2018, 154, 267–276. [Google Scholar] [CrossRef]
- Zhang, D.; Liu, S.; Li, Z.; Wang, R. Global, regional and national burden of gastroesophageal reflux disease, 1990–2019: Update from the GBD 2019 study. Ann. Med. 2022, 54, 1372–1384. [Google Scholar] [CrossRef]
- Vakil, N.; van Zanten, S.V.; Kahrilas, P.; Dent, J.; Jones, R.; Global Consensus Group. The Montreal definition and classification of gastroesophageal reflux disease: A global evidence-based consensus. Am. J. Gastroenterol. 2006, 101, 1900–1943. [Google Scholar] [CrossRef]
- Calabrese, C.; Marzano, V.; Urbani, A.; Lazzarini, G.; Valerii, M.C.; Liguori, G.; Di Molfetta, S.; Rizzello, F.; Gionchetti, P.; Campieri, M.; et al. Distinct proteomic profiles characterise non-erosive from erosive reflux disease. Aliment. Pharmacol. Ther. 2011, 34, 982–993. [Google Scholar] [CrossRef]
- Umezawa, M.; Kawami, N.; Hoshino, S.; Hoshikawa, Y.; Koizumi, E.; Takenouchi, N.; Hanada, Y.; Kaise, M.; Iwakiri, K. Efficacy of On-Demand Therapy Using 20-mg Vonoprazan for Mild Reflux Esophagitis. Digestion 2018, 97, 309–315. [Google Scholar] [CrossRef]
- Tan, J.; Jeffries, S.; Carr, R. A Review of Histamine-2 Receptor Antagonist and Proton Pump Inhibitor Therapy for Gastroesophageal Reflux Disease in Neonates and Infants. Paediatr. Drugs 2023, 25, 557–576. [Google Scholar] [CrossRef] [PubMed]
- Edinoff, A.N.; Wu, N.W.; Parker, K.; Dudossat, E.; Linquest, L.; Flanagan, C.J.; Dharani, A.; Patel, H.; Willett, O.; Cornett, E.M.; et al. Proton Pump Inhibitors, Kidney Damage, and Mortality: An Updated Narrative Review. Adv. Ther. 2023, 40, 2693–2709. [Google Scholar] [CrossRef] [PubMed]
- Bhatnagar, M.S.; Choudhari, S.; Pawar, D.; Sharma, A. Long-Term Use of Proton-Pump Inhibitors: Unravelling the Safety Puzzle. Cureus 2024, 16, e52773. [Google Scholar] [CrossRef] [PubMed]
- Farrell, B.; Pottie, K.; Thompson, W.; Boghossian, T.; Pizzola, L.; Rashid, F.J.; Rojas-Fernandez, C.; Walsh, K.; Welch, V.; Moayyedi, P. Deprescribing proton pump inhibitors: Evidence-based clinical practice guideline. Can. Fam. Physician 2017, 63, 354–364. [Google Scholar]
- Shin, J.K.; Park, J.H.; Kim, K.S.; Kang, T.H.; Kim, H.S. Antiulcer Activity of Steamed Ginger Extract against Ethanol/HCl-Induced Gastric Mucosal Injury in Rats. Molecules 2020, 25, 4663. [Google Scholar] [CrossRef]
- Goel, R.K.; Gupta, S.; Shankar, R.; Sanyal, A.K. Anti-ulcerogenic effect of banana powder (Musa sapientum var. paradisiaca) and its effect on mucosal resistance. J. Ethnopharmacol. 1986, 18, 33–44. [Google Scholar] [CrossRef]
- Fiorini, G.; Saracino, I.M.; Pavoni, M.; Saccomanno, L.; Vaira, D. Efficacy of a new nutraceutical formulation (CHETOGERD®) in patients with nonerosive reflux disease (NERD): A prospective observational study. Intern. Emerg. Med. 2020, 15, 1265–1269. [Google Scholar] [CrossRef]
- Malfa, G.A.; Di Giacomo, C.; Cardia, L.; Sorbara, E.E.; Mannucci, C.; Calapai, G. A standardized extract of Opuntia ficus-indica (L.) Mill and Olea europaea L. improves gastrointestinal discomfort: A double-blinded randomized-controlled study. Phytother. Res. 2021, 35, 3756–3768. [Google Scholar] [CrossRef]
- Alecci, U.; Bonina, F.; Bonina, A.; Rizza, L.; Inferrera, S.; Mannucci, C.; Calapai, G. Efficacy and Safety of a Natural Remedy for the Treatment of Gastroesophageal Reflux: A Double-Blinded Randomized-Controlled Study. Evid. Based Complement. Alternat. Med. 2016, 2016, 2581461. [Google Scholar] [CrossRef]
- Branković, M.; Gmizić, T.; Dukić, M.; Zdravković, M.; Daskalović, B.; Mrda, D.; Nikolić, N.; Brajković, M.; Gojgić, M.; Lalatović, J.; et al. Therapeutic Potential of Palmitoylethanolamide in Gastrointestinal Disorders. Antioxidants 2024, 13, 600. [Google Scholar] [CrossRef]
- Han, Y.; Yang, K.H.; He, D.X.; Yu, C.F.; Tao, L.; Liao, C.Y.; Cai, B.X.; Liu, Z.G.; Qiu, Y.; Wu, Y.L. Effect of palmitoylethanolamide on degeneration of a human-derived retinal pigment epithelial cell induced by all-trans retinal. Int. J. Ophthalmol. 2023, 16, 191–200. [Google Scholar] [CrossRef] [PubMed]
- Yusof, Y.A.M.; Abdul-Aziz, A. Effects of Zingiber officinale on superoxide dismutase, glutathione peroxidase, catalase, glutathione and malondialdehyde content in HepG2 cell line. Malays. J. Biochem. Mol. Biol. 2005, 11, 36–41. Available online: http://www.researchgate.net/publication/267784096 (accessed on 8 July 2024).
- Rafiee, P.; Nelson, V.M.; Manley, S.; Wellner, M.; Floer, M.; Binion, D.G.; Shaker, R. Effect of curcumin on acidic pH-induced expression of IL-6 and IL-8 in human esophageal epithelial cells (HET-1A): Role of PKC, MAPKs, and NF-kappaB. Am. J. Physiol. Gastrointest. Liver Physiol. 2009, 296, G388–G398. [Google Scholar] [CrossRef] [PubMed]
- Truzzi, F.; Valerii, M.C.; Tibaldi, C.; Zhang, Y.; Abduazizova, V.; Spisni, E.; Dinelli, G. Are Supplements Safe? Effects of Gallic and Ferulic Acids on In Vitro Cell Models. Nutrients. 2020, 12, 1591. [Google Scholar] [CrossRef]
- Ianevski, A.; Giri, A.K.; Aittokallio, T. SynergyFinder 3.0: An interactive analysis and consensus interpretation of multi-drug synergies across multiple samples. Nucleic Acids Res. 2022, 50, W739–W743. [Google Scholar] [CrossRef]
- Nadatani, Y.; Huo, X.; Zhang, X.; Yu, C.; Cheng, E.; Zhang, Q.; Dunbar, K.B.; Theiss, A.; Pham, T.H.; Wang, D.H.; et al. NOD-Like Receptor Protein 3 Inflammasome Priming and Activation in Barrett’s Epithelial Cells. Cell. Mol. Gastroenterol. Hepatol. 2016, 2, 439–453. [Google Scholar] [CrossRef]
- Brigotti, M.; Carnicelli, D.; Arfilli, V.; Tamassia, N.; Borsetti, F.; Fabbri, E.; Tazzari, P.L.; Ricci, F.; Pagliaro, P.; Spisni, E.; et al. Identification of TLR4 as the receptor that recognizes Shiga toxins in human neutrophils. J. Immunol. 2013, 191, 4748–4758. [Google Scholar] [CrossRef]
- Petrosino, S.; Di Marzo, V. The pharmacology of palmitoylethanolamide and first data on the therapeutic efficacy of some of its new formulations. Br. J. Pharmacol. 2017, 174, 1349–1365. [Google Scholar] [CrossRef]
- Korbecki, J.; Bobiński, R.; Dutka, M. Self-regulation of the inflammatory response by peroxisome proliferator-activated receptors. Inflamm. Res. Off. J. Eur. Histamine Res. Soc. 2019, 68, 443–458. [Google Scholar] [CrossRef]
- Saha, L. Role of peroxisome proliferator-activated receptors alpha and gamma in gastric ulcer: An overview of experimental evidences. World J. Gastrointest. Pharmacol. Ther. 2015, 6, 120–126. [Google Scholar] [CrossRef]
- Ryberg, E.; Larsson, N.; Sjögren, S.; Hjorth, S.; Hermansson, N.O.; Leonova, J.; Elebring, T.; Nilsson, K.; Drmota, T.; Greasley, P. The orphan receptor GPR55 is a novel cannabinoid receptor. Br. J. Pharmacol. 2007, 152, 1092–1101. [Google Scholar] [CrossRef] [PubMed]
- Schicho, R.; Storr, M. A potential role for GPR55 in gastrointestinal functions. Curr. Opin. Pharmacol. 2012, 12, 653–658. [Google Scholar] [CrossRef] [PubMed]
- Hryhorowicz, S.; Kaczmarek-Ryś, M.; Zielińska, A.; Scott, R.J.; Słomski, R.; Pławski, A. Endocannabinoid System as a Promising Therapeutic Target in Inflammatory Bowel Disease—A Systematic Review. Front. Immunol. 2021, 12, 790803. [Google Scholar] [CrossRef] [PubMed]
- Calabrese, C.; Spisni, E.; Liguori, G.; Lazzarini, G.; Valerii, M.C.; Strillacci, A.; Gionchetti, P.; Pagotto, U.; Campieri, M.; Rizzello, F. Potential role of the cannabinoid receptor CB in the pathogenesis of erosive and non-erosive gastro-oesophageal reflux disease. Aliment. Pharmacol. Ther. 2010, 32, 603–611. [Google Scholar] [CrossRef] [PubMed]
- Beaumont, H.; Jensen, J.; Carlsson, A.; Ruth, M.; Lehmann, A.; Boeckxstaens, G. Effect of, a cannabinoid receptor agonist, on the triggering of transient lower oesophageal sphincter relaxations in dogs and humans. Br. J. Pharmacol. 2009, 156, 153–162. [Google Scholar] [CrossRef]
- Bitler, C.M.; Viale, T.M.; Damaj, B.; Crea, R. Hydrolyzed olive vegetation water in mice has anti-inflammatory activity. J. Nutr. 2005, 135, 1475–1479. [Google Scholar] [CrossRef]
- Smeriglio, A.; Bonasera, S.; Germanò, M.P.; D’Angelo, V.; Barreca, D.; Denaro, M.; Monforte, M.T.; Galati, E.M.; Trombetta, D. Opuntia ficus-indica (L.) Mill. fruit as source of betalains with antioxidant, cytoprotective, and anti-angiogenic properties. Phytother. Res. 2019, 33, 1526–1537. [Google Scholar] [CrossRef]
- Rao, U.S.M.; Ahmad, B.; Mohd, K. In vitro nitric oxide scavenging and anti inflammatory activities of different solvent extracts of various parts of musa paradisiaca. Malays. J. Anal. Sci. 2016, 20, 1191–1202. [Google Scholar] [CrossRef]
- Kim, J.; Soh, S.Y.; Shin, J.; Cho, C.W.; Choi, Y.H.; Nam, S.Y. Bioactives in cactus (Opuntia ficus-indica) stems possess potent antioxidant and pro-apoptotic activities through COX-2 involvement. J. Sci. Food Agric. 2015, 95, 2601–2606. [Google Scholar] [CrossRef]
- Kouka, P.; Priftis, A.; Stagos, D.; Angelis, A.; Stathopoulos, P.; Xinos, N.; Skaltsounis, A.L.; Mamoulakis, C.; Tsatsakis, A.M.; Spandidos, D.A.; et al. Assessment of the antioxidant activity of an olive oil total polyphenolic fraction and hydroxytyrosol from a Greek Olea europea variety in endothelial cells and myoblasts. Int. J. Mol. Med. 2017, 40, 703–712. [Google Scholar] [CrossRef]
- Ayustaningwarno, F.; Anjani, G.; Ayu, A.M.; Fogliano, V. A critical review of Ginger’s (Zingiber officinale) antioxidant, anti-inflammatory, and immunomodulatory activities. Front. Nutr. 2024, 11, 1364836. [Google Scholar] [CrossRef] [PubMed]
- Kongsui, R.; Jittiwat, J. Ameliorative effects of 6-gingerol in cerebral ischemia are mediated via the activation of antioxidant and anti-inflammatory pathways. Biomed. Rep. 2023, 18, 26. [Google Scholar] [CrossRef] [PubMed]
- Zavala-Solares, M.R.; Fonseca-Camarillo, G.; Valdovinos, M.; Granados, J.; Grajales-Figueroa, G.; Zamora-Nava, L.; Aguilar-Olivos, N.; Valdovinos-García, L.R.; Yamamoto-Furusho, J.K. Gene expression profiling of inflammatory cytokines in esophageal biopsies of different phenotypes of gastroesophageal reflux disease: A cross-sectional study. BMC Gastroenterol. 2021, 21, 201. [Google Scholar] [CrossRef] [PubMed]
- Cremon, C.; Stanghellini, V.; Barbaro, M.R.; Cogliandro, R.F.; Bellacosa, L.; Santos, J.; Vicario, M.; Pigrau, M.; Alonso Cotoner, C.; Lobo, B.; et al. Randomised clinical trial: The analgesic properties of dietary supplementation with palmitoylethanolamide and polydatin in irritable bowel syndrome. Aliment. Pharmacol. Ther. 2017, 45, 909–922. [Google Scholar] [CrossRef]
- Mao, Q.Q.; Xu, X.Y.; Cao, S.Y.; Gan, R.Y.; Corke, H.; Beta, T.; Li, H.B. Bioactive Compounds and Bioactivities of Ginger (Zingiber officinale Roscoe). Foods 2019, 8, 185. [Google Scholar] [CrossRef]
- Aregawi, L.G.; Shokrolahi, M.; Gebremeskel, T.G.; Zoltan, C. The Effect of Ginger Supplementation on the Improvement of Dyspeptic Symptoms in Patients with Functional Dyspepsia. Cureus 2023, 15, e46061. [Google Scholar] [CrossRef]
- Ajithkumar, N.J.; Bharathi, D.R.; Kousar, H.; Siddiq, A.; Nataraj, G.R.; Bagalkot, S. Musa paradisiaca—A Review on Traditional uses and Pharmacological Activities. RGUHS J. Pharm. Sci. 2017, 7, 20–23. [Google Scholar]
- Arun, K.B.; Aravind, M.; Reshmitha, R.; Sithara, T.; Prakasan, N. Musa paradisiaca inflorescence induces human colon cancer cell death by modulating cascades of transcriptional events. Food Funct. 2018, 9, 511–524. [Google Scholar] [CrossRef]
- Madrigal-Santillán, E.; Portillo-Reyes, J.; Madrigal-Bujaidar, E.; Sánchez-Gutiérrez, M.; Izquierdo-Vega, J.A.; Izquierdo-Vega, J.; Delgado-Olivares, L.; Vargas-Mendoza, N.; Álvarez-González, I.; Morales-González, Á.; et al. Opuntia spp. in Human Health: A Comprehensive Summary on Its Pharmacological, Therapeutic and Preventive Properties. Part 2. Plants 2022, 11, 2333. [Google Scholar] [CrossRef]
- Hashmi, M.A.; Khan, A.; Hanif, M.; Farooq, U.; Perveen, S. Traditional Uses, Phytochemistry, and Pharmacology of Olea europaea (Olive). Evid. Based Complement. Altern. Med. Ecam. 2015, 2015, 541591. [Google Scholar] [CrossRef]





| Binary mixtures | PEA 3 µg/mL+ OO 1 mg/mL |
| PEA 3 µg/mL + MP 1 mg/mL | |
| PEA 3 µg/mL + ZN 0.25 mg/mL | |
| OO 1 mg/mL + MP 1 mg/mL | |
| OO 1 mg/mL + ZN 0.25 mg/mL | |
| MP 1 mg/mL+ ZN 0.25 mg/mL | |
| Ternary mixtures | PEA 3 µg/mL + OO 1 mg/mL + MP 1 mg/mL |
| PEA 3 µg/mL+ OO 1 mg/mL + ZN 0.25 mg/mL | |
| PEA 3 µg/mL+ MP 1 mg/mL + ZN 0.25 mg/mL | |
| OO 1 mg/mL + MP 1 mg/mL+ ZN 0.25 mg/mL | |
| Quaternary mixture | PEA 3 µg/mL+ OO 1 mg/mL + MP 1 mg/mL + ZN 0.25 mg/mL |
Disclaimer/Publisher’s Note: The statements, opinions and data contained in all publications are solely those of the individual author(s) and contributor(s) and not of MDPI and/or the editor(s). MDPI and/or the editor(s) disclaim responsibility for any injury to people or property resulting from any ideas, methods, instructions or products referred to in the content. |
© 2024 by the authors. Licensee MDPI, Basel, Switzerland. This article is an open access article distributed under the terms and conditions of the Creative Commons Attribution (CC BY) license (https://creativecommons.org/licenses/by/4.0/).
Share and Cite
Spigarelli, R.; Calabrese, C.; Spisni, E.; Vinciguerra, S.; Saracino, I.M.; Dussias, N.K.; Filippone, E.; Valerii, M.C. Palmitoylethanolamide (PEA) for Prevention of Gastroesophageal Inflammation: Insights from In Vitro Models. Life 2024, 14, 1221. https://doi.org/10.3390/life14101221
Spigarelli R, Calabrese C, Spisni E, Vinciguerra S, Saracino IM, Dussias NK, Filippone E, Valerii MC. Palmitoylethanolamide (PEA) for Prevention of Gastroesophageal Inflammation: Insights from In Vitro Models. Life. 2024; 14(10):1221. https://doi.org/10.3390/life14101221
Chicago/Turabian StyleSpigarelli, Renato, Carlo Calabrese, Enzo Spisni, Sara Vinciguerra, Ilaria Maria Saracino, Nikolas Kostantine Dussias, Eleonora Filippone, and Maria Chiara Valerii. 2024. "Palmitoylethanolamide (PEA) for Prevention of Gastroesophageal Inflammation: Insights from In Vitro Models" Life 14, no. 10: 1221. https://doi.org/10.3390/life14101221
APA StyleSpigarelli, R., Calabrese, C., Spisni, E., Vinciguerra, S., Saracino, I. M., Dussias, N. K., Filippone, E., & Valerii, M. C. (2024). Palmitoylethanolamide (PEA) for Prevention of Gastroesophageal Inflammation: Insights from In Vitro Models. Life, 14(10), 1221. https://doi.org/10.3390/life14101221

