Women’s Sexual Dysfunctions Following Stem Cell Transplant and the Impact on Couple Relationship
Abstract
:1. Introduction
2. Materials and Methods
Statistical Analysis
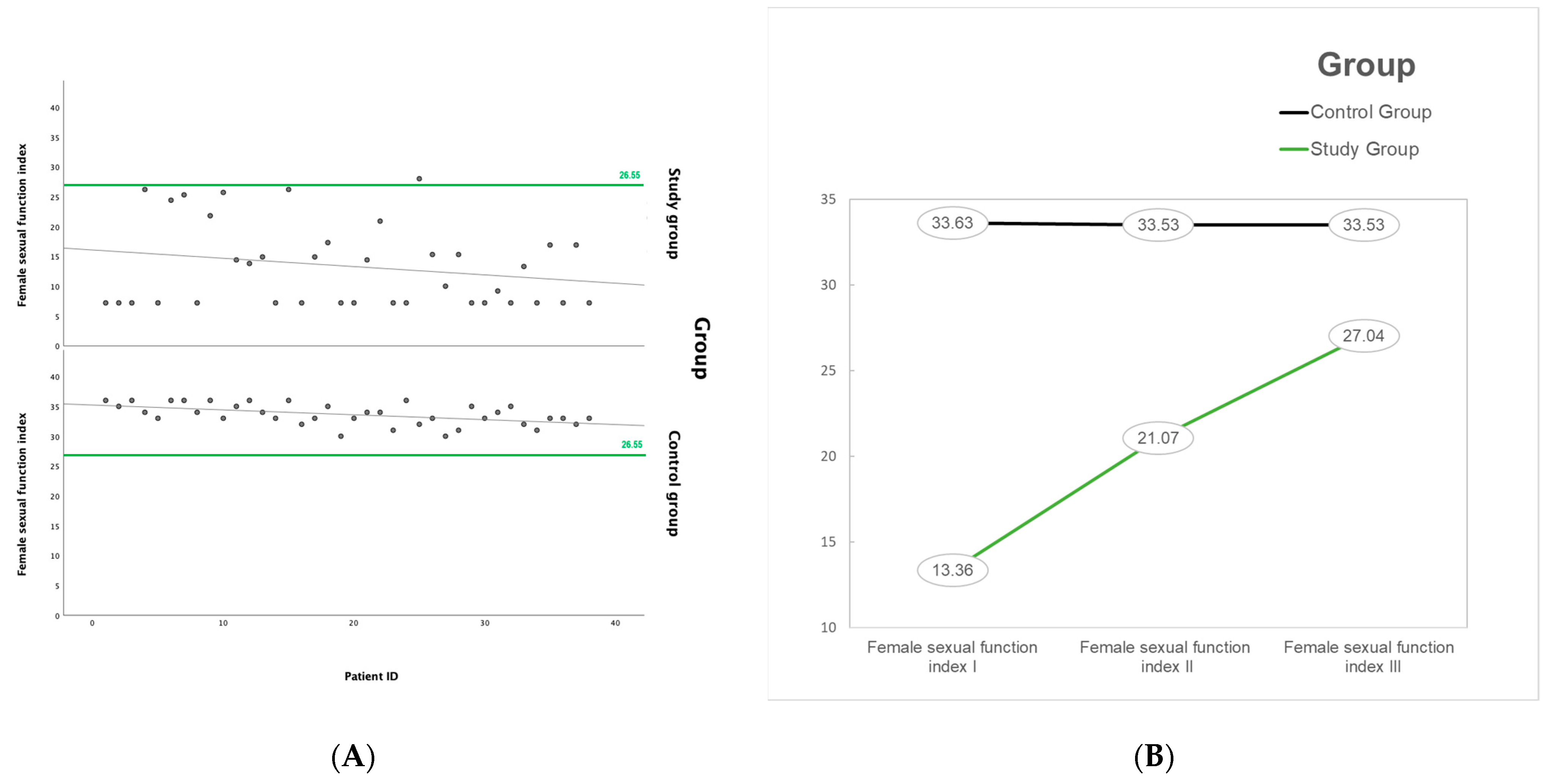
3. Results
4. Discussion
5. Conclusions
Author Contributions
Funding
Institutional Review Board Statement
Informed Consent Statement
Data Availability Statement
Conflicts of Interest
References
- Snowden, J.A.; Sánchez-Ortega, I.; Corbacioglu, S.; Basak, G.W.; Chabannon, C.; de la Camara, R.; Dolstra, H.; Duarte, R.F.; Glass, B.; Greco, R.; et al. Indications for haematopoietic cell transplantation for haematological diseases, solid tumours and immune disorders: Current practice in Europe, 2022. Bone Marrow Transpl. 2022, 57, 1217–1239. [Google Scholar] [CrossRef] [PubMed]
- Gorin, N.C. History and Development of Autologous Stem Cell Transplantation for Acute Myeloid Leukemia. Clin. Hematol. Int. 2021, 3, 83–95. [Google Scholar] [CrossRef] [PubMed]
- Potdar, R.R.; Gupta, S.; Giebel, S.; Savani, B.N.; Varadi, G.; Nagler, A.; Blamek, S. Current Status and Perspectives of Irradiation-Based Conditioning Regimens for Patients with Acute Leukemia Undergoing Hematopoietic Stem Cell Transplantation. Clin. Hematol. Int. 2019, 1, 19–27. [Google Scholar] [CrossRef] [PubMed]
- Dahi, P.B.; Lazarus, H.M.; Sauter, C.S.; Giralt, S.A. Strategies to improve outcomes of autologous hematopoietic cell transplant in lymphoma. Bone Marrow Transpl. 2019, 54, 943–960. [Google Scholar] [CrossRef] [PubMed]
- Szypulska-Koziarska, D.; Misiakiewicz-Has, K.; Wiszniewska, B. Hormonal (Im)Balance and Reproductive System’s Disorders in Transplant Recipients-A Review. Biology 2021, 10, 271. [Google Scholar] [CrossRef] [PubMed]
- Su, H.; Zhou, X.; Zhao, Y.; Lu, Y.; Liu, D.; Zhang, J.; Yang, X. Gynecological complications in long-term survivors after allogeneic hematopoietic cell transplantation-a single-center real-life cross-sectional study. Front. Med. 2022, 9, 956867. [Google Scholar] [CrossRef]
- Chen, H.; Liu, C.; Zhu, S.; Li, S.; Zhang, Q.; Song, L.; Liang, X. The Therapeutic Effect of Stem Cells on Chemotherapy-Induced Premature Ovarian Failure. Curr. Mol. Med. 2021, 21, 376–384. [Google Scholar] [CrossRef]
- Poorvu, P.D.; Frazier, A.L.; Feraco, A.M.; Manley, P.E.; Ginsburg, E.S.; Laufer, M.R.; LaCasce, A.S.; Diller, L.R.; Partridge, A.H. Cancer Treatment-Related Infertility: A Critical Review of the Evidence. JNCI Cancer Spectr. 2019, 3, pkz008. [Google Scholar] [CrossRef]
- Lee, D.Y.; Kim, S.K.; Kim, M.; Hwang, K.J.; Kim, S.H. Fertility preservation for patients with hematologic malignancies: The Korean Society for Fertility Preservation clinical guidelines. Clin. Exp. Reprod. Med. 2017, 44, 187–192. [Google Scholar] [CrossRef]
- Marci, R.; Mallozzi, M.; Di Benedetto, L.; Schimberni, M.; Mossa, S.; Soave, I.; Palomba, S.; Caserta, D. Radiations and female fertility. Reprod. Biol. Endocrinol. 2018, 16, 112. [Google Scholar] [CrossRef]
- Eeltink, C.M.; Incrocci, L.; Leeuw, I.M.V.; Zweegman, S. Recommended patient information sheet on the impact of haematopoietic cell transplantation on sexual functioning and sexuality. Ecancermedicalscience 2019, 13, 987. [Google Scholar] [CrossRef] [PubMed]
- Sopfe, J.; Pettigrew, J.; Afghahi, A.; Appiah, L.C.; Coons, H.L. Interventions to Improve Sexual Health in Women Living with and Surviving Cancer: Review and Recommendations. Cancers 2021, 13, 3153. [Google Scholar] [CrossRef] [PubMed]
- Rosen, R.; Brown, C.; Heiman, J.; Leiblum, S.; Meston, C.; Shabsigh, R.; Ferguson, D.; D’Agostino, R., Jr. The Female Sexual Function Index (FSFI): A multidimensional self-report instrument for the assessment of female sexual function. J. Sex. Marital. Ther. 2000, 26, 191–208. [Google Scholar] [CrossRef] [PubMed]
- Meston, C.M.; Freihart, B.K.; Handy, A.B.; Kilimnik, C.D.; Rosen, R.C. Scoring and Interpretation of the FSFI: What can be Learned from 20 Years of use? J. Sex. Med. 2020, 17, 17–25. [Google Scholar] [CrossRef]
- Duarte, R.F.; Labopin, M.; Bader, P.; Basak, G.W.; Chiara, B.; Chabannon, C.; Corbacioglu, S.; Dreger, P.; Dufour, C.; Gennery, A.R.; et al. Indications for haematopoietic stem cell transplantation for haematological diseases, solid tumours and immune disorders: Current practice in Europe, 2019. Bone Marrow Transpl. 2019, 54, 1525–1552. [Google Scholar] [CrossRef] [PubMed]
- Bhatia, S.; Dai, C.; Landier, W.; Hageman, L.; Wu, J.; Schlichting, E.; Siler, A.; Funk, E.; Hicks, J.; Bosworth, A.; et al. Trends in Late Mortality and Life Expectancy after Allogeneic Blood or Marrow Transplantation over 4 Decades: A Blood or Marrow Transplant Survivor Study Report. JAMA Oncol. 2021, 7, 1626–1634. [Google Scholar] [CrossRef]
- Giaccone, L.; Felicetti, F.; Butera, S.; Faraci, D.; Cerrano, M.; Dionisi Vici, M.; Brunello, L.; Fortunati, N.; Brignardello, E.; Bruno, B. Optimal Delivery of Follow-Up Care after Allogeneic Hematopoietic Stem-Cell Transplant: Improving Patient Outcomes with a Multidisciplinary Approach. J. Blood Med. 2020, 11, 141–162. [Google Scholar] [CrossRef]
- Balas, N.; Hageman, L.; Wu, J.; Francisco, L.; Schlichting, E.; Bosworth, A.; Te, H.S.; Wong, F.L.; Landier, W.; Salzman, D.; et al. Conditioning intensity and probability of live birth after blood or marrow transplantation, a BMTSS report. Blood Adv. 2022, 6, 2471–2479. [Google Scholar] [CrossRef]
- Michalczyk, K.; Cymbaluk-Płoska, A. Fertility Preservation and Long-Term Monitoring of Gonadotoxicity in Girls, Adolescents and Young Adults Undergoing Cancer Treatment. Cancers 2021, 13, 202. [Google Scholar] [CrossRef]
- Diesch-Furlanetto, T.; Gabriel, M.; Zajac-Spychala, O.; Cattoni, A.; Hoeben, B.A.W.; Balduzzi, A. Late Effects After Haematopoietic Stem Cell Transplantation in ALL, Long-Term Follow-Up and Transition: A Step into Adult Life. Front. Pediatr. 2021, 9, 773895. [Google Scholar] [CrossRef]
- Overbeek, A.; van den Berg, M.H.; van Leeuwen, F.E.; Kaspers, G.J.; Lambalk, C.B.; van Dulmen-den Broeder, E. Chemotherapy-related late adverse effects on ovarian function in female survivors of childhood and young adult cancer: A systematic review. Cancer Treat. Rev. 2017, 53, 10–24. [Google Scholar] [CrossRef] [PubMed]
- Metzger, M.L.; Meacham, L.R.; Patterson, B.; Casillas, J.S.; Constine, L.S.; Hijiya, N.; Kenney, L.B.; Leonard, M.; Lockart, B.A.; Likes, W.; et al. Female reproductive health after childhood, adolescent, and young adult cancers: Guidelines for the assessment and management of female reproductive complications. J. Clin. Oncol. 2013, 31, 1239–1247. [Google Scholar] [CrossRef] [PubMed]
- Forgeard, N.; Jestin, M.; Vexiau, D.; Chevillon, F.; Ricadat, E.; Peffault de Latour, R.; Robin, M.; Sicre de Fontbrune, F.; Xhaard, A.; Michonneau, D.; et al. Sexuality- and Fertility-Related Issues in Women after Allogeneic Hematopoietic Stem Cell Transplantation. Transpl. Cell. Ther. 2021, 27, 432.e1–432.e6. [Google Scholar] [CrossRef] [PubMed]
- Mehedintu, C.; Frincu, F.; Carp-Veliscu, A.; Barac, R.; Badiu, D.C.; Zgura, A.; Cirstoiu, M.; Bratila, E.; Plotogea, M. A Warning Call for Fertility Preservation Methods for Women Undergoing Gonadotoxic Cancer Treatment. Medicina 2021, 57, 1340. [Google Scholar] [CrossRef] [PubMed]
- Mauri, D.; Gazouli, I.; Zarkavelis, G.; Papadaki, A.; Mavroeidis, L.; Gkoura, S.; Ntellas, P.; Amylidi, A.-L.; Tsali, L.; Kampletsas, E. Chemotherapy Associated Ovarian Failure. Front. Endocrinol. 2020, 11, 572388. [Google Scholar] [CrossRef] [PubMed]
- Tikvica Leutic, A.; Gusic, N.; Habek, D. The Impact of Allogeneic Hematopoietic Cells Transplantation on Female Reproductive Health: A Short Review. RAD 543. Med. Sci. 2020, 50–51, 57–62. [Google Scholar]
- Noerskov, K.H.; Schjødt, I.; Syrjala, K.L.; Jarden, M. Sexual function 1-year after allogeneic hematopoietic stem cell transplantation. Bone Marrow Transpl. 2016, 51, 833–840. [Google Scholar] [CrossRef]
- Schover, L.R. Sexual quality of life in men and women after cancer. Climacteric 2019, 22, 553–557. [Google Scholar] [CrossRef]
- El-Jawahri, A.; Fishman, S.R.; Vanderklish, J.; Dizon, D.S.; Pensak, N.; Traeger, L.; Greer, J.A.; Park, E.R.; Markovitz, N.; Waldman, L.; et al. Pilot study of a multimodal intervention to enhance sexual function in survivors of hematopoietic stem cell transplantation. Cancer 2018, 124, 2438–2446. [Google Scholar] [CrossRef]
- Syrjala, K.L.; Schoemans, H.; Yi, J.C.; Langer, S.L.; Mukherjee, A.; Onstad, L.; Lee, S.J. Sexual Functioning in Long-Term Survivors of Hematopoietic Cell Transplantation. Transpl. Cell. Ther. 2021, 27, e1–e80. [Google Scholar] [CrossRef]
- Alsuliman, T.; Jondreville, L.; Baylet, C.; Dann, M.P.; De Bentzmann, N.; Fontoura, M.L.; Genty, C.; Huynh, A.; Ibled, D.; Yakoub-Agha, I.; et al. Sexual and Emotional Health after Allogeneic Hematopoietic Cell Transplantation: A Comprehensive Review and Guidelines from the Francophone Society of Bone Marrow Transplantation and Cellular Therapy (SFGM-TC). J. Clin. Med. 2022, 11, 1196. [Google Scholar] [CrossRef] [PubMed]
- Kim, I.-R.; Jang, S.Y.; Shin, H.S.; Choi, H.J.; Jung, C.W.; Yoon, S.-S.; Kim, J.S.; Kim, S.J.; Kim, K.; Kim, W.S.; et al. Association between sexuality knowledge and sexual dysfunction in hematopoietic stem cell transplantation patients and their partners. Patient Educ. Couns. 2020, 103, 1630–1636. [Google Scholar] [CrossRef] [PubMed]
- Janicsák, H.; Ungvari, G.S.; Gazdag, G. Psychosocial aspects of hematopoietic stem cell transplantation. World J. Transpl. 2021, 11, 263–276. [Google Scholar] [CrossRef] [PubMed]
- Poloméni, A.; Lapusan, S.; Bompoint, C.; Rubio, M.T.; Mohty, M. The impact of allogeneic-hematopoietic stem cell transplantation on patients’ and close relatives’ quality of life and relationships. Eur. J. Oncol. Nurs. 2016, 21, 248–256. [Google Scholar] [CrossRef] [PubMed]
- Inamoto, Y.; Lee, S.J. Late effects of blood and marrow transplantation. Haematologica 2017, 102, 614–625. [Google Scholar] [CrossRef]
- Vigarinho, M.E.S.; De Domenico, E.B.L.; Matsubara, M.G.S. Quality of Life of Oncohematologic Cancer Survivors Undergoing Hematopoietic Stem Cell Transplantation: Integrative Review Literature. Rev. Bras. Cancerol. 2022, 68, e-212708. [Google Scholar]
- Hawkey, A.; Ussher, J.M.; Perz, J.; Parton, C. Talking but not always understanding: Couple communication about infertility concerns after cancer. BMC Public Health 2021, 21, 161. [Google Scholar] [CrossRef]


| Variable | Patients N = 38 |
|---|---|
| Age, mean ± SD | 27 ± 3.54 |
| Total body irradiation, n (%) | |
| Yes | 3 (7.89%) |
| No | 35 (92.11%) |
| Spontaneous menstruations, n (%) | |
| Yes (residual ovarian function) | 9 (23.68%) |
| No | 29 (76.32%) |
| Vulvovaginal atrophy, n (%) | |
| Absent | 9 (23.68%) |
| Mild | 0 (0%) |
| Moderate | 10 (26.32%) |
| Severe | 19 (50%) |
| Female sexual function index, mean ± SD | 13.36 ± 7.01 |
| Descriptives | |||||||||
|---|---|---|---|---|---|---|---|---|---|
| N | Mean | Std. Deviation | Std. Error | 95% Confidence Interval for Mean | Minimum | Maximum | |||
| Lower Bound | Upper Bound | ||||||||
| AMH serum value 1st visit | Study group | 38 | 0.3600 | 0.56154 | 0.09109 | 0.1754 | 0.5446 | 0.01 | 1.60 |
| Control group | 38 | 3.0868 | 1.04911 | 0.17019 | 2.7420 | 3.4317 | 0.90 | 5.10 | |
| Total | 76 | 1.7234 | 1.60694 | 0.18433 | 1.3562 | 2.0906 | 0.01 | 5.10 | |
| AMH serum value 2nd visit | Study group | 38 | 0.2847 | 0.48828 | 0.07921 | 0.1242 | 0.4452 | 0.01 | 1.50 |
| Control group | 38 | 2.9632 | 1.02335 | 0.16601 | 2.6268 | 3.2995 | 0.80 | 4.90 | |
| Total | 76 | 1.6239 | 1.56578 | 0.17961 | 1.2662 | 1.9817 | 0.01 | 4.90 | |
| AMH serum value 3rd visit | Study group | 38 | 0.2155 | 0.40161 | 0.06515 | 0.0835 | 0.3475 | 0.01 | 1.20 |
| Control group | 38 | 2.8158 | 0.98818 | 0.16030 | 2.4910 | 3.1406 | 0.70 | 4.70 | |
| Patients with residual function in study group | 9 | 0.8778 | 0.31535 | 0.10512 | 0.6354 | 1.1202 | 0.30 | 1.20 | |
| Total | 76 | 1.5157 | 1.50804 | 0.17298 | 1.1711 | 1.8603 | 0.01 | 4.70 | |
| (A) | |||||
| Variable | First Visit | Second Visit | Third Visit | ||
| Female sexual function index, mean ± SD | 13.36 ± 7.01 | 21.07 ± 7.05 | 27.04 ± 3.81 | ||
| Vulvovaginal atrophy, n(%) | |||||
| Absent | 9 (23.68%) | 7 (18.42%) | 7 (18.42%) | ||
| Mild | 0 (0%) | 26 (68.42%) | 31 (81.58%) | ||
| Moderate | 10 (26.32%) | 4 (10.53%) | 0 (0%) | ||
| Severe | 19 (50%) | 1 (2.63%) | 0 (0%) | ||
| (B) | |||||
| Pair | p | Effect Size Cohen’s d | Strength of Association (ω2) | ||
| Female sexual function index I & Female sexual function index II | <0.001 | −1.91 | 0.65 | ||
| Female sexual function index II & Female sexual function index III | <0.001 | −1.58 | 0.56 | ||
| Female sexual function index I & Female sexual function index III | <0.001 | −2.89 | 0.81 | ||
| (C) | |||||
| Vulvovaginal Atrophy I, n (%) | Vulvovaginal Atrophy II, n (%) | ||||
| Absent | Mild | Moderate | Severe | Total | |
| Absent | 7 | 2 | 0 | 0 | 9 |
| Mild | 0 | 0 | 0 | 0 | 0 |
| Moderate | 0 | 7 | 3 | 0 | 10 |
| Severe | 0 | 17 | 1 | 1 | 19 |
| Total | 7 | 26 | 4 | 1 | 38 |
| (D) | |||||
| Vulvovaginal Atrophy II, n (%) | Vulvovaginal Atrophy III, n (%) | ||||
| Absent | Mild | Moderate | Severe | Total | |
| Absent | 7 | 0 | 0 | 0 | 7 |
| Mild | 0 | 26 | 0 | 0 | 26 |
| Moderate | 0 | 4 | 0 | 0 | 4 |
| Severe | 0 | 1 | 0 | 0 | 1 |
| Total | 7 | 31 | 0 | 0 | 38 |
| (A) | ||||||
| Variable | Study Group (N = 38) | Control Group (N = 38) | p (95% CI) | |||
| Female sexual function index I | 13.36 ± 7.01 | 33.63 ± 1.77 | <0.001 | |||
| Female sexual function index II | 21.07 ± 7.04 | 33.53 ± 1.50 | <0.001 | |||
| Female sexual function index III | 27.04 ± 3.81 | 33.53 ± 1.55 | <0.001 | |||
| (B) Study Group | ||||||
| Female Sexual Function Index | Vulvovaginal Atrophy | p (95% CI) | ||||
| Absent | Mild | Moderate | Severe | |||
| Visit 1 | 22.86 ± 6.27 | - | 14.40 ± 2.88 | 8.31 ± 2.58 | <0.001 | |
| Visit 2 | 29.46 ± 6.20 | 19.61 ± 6.26 | 18.83 ± 6.35 | 9.3 * | 0.001 | |
| Visit 3 | 31.40 ± 1.39 | 26.06 ± 3.47 | - | - | <0.001 | |
| (C) Study Group | ||||||
| Female Sexual Function Index | DHEA Intravaginal Administration | p (95% CI) | ||||
| No | Yes | |||||
| Visit 2 | 25.09 ± 7.27 | 18.45 ± 5.62 | 0.006 | |||
| Visit 3 | 31.50 ± 1.22 | 25.66 ± 3.22 | <0.001 | |||
| (D) Study Group | ||||||
| Visit no. | Vulvovaginal Atrophy, n (%) | DHEA Intravaginal Administration, n (%) | p (95% CI) | |||
| No | Yes | Total | ||||
| 2nd | Absent | 7 | 0 | 7 | <0.001 | |
| Mild | 3 | 23 | 26 | |||
| Moderate | 4 | 0 | 4 | |||
| Severe | 0 | 1 | 1 | |||
| Total | 14 | 24 | 38 | |||
| 3rd | Absent | 7 | 0 | 7 | <0.001 | |
| Mild | 2 | 29 | 31 | |||
| Total | 9 | 29 | 38 | |||
| (A) | |||||
| Visit No. | Marital/Couple Status, n (%) | Group, n (%) | p (95% CI) | ||
| Study Group | Control Group | Total | |||
| 1st | Single | 28 | 15 | 43 | 0.005 |
| Relationship/Married | 10 | 23 | 33 | ||
| Total | 38 | 38 | 76 | ||
| 3rd | Single | 24 | 7 | 31 | <0.001 |
| Relationship/Married | 14 | 31 | 45 | ||
| Total | 38 | 38 | 76 | ||
| (B) | |||||
| Female Sexual Function Index | Marital/Couple Status of Study Group | p (95% CI) | |||
| Single | Relationship/Married | ||||
| Visit 1 | 12.30 ± 6.71 | 16.31 ± 7.32 | 0.122 | ||
| Visit 3 | 25.45 ± 3.70 | 29.77 ± 2.08 | <0.001 | ||
| (C) | |||||
| Female Sexual Function Index | |||||
| Visit no. | Age | Marital/Couple Status of Study Group | p (95% CI) | ||
| Single | Relationship/Married | ||||
| 1st | 20–27 years | 15.58 ± 8.07 | 16.70 ± 13.43 | 0.866 | |
| 28 or older | 9.46 ± 0.90 | 16.21 ± 6.56 | 0.004 | ||
| 3rd | 20–27 years | 26.39 ± 5.22 | 30.90 * | 0.450 | |
| 28 or older | 25.07 ± 0.72 | 29.68 ± 2.14 | <0.001 | ||
Disclaimer/Publisher’s Note: The statements, opinions and data contained in all publications are solely those of the individual author(s) and contributor(s) and not of MDPI and/or the editor(s). MDPI and/or the editor(s) disclaim responsibility for any injury to people or property resulting from any ideas, methods, instructions or products referred to in the content. |
© 2023 by the authors. Licensee MDPI, Basel, Switzerland. This article is an open access article distributed under the terms and conditions of the Creative Commons Attribution (CC BY) license (https://creativecommons.org/licenses/by/4.0/).
Share and Cite
Plotogea, M.; Zgura, A.; Mehedințu, C.; Scurtu, F.; Petca, A.; Varlas, V.N.; Bors, R.G.; Edu, A.; Ionescu, O.-M.; Andreescu, M.; et al. Women’s Sexual Dysfunctions Following Stem Cell Transplant and the Impact on Couple Relationship. Life 2024, 14, 35. https://doi.org/10.3390/life14010035
Plotogea M, Zgura A, Mehedințu C, Scurtu F, Petca A, Varlas VN, Bors RG, Edu A, Ionescu O-M, Andreescu M, et al. Women’s Sexual Dysfunctions Following Stem Cell Transplant and the Impact on Couple Relationship. Life. 2024; 14(1):35. https://doi.org/10.3390/life14010035
Chicago/Turabian StylePlotogea, Mihaela, Anca Zgura, Claudia Mehedințu, Francesca Scurtu, Aida Petca, Valentin Nicolae Varlas, Roxana Georgiana Bors, Antoine Edu, Oana-Maria Ionescu, Mihaela Andreescu, and et al. 2024. "Women’s Sexual Dysfunctions Following Stem Cell Transplant and the Impact on Couple Relationship" Life 14, no. 1: 35. https://doi.org/10.3390/life14010035
APA StylePlotogea, M., Zgura, A., Mehedințu, C., Scurtu, F., Petca, A., Varlas, V. N., Bors, R. G., Edu, A., Ionescu, O.-M., Andreescu, M., Mateescu, R. N., & Isam, A. J. (2024). Women’s Sexual Dysfunctions Following Stem Cell Transplant and the Impact on Couple Relationship. Life, 14(1), 35. https://doi.org/10.3390/life14010035

