Serum Angiopoietin-like Protein 3 Levels Are Associated with Endothelial Function in Patients with Maintenance Hemodialysis
Abstract
:1. Introduction
2. Materials and Methods
2.1. Participants
2.2. Measurement of Body Mass Index and Biochemistry
2.3. Endothelial Function Measurements
2.4. Analytical Statistics
3. Results
4. Discussion
5. Conclusions
Author Contributions
Funding
Institutional Review Board Statement
Informed Consent Statement
Data Availability Statement
Conflicts of Interest
References
- de Jager, D.J.; Grootendorst, D.C.; Jager, K.J.; van Dijk, P.C.; Tomas, L.M.; Ansell, D.; Collart, F.; Finne, P.; Heaf, J.G.; De Meester, J.; et al. Cardiovascular and noncardiovascular mortality among patients starting dialysis. JAMA 2009, 302, 1782–1789. [Google Scholar] [CrossRef] [PubMed]
- Johansen, K.L.; Chertow, G.M.; Foley, R.N.; Gilbertson, D.T.; Herzog, C.A.; Ishani, A.; Israni, A.K.; Ku, E.; Kurella Tamura, M.; Li, S.; et al. US renal data system 2020 annual data report: Epidemiology of in the United States. Am. J. Kidney Dis. 2021, 77 (Suppl. S1), A7–A8. [Google Scholar] [CrossRef] [PubMed]
- Roumeliotis, S.; Mallamaci, F.; Zoccali, C. Endothelial dysfunction in chronic kidney disease, from biology to clinical outcomes: A 2020 update. J. Clin. Med. 2020, 9, 2359. [Google Scholar] [CrossRef] [PubMed]
- Incalza, M.A.; D’Oria, R.; Natalicchio, A.; Perrini, S.; Laviola, L.; Giorgino, F. Oxidative stress and reactive oxygen species in endothelial dysfunction associated with cardiovascular and metabolic diseases. Vasc. Pharmacol. 2018, 100, 1–19. [Google Scholar] [CrossRef] [PubMed]
- Yilmaz, M.I.; Romano, M.; Basarali, M.K.; Elzagallaai, A.; Karaman, M.; Demir, Z.; Demir, M.F.; Akcay, F.; Seyrek, M.; Haksever, N.; et al. The effect of corrected inflammation, oxidative stress and endothelial dysfunction on FMD levels in patients with selected chronic Diseases: A quasi-experimental Study. Sci. Rep. 2020, 10, 9018. [Google Scholar] [CrossRef]
- Yilmaz, M.I.; Saglam, M.; Caglar, K.; Cakir, E.; Sonmez, A.; Ozgurtas, T.; Aydin, A.; Eyileten, T.; Ozcan, O.; Acikel, C.; et al. The determinants of endothelial dysfunction in CKD: Oxidative stress and asymmetric dimethylarginine. Am. J. Kidney Dis. 2006, 47, 42–50. [Google Scholar] [CrossRef]
- Medina-Leyte, D.J.; Zepeda-García, O.; Domínguez-Pérez, M.; González-Garrido, A.; Villarreal-Molina, T.; Jacobo-Albavera, L. Endothelial dysfunction, inflammation and coronary artery disease: Potential biomarkers and promising therapeutical approaches. Int. J. Mol. Sci. 2021, 22, 3850. [Google Scholar] [CrossRef]
- Blann, A.D. A reliable marker of vascular function: Does it exist? Trends Cardiovasc. Med. 2015, 25, 588–591. [Google Scholar] [CrossRef]
- Kersten, S. Angiopoietin-like 3 in lipoprotein metabolism. Nat. Rev. Endocrinol. 2017, 13, 731–739. [Google Scholar] [CrossRef]
- Stitziel, N.O.; Khera, A.V.; Wang, X.; Bierhals, A.J.; Vourakis, A.C.; Sperry, A.E.; Natarajan, P.; Klarin, D.; Emdin, C.A.; Zekavat, S.M.; et al. ANGPTL3 deficiency and protection against coronary artery disease. J. Am. Coll. Cardiol. 2017, 69, 2054–2063. [Google Scholar] [CrossRef]
- Musunuru, K.; Pirruccello, J.P.; Do, R.; Peloso, G.M.; Guiducci, C.; Sougnez, C.; Garimella, K.V.; Fisher, S.; Abreu, J.; Barry, A.J.; et al. Exome sequencing, ANGPTL3 mutations, and familial combined hypolipidemia. N. Engl. J. Med. 2010, 363, 2220–2227. [Google Scholar] [CrossRef] [PubMed]
- Graham, M.J.; Lee, R.G.; Brandt, T.A.; Tai, L.J.; Fu, W.; Peralta, R.; Yu, R.; Hurh, E.; Paz, E.; McEvoy, B.W.; et al. Cardiovascular and metabolic effects of ANGPTL3 antisense oligonucleotides. N. Engl. J. Med. 2017, 377, 222–232. [Google Scholar] [CrossRef] [PubMed]
- Mahmood, D.; Makoveichuk, E.; Nilsson, S.; Olivecrona, G.; Stegmayr, B. Response of angiopoietin-like proteins 3 and 4 to hemodialysis. Int. J. Artif. Organs 2014, 37, 13–20. [Google Scholar] [CrossRef] [PubMed]
- Zhang, Q.; Xiao, X.; Zheng, J.; Li, M.; Yu, M.; Ping, F.; Wang, T.; Wang, X. A possible mechanism: Vildagliptin prevents aortic dysfunction through paraoxonase and angiopoietin-Like 3. Biomed. Res. Int. 2018, 2018, 3109251. [Google Scholar] [CrossRef] [PubMed]
- Fan, H.J.; Wang, C.H.; Hsu, B.G.; Tsai, J.P. Association between serum adipocyte fatty acid binding protein level and endothelial dysfunction in chronic hemodialysis patients. Life 2022, 12, 316. [Google Scholar] [CrossRef] [PubMed]
- Chen, M.C.; Hsu, B.G.; Lee, C.J.; Wang, J.H. High-serum angiopoietin-like protein 3 levels associated with cardiovascular outcome in patients with coronary artery disease. Int. J. Hypertens. 2020, 2020, 2980954. [Google Scholar] [CrossRef] [PubMed]
- Hsiao, C.H.; Chen, Y.C.; Wang, J.H.; Hsu, B.G. Serum angiopoietin-like protein 3 level is associated with peripheral arterial stiffness in patients with coronary artery disease. Medicina 2021, 57, 1011. [Google Scholar] [CrossRef] [PubMed]
- Chen, Y.L.; Huang, P.Y.; Tsai, J.P.; Wang, J.H.; Hsu, B.G. Serum osteoprotegerin levels and the vascular reactivity index in patients with hypertension. Medicina 2023, 59, 1794. [Google Scholar] [CrossRef]
- Naghavi, M.; Yen, A.A.; Lin, A.W.; Tanaka, H.; Kleis, S. New indices of endothelial function measured by digital thermal monitoring of vascular reactivity: Data from 6084 patients registry. Int. J. Vasc. Med. 2016, 2016, 1348028. [Google Scholar] [CrossRef]
- Ghiadoni, L.; Cupisti, A.; Huang, Y.; Mattei, P.; Cardinal, H.; Favilla, S.; Rindi, P.; Barsotti, G.; Taddei, S.; Salvetti, A. Endothelial dysfunction and oxidative stress in chronic renal failure. J. Nephrol. 2004, 17, 512–519. [Google Scholar]
- Shoji, T.; Hatsuda, S.; Tsuchikura, S.; Kimoto, E.; Kakiya, R.; Tahara, H.; Koyama, H.; Emoto, M.; Tabata, T.; Nishizawa, Y. Plasma angiopoietin-like protein 3 (ANGPTL3) concentration is associated with uremic dyslipidemia. Atherosclerosis 2009, 207, 579–584. [Google Scholar] [CrossRef] [PubMed]
- Ruscica, M.; Macchi, C.; Fogacci, F.; Ferri, N.; Grandi, E.; Rizzoli, E.; D’Addato, S.; Borghi, C.; Cicero, A.F.; Brisighella Heart Study Group. Angiopoietin-like 3 and subclinical peripheral arterial disease: Evidence from the Brisighella Heart Study. Eur. J. Prev. Cardiol. 2020, 27, 2251–2254. [Google Scholar] [CrossRef] [PubMed]
- Hatsuda, S.; Shoji, T.; Shinohara, K.; Kimoto, E.; Mori, K.; Fukumoto, S.; Koyama, H.; Emoto, M.; Nishizawa, Y. Association between plasma angiopoietin-like protein 3 and arterial wall thickness in healthy subjects. J. Vasc. Res. 2007, 44, 61–66. [Google Scholar] [CrossRef] [PubMed]
- Blair, A.; Shaul, P.W.; Yuhanna, I.S.; Conrad, P.A.; Smart, E.J. Oxidized low density lipoprotein displaces endothelial nitric-oxide synthase (eNOS) from plasmalemmal caveolae and impairs eNOS activation. J. Biol. Chem. 1999, 274, 32512–32519. [Google Scholar] [CrossRef]
- Lupo, M.G.; Ferri, N. Angiopoietin-like 3 (ANGPTL3) and atherosclerosis: Lipid and non-lipid related effects. J. Cardiovasc. Dev. Dis. 2018, 5, 39. [Google Scholar] [CrossRef]
- Kidney Disease: Improving Global Outcomes (KDIGO) CKD-MBD Update Work Group. KDIGO 2017 clinical practice guideline update for the diagnosis, evaluation, prevention, and treatment of chronic kidney disease-mineral and bone disorder (CKD-MBD). Kidney Int. Suppl. 2017, 7, 1–59. [Google Scholar] [CrossRef]
- Lai, Z.; Liu, Y.; Huang, M.; Li, L.; Li, Z.; Su, J.; Pan, G.; Li, B.; Gao, S.; Yu, C. Associations between atherosclerosis and elevated serum alkaline phosphatase in patients with coronary artery disease in an inflammatory state. Heart Lung Circ. 2023, 32, 1096–1106. [Google Scholar] [CrossRef]
- Ren, Y.; Li, X.; Wang, S.; Pan, W.; Lv, H.; Wang, M.; Zhou, X.; Xia, Y.; Yin, D. Serum alkaline phosphatase levels are associated with coronary artery calcification patterns and plaque vulnerability. Catheter Cardiovasc. Interv. 2021, 97 (Suppl. S2), 1055–1062. [Google Scholar] [CrossRef]
- Kunutsor, S.K.; Apekey, T.A.; Khan, H. Liver enzymes and risk of cardiovascular disease in the general population: A meta-analysis of prospective cohort studies. Atherosclerosis 2014, 236, 7–17. [Google Scholar] [CrossRef]
- Shantouf, R.; Kovesdy, C.P.; Kim, Y.; Ahmadi, N.; Luna, A.; Luna, C.; Rambod, M.; Nissenson, A.R.; Budoff, M.J.; Kalantar-Zadeh, K. Association of serum alkaline phosphatase with coronary artery calcification in maintenance hemodialysis patients. Clin. J. Am. Soc. Nephrol. 2009, 4, 1106–1114. [Google Scholar] [CrossRef]
- Chen, T.L.; Lee, M.C.; Ho, C.C.; Hsu, B.G.; Tsai, J.P. Serum adipocyte fatty acid-binding protein level is negatively associated with vascular reactivity index measured by digital thermal monitoring in kidney transplant patients. Metabolites 2019, 9, 159. [Google Scholar] [CrossRef] [PubMed]
- Bortotolotto, L.A.; Costa-Hong, V.; Jorgetti, V.; Consolim-Colombo, F.; Rosa, K.; Silva, B.C.; Krieger, E.M.; De Lima, J.J. Vascular changes in chronic renal disease patients with secondary hyperparathyroidism. J. Nephrol. 2007, 20, 66–72. [Google Scholar] [PubMed]
- Li, X.; Li, L.; Fang, S.; Xu, Y. Effects of hemodialysis on brachial artery endothelial function: A clinical study. J. Ultrasound Med. 2012, 31, 1783–1787. [Google Scholar] [CrossRef] [PubMed]
- Theodorakopoulou, M.P.; Schoina, M.; Sarafidis, P. Assessment of endothelial and microvascular function in CKD: Older and newer techniques, associated risk factors, and relations with outcomes. Am. J. Nephrol. 2020, 51, 931–949. [Google Scholar] [CrossRef]
- Ahmadi, N.; McQuilkin, G.L.; Akhtar, M.W.; Hajsadeghi, F.; Kleis, S.J.; Hecht, H.; Naghavi, M.; Budoff, M. Reproducibility and variability of digital thermal monitoring of vascular reactivity. Clin. Physiol. Funct. Imaging 2011, 31, 422–428. [Google Scholar] [CrossRef]
- Ahmadi, N.; Nabavi, V.; Nuguri, V.; Hajsadeghi, F.; Flores, F.; Akhtar, M.; Kleis, S.; Hecht, H.; Naghavi, M.; Budoff, M. Low fingertip temperature rebound measured by digital thermal monitoring strongly correlates with the presence and extent of coronary artery disease diagnosed by 64-slice multi-detector computed tomography. Int. J. Cardiovasc. Imaging 2009, 25, 725–738. [Google Scholar] [CrossRef]

| Characteristics | All Participants (n = 116) | Good Vascular Reactivity (n = 49) | Intermediate Vascular Reactivity (n = 50) | Poor Vascular Reactivity (n = 17) | p Value |
|---|---|---|---|---|---|
| Vascular reactivity index | 1.79 ± 0.72 | 2.42 ± 0.37 | 1.62 ± 0.25 | 0.49 ± 0.18 | <0.001 * |
| Age (years) | 60.54 ± 13.11 | 58.18 ± 11.80 | 62.61 ± 14.80 | 61.25 ± 10.78 | 0.238 |
| Female, n (%) | 49 (42.2) | 22 (44.9) | 18 (36.0) | 9 (52.9) | 0.419 |
| Diabetes mellitus, n (%) | 59 (50.9) | 26 (53.1) | 27 (54.0) | 6 (35.3) | 0.379 |
| Hypertension, n (%) | 67 (57.8) | 28 (57.1) | 30 (60.0) | 9 (52.9) | 0.873 |
| ANGPTL3 (ng/mL) | 107.83 ± 50.64 | 92.20 ± 36.12 | 109.25 ± 49.79 | 148.72 ± 66.30 | <0.001 * |
| Pre-MHD body weight (kg) | 67.06 ± 15.05 | 67.55 ± 15.03 | 68.59 ± 16.06 | 61.13 ± 10.78 | 0.202 |
| Post-MHD body weight (kg) | 64.43 ± 14.55 | 64.95 ± 14.51 | 65.88 ± 15.42 | 58.68 ± 10.92 | 0.201 |
| Body mass index (kg/m2) | 25.14 ± 4.49 | 25.25 ± 4.50 | 25.49 ± 4.65 | 23.77 ± 3.95 | 0.388 |
| MHD duration (months) | 42.66 (25.92–79.71) | 36.60 (24.78–85.14) | 44.28 (23.25–100.50) | 51.36 (37.26–78.24) | 0.523 |
| Systolic blood pressure (mmHg) | 148.58 ± 28.62 | 151.45 ± 27.16 | 148.34 ± 28.85 | 141.00 ± 32.25 | 0.434 |
| Diastolic blood pressure (mmHg) | 80.76 ± 15.51 | 82.39 ± 14.67 | 79.90 ± 14.86 | 78.59 ± 19.81 | 0.603 |
| Hemoglobin (g/dL) | 10.24 ± 1.29 | 10.22 ± 1.23 | 10.34 ± 1.34 | 10.30 ± 1.35 | 0.976 |
| Albumin (g/dL) | 4.17 ± 0.46 | 4.25 ± 0.47 | 4.12 ± 0.44 | 4.12 ± 0.48 | 0.346 |
| Total cholesterol (mg/dL) | 157.13 ± 38.99 | 153.78 ± 38.72 | 159.36 ± 38.87 | 160.24 ± 41.78 | 0.732 |
| Triglyceride (mg/dL) | 127.00 (87.50–206.50) | 127.00 (84.00–206.50) | 127.50 (87.75–209.25) | 114.00 (86.00–176.50) | 0.948 |
| Glucose (mg/dL) | 127.50 (101.50–185.25) | 120.00 (102.00–189.00) | 136.50 (103.75–193.00) | 116.00 (80.50–153.00) | 0.328 |
| Alkaline phosphatase (U/L) | 74.00 (59.00–104.00) | 66.00 (56.00–96.00) | 75.00 (58.00–107.50) | 95.00 (73.50–128.00) | 0.025 * |
| Blood urea nitrogen (mg/dL) | 60.20 ± 14.83 | 62.04 ± 13.46 | 58.88 ± 14.90 | 58.76 ± 18.44 | 0.524 |
| Creatinine (mg/dL) | 9.31 ± 2.14 | 9.76 ± 2.19 | 9.12 ± 1.97 | 8.61 ± 2.34 | 0.109 |
| Total calcium (mg/dL) | 9.07 ± 0.76 | 9.06 ± 0.74 | 9.05 ± 0.76 | 9.16 ± 0.84 | 0.872 |
| Phosphorus (mg/dL) | 4.88 ± 1.42 | 5.07 ± 1.44 | 4.77 ± 1.39 | 4.67 ± 1.49 | 0.458 |
| Intact parathyroid hormone (pg/mL) | 221.80 (98.83–474.63) | 270.20 (122.00–433.55) | 161.50 (69.20–548.73) | 222.80 (92.65–714.20) | 0.545 |
| Urea reduction rate | 0.72 ± 0.05 | 0.72 ± 0.05 | 0.73 ± 0.05 | 0.73 ± 0.05 | 0.625 |
| Kt/V (Gotch) | 1.30 ± 0.19 | 1.281 ± 0.18 | 1.32 ± 0.20 | 1.31 ± 0.19 | 0.531 |
| ARB use, n (%) | 59 (50.9) | 29 (59.2) | 22 (44.0) | 8 (47.1) | 0.301 |
| β-blocker use, n (%) | 30 (25.9) | 12 (24.5) | 13 (26.0) | 5 (29.4) | 0.923 |
| CCB use, n (%) | 45 (38.8) | 20 (40.8) | 17 (34.0) | 8 (47.1) | 0.589 |
| α-adrenergic blockers, n (%) | 17 (14.7) | 6 (12.2) | 10 (20.0) | 61 (5.9) | 0.299 |
| Statin use, n (%) | 33 (28.4) | 14 (28.6) | 15 (30.0) | 4 (23.5) | 0.877 |
| Fibrate use, n (%) | 9 (7.8) | 6 (12.2) | 2 (4.0) | 1 (5.9) | 0.294 |
| Causes of hemodialysis | |||||
| Diabetes nephropathy, n (%) | 54 (46.6) | 23 (46.9) | 26 (52.0) | 5 (29.4) | 0.272 |
| Hypertensive nephrosclerosis, n (%) | 31 (26.7) | 13 (26.5) | 13 (26.0) | 5 (29.4) | 0.962 |
| Glomerulonephritis, n (%) | 17 (14.7) | 7 (14.3) | 7 (14.0) | 3 (17.6) | 0.930 |
| Others, n (%) | 14 (12.1) | 6 (12.2) | 4 (8.0) | 4 (23.5) | 0.236 |
| Vascular access | |||||
| Arteriovenous fistula, n (%) | 91 (78.4) | 39 (79.6) | 40 (80.0) | 12 (70.6) | 0.696 |
| Arteriovenous graft, n (%) | 14 (12.1) | 7 (14.3) | 4 (8.0) | 3 (17.6) | 0.471 |
| Hickman catheter, n (%) | 11 (9.5) | 3 (6.1) | 6 (12.0) | 2 (11.8) | 0.572 |
| Variables | Vascular Reactivity Index | ||||
|---|---|---|---|---|---|
| Simple Regression | Multivariable Regression | ||||
| r | p Value | Beta | Adjusted R2 Change | p Value | |
| Age (years) | −0.132 | 0.157 | — | — | — |
| Height (cm) | 0.120 | 0.199 | — | — | — |
| Pre-HD body weight (kg) | 0.156 | 0.095 | — | — | — |
| Post-HD body weight (kg) | 0.156 | 0.095 | — | — | — |
| Body mass index (kg/m2) | 0.128 | 0.169 | — | — | — |
| Log-HD duration (months) | −0.013 | 0.886 | — | — | — |
| Systolic blood pressure (mmHg) | 0.126 | 0.177 | — | — | — |
| Diastolic blood pressure (mmHg) | 0.133 | 0.155 | — | — | — |
| Hemoglobin (g/dL) | 0.024 | 0.796 | — | — | — |
| Albumin (g/dL) | 0.138 | 0.140 | — | — | — |
| Total cholesterol (mg/dL) | −0.104 | 0.266 | — | — | — |
| Log-Triglyceride (mg/dL) | 0.065 | 0.490 | — | — | — |
| Log-Glucose (mg/dL) | 0.067 | 0.474 | — | — | — |
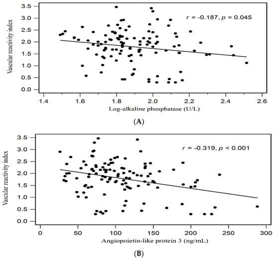
| Log-ALP (U/L) | −0.187 | 0.045 * | — | — | — |
| Blood urea nitrogen (mg/dL) | 0.134 | 0.151 | — | — | — |
| Creatinine (mg/dL) | 0.180 | 0.053 | — | — | — |
| Total calcium (mg/dL) | −0.031 | 0.741 | — | — | — |
| Phosphorus (mg/dL) | 0.129 | 0.167 | — | — | — |
| Log-iPTH (pg/mL) | −0.059 | 0.530 | — | — | — |
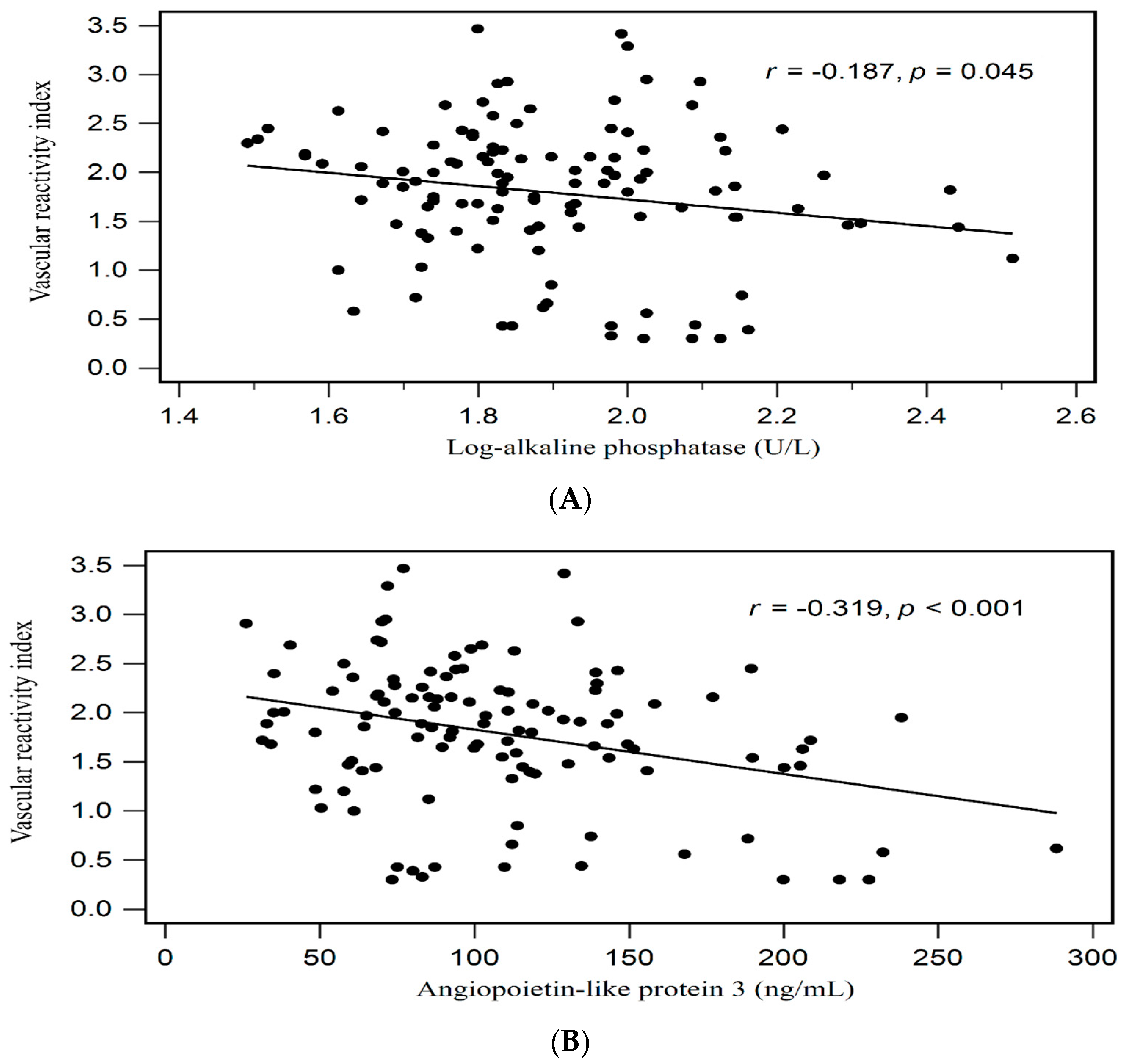
| ANGPTL3 (ng/mL) | −0.319 | <0.001 * | −0.319 | 0.094 | <0.001 * |
| Urea reduction rate | −0.111 | 0.238 | — | — | — |
| Kt/V (Gotch) | −0.119 | 0.204 | — | — | — |
| Model | ANGPTL3 (per 1 ng/mL of Increase) for Vascular Reactivity Dysfunction | ANGPTL3 (per 1 ng/mL of Increase) for Poor Vascular Reactivity | ||
|---|---|---|---|---|
| OR (95% CI) | p Value | OR (95% CI) | p Value | |
| Crude model | 1.012 (1.003–1.021) | 0.006 * | 1.017 (1.007–1.027) | 0.001 * |
| Adjusted model | 1.015 (1.005–1.026) | 0.005 * | 1.024 (1.010–1.037) | 0.001 * |
| Vascular Reactivity Dysfunction | |||||||
| AUC (95% CI) | p Value | Cut-Off | Sen (%) | Spe (%) | PPV (%) | NPV (%) | |
| ANGPTL3 (ng/mL) | 0.635 (0.541–0.723) | 0.0086 | 98.88 | 61.2 | 67.4 | 71.9 | 56.1 |
| Poor Vascular Reactivity | |||||||
| AUC (95% CI) | p Value | Cut-off | Sen (%) | Spe (%) | PPV (%) | NPV (%) | |
| ANGPTL3 (ng/mL) | 0.713 (0.622–0.793) | 0.0019 | 158.18 | 41.2 | 91.9 | 24.4 | 91.0 |
Disclaimer/Publisher’s Note: The statements, opinions and data contained in all publications are solely those of the individual author(s) and contributor(s) and not of MDPI and/or the editor(s). MDPI and/or the editor(s) disclaim responsibility for any injury to people or property resulting from any ideas, methods, instructions or products referred to in the content. |
© 2023 by the authors. Licensee MDPI, Basel, Switzerland. This article is an open access article distributed under the terms and conditions of the Creative Commons Attribution (CC BY) license (https://creativecommons.org/licenses/by/4.0/).
Share and Cite
Wu, T.-C.; Hsu, B.-G.; Kuo, C.-H.; Wang, C.-H.; Tsai, J.-P. Serum Angiopoietin-like Protein 3 Levels Are Associated with Endothelial Function in Patients with Maintenance Hemodialysis. Life 2024, 14, 18. https://doi.org/10.3390/life14010018
Wu T-C, Hsu B-G, Kuo C-H, Wang C-H, Tsai J-P. Serum Angiopoietin-like Protein 3 Levels Are Associated with Endothelial Function in Patients with Maintenance Hemodialysis. Life. 2024; 14(1):18. https://doi.org/10.3390/life14010018
Chicago/Turabian StyleWu, Tzu-Chiang, Bang-Gee Hsu, Chiu-Huang Kuo, Chih-Hsien Wang, and Jen-Pi Tsai. 2024. "Serum Angiopoietin-like Protein 3 Levels Are Associated with Endothelial Function in Patients with Maintenance Hemodialysis" Life 14, no. 1: 18. https://doi.org/10.3390/life14010018
APA StyleWu, T.-C., Hsu, B.-G., Kuo, C.-H., Wang, C.-H., & Tsai, J.-P. (2024). Serum Angiopoietin-like Protein 3 Levels Are Associated with Endothelial Function in Patients with Maintenance Hemodialysis. Life, 14(1), 18. https://doi.org/10.3390/life14010018

