Tick-Bite “Meteo”-Prevention: An Evaluation of Public Responsiveness to Tick Activity Forecasts Available Online
Abstract
:1. Introduction
2. Materials and Methods
2.1. Google Trends Data
2.2. Epidemiological Data
2.3. Weather-Derived Tick-Activity Index (TAI)
2.4. Statistical Analysis
2.5. Computer Simulation
2.5.1. Model 1
2.5.2. Model 2
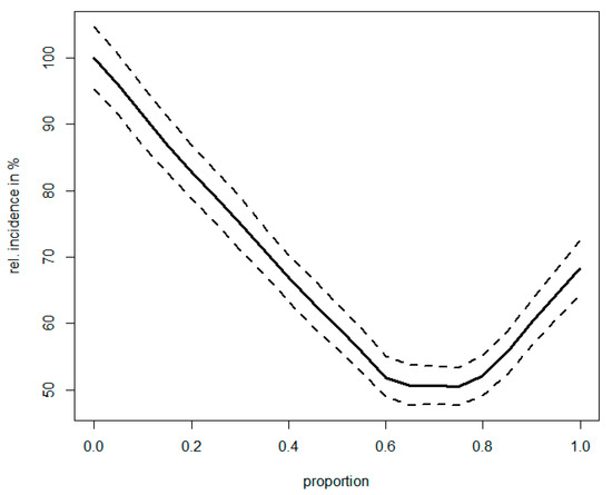
3. Results
3.1. Data Analysis
3.2. Simulations
4. Discussion
Supplementary Materials
Funding
Institutional Review Board Statement
Informed Consent Statement
Data Availability Statement
Conflicts of Interest
References
- Jongejan, F.; Uilenberg, G. The global importance of ticks. Parasitology 2004, 129, S3–S14. [Google Scholar] [CrossRef]
- Rochlin, I.; Toledo, A. Emerging tick-borne pathogens of public health importance: A mini-review. J. Med. Microbiol. 2020, 69, 781–791. [Google Scholar] [CrossRef] [PubMed]
- Neelakanta, G.; Sultana, H. Tick saliva and salivary glands: What do we know so far on their role in arthropod blood feeding and pathogen transmission. Front. Cell. Infect. Microbiol. 2022, 11, 816547. [Google Scholar] [CrossRef] [PubMed]
- Eisen, L. Personal protection measures to prevent tick bites in the United States: Knowledge gaps, challenges, and opportunities. Ticks Tick-Borne Dis. 2022, 13, 101944. [Google Scholar] [CrossRef]
- MacLeod, J. Ixodes ricinus in relation to its physical environment. II. The factors governing survival and activity. Parasitology 1935, 27, 123–144. [Google Scholar] [CrossRef]
- Gray, J.S.; Turley, T.; Strickland, K.L. Studies on the ecology of the sheep tick, Ixodes ricinus, in Co. Wicklow, Ireland. Ir. Vet. J. 1978, 32, 25–34. [Google Scholar]
- Daniel, M.; Vrablik, T.; Valter, J.; Kriz, B.; Danielova, V. The TICKPRO computer program for predicting Ixodes ricinus host-seeking activity and the warning system published on websites. Cent. Eur. J. Public Health 2010, 18, 230–236. [Google Scholar] [CrossRef]
- CHMI. Forecast of Tick Activity. Available online: http://portal.chmi.cz/predpovedi/predpovedi-pocasi/ceska-republika/predpoved-aktivity-klistat (accessed on 22 July 2022).
- Donnerwetter, Zecken-Wetter. Available online: https://www.donnerwetter.de/biowetter/zecken-wetter/ (accessed on 22 July 2022).
- Jun, S.-P.; Yoo, H.S.; Choi, S. Ten years of research change using Google Trends: From the perspective of big data utilizations and applications. Tech. Forecast. Soc. Chang. 2018, 130, 69–87. [Google Scholar] [CrossRef]
- Google Trends: Understanding the Data. Available online: https://trends.google.com/trends/ (accessed on 22 July 2022).
- Arora, V.S.; McKee, M.; Stuckler, D. Google Trends: Opportunities and limitations in health and health policy research. Health Policy 2019, 123, 338–341. [Google Scholar] [CrossRef]
- Scharkow, M.; Vogelgesang, J. Measuring the public agenda using search engine queries. Int. J. Pub. Opin. Res. 2011, 23, 104–113. [Google Scholar] [CrossRef]
- Nuti, S.V.; Wayda, B.; Ranasinghe, I.; Wang, S.; Dreyer, R.P.; Chen, S.I.; Murugiah, K. The use of Google Trends in health care research: A systematic review. PLoS ONE 2014, 9, e109583. [Google Scholar] [CrossRef]
- Seifter, A.; Schwarzwalder, A.; Geis, K.; Aucott, J. The utility of “Google Trends” for epidemiological research: Lyme disease as an example. Geospat. Health 2010, 4, 135–137. [Google Scholar] [CrossRef] [PubMed]
- Pesälä, S.; Virtanen, M.J.; Sane, J.; Mustonen, P.; Kaila, M.; Helve, O. Health Information–Seeking Patterns of the General Public and Indications for Disease Surveillance: Register-Based Study Using Lyme Disease. JMIR Public Health Surveill. 2017, 3, e86. [Google Scholar] [CrossRef] [PubMed]
- Walker, M.D. Can Google be used to study parasitic disease? Internet searching on tick-borne encephalitis in Germany. J. Vector Borne Dis. 2018, 55, 327–329. [Google Scholar] [CrossRef] [PubMed]
- Kapitány-Fövény, M.; Ferenci, T.; Sulyok, Z.; Kegele, J.; Richter, H.; Vályi-Nagy, I.; Sulyok, M. Can Google Trends data improve forecasting of lyme disease incidence? Zoonoses Public Health 2019, 66, 101–107. [Google Scholar] [CrossRef]
- Sulyok, M.; Richter, H.; Sulyok, Z.; Kapitány-Fövény, M.; Walker, M.D. Predicting tick-borne encephalitis using Google Trends. Ticks Tick-Borne Dis. 2020, 11, 101306. [Google Scholar] [CrossRef]
- Scheerer, C.; Rüth, M.; Tizek, L.; Köberle, M.; Biedermann, T.; Zink, A. Googling for ticks and borreliosis in Germany: Nationwide Google search analysis from 2015 to 2018. J. Med. Internet Res. 2020, 22, e18581. [Google Scholar] [CrossRef]
- Martin, L.J.; Hjertqvist, M.; van Straten, E.; Bjelkmar, P. Investigating novel approaches to tick-borne encephalitis surveillance in Sweden, 2010–2017. Ticks Tick-Borne Dis. 2020, 11, 101486. [Google Scholar] [CrossRef]
- Kim, D.; Maxwell, S.; Le, Q. Spatial and temporal comparison of perceived risks and confirmed cases of Lyme disease: An exploratory study of Google Trends. Front. Public Health 2020, 8, 395. [Google Scholar] [CrossRef]
- Sadilek, A.; Hswen, Y.; Bavadekar, S.; Shekel, T.; Brownstein, J.S.; Gabrilovich, E. Lymelight: Forecasting Lyme disease risk using web search data. NPJ Digit. Med. 2020, 3, 16. [Google Scholar] [CrossRef]
- Bogdziewicz, M.; Szymkowiak, J. Oak acorn crop and Google search volume predict lyme disease risk in temperate Europe. Basic Appl. Ecol. 2016, 17, 300–307. [Google Scholar] [CrossRef]
- Jensen, P.M.; Danielsen, F.; Skarphedinsson, S. Monitoring temporal trends in Internet searches for “ticks” across Europe by Google Trends: Tick–human interaction or general interest? Insects 2022, 13, 176. [Google Scholar] [CrossRef] [PubMed]
- National Institute of Health. ISIN/EpiDat. Available online: http://www.szu.cz/publikace/data/infekce-v-cr?lang=1 (accessed on 22 July 2022).
- Robert Koch Institute. SurvStat@RKI 2.0. Available online: https://survstat.rki.de/Content/Query/ (accessed on 22 July 2022).
- Federal Office of Public Health. BAG-Bulletin. Available online: https://www.bag.admin.ch/bag/de/home/das-bag/publikationen/periodika/bag-bulletin.html (accessed on 22 July 2022).
- Centre of Virology, Medical University of Vienna. Virusepidemiologischen Information. Available online: https://www.virologie.meduniwien.ac.at/wissenschaft-forschung/virus-epidemiologie/ (accessed on 22 July 2022).
- Anonymous. Arztbesuche wegen Zeckenstich bzw. Lyme-Borreliose sowie Fälle von FSME. Bundesamt Gesundh. Bull. 2015, 21/15, 338–339. [Google Scholar]
- Daniel, M.; Maly, M.; Danielova, V.; Kriz, B.; Nuttall, P. Abiotic predictors and annual seasonal dynamics of Ixodes ricinus, the major disease vector of Central Europe. Parasit Vectors 2015, 8. [Google Scholar] [CrossRef] [PubMed]
- Hönig, V.; Svec, P.; Marek, L.; Mrkvicka, T.; Zubrikova, D.; Wittmann-Vögerl, M.; Masar, O.; Szturcova, D.; Ruzek, D.; Pfister, K.; et al. Model of risk of exposure to Lyme borreliosis and tick-borne encephalitis virus-infected ticks in the border area of the Czech Republic (South Bohemia) and Germany (Lower Bavaria and Upper Palatinate). Int. J. Environ. Res. Public Health 2019, 16, 1173. [Google Scholar] [CrossRef]
- Mavragani, A.; Ochoa, G.; Tsagarakis, K.P. Assessing the methods, tools, and statistical approaches in Google Trends research: Systematic review. J. Med. Internet Res. 2018, 20, e270. [Google Scholar] [CrossRef]
- European Centre for Disease Prevention and Control. Tick-Borne Encephalitis: Annual Epidemiological Report for 2020; ECDC: Stockholm, Sweden, 2022; pp. 1–6.
- Borde, J.P.; Kaier, K.; Hehn, P.; Matzarakis, A.; Frey, S.; Bestehorn, M.; Dobler, G.; Chitimia-Dobler, L. The complex interplay of climate, TBEV vector dynamics and TBEV infection rates in ticks—Monitoring a natural TBEV focus in Germany, 2009–2018. PLoS ONE 2021, 16, e0244668. [Google Scholar] [CrossRef]
- Kriz, B.; Maly, M.; Benes, C.; Daniel, M. Epidemiology of tick-borne encephalitis in the Czech Republic 1970–2008. Vector-Borne Zoonotic Dis. 2012, 12, 994–999. [Google Scholar] [CrossRef]
- Hellenbrand, W.; Kreusch, T.; Böhmer, M.M.; Wagner-Wiening, C.; Dobler, G.; Wichmann, O.; Altmann, D. Epidemiology of tick-borne encephalitis (TBE) in Germany, 2001–2018. Pathogens 2019, 8, 42. [Google Scholar] [CrossRef]
- Garcia-Marti, I.; Zurita-Milla, R.; Harms, M.G.; Swart, A. Using volunteered observations to map human exposure to ticks. Sci. Rep. 2018, 8, 15435. [Google Scholar] [CrossRef]
- Eisen, L.; Eisen, R.J. Benefits and drawbacks of citizen science to complement traditional data gathering approaches for medically important hard ticks (Acari: Ixodidae) in the United States. J. Med. Entomol. 2021, 58, 1–9. [Google Scholar] [CrossRef]
- Rubel, F.; Walter, M.; Vogelgesang, J.R.; Brugger, K. Tick-borne encephalitis (TBE) cases are not random: Explaining trend, low- and high-frequency oscillations based on the Austrian TBE time series. BMC Infect. Dis. 2020, 20, 448. [Google Scholar] [CrossRef]
- Trajer, A.; Bobvos, J.; Paldy, A.; Krisztalovics, K. Association between incidence of Lyme disease and spring-early summer season temperature changes in Hungary—1998–2010. Ann. Agric. Environ. Med. 2013, 20, 245–251. [Google Scholar]
- Dinis, G.; Costa, C.; Pacheco, O. Similarities and correlation between resident tourist overnights and Google Trends information in Portugal and its tourism regions. Tour. Manag. Stud. 2017, 13, 15–22. [Google Scholar] [CrossRef]
- Rossello, J.; Waqas, A. The influence of weather on interest in a “Sun, Sea and Sand” tourist destination: The case of Majorca. Weather Clim. Soc. 2016, 8, 160215110135008. [Google Scholar] [CrossRef]
- Dautel, H.; Dippel, C.; Kämmer, D.; Werkhausen, A.; Kahl, O. Winter activity of Ixodes ricinus in a Berlin forest. Int. J. Med. Microbiol. 2008, 298 (Suppl. 1), 50–54. [Google Scholar] [CrossRef]
- Hubalek, Z.; Halouzka, J.; Juricova, Z. Host-seeking activity of ixodid ticks in relation to weather variables. J. Vector Ecol. 2003, 28, 159–165. [Google Scholar] [PubMed]
- Beugnet, F.; Chalvet-Monfray, K.; Loukos, H. FleaTickRisk: A meteorological model developed to monitor and predict the activity and density of three tick species and the cat flea in Europe. Geospat. Health 2009, 4, 97–113. [Google Scholar] [CrossRef]
- Kiewra, D.; Kryza, M.; Szymanowski, M. Influence of selected meteorological variables on the questing activity of Ixodes ricinus ticks in Lower Silesia, SW Poland. J. Vector Ecol. 2014, 39, 138–145. [Google Scholar] [CrossRef] [PubMed]
- Hauser, G.; Rais, O.; Cadenas, F.M.; Gonseth, Y.; Bouzelboudjen, M.; Gern, L. Influence of climatic factors on Ixodes ricinus nymph abundance and phenology over a long-term monthly observation in Switzerland (2000–2014). Paras. Vectors 2018, 11, 289. [Google Scholar] [CrossRef] [PubMed]
- Gethmann, J.; Hoffmann, B.; Kasbohm, E.; Süss, J.; Habedank, B.; Conraths, F.J.; Beer, M.; Klaus, C. Research paper on abiotic factors and their influence on Ixodes ricinus activity—Observations over a two-year period at several tick collection sites in Germany. Parasitol. Res. 2020, 119, 1455–1466. [Google Scholar] [CrossRef] [PubMed]
- Zając, Z.; Kulisz, J.; Bartosik, K.; Woźniak, A.; Dzierżak, M.; Khan, A. Environmental determinants of the occurrence and activity of Ixodes ricinus ticks and the prevalence of tick-borne diseases in eastern Poland. Sci. Rep. 2021, 11, 15472. [Google Scholar] [CrossRef] [PubMed]
- Wongnak, P.; Bord, S.; Jacquot, M.; Agoulon, A.; Beugnet, F.; Bournez, L.; Cèbe, N.; Chevalier, A.; Cosson, J.-F.; Dambrine, N.; et al. Meteorological and climatic variables predict the phenology of Ixodes ricinus nymph activity in France, accounting for habitat heterogeneity. Sci. Rep. 2022, 12, 7833. [Google Scholar] [CrossRef] [PubMed]






| # | Search Query | Czech Rep. | Germany | Austria | Switzerland |
|---|---|---|---|---|---|
| 1 | tick activity | „aktivita klíšťat“ (2285/20.8) | „zeckenaktivität“ (2251/15.8) | (0) | (0) |
| tick occurrence | „výskyt klíšťat“ (2085/20.8) | „zecken vorkommen“ (2804/30.0) | (0) | (0) | |
| tick weather | (0) | „zeckenwetter“ (3141/26.2) | ditto * (193/0.1) | ditto * (178/0.1) | |
| tick risk | (0) | „zeckengefahr“ (6037/55.8) | ditto * (1596/7.3) | ditto * (1158/8.5) | |
| 2 | tick bite | „kousnutí klíštětem“ (3492/45.8) | „zeckenstich/-biss“ (6417/97.3, 5724/100) | ditto * (5875/52.3, 5236/99.2) | ditto * (5452/75.8, 5294/98.8) |
| tick-borne encephalitis | „klíšťová encefalitida“ (5087/96.5) | „FSME“ (7066/100) | ditto * (6287/100) | ditto * (5023/100) | |
| Lyme borreliosis | „Lymská borelióza“ (10,090/100) | „borreliose“ (10,499/100) | ditto * (8159/100) | ditto * (6018/100) | |
| 3 | weather | „počasí“ (9745/100) | „wetter“ (10,464/100) | ditto * (11,665/100) | ditto * (13,603/100) |
| resort/tourist attraction | Lipno dam (4681/100) | Königssee (9515/100) | Hallstatt (8081/100) | Interlaken (12,472/100) |
| Search Query | Tick-Borne Encephalitis | Lyme Borreliosis | |||||||||
|---|---|---|---|---|---|---|---|---|---|---|---|
| Lag in Weeks | Lag in Weeks | ||||||||||
| 0 | 1 | 2 | 3 | 4 | 0 | 1 | 2 | 3 | 4 | ||
| Czech Rep. | tick activity | 28.9 | 34.3 | 39.8 | 45.2 | 50.2 | 25.0 | 27.7 | 30.6 | 33.8 | 37.0 |
| tick occurrence | 32.5 | 37.0 | 41.1 | 44.6 | 47.2 | 20.9 | 22.8 | 24.7 | 26.5 | 31.2 | |
| weather | 68.5 | 70.2 | 71.7 | 73.1 | 74.4 | 54.2 | 56.1 | 57.7 | 59.1 | 60.1 | |
| Germany | tick weather | 31.4 | 38.0 | 44.2 | 49.6 | 54.1 | 23.9 | 28.2 | 32.5 | 36.7 | 40.6 |
| tick occurrence | 31.2 | 37.6 | 43.5 | 48.6 | 52.2 | 23.4 | 27.6 | 31.7 | 36.0 | 39.4 | |
| tick risk | 44.8 | 50.7 | 55.8 | 60.2 | 63.5 | 33.6 | 38.1 | 42.1 | 45.9 | 49.4 | |
| weather | 75.8 | 76.7 | 76.9 | 76.6 | 76.2 | 65.1 | 67.6 | 69.5 | 70.7 | 70.9 | |
| Switzerland | tickbite (-stich) | 58.3 | 60.9 | 61.8 | 63.2 | 61.6 | 54.3 | 55.4 | 56.7 | 57.4 | 56.2 |
| tick bite (-biss) | 52.8 | 56.6 | 58.7 | 60.3 | 59.1 | 51.0 | 51.9 | 52.7 | 54.3 | 53.5 | |
| sentinel data | 51.1 | 54.4 | 57.2 | 56.3 | 55.8 | 48.6 | 49.2 | 50.3 | 50.4 | 48.8 | |
Disclaimer/Publisher’s Note: The statements, opinions and data contained in all publications are solely those of the individual author(s) and contributor(s) and not of MDPI and/or the editor(s). MDPI and/or the editor(s) disclaim responsibility for any injury to people or property resulting from any ideas, methods, instructions or products referred to in the content. |
© 2023 by the author. Licensee MDPI, Basel, Switzerland. This article is an open access article distributed under the terms and conditions of the Creative Commons Attribution (CC BY) license (https://creativecommons.org/licenses/by/4.0/).
Share and Cite
Zeman, P. Tick-Bite “Meteo”-Prevention: An Evaluation of Public Responsiveness to Tick Activity Forecasts Available Online. Life 2023, 13, 1908. https://doi.org/10.3390/life13091908
Zeman P. Tick-Bite “Meteo”-Prevention: An Evaluation of Public Responsiveness to Tick Activity Forecasts Available Online. Life. 2023; 13(9):1908. https://doi.org/10.3390/life13091908
Chicago/Turabian StyleZeman, Petr. 2023. "Tick-Bite “Meteo”-Prevention: An Evaluation of Public Responsiveness to Tick Activity Forecasts Available Online" Life 13, no. 9: 1908. https://doi.org/10.3390/life13091908
APA StyleZeman, P. (2023). Tick-Bite “Meteo”-Prevention: An Evaluation of Public Responsiveness to Tick Activity Forecasts Available Online. Life, 13(9), 1908. https://doi.org/10.3390/life13091908

