Formation of Thiophene under Simulated Volcanic Hydrothermal Conditions on Earth—Implications for Early Life on Extraterrestrial Planets?
Abstract
1. Introduction
2. Materials and Methods
3. Results
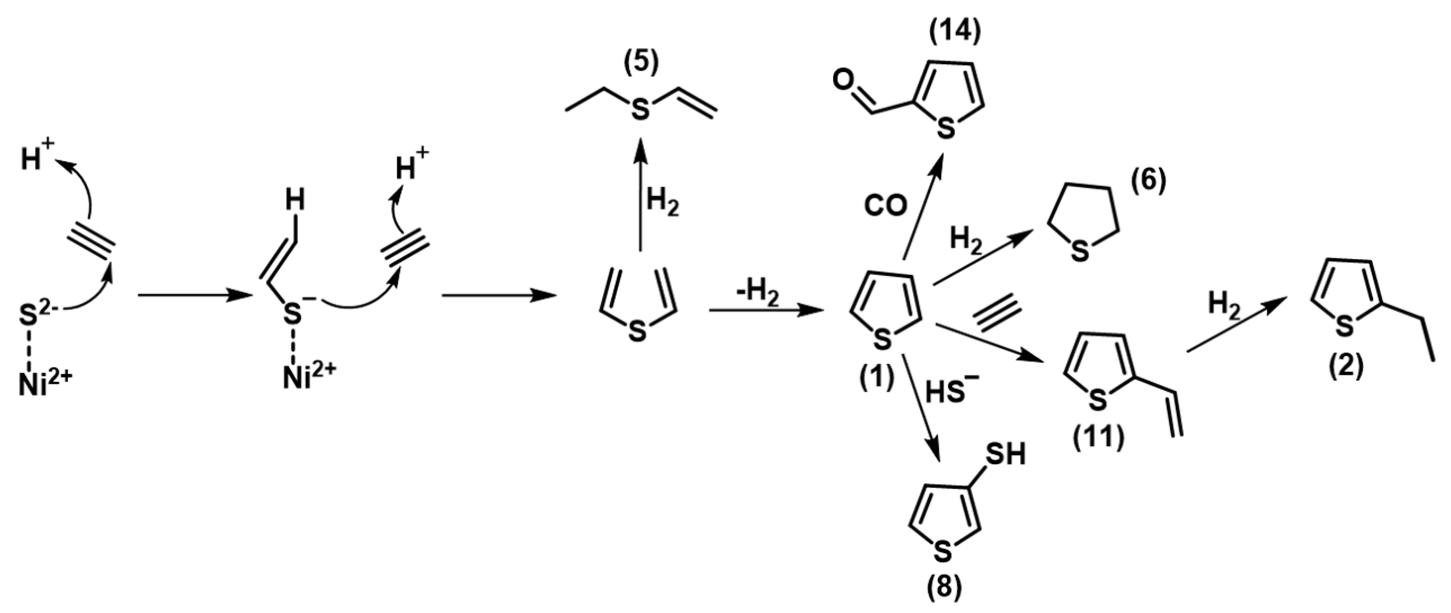
4. Discussion
5. Conclusions
Supplementary Materials
Author Contributions
Funding
Acknowledgments
Conflicts of Interest
References
- Eigenbrode, J.L.; Summons, R.E.; Steele, A.; Freissinet, C.; Millan, M.; Navarro-González, R.; Sutter, B.; McAdam, A.C.; Franz, H.B.; Glavin, D.P. Organic matter preserved in 3-billion-year-old mudstones at Gale crater, Mars. Science 2018, 360, 1096–1101. [Google Scholar] [CrossRef]
- Heinz, J.; Schulze-Makuch, D. Thiophenes on Mars: Biotic or Abiotic Origin? Astrobiology 2020, 20, 552–561. [Google Scholar] [CrossRef]
- Ehrenfreund, P.; Sephton, M.A. Carbon molecules in space: From astrochemistry to astrobiology. Faraday Discuss. 2006, 133, 277–288. [Google Scholar] [CrossRef]
- Sephton, M.A. Organic compounds in carbonaceous meteorites. Nat. Prod. Rep. 2002, 19, 292–311. [Google Scholar] [CrossRef] [PubMed]
- Tassi, F.; Montegrossi, G.; Capecchiacci, F.; Vaselli, O. Origin and distribution of thiophenes and furans in gas discharges from active volcanoes and geothermal systems. Int. J. Mol. Sci. 2010, 11, 1434–1457. [Google Scholar] [CrossRef] [PubMed]
- Kawaka, O.E.; Simoneit, B.R.T. Hydrothermal pyrolysis of organic matter in Guaymas Basin: I. Comparison of hydrocarbon distributions in subsurface sediments and seabed petroleums. Org. Geochem. 1994, 22, 947–978. [Google Scholar] [CrossRef]
- Simoneit, B.R.T. A review of current applications of mass spectrometry for biomarker/molecular tracer elucidation. Mass Spectrom. Rev. 2005, 24, 719–765. [Google Scholar] [CrossRef]
- Lepot, K.; Benzerara, K.; Rividi, N.; Cotte, M.; Brown, G.E.; Philippot, P. Organic matter heterogeneities in 2.72 Ga stromatolites: Alteration versus preservation by sulfur incorporation. Geochim. Cosmochim. Acta 2009, 73, 6579–6599. [Google Scholar] [CrossRef]
- Van Kranendonk, M.J.; Philippot, P.; Lepot, K.; Bodorkos, S.; Pirajno, F. Geological setting of Earth’s oldest fossils in the ca. 3.5 Ga Dresser Formation, Pilbara Craton, Western Australia. Precambrian Res. 2008, 167, 93–124. [Google Scholar] [CrossRef]
- Mishra, R.; Jha, K.K.; Kumar, S.; Tomer, I. Synthesis, properties and biological activity of thiophene: A review. Der Pharma Chem. 2011, 3, 17. [Google Scholar]
- Scheidler, C.; Sobotta, J.; Eisenreich, W.; Wächtershäuser, G.; Huber, C. Unsaturated C-3,C-5,C-7,C-9-Monocarboxylic Acids by Aqueous, One-Pot Carbon Fixation: Possible Relevance for the Origin of Life. Sci. Rep. 2016, 6, 27595. [Google Scholar] [CrossRef] [PubMed]
- Sobotta, J.; Geisberger, T.; Moosmann, C.; Scheidler, C.M.; Eisenreich, W.; Wächtershäuser, G.; Huber, C. A Possible Primordial Acetyleno/Carboxydotrophic Core Metabolism. Life 2020, 10, 35. [Google Scholar] [CrossRef]
- Igari, S.; Maekawa, T.; Sakata, S. Light hydrocarbons in fumarolic gases: A case study in the Kakkonda geothermal area. Chikyukagau 2000, 34, 7. [Google Scholar]
- Singh, S.; McCord, T.B.; Combe, J.P.; Rodriguez, S.; Cornet, T.; Mouélic, S.L.; Clark, R.N.; Maltagliati, L.; Chevrier, V.F. Acetylene on Titans surface. Astrophys. J. 2016, 828, 55. [Google Scholar] [CrossRef]
- Segura, A.; Navarro-Gonzalez, R. Production of low molecular weight hydrocarbons by volcanic eruptions on early Mars. Orig. Life Evol. Biosph. 2005, 35, 477–487. [Google Scholar] [CrossRef] [PubMed]
- Wächtershäuser, G. Groundworks for an evolutionary biochemistry: The iron-sulphur world. Prog. Biophys. Mol. Biol. 1992, 58, 85–201. [Google Scholar]
- Hollemann, A.F.; Wiberg, N. Lehrbuch der Anorganischen Chemie, 101st ed.; Walter de Gruyter: Berlin, Germany, 1995; p. 1582. [Google Scholar]
- Sillen, L.G.; Martell, A.E. Stability Constants of Metal-Ion Complexes. In Lange’s Handbook; Special Publ. No. 17; The Chemical Society: London, UK, 1964; pp. 8-6–8-11. [Google Scholar]
- Matsumoto, K.; Sera, A.; Uchida, T. Organic Synthesis under high pressure. Synthesis 1985, 18, 1–26. [Google Scholar] [CrossRef]
- Klärner, F.-G.; Wurche, F. The effect of pressure on organic reactions. J. Prakt. Chem. 2000, 342, 609–636. [Google Scholar]
- Trofimov, B.A. New Reactions and Chemicals Based on Sulfur and Acetylene. Sulfur. Rep. 1983, 3, 83–114. [Google Scholar] [CrossRef]
- Halliday, A.N.; Wänke, H.; Birck, J.-L.; Clayton, R.N. The accretion, composition and early differentiation of Mars. Space Sci. Rev. 2001, 96, 197–230. [Google Scholar]
- Huber, C.; Wächtershäuser, G. Activated Acetic Acid by Carbon Fixation on (Fe,Ni)S Under Primordial Conditions. Science 1997, 276, 245–247. [Google Scholar] [CrossRef]
- Allegre, C.J.; Poirier, J.-P.; Humler, E.; Hofmann, A.W. The chemical composition of the Earth. Earth Planet. Sci. Lett. 1995, 134, 515–526. [Google Scholar]
- Burns, R.G.; Fisher, D.S. Evolution of sulfide mineralization on Mars. J. Geophys. Res. Solid Earth 1990, 95, 14169–14173. [Google Scholar] [CrossRef]
- Yen, A.S.; Mittlefehldt, D.W.; McLennan, S.M.; Gellert, R.; Bell, J.F.; McSween, H.Y.; Ming, D.W.; McCoy, T.J.; Morris, R.V.; Golombek, M. Nickel on Mars: Constraints on meteoritic material at the surface. J. Geophys. Res. 2006, 111, E12S11. [Google Scholar] [CrossRef]
- Klein, F.; Bach, W. Fe–Ni–Co–O–S Phase Relations in Peridotite–Seawater Interactions. J. Petrol. 2009, 50, 37–59. [Google Scholar] [CrossRef]
- Huber, C.; Kraus, F.; Hanzlik, M.; Eisenreich, W.; Wächtershäuser, G. Elements of metabolic evolution. Chemistry 2012, 18, 2063–2080. [Google Scholar] [CrossRef] [PubMed]
- Kertesz, M.A. Riding the sulfur cycle–metabolism of sulfonates and sulfate esters in Gram-negative bacteria. FEMS Microbiol. Rev. 2000, 24, 135–175. [Google Scholar]
- Leman, L.J.; Orgel, L.E.; Ghadiri, M.R. Carbonyl sulfide-mediated prebiotic formation of peptides. Science 2004, 306, 4. [Google Scholar] [CrossRef] [PubMed]
- Van Kaam-Peters, H.M.; Rijpstra, W.I.C.; De Leeuw, J.W.; Damsté, J.S.S. A high resolution biomarker study of different lithofacies of organic sulfur-rich carbonate rocks of a Kimmeridgian lagoon (French southern Jura). Org. Geochem. 1998, 28, 151–177. [Google Scholar] [CrossRef]
- Sinninghe Damste, J.S.; Rijpstra, W.I.C.; Kock-van Dalen, A.C.; de Leeuw, J.W.; Schenck, P.A. Quenching of labile functionalised lipids by inorganic sulphur species: Evidence for the formation of sedimentary organic sulphur compounds at the early stages of diagenesis. Geochim. Cosmochim. Acta 1989, 53, 13. [Google Scholar] [CrossRef]
- Jitrapakdee, S.; Wallace, J.C. Structure, function and regulation of pyruvate carboxylase. Biochem. J. 1999, 340, 1–16. [Google Scholar] [CrossRef]
- Lanzotti, V.; Trincone, A.; Gambacorta, A.; De Rosa, M.; Breitmaier, E. 1H and 13C NMR assignment of benzothiophenquinones from the sulfur-oxidizing archaebacterium Sulfolobus solfataricus. FEBS J. 1986, 160, 37–40. [Google Scholar] [CrossRef] [PubMed]
- Zhou, D.; White, R. Biosynthesis of caldariellaquinone in Sulfolobus spp. J. Bacteriol. 1989, 171, 6610–6616. [Google Scholar] [CrossRef] [PubMed]
- Simoneit, B.R.T. Prebiotic organic synthesis under hydrothermal conditions: An overview. Adv. Space Res. 2004, 33, 88–94. [Google Scholar] [CrossRef]
- Longo, A.; Damer, B. Factoring Origin of Life Hypotheses into the Search for Life in the Solar System and Beyond. Life 2020, 10, 52. [Google Scholar] [CrossRef]




| Run | NiSO4 | FeSO4 | CoSO4 | Na2S | NaOH | CO | C2H2 | pHend | Extract Supernatant | Extract Solid | Total Conc. | Total Yield |
|---|---|---|---|---|---|---|---|---|---|---|---|---|
| (mmol) | (mmol) | (mmol) | (mmol) | (mmol) | (mL) | (mL) | (mM) | (mM) | (mM) | (%) | ||
| 1 | 1 | 1 | 0.5 | - | 120 | 9.7 | 0.379 | 0.709 | 2.175 | 0.406 | ||
| 2 | - | 1 | - | 1 | 0.5 | - | 120 | 9.0 | <0.001 | <0.001 | <0.001 | <0.001 |
| 3 | - | - | 1 | 1 | 0.5 | - | 120 | 9.0 | 0.047 | 0.046 | 0.185 | 0.035 |
| 4 | 1 | - | - | 1 | - | - | 120 | 6.5 | 0.337 | 1.243 | 3.160 | 0.590 |
| 5 | 1 | - | - | 1.5 | - | - | 120 | 11.0 | 0.393 | 0.740 | 2.268 | 0.423 |
| 6 | 1 | - | - | 2 | - | - | 120 | 13.5 | 0.333 | 0.129 | 0.925 | 0.173 |
| 7 | - | 1 | - | 1.5 | - | - | 120 | 12.0 | 0.023 | 0.066 | 0.177 | 0.033 |
| 8 | - | 1 | - | 2 | - | - | 120 | 13.5 | 0.002 | 0.002 | 0.008 | 0.001 |
| 9 | 0.5 | 0.5 | - | 1 | 0.5 | - | 120 | 11.0 | 0.377 | 0.503 | 1.761 | 0.329 |
| 10 | 1 | - | - | 1 | 0.5 | 60 | 60 | 9.5 | 0.220 | 0.067 | 0.574 | 0.214 |
| 11 | - | 1 | - | 1 | 0.5 | 60 | 60 | 9.0 | 0.002 | <0.001 | 0.004 | 0.001 |
| 12 | - | - | 1 | 1 | 0.5 | 60 | 60 | 9.5 | 0.075 | 0.476 | 1.103 | 0.412 |
| 13 | 1 | - | - | 1 | 0.5 | - | 120 | 10.1 | 0.135 | 0.618 | 1.505 | 0.281 |
| 14 | - | 1 | - | 1 | 0.5 | - | 120 | 8.5 | 0.001 | 0.001 | 0.003 | 0.001 |
| 15 | - | - | 1 | 1 | 0.5 | - | 120 | 8.7 | 0.023 | 0.012 | 0.070 | 0.013 |
| 16 | 1 | - | - | 1 | - | - | 120 | 7.1 | 0.040 | 0.468 | 1.015 | 0.190 |
| 17 | 1 | - | - | 1 | 0.5 | 60 | 60 | 7.8 | 0.225 | 0.213 | 0.877 | 0.327 |
| 18 | - | 1 | - | 1 | 0.5 | 60 | 60 | 7.6 | 0.000 | 0.001 | 0.002 | 0.001 |
Publisher’s Note: MDPI stays neutral with regard to jurisdictional claims in published maps and institutional affiliations. |
© 2021 by the authors. Licensee MDPI, Basel, Switzerland. This article is an open access article distributed under the terms and conditions of the Creative Commons Attribution (CC BY) license (http://creativecommons.org/licenses/by/4.0/).
Share and Cite
Geisberger, T.; Sobotta, J.; Eisenreich, W.; Huber, C. Formation of Thiophene under Simulated Volcanic Hydrothermal Conditions on Earth—Implications for Early Life on Extraterrestrial Planets? Life 2021, 11, 149. https://doi.org/10.3390/life11020149
Geisberger T, Sobotta J, Eisenreich W, Huber C. Formation of Thiophene under Simulated Volcanic Hydrothermal Conditions on Earth—Implications for Early Life on Extraterrestrial Planets? Life. 2021; 11(2):149. https://doi.org/10.3390/life11020149
Chicago/Turabian StyleGeisberger, Thomas, Jessica Sobotta, Wolfgang Eisenreich, and Claudia Huber. 2021. "Formation of Thiophene under Simulated Volcanic Hydrothermal Conditions on Earth—Implications for Early Life on Extraterrestrial Planets?" Life 11, no. 2: 149. https://doi.org/10.3390/life11020149
APA StyleGeisberger, T., Sobotta, J., Eisenreich, W., & Huber, C. (2021). Formation of Thiophene under Simulated Volcanic Hydrothermal Conditions on Earth—Implications for Early Life on Extraterrestrial Planets? Life, 11(2), 149. https://doi.org/10.3390/life11020149

