A Resilient and Time-Efficient Approach to Product Development Through Availability-Based Design (ABD)
Abstract
1. Introduction
2. Definitions, Nomenclature and Hypothesis
- Design: a rationally structured assembly of components that fulfill (a) required function(s).
- Machine sub-assembly (or sub-assembly (SB)): a set of ordered machine components that performs a group of given functions. Machines are composed of different sub-assemblies [2].
- Bill of Materials (BOM): the list of components needed to produce a given design.
- Design iteration (DI): the realization of the design process one time. A design iteration may lead to a solution, multiple solutions, or no solution if the project is not feasible.
- Design option (DO): a design, resulting from a DI, that has passed satisfactorily all technical checks.
- Designer (D): the person who is responsible for the overall design tasks and for achieving the BOM.
- Project manager (PM): the person who requests the design from the designer and who will make use of the design. The project manager specifies the product design specifications to the designer. The designer interacts with the project manager and negotiates the design constraints. In this text, PM is considered to be the customer.
- Time to market (TtoM): the amount of time requested by the project manager (here, the customer) to physically deliver the materials included in the BOM, design services being included. Assembly and its delay are under the responsibility of the PM (here, the customer).
- Time to invest (TtoI): the amount of time that the project manager (here, the customer) will take after the reception of the BOM offer to place the order. Between BOM offering and BOM ordering, a given amount of time occurs..
- Total processing time (TPT): the amount of time effectively consumed to physically deliver the design option(s). This includes all tasks needed to achieve the delivery of the goods.
- Design Time (DT): the time used by designers to perform all engineering tasks needed to achieve the BOM, including the verification of component availability.
- Engineering to Order designs (ETO [56]): are designs where the D engineers, manufactures, and delivers the design.
- Standard components: machine elements that are designed and manufactured in such a way that they can be used in a wide range of different applications. They are standard, repeatable, interchangeable, high-volume, high-performance, and low-cost. They also allow a direct geometrical compatibility, usually based on one of their main standardized sizes.
3. Conventional Design Process (CDP)

- 1.
- TtoM, which spans between the expression of the need and the delivery of the goods (for a timely, successful design, this last step must be specified). In ETO projects, TtoM depends on agreed deliverables with the D, not necessarily on the market availability of the released design. In that case, TtoM is achieved when the components are duly delivered within the specified timeframe (even if the machine remains unassembled, untested, and unvalidated). The time effectively consumed by the design process to practically provide a given satisfactory design, that is, here, a given BOM of satisfactory components, is the TPT. The design process is successful when . In the other case, the process fails. In the CDP, availability check and offering steps are usually not done by the D but entrusted to other teams (e.g., internal sales, logistics, customer service).
- 2.
- DT, which most accurately quantifies the duration of the D’s tasks, including the availability check step (which is particularly relevant for comparison purposes with the other process described in this paper), but excluding the offering step, which is not considered as a design task in the framework of this paper.
- 3.
- TtoI, which denotes the duration necessary for the PM to reach the investment decision.
4. Availability-Based Design (ABD)
5. Qualitative Comparison of Both Design Processes
6. Design Case Study of a Ball Screw Drive Actuator (BSD)
6.1. Sub-Assembly, Families and Components
- 1.
- 2.
- pillow block
- 3.
- preloading nut
- 4.
- rod’s end
- 5.
- coupling
- 6.
- motor
- 7.
- safety brake
6.2. Probability of Being Successful While Designing with CDP: Availability Ratio
- 1.
- is the same for every family of components;
- 2.
- is the same for every family;
- 3.
- each family is independent from the others.
- is the probability of generating one available DO;
- c is the confidence level of obtaining one available DO, here ;
- is the probability of drawing at least one available component within family f.
- is the number of components’ draws to be done;
- q is the number of available components to be drawn (in this case, );
- K is the number of available components within the family ().
7. Timeline Models for Both Design Processes
- Only 1 concept is considered (a generalization could consider multiple concepts. To allow adequate comparison, the concepts should be the same in the CDP and ABD. In practice, experienced designers naturally change the concept when they cannot find satisfactory solutions to their design problem);
- The DO are generated sequentially;
- The DO are independent;
- families of 1 component are considered per design option (DO);
- There is one number of components per family, ;
- per component are to be computed;
- KDIs must be checked for each design option (DO);
- , with , i.e., the DO delivery time is the maximum of the delivery times of each of the DO components.
- Only DO are selected
- The selected KDI are checked only for the selected DO
8. Quantitative Comparison of Both Design Processes
- 1.
- Manual design is performed without the assistance of a computer-aided system. Printed or online technical catalogs are consulted to pre-select standard components, and straightforward design-documented calculations (by hand or with low-tech tools) are performed. After technical checks (TC) and global properties are performed, the synthesis and the BOM are established manually and transferred to other teams (“over the wall” approach) for checking BOM availability. This is usually realized from requests for quotation done by the purchase department to different suppliers. Offers are received, examined, and summarized to identify the best delivery times of BOM components. All this process is realized manually, which takes time. This method of design concerns specifically engineering offices (e.g., assemblers) that are treating non-recurrent machine designs. It may also concern completely new designs where engineering design, overall TC to be performed, and their orders of magnitude are not mastered enough. In these cases, the D wants to understand more accurately the relevant influencing parameters, and feels the need to explore the overall calculation protocol. These engineering offices generate individual designs after having performed the necessary TC manually. For completely new designs, R&D purposes, prototypes, or critical applications (e.g., where the 4-eyes principle is required), manual design is usually the way projects are managed in engineering to order design offices.
- 2.
- Semi-automated design is performed when the D deals with projects of similar complexities. The D may be used to work with identical groups of standard components [66]. In such situations, the performed TC are well known, orders of magnitude better mastered, and calculations can be more or less automated (e.g., systematic (re)design of similar or same products for different application purposes). Application engineering treating variation designs may also have developed some engineering tools for partially automatizing some of the systematically identified TC of components. The nature, number of TC and verification flowchart are known, mastered, and regularly practiced. The TC are listed and (self)programmed (e.g., in Excel, MatLab, MathCad, etc.) to generate quickly given formatted results (e.g., minimum static safety factor, nominal rating life, power rating used, etc.). Some of these routines are also offered by component manufacturers (e.g., Medias Professional by Schaeffler), while others can be programmed directly by engineering offices themselves. Most of the time, these routines concern only one standard component at a time. They do not allow any integration of different sets of standard components. Sometimes, this forces the D to perform KDI calculations separately or manually. However, they allow quicker verifications of given standard components, which induces non-negligible quick wins on the DT. It should be noted that no automatization of availability checks is considered in the semi-automated approach.
- 3.
- Automated design is allowed thanks to integrated tools that some manufacturers developed (e.g., BearinX by Schaeffler [67], KISSsoft by KISSLING AG & Co. KG [68], etc.). These tools can combine diverse types of machine components (e.g., shaft, bearings, pulleys, etc.). They include large components libraries enabling designers to assemble different machine elements together into given SB. The design being virtually created, these software solve TC and KDI calculations together over a whole SB. Detailed and synthetic results are generated and available under the form of printable calculation notes or numerical files. These files can be quickly reused for further automatization or optimization. In most cases, these tools are private internal software used by application engineering of standard components manufacturers. They allow definition, assembly, static and kinematic liaison between objects, load cases introduction and simulations of given components assemblies working under given conditions. Under licenses, major customers (e.g., serial machine manufacturers) may have access to partial or full versions of these software. They reduce drastically the amount of work necessary from engineering offices to perform design scenarios. The DT and product launches are drastically shortened and/or quick generation of multiple DO allow easy optimization of products, fast redesign, or easy concurrent engineering. Additionally, parallel to the automation of TC, manufacturers also have access to the instantaneous availability information in general (e.g., stocks levels, planning, production batches, order entries, production issues, etc.) or in part (e.g., limited to stock levels, agenda of stock entries, most used components, etc.). This real or discrete time information issued from enterprise resource planning (ERP) platforms can also be directly consulted by designers or be linked with integrated design software (e.g., in the BearinX software).
8.1. Comparison of Step Durations
8.2. Influence of Automation with Varying
8.3. Influence of the Availability Ratio
9. Sensitivity Analysis of ABD
- 1.
- the number of families in the design ()
- 2.
- the number of calculations to be made for assessing the components and designs ( and ).
9.1. Number of Families
9.2. Number of Technical Checks TC and KDI ( and )
10. Conclusions
- In the CDP performed manually, the TC and KDI calculations amount to 56% of the DT
- In CDP performed manually, the availability check takes 24% of the DT; reducing those durations using automation can bring a decisive strategic advantage to the D
- ABD, performed manually, offers a significant DT gain over the CDP, which has been quantified in the BSD case study:
- –
- The influence of , including for exceptionally low values (shortage, ), was studied, and ABD performed better under these conditions;
- –
- Specifically at high availability ratios (full availability, ), when the design process is performed manually, CDP becomes more efficient than ABD;
- –
- For multiple DO, ABD remains more efficient than the CDP.
- Semi- or fully automated design modes strongly improve the performance gap between ABD and CDP, even if both methodologies are automated (the CDP cannot be automated beyond the semi-automation state). In these design modes, conclusions similar to the ones in manual design can be drawn:
- –
- Lower availability ratio values strongly favor ABD over the CDP;
- –
- At high availability, the CDP may become more efficient than ABD in semi-automation, but not in full automation;
- –
- For multiple DO, ABD is always more efficient than the CDP.
- Sensitivity analyses were performed over two major parameters (the number of families and the number of TC and KDI to be computed. In both cases, ABD always performed better than the CDP, and always more so as the automation degree improves.
Author Contributions
Funding
Data Availability Statement
Conflicts of Interest
Abbreviations
| AS | Associated services |
| BOM | Bill of Materials |
| CDP | Conventional Design Process |
| D | Designer |
| DI | Design Iteration |
| DO | Design Option |
| DT | Design Time |
| ERP | Enterprise resource planning |
| ETO | Engineering to Order |
| KDI | Key Design Indicator |
| MOQ | Minimum order quantity |
| PM | Project Manager |
| SB | Subassembly |
| TC | Technical Check |
| TPT | Total Processing Time |
| TtoI | Time to Invest |
| TtoM | Time to Market |
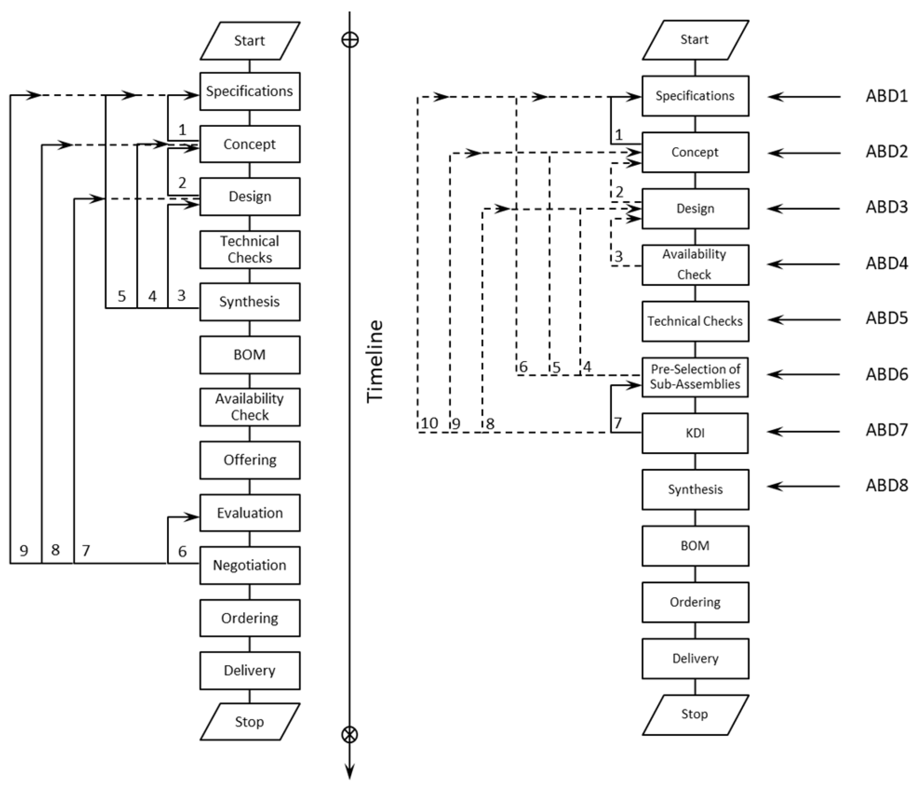
Appendix A. Retroaction Loops and Their Circumstances
Appendix A.1. Conventional Design Process
- Loop 1
- The suggested concept does not meet the specifications; the concept must be started over.
- Loop 2
- The design fails to meet the concept using standard components; the concept must be adapted.
- Loop 3
- Not all components satisfy the TC; components must be changed at the design stage.
- Loop 4
- No component satisfies the TC; the concept must be altered.
- Loop 5
- Alterations of the concept still do not allow meeting the TC; the specifications must be negotiated and adapted.
- Loop 6
- The delivery time cannot be met; negotiations must occur with the supplier if the delay margin is sufficiently small.
- Loop 7
- The delivery time cannot be negotiated to meet the requirements; the design must be changed.
- Loop 8
- The design changes do not yield an available DO; the concept must be changed.
- Loop 9
- The concept changes do not yield an available DO; the specifications must be negotiated and adapted.
Appendix A.2. Availability-Based Design
- Loop 1
- The suggested concept does not meet the specifications; the concept must be started over.
- Loop 2
- The designs fail to meet the concept using standard components; the concept must be adapted. In ABD, several designs are generated and investigated simultaneously, minimizing the probability of occurrence of this loop.
- Loop 3
- None of the selected components is available. In ABD, the number of selected components can be adapted to account for the availability of components through Equation (13), minimizing the probability of occurrence of this loop.
- Loop 4
- No pre-selection can be made, e.g., because the TC results are insufficient. The design space () must be extended. The initial selection of components in each family limits the probability of occurrence of these issues, minimizing the probability of occurrence of this loop.
- Loop 5
- If increasing yields no pre-selection, the concept must be adapted. This loop mainly risks appearing for an inexperienced D.
- Loop 6
- If a new concept with an adapted yields no pre-selection, the specifications could be impossible to meet and must be adapted. This loop mainly risks appearing for an inexperienced D.
- Loop 7
- If the KDI requirements cannot be met, a new pre-selection must be conducted.
- Loop 8
- If the KDI requirements cannot be met with any combination of components listed at the end of ABD5, the design space must be extended.
- Loop 9
- If the KDI requirements cannot be met with an extended design space, the concept must be adapted.
- Loop 10
- If the KDI requirements cannot be met after adapting the concept and the design space, the specifications must be negociated and adapted.
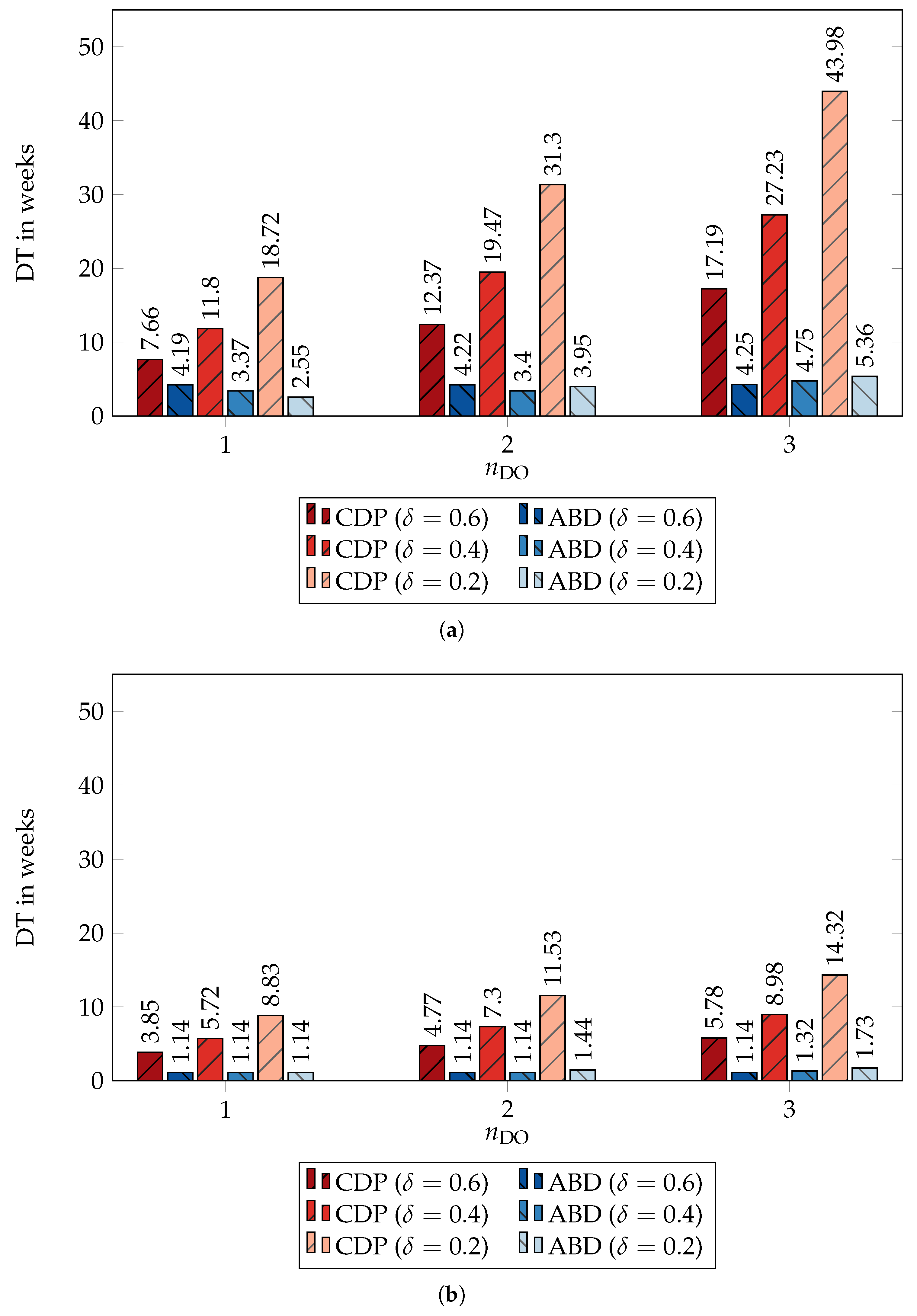
Appendix B. Influence of δ over the DT for the Semi-Automated Process

References
- Bender, B.; Gericke, K. (Eds.) Pahl/Beitz Konstruktionslehre: Methoden und Anwendung Erfolgreicher Produktentwicklung; Springer: Berlin/Heidelberg, Germany, 2021. [Google Scholar] [CrossRef]
- Dieter, G.E.; Schmidt, L.C. Engineering Design, 6th ed.; McGraw-Hill Education: New York, NY, USA, 2021. [Google Scholar]
- Dym, C.L.; Little, P.; Orwin, E.J. Engineering Design. In Engineering Design: A Project-Based Introduction, 4th ed.; Wiley: New York, NY, USA, 2014; pp. 3–15. [Google Scholar]
- Zorowsky, C.F. Design Engineering; Carnegie Mellon University: Pittsburgh, PA, USA, 2017; unpublished work. [Google Scholar]
- Design Council. The Double Diamond. 2025. Available online: https://www.designcouncil.org.uk/our-resources/the-double-diamond/ (accessed on 12 January 2026).
- Martins, J.R.R.A.; Ning, A. Engineering Design Optimization; Cambridge University Press: Cambridge, UK, 2021. [Google Scholar] [CrossRef]
- Vajna, S.; Burchardt, C. Modelle und Vorgehensweisen der Integrierten Produktentwicklung. In Integrated Design Engineering; Vajna, S., Ed.; Springer: Berlin/Heidelberg, Germany, 2014; pp. 3–50. [Google Scholar] [CrossRef]
- Cross, N. The Process of Design. In Engineering Design Methods: Strategies for Product Design, 4th ed.; Wiley: Hoboken, NJ, USA, 2021; pp. 29–42. [Google Scholar]
- Dixon, R. Overview of the Design Process. In ASM Handbook—Materials Selection and Design, 2nd ed.; Dieter, G.E., Ed.; ASM International: Materials Park, OH, USA, 2001; Volume 20, pp. 7–14. [Google Scholar]
- Spinnler, G. Conception des Machines—Principes et Applications; Presses Polytechniques et Universitaires Romandes: Lausanne, Switzerland, 1998; Volume 3. [Google Scholar]
- Childs, P.R. Specification. In Mechanical Design Engineering Handbook; Elsevier: Amsterdam, The Netherlands, 2014; pp. 25–49. [Google Scholar] [CrossRef]
- Haberhauer, H.; Bodenstein, F. Grundlagen. In Maschinenelemente, 17th ed.; Springer: Berlin/Heidelberg, Germany, 2014; pp. 1–67. [Google Scholar] [CrossRef]
- Hoenow, G.; Meißner, T. Entwerfen und Gestalten im Maschinenbau: Bauteile—Baugruppen—Maschinen, 3rd ed.; Hanser eLibrary, Fachbuchverlag Leipzig: Leipzig, Germany, 2021. [Google Scholar] [CrossRef]
- Wartzack, S.; Meerkamm, H.; Bauer, S.; Krehmer, H.; Stockinger, A.; Walter, M.; Schleich, B. Design for X (DFX). In Handbuch Konstruktion, 2nd ed.; Rieg, F., Steinhilper, R., Eds.; Carl Hanser Verlag GmbH & Co. KG: München, Germany, 2018; pp. 465–483. [Google Scholar]
- Schindler, C. Der allgemeine Konstruktionsprozess—Grundlagen des Methodischen Konstruierens. In Handbuch Konstruktion, 2nd ed.; Rieg, F., Steinhilper, R., Eds.; Carl Hanser Verlag GmbH & Co. KG: München, Germany, 2018; pp. 415–464. [Google Scholar]
- Spura, C.; Fleischer, B.; Wittel, H.; Jannasch, D. Konstruktive Grundlagen, Normzahlen. In Roloff/Matek Maschinenelemente; Springer Fachmedien Wiesbaden: Wiesbaden, Germany, 2025; pp. 1–22. [Google Scholar] [CrossRef]
- Ehrlenspiel, K.; Kiewert, A.; Lindemann, U.; Mörtl, M. Schwerpunkte beim Kostenmanagement für die Produktentwicklung. In Kostengünstig Entwickeln und Konstruieren, 7th ed.; Springer: Berlin/Heidelberg, Germany, 2014; pp. 21–36. [Google Scholar] [CrossRef]
- VDI 2221; Methodik Zum Entwickeln und Konstruieren Technischer Systeme und Produkte. Verein Deutscher Ingenieure: Düsseldorf, Germany, 1993.
- VDI. Konstruktionsmethodik—Technische-Wirtschaftliches Konstruieren—Tabellenwerk; Technical Report VDI 2225-bl.2; Verein Deutscher Ingenieure: Düsseldorf, Germany, 1998. [Google Scholar]
- Fleischer, B.; Theumert, H. Entwickeln Konstruieren Berechnen, 3rd ed.; Springer Fachmedien Wiesbaden: Wiesbaden, Germany, 2016. [Google Scholar] [CrossRef]
- Childs, P.R. Design. In Mechanical Design Engineering Handbook; Elsevier: Amsterdam, The Netherlands, 2014; pp. 1–24. [Google Scholar] [CrossRef]
- ISO 9241-210; Ergonomics of Human-System Interaction—Part 210: Human-Centred Design for Interactive Systems. ISO: Geneva, Switzerland, 2019.
- VDI. Entwicklung Mechatronischer Und Cyber-Physischer Systeme; Technical Report VDI 2206; Verein Deutscher Ingenieure: Düsseldorf, Germany, 2021. [Google Scholar]
- Kümmerer, R.; Bürger, M.; Dambacher, M.; Heine, B.; Rimkus, W.; Hartmann, A.; Kaufmann, H.; Zang, R.; Schäfer, W. Konstruktionslehre Maschinenbau, 7th ed.; Europa Lehrmittel, Verlag Europa-Lehrmittel Nourney, Vollmer GmbH & Co. KG: Haan-Gruiten, Germany, 2021. [Google Scholar]
- Feldhusen, J.; Sauer, B. Einleitung. In Konstruktionselemente des Maschinenbaus 1; Steinhilper, W., Sauer, B., Eds.; Springer: Berlin/Heidelberg, Germany, 2012; pp. 1–11. [Google Scholar] [CrossRef]
- VDI. Konstruktionsmethodik—Technisch-Wirtschaftliches Konstruieren—Vereinfachte Kostenermittlung; Technical Report VDI 2225-bl.1; Verein Deutscher Ingenieure: Düsseldorf, Germany, 1998. [Google Scholar]
- VDI. Konstruktionsmethodik—Technisch-Wirtschaftliches Konstruieren—Technisch-Wirtschaftliche Bewertung; Technical Report VDI 2225-bl.3; Verein Deutscher Ingenieure: Düsseldorf, Germany, 1998. [Google Scholar]
- VDI. Konstruktionsmethodik—Technisch-Wirtschaftliches Konstruieren—Bemessungslehre; Technical Report VDI 2225-bl.4; Verein Deutscher Ingenieure: Düsseldorf, Germany, 1998. [Google Scholar]
- Spotts, M.F.; Shoup, T.E.; Hornberger, L.E.; Spotts, M.F. Problem Solving and Design. In Design of Machine Elements, 8th ed.; Pearson Prentice Hall India: Nothar-Pradesh, India, 2014. [Google Scholar]
- Singh, A. Introduction to Machine Design. In Fundamentals of Machine Design; Cambridge University Press: Cambridge, UK, 2017; pp. 1–20. [Google Scholar]
- Polak, P. Cost Estimation and Reduction. In Engineering Design Elements; McGraw-Hill: London, UK; New York, NY, USA, 1991; pp. 186–190. [Google Scholar]
- VDI 2234; Wirtschaftliche Grundlagen Für Den Konstrukteur. Verein Deutscher Ingenieure: Düsseldorf, Germany, 1990.
- Ehrlenspiel, K.; Kiewert, A.; Lindemann, U.; Mörtl, M. Kostenverantwortung der Produktentwickler. In Kostengünstig Entwickeln und Konstruieren, 7th ed.; Springer: Berlin/Heidelberg, Germany, 2014; pp. 7–19. [Google Scholar] [CrossRef]
- Hoenow, G.; Meißner, T. Konstruktionspraxis im Maschinenbau: Vom Einzelteil Zum Maschinendesign, 5th ed.; Hanser: München, Germany, 2021. [Google Scholar]
- Matousek, R. Konstruktionslehre des Allgemeinen Maschinenbaues: Ein Lehrbuch für Angehende Konstrukteure Unter Besonderer Berücksichtigung des Leichtbaues; Springer: Berlin/Heidelberg, Germany, 1957. [Google Scholar] [CrossRef]
- Paetzold, K. Workflowunterstützung in der Produktentwicklung. In Handbuch Konstruktion, 2nd ed.; Rieg, F., Steinhilper, R., Eds.; Carl Hanser Verlag GmbH & Co. KG: München, Germany, 2018; pp. 1049–1068. [Google Scholar]
- Lebouteiller, M.; Boxberger, J.; Gomes, S.; Lebaal, N.; Schlegel, D. A Knowledge Capitalization Methodology Based on Automatic Knowledge Extraction From 3D CAD Models. In Proceedings of the ASME 2012 11th Biennial Conference on Engineering Systems Design and Analysis, Nantes, France, 2–4 July 2012; Volume 3: Advanced Composite Materials and Processing; Robotics; Information Management and PLM; Design Engineering. pp. 785–794. [Google Scholar] [CrossRef]
- Schenk, V. Maschinenbau. Geschaftsmodell-Evolution vs. Geschaftsmodell-Innovation; Grin Verlag: Munich, Germany, 2023. [Google Scholar]
- Statistische Bundesamt. Statistische Wochenberichte—Preise und Finanzen KW/2022; Statistisches Bundesamt: Wiesbaden, Germany, 2022. [Google Scholar]
- European Commission. Weekly Oil Bulletin. 2022. Available online: https://energy.ec.europa.eu/data-and-analysis/weekly-oil-bulletin_en (accessed on 12 January 2026).
- S&P Global. SB01166 Index Long Products—Merchant Bars—Europe Delivered; S&P Global: New York, USA, 2022. [Google Scholar]
- Verband der Industrielle Energie & Kraftwirtschaft (VIK). Strompreisindizes; VIK: Berlin, Germany, 2022. [Google Scholar]
- Bundesnetzagentur. SMARD Marktdaten—Strommarktdaten—Kraftwerksdaten; Bundesnetzagentur: Bonn, Germany, 2022. [Google Scholar]
- European Commission. Eurostat—Data Browser—Labour Cost Levels by NACE Rev.2. Activity. 2022. Available online: https://ec.europa.eu/eurostat/databrowser/explore/all/all_themes (accessed on 12 January 2026).
- IESF. 33ème Enquête Nationale sur les Ingénieurs & Scientifiques diplômés en France. 2022. Available online: https://www.iesf.fr/752_p_49436/iesf.html (accessed on 10 November 2025).
- VDMA. Wettbewerbsfähigkeit Steigern, Standort- Bedingungen Verbessern! Gemeinsame Wirtschaftspolitische Positionen Des Maschinen- und Anlagenbaus 2024; Technical Report; VDMA: Frankfurt am Main, Germany, 2024. [Google Scholar]
- Van Doorsselaer, K.; Koopmans, R.J. Necessity of Ecodesign. In Ecodesign: A Life Cycle Approach for a Sustainable Future; Carl Hanser Verlag GmbH & Co. KG: München, Germany, 2020; pp. 9–32. [Google Scholar]
- Van Doorsselaer, K.; Koopmans, R.J. Design for X. In Ecodesign: A Life Cycle Approach for a Sustainable Future; Carl Hanser Verlag GmbH & Co. KG: München, Germany, 2020; pp. 59–96. [Google Scholar]
- Engeln, W. Methoden der Produktentwicklung: Technische Produkte Kundenorientiert Entwickeln, 3rd ed.; Vulkan Verlag: Essen, Germany, 2020. [Google Scholar]
- Formentini, G.; Boix Rodríguez, N.; Favi, C. Design for Manufacturing and Assembly Methods in the Product Development Process of Mechanical Products: A Systematic Literature Review. Int. J. Adv. Manuf. Technol. 2022, 120, 4307–4334. [Google Scholar] [CrossRef]
- Ward, A.C. Lean Product and Process Development; Lean Enterprise Inst: Cambridge, MA, USA, 2007. [Google Scholar]
- Ward, A.C.; Oosterwal, D.P.; Sobek, D.K. Visible Knowledge for Flawless Design; Routledge: New York, NY, USA, 2018. [Google Scholar]
- Wan, X.; Yu, Y.; Luo, Y.; Shi, Y. Joint Optimization of Product Design and Manufacturing Inventory in a C2M Supply Chain. Transp. Res. Part E Logist. Transp. Rev. 2025, 194, 103855. [Google Scholar] [CrossRef]
- Yassine, A.; Souweid, S. Time-to-Market and Product Performance Tradeoff Revisited. IEEE Trans. Eng. Manag. 2023, 70, 3244–3259. [Google Scholar] [CrossRef]
- Conrad, K.J. Grundlagen der Konstruktionslehre: Methoden und Beispiele für Den Maschinenbau und Die Gerontik, 4th ed.; Hanser: München, Germany, 2008. [Google Scholar]
- Sjøbakk, B.; Bakås, O.; Bondarenko, O.; Kamran, T. Designing a Performance Measurement System to Support Materials Management in Engineer-to-Order: A Case Study. Adv. Manuf. 2015, 3, 111–122. [Google Scholar] [CrossRef]
- VDI. Entwicklung Technischer Produkte und Systeme—Modell Der Produktentwicklung; Technical Report VDI 2221-bl.1; Verein Deutscher Ingenieure: Düsseldorf, Germany, 2018. [Google Scholar]
- VDI. Entwicklung Technischer Produkte und Systeme—Gestaltung Individueller Produktentwicklungsprozesse; Technical Report VDI 2221-bl.2; Verein Deutscher Ingenieure: Düsseldorf, Germany, 2018. [Google Scholar]
- Ullman, D. The Mechanical Design Process, 4th ed.; McGraw-Hill Education: Chennai, India, 2009. [Google Scholar]
- Naefe, P. Einführung in Das Methodische Konstruieren: Für Studium und Praxis; Springer Fachmedien Wiesbaden: Wiesbaden, Germany, 2012. [Google Scholar] [CrossRef]
- Schaeffler Belgium Sprl/Bvba. Internal Statistics—ETO Projects Within BeLux; Technical Report; Schaeffler Belgium: Braine-L’Alleud, Belgium, 2022. [Google Scholar]
- DIN 69051-2; Machine Tools; Ball Screws; Nominal Diameters and Nominal Leads. Deustches Institut für Normung: Berlin, Germany, 1989.
- ISO 3408-2; Ball Screws—Nominal Diameters, Leads, Nut Dimensions and Mounting Bolts—Metric Series. International Organization for Standardisation: Geneva, Switzerland, 2021.
- Dantinne, H. Optimized Design Method Integrating Component Availability Constraints (ABD). Master’s Thesis, Université de Mons, Mons, Germany, 2024. [Google Scholar]
- Zwillinger, D. (Ed.) CRC Standard Mathematical Tables and Formulae, 32nd ed.; CRC Press: Boca Raton, FL, USA, 2011. [Google Scholar] [CrossRef]
- Weck, M.; Brecher, C. Einführung. In Werkzeugmaschinen 2; Springer: Berlin/Heidelberg, Germany, 2006; pp. 1–5. [Google Scholar] [CrossRef]
- Schaeffler. Bearinx Calculation Modules. 2025. Available online: https://medias.schaeffler.be/en/bearinx (accessed on 12 January 2026).
- KISSsoft AG. KISSsoft Elements. 2025. Available online: https://www.kisssoft.com/en/products/product-overview/kisssoftr-elements (accessed on 12 January 2026).
- IG Metall. Verhandlungsergebnis Metall-Tarifrunde 2022. 2022. Available online: https://www.igmetall.de/tarif/tarifrunden/metall-und-elektro/abschluss-ergebnis-erklaert-metall-tarifrunde-2022 (accessed on 12 January 2026).










| Availability Ratio () | |||||||||
|---|---|---|---|---|---|---|---|---|---|
| 0.1 | 0.2 | 0.3 | 0.4 | 0.5 | 0.6 | 0.7 | 0.8 | 0.9 | |
| 1 | 16 | 10 | 7 | 6 | 4 | 3 | 3 | 2 | 2 |
| 3 | 17 | 12 | 9 | 7 | 5 | 4 | 4 | 3 | 2 |
| 5 | 18 | 13 | 10 | 7 | 6 | 5 | 4 | 3 | 2 |
| 7 | 18 | 13 | 10 | 8 | 6 | 5 | 4 | 3 | 2 |
| 9 | 18 | 14 | 10 | 8 | 6 | 5 | 4 | 3 | 2 |
| 11 | 19 | 14 | 10 | 8 | 6 | 5 | 4 | 3 | 2 |
| 13 | 19 | 14 | 11 | 8 | 7 | 5 | 4 | 3 | 3 |
| 15 | 19 | 14 | 11 | 9 | 7 | 6 | 4 | 4 | 3 |
| 17 | 19 | 14 | 11 | 9 | 7 | 6 | 4 | 4 | 3 |
| 19 | 19 | 14 | 11 | 9 | 7 | 6 | 4 | 4 | 3 |
| Step | Name | Starting Point | Actor | Positive Outcome Deliverable |
|---|---|---|---|---|
| 1 | Specifications | Expression of the need | D, PM | Formatted, understandable and quantified commonly agreed specifications |
| 2 | Concept | Formatted specifications | D, PM | A concept that meets the specifications |
| 3 | Design | A concept that meets the specifications | D | materialized concepts |
| 4.1 | TC | Materialized concept—components | D | A set of results over different components’ properties to be checked for their global properties |
| 4.2 | KDI | Materialized concept—SB | D | A set of results over different assembly properties required to gauge assembly |
| 5 | Synthesis | Results of TC | D, PM | Agreement of the PM to establish the BOM |
| 6 | BOM | Conclusions of the synthesis discussion | D | BOM and documentation |
| 7 | Availability check | BOM established at step 6 | D, Associated services (AS, such as customer service, logistic or sales team) | Confirmation of the availability of components |
| 8 | Offering | Prices, Minimum order quantity (MOQ, which denotes the minimal number of components that a supplier will accept in an order), and delivery time for all components considered at step 7 | D, AS | An official quote stating prices, delivery times, MOQ, delivery conditions and payment terms |
| 9 | Evaluation | Quote sent to PM at step 8 | PM, AS | A list of pain points and/or questions regarding the proposed BOM |
| 10 | Negociation | Evaluation and review of quotes made at step 9 | D, PM, AS | GO—NOGO to Step 11 |
| 11 | Ordering | Negociated or reviewed quotes negociated at step 10 | PM, AS | Official order |
| 12 | Delivery | Official order reviewed at step 11 | D, AS | Components’ delivery confirmation |
| Step | Name | Actions | Duration | Order of Magnitude () |
|---|---|---|---|---|
| 1 | Specifications |
| 1 day to 1 week | |
| 2 | Concept |
| 1 day to 3 weeks | |
| 3 | Design |
For each DO:
| 1 day to 1 week | |
| 4.1 | TC | For each DO:
| 1 day to 1 week | |
| 4.2 | KDI |
| 0.5 to 1 day | |
| 5 | Synthesis |
| 1 day to 1 week | |
| 6 | BOM |
| 1 day to 1 week | |
| 7 | Availability check |
| 1 day to 2 weeks | |
| 8 | Offering |
| 1 day to 3 weeks | |
| 9 | Evaluation |
| 1 week to 4 weeks | |
| 10 | Negociation |
| 1 week to 3 weeks | |
| 11 | Ordering |
| 1 day to 3 weeks | |
| 12 | Delivery |
| 1 week to 52 weeks | |
| Total: | 22 days to 75 weeks | |||
| Step | Name | Starting Point | Actor | Positive Outcome Deliverable |
|---|---|---|---|---|
| ABD1 | Specifications | Expression of the need | D, PM | Formatted, understandable and quantified commonly agreed specifications |
| ABD2 | Concept | Formatted specifications | D, PM | A concept that meets the specifications |
| ABD3 | Design | A concept that meets the specifications | D | families, each including components identified, meeting the concept defined at step ABD2 |
| ABD4 | Availability check | A table of components candidates for each family identified at step ABD2 | D, AS | A table of available components for each family |
| ABD5 | TC | A table of available components sorted by availability at step ABD4 | D | A table of available components that individually fulfill the TC |
| ABD6 | Preselection of SB | A table of available components that meet the TC evaluated at step ABD5 | D * | A list of available designs that fulfill the TC, sorted by a characteristic value denoting the combination of safety ratios of components included in the design |
| ABD7 | KDI | A sorted table of available, TC-validated DO candidates obtained at ABD6 | D * | A list of available DO, sorted by KDI |
| ABD8 | Synthesis | A table of available DO ordered by their KDI evaluated at step ABD7 | D, PM * | An agreement toward a DO of which the BOM is to be established |
| 9 | BOM | All DO retained at step ABD8 | D * | A BOM and its documentation |
| 10 | Offering | BOM obtained at step 9 | D, AS * | An official quote stating prices, delivery times, MOQ, delivery conditions and payment terms |
| 11 | Ordering | Offer made at step 10 | PM, AS | Official order |
| 12 | Delivery | Official order reviewed at step 11 | D, AS | Components’ delivery confirmation |
| Step | Name | Actions | Duration | Order of Magnitude () |
|---|---|---|---|---|
| ABD1 | Specifications |
| 1 day to 1 week | |
| ABD2 | Concept |
| 1 day to 3 weeks | |
| ABD3 | Design | For each family of components:
| 1 day to 1 week | |
| ABD4 | Availability check |
| 1 day to 2 weeks | |
| ABD5 | TC and safety ratio (s) |
| 1 day to 1 week | |
| ABD6 | Preselection of SB |
| A few minutes to a few hours ⁎ | |
| ABD7 | KDI |
| A few hours ⁎ | |
| ABD8 | Synthesis |
| A few hours to a few days | |
| 9 | BOM |
| A few hours to a few days ⁎ | |
| 10 | Offering |
| A few hours to a few days ⁎ | |
| 11 | Ordering |
| 1 day to 3 weeks | |
| 12 | Delivery |
| 1 week to 52 weeks | |
| Total: | 3 to 64 weeks | |||
| Parameter | Value |
|---|---|
| 5 | |
| 0.6 | |
| 16 | |
| 3 |
| Duration | Manual | Semi-Automated | Automated | |||
|---|---|---|---|---|---|---|
| 0.37 | (14.80 ) | 0.37 | (14.80 ) | 0.37 | (14.80 ) | |
| 0.37 | (14.80 ) | 0.37 | (14.80 ) | 0.37 | (14.80 ) | |
| 0.3975 | (15.90 ) | 0.3975 | (15.90 ) | 0.3975 | (15.90 ) | |
| 4.12 | (164.80 ) | 0.4480 | (17.92 ) | 0.000336 | (48.38 ) | |
| 0.1410 | (5.64 ) | 0.0120 | (0.48 ) | 0.000003 | (0.32 ) | |
| 0.2555 | (10.22 ) | 0.2555 | (10.22 ) | 0.000035 | (5.04 ) | |
| 0.29 | (11.60 ) | 0.29 | (11.60 ) | 0.000001 | (0.14 ) | |
| 0.10 | (4 ) | 0.10 | (4 ) | 0.000001 | (0.14 ) | |
| 0.1050 | (4.20 ) | 0.1050 | (4.20 ) | 0.000001 | (0.14 ) | |
| 2.20 | (88.00 ) | 2.20 | (88.00 ) | 2.20 | (88.00 ) | |
| 0.20 | (8.00 ) | 0.20 | (8.00 ) | 0.20 | (8.00 ) | |
| 0.20 | (8.00 ) | 0.20 | (8.00 ) | 0.20 | (8.00 ) | |
| 11 | (440.00 ) | 11 | (440.00 ) | 11 | (440.00 ) | |
| Design Process | ||
|---|---|---|
| CDP | ABD | |
| Specifications | × | × |
| Concept | × | × |
| Design | × | × |
| TC | ✓ | ✓ |
| KDI | ✓ | ✓ |
| Synthesis | × | ✓ |
| BOM | × | ✓ |
| Availability Check | × | ✓ |
| CDP | Time Proportion of the CDP’s DT | ABD | Time Proportion of ABD’s DT | Gain of ABD over CDP | |
|---|---|---|---|---|---|
| DT | 306.22 | 100% | 167.77 | 100% | 45% |
| TC and KDI | 170.51 | 56% | 100.05 | 60% | 41% |
| Availability, synthesis and BOM | 74.22 | 24% | 21.82 | 13% | 71% |
| 1 | 2 | 3 | 4 | 5 | |
|---|---|---|---|---|---|
| 0.1 | 10 | 20 | 30 | 40 | 50 |
| 0.2 | 5 | 10 | 15 | 20 | 25 |
| 0.3 | 4 | 7 | 10 | 14 | 17 |
| 0.4 | 3 | 5 | 8 | 10 | 13 |
| 0.5 | 2 | 4 | 6 | 8 | 10 |
| 0.6 | 2 | 4 | 5 | 7 | 9 |
| 0.7 | 2 | 3 | 5 | 6 | 8 |
| 0.8 | 2 | 3 | 4 | 5 | 7 |
| 0.9 | 2 | 3 | 4 | 5 | 6 |
| 1 | 1 | 2 | 3 | 4 | 5 |
| Design Mode | DT Savings in ABD | ||
|---|---|---|---|
| Manual | 1 | 100 | 36% |
| Manual | 3 | 100 | 78% |
| Semi-automated | 1 | 100 | 49% |
| Semi-automated | 3 | 100 | 72% |
| Automated | 1 | 100 | 70% |
| Automated | 3 | 100 | 89% |
| Design Mode | DT Saving in ABD | ||
|---|---|---|---|
| Manual | 1 | 5/1 | 48% |
| Manual | 1 | 30/10 | 45% |
| Manual | 3 | 5/1 | 70% |
| Manual | 3 | 30/10 | 77% |
| Semi-automated | 3 | 30/10 | 69% |
| Automated | 3 | 30/10 | 84% |
Disclaimer/Publisher’s Note: The statements, opinions and data contained in all publications are solely those of the individual author(s) and contributor(s) and not of MDPI and/or the editor(s). MDPI and/or the editor(s) disclaim responsibility for any injury to people or property resulting from any ideas, methods, instructions or products referred to in the content. |
© 2026 by the authors. Licensee MDPI, Basel, Switzerland. This article is an open access article distributed under the terms and conditions of the Creative Commons Attribution (CC BY) license.
Share and Cite
Dupont, P.; Dantinne, H.; Equeter, L.; Rivière-Lorphèvre, E.; Dehombreux, P. A Resilient and Time-Efficient Approach to Product Development Through Availability-Based Design (ABD). Machines 2026, 14, 105. https://doi.org/10.3390/machines14010105
Dupont P, Dantinne H, Equeter L, Rivière-Lorphèvre E, Dehombreux P. A Resilient and Time-Efficient Approach to Product Development Through Availability-Based Design (ABD). Machines. 2026; 14(1):105. https://doi.org/10.3390/machines14010105
Chicago/Turabian StyleDupont, Pierre, Hugo Dantinne, Lucas Equeter, Edouard Rivière-Lorphèvre, and Pierre Dehombreux. 2026. "A Resilient and Time-Efficient Approach to Product Development Through Availability-Based Design (ABD)" Machines 14, no. 1: 105. https://doi.org/10.3390/machines14010105
APA StyleDupont, P., Dantinne, H., Equeter, L., Rivière-Lorphèvre, E., & Dehombreux, P. (2026). A Resilient and Time-Efficient Approach to Product Development Through Availability-Based Design (ABD). Machines, 14(1), 105. https://doi.org/10.3390/machines14010105

