Working Characteristics of the Scroll Expander for Residual Pressure Recovery in Microscale Gas Pipeline Networks
Abstract
1. Introduction
2. Test and Simulation Verification of Power Generation Performance
2.1. Structural Dimensions of Scroll Expander
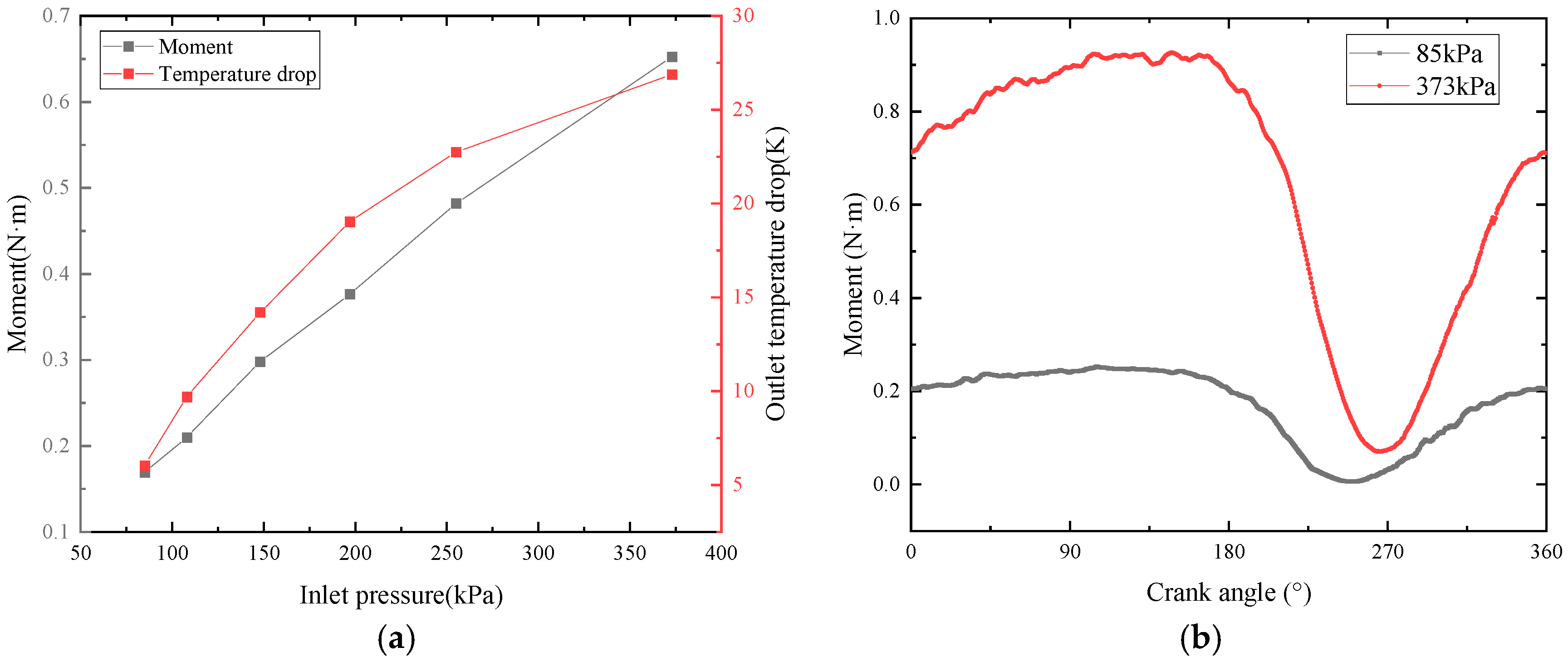
2.2. Power Generation Performance of Scroll Expander
2.3. Numerical Simulations
2.4. Mesh Generation and Verification of Numerical Results
3. Analysis of Numerical Simulation Results
3.1. Flow Field Characteristics at Different Crankshaft Angles
3.2. Expansion Characteristics at Different Rotational Speeds
3.3. Influence of Dynamic and Static Scroll Clearance on Working Characteristics
3.4. Influence of the Clearance Between the Scroll and End Faces
4. Influence of Profile Structure on the Performance of Scroll Expander
4.1. Working Characteristics After High-Order Curve Correction
4.2. Expansion Characteristics Modified by Arc Curve
4.3. Variable Base Circle Radius Involute
4.4. Number of Scroll Turns
5. Conclusions
- (1)
- The power generation performance of the scroll expander was tested using compressed air as the working medium, revealing the impact of inlet pressure on power generation. This experiment substantiates the reliability of the numerical simulation results.
- (2)
- Using the ANSYS Fluent 2021R1 software, the operational mechanism of the expander was analysed numerically. The rotor tooth head interferes with the intake process, leading to incoherence in the expansion process and causing periodic fluctuations in rotor torque and outlet temperature. Our study focused on the influence of different entropy production rates on energy loss, finding that the turbulent pulsations and the wall friction significantly exceed the effects of time-averaged velocity and temperature distribution, and are the primary contributors to the internal losses of the expander.
- (3)
- The performance of the scroll expander under various parameters was examined, demonstrating that the increased radial and axial clearances lead to larger leakage losses between cavities, thereby diminishing the overall performance. The expanders modified with a high-order curve and arc curve profiles exhibit lower entropy losses and reduced output torque. Additionally, we found that the position of the initial connection point did not significantly affect the rotor force. While increasing the number of scroll turns enhances the complete expansion of high-pressure gas, an excessive number of turns does not significantly improve the torque.
Author Contributions
Funding
Data Availability Statement
Conflicts of Interest
Nomenclature
| Cp | Specific heat capacity at constant pressure |
| De | Diameter of circumscribed circle of scroll |
| Dk | Destruction terms of the turbulent kinetic energy |
| Turbulence kinetic energy generation rate | |
| h | Tooth height |
| k | Turbulence kinetic energy |
| m | Number of scroll turns |
| N | Logarithm of scroll line compression cavity |
| p | Natural gas pressure |
| Pt | Pitch |
| Ror | Spindle eccentricity |
| rb | Radius of base circle |
| ST | Source term |
| S | Entropy production |
| t | Tooth thickness |
| T | Natural gas temperature |
| u | Velocity |
| V | Volume |
| Abbreviation | |
| CFD | Computational fluid dynamics |
| RPM | Revolutions per ninute |
| ICEM | Integrated computer engineering and manufacturing code |
| LED | Light-emitting diode |
| Greek Letters | |
| α | Involute generation angle |
| φ | Base circle involute expansion angle |
| Correction increment | |
| Turbulence dissipation rate | |
| Dynamic viscosity | |
| Air density | |
| Shear stress | |
| Subscripts | |
| 1 | Modify the starting point of the curve connection point |
| 2 | Correct curve connection point endpoint |
| i | Condition of different locations |
| j | Condition of different location |
| eff | Effective viscosity coefficient |
| w | Wall surface |
| Time-averaged value | |
| Fluctuating value | |
| c | Temperature term |
References
- Zhang, G.; Dou, L.; Xu, Y. Opportunities and challenges of natural gas development and utilization in China. Clean Technol. Environ. Policy 2019, 21, 1193–1211. [Google Scholar] [CrossRef]
- Erdener, B.C.; Sergi, B.; Guerra, O.J.; Chueca, A.L.; Pambour, K.; Brancucci, C.; Hodge, B.-M. A review of technical and regulatory limits for hydrogen blending in natural gas pipelines. Int. J. Hydrogen Energy 2023, 48, 5595–5617. [Google Scholar] [CrossRef]
- Andrei, I.; Valentin, T.; Cristina, T.; Niculae, T. Recovery of wasted mechanical energy from the reduction of natural gas pressure. Procedia Eng. 2014, 69, 986–990. [Google Scholar] [CrossRef][Green Version]
- Lei, C.; Ye, Z. A Review of Residual Pressure Utilization of Natural Gas. Sci. J. Technol. 2024, 6, 28–45. [Google Scholar] [CrossRef]
- Babasola, A. System Study and CO2 Emissions Analysis of a Waste Energy Recovery System for Natural Gas Letdown Station Application. Master’s Thesis, Queen’s University, Kingston, ON, Canada, 2010. [Google Scholar]
- Yao, S.; Zhang, Y.; Deng, N.; Yu, X.; Dong, S. Performance research on a power generation system using twin-screw expanders for energy recovery at natural gas pressure reduction stations under off-design conditions. Appl. Energy 2019, 236, 1218–1230. [Google Scholar] [CrossRef]
- Xiong, Y.; An, S.; Xu, P.; Ding, Y.; Li, C.; Zhang, Q.; Chen, H. A novel expander-depending natural gas pressure regulation configuration: Performance analysis. Appl. Energy 2018, 220, 21–35. [Google Scholar] [CrossRef]
- Liang, T.; Vecchi, A.; Knobloch, K.; Sciacovelli, A.; Engelbrecht, K.; Li, Y.; Ding, Y. Key components for Carnot Battery: Technology review, technical barriers and selection criteria. Renew. Sustain. Energy Rev. 2022, 163, 112478. [Google Scholar] [CrossRef]
- Emhardt, S.; Tian, G.; Chew, J. A review of scroll expander geometries and their performance. Appl. Therm. Eng. 2018, 141, 1020–1034. [Google Scholar] [CrossRef]
- Yang, S.-C.; Hung, T.-C.; Feng, Y.-Q.; Wu, C.-J.; Wong, K.-W.; Huang, K.-C. Experimental investigation on a 3 kW organic Rankine cycle for low-grade waste heat under different operation parameters. Appl. Therm. Eng. 2017, 113, 756–764. [Google Scholar] [CrossRef]
- VanderKooy, B. Optimization of scroll compressor involute height with machining considerations. In Proceedings of the International Compressor Engineering Conference at Purdue, West Lafayette, IN, USA, 12–15 July 2004. [Google Scholar]
- Clemente, S.; Micheli, D.; Reini, M.; Taccani, R. Energy efficiency analysis of Organic Rankine Cycles with scroll expanders for cogenerative applications. Appl. Energy 2012, 97, 792–801. [Google Scholar] [CrossRef]
- Zhang, H.-H.; Zhang, Y.-F.; Feng, Y.-Q.; Chang, J.-C.; Chang, C.-W.; Xi, H.; Gong, L.; Hung, T.-C.; Li, M.-J. The parametric analysis on the system behaviors with scroll expanders employed in the ORC system: An experimental comparison. Energy 2023, 268, 126713. [Google Scholar] [CrossRef]
- Bin, P.; Lemort, V.; Legros, A.; Hongsheng, Z.; Haifeng, G. Variable thickness scroll compressor performance analysis—Part I: Geometric and thermodynamic modeling. Proc. Inst. Mech. Eng. Part E J. Process Mech. Eng. 2017, 231, 633–640. [Google Scholar] [CrossRef]
- Peterson, R.; Wang, H.; Herron, T. Performance of a small-scale regenerative Rankine power cycle employing a scroll expander. Proc. Inst. Mech. Eng. Part A J. Power Energy 2008, 222, 271–282. [Google Scholar] [CrossRef]
- Emhardt, S.; Song, P.; Tian, G.; Chew, J.; Wei, M. CFD analysis of variable wall thickness scroll expander integrated into small scale ORC systems. Energy Procedia 2019, 158, 2272–2277. [Google Scholar] [CrossRef]
- Xu, L.; Kan, K.; Zheng, Y.; Liu, D.; Binama, M.; Xu, Z.; Yan, X.; Guo, M.; Chen, H. Rotating stall mechanism of pump-turbine in hump region: An insight into vortex evolution. Energy 2024, 292, 130579. [Google Scholar] [CrossRef]
- Liu, D.; Li, Z.; Xu, L.; Li, J.; Yang, Y.; Wang, X.; Pang, J.; Liu, X. Vortex motion in vaneless space and runner passage of pump-turbine in S-shaped region. Phys. Fluids 2024, 36, 025115. [Google Scholar] [CrossRef]
- Kock, F.; Herwig, H. Local entropy production in turbulent shear flows: A high-Reynolds number model with wall functions. Int. J. Heat Mass Transf. 2004, 47, 2205–2215. [Google Scholar] [CrossRef]
- Hou, H.; Zhang, Y.; Li, Z.; Jiang, T.; Zhang, J.; Xu, C. Numerical analysis of entropy production on a LNG cryogenic submerged pump. J. Nat. Gas Sci. Eng. 2016, 36, 87–96. [Google Scholar] [CrossRef]
- Li, K.; Li, C.; Mohtaram, S.; Liu, N.; Zhang, H.; Dou, B.; Li, C.; He, Q.; Hasan, M.A.; Islam, S.; et al. Experimental and numerical study on scroll compressor under different profile correction and discharge ports shapes. Int. J. Refrig. 2025, 169, 241–253. [Google Scholar] [CrossRef]
- Pereira, E.L.L.; Deschamps, C.J. Numerical analysis and correlations for radial and tangential leakage of gas in scroll compressors. Int. J. Refrig. 2020, 110, 239–247. [Google Scholar] [CrossRef]
- Liu, Y.; Tang, Y.; Chang, Y.; Yang, Y. Optimum design of scroll profiles created from involute of circle with variable radii by using finite element analysis. Mech. Mach. Theory 2012, 55, 1–17. [Google Scholar] [CrossRef]
- Bell, I.H.; Groll, E.A.; Braun, J.E.; Horton, W.T.; Lemort, V. Comprehensive analytic solutions for the geometry of symmetric constant-wall-thickness scroll machines. Int. J. Refrig. 2014, 45, 223–242. [Google Scholar] [CrossRef]
- Emhardt, S.; Tian, G.; Song, P.; Chew, J.; Wei, M. CFD modelling of small scale ORC scroll expanders using variable wall thicknesses. Energy 2020, 199, 117399. [Google Scholar] [CrossRef]
- Hou, C.; Liu, Y.; Li, J. Investigation of Variable Radius Base Circle Involute Control Coefficient for Scroll Compressor. In Advances in Mechanical Design, Proceedings of the 2023 International Conference on Mechanical Design (ICMD 2023), Chengdu, China, 20–22 October 2023; Springer Nature: Singapore, 2023; pp. 603–614. [Google Scholar]
- Jianguo, Q. Study on basic parameters of scroll fluid machine based on general profile. Mech. Mach. Theory 2010, 45, 212–223. [Google Scholar] [CrossRef]






























| Symbols | Item | Parameter |
|---|---|---|
| h | Tooth height | 32 mm |
| t | Tooth thickness | 4.5 mm |
| Pt | Pitch | 22 mm |
| rb | Radius of base circle | 3.50 mm |
| α | Angle of occurrence | 36.82° |
| Ror | Spindle eccentricity | 6.5 mm |
| m | Number of scroll turns | 2.45 |
| N | Logarithm of scroll line compression cavity | 2.2 |
| φe | Final expansion angle of base circle expansion line | 900° |
| De | Diameter of circumscribed circle of scroll | 125 mm |
Disclaimer/Publisher’s Note: The statements, opinions and data contained in all publications are solely those of the individual author(s) and contributor(s) and not of MDPI and/or the editor(s). MDPI and/or the editor(s) disclaim responsibility for any injury to people or property resulting from any ideas, methods, instructions or products referred to in the content. |
© 2025 by the authors. Licensee MDPI, Basel, Switzerland. This article is an open access article distributed under the terms and conditions of the Creative Commons Attribution (CC BY) license (https://creativecommons.org/licenses/by/4.0/).
Share and Cite
Mao, Y.; Cai, L.; Chertovskih, R.; Ji, J.; Su, S. Working Characteristics of the Scroll Expander for Residual Pressure Recovery in Microscale Gas Pipeline Networks. Machines 2025, 13, 196. https://doi.org/10.3390/machines13030196
Mao Y, Cai L, Chertovskih R, Ji J, Su S. Working Characteristics of the Scroll Expander for Residual Pressure Recovery in Microscale Gas Pipeline Networks. Machines. 2025; 13(3):196. https://doi.org/10.3390/machines13030196
Chicago/Turabian StyleMao, Yanqin, Liang Cai, Roman Chertovskih, Jiahong Ji, and Shen Su. 2025. "Working Characteristics of the Scroll Expander for Residual Pressure Recovery in Microscale Gas Pipeline Networks" Machines 13, no. 3: 196. https://doi.org/10.3390/machines13030196
APA StyleMao, Y., Cai, L., Chertovskih, R., Ji, J., & Su, S. (2025). Working Characteristics of the Scroll Expander for Residual Pressure Recovery in Microscale Gas Pipeline Networks. Machines, 13(3), 196. https://doi.org/10.3390/machines13030196

