Fatigue Life Prediction of Main Bearings in Wind Turbines Under Random Wind Speeds
Abstract
1. Introduction
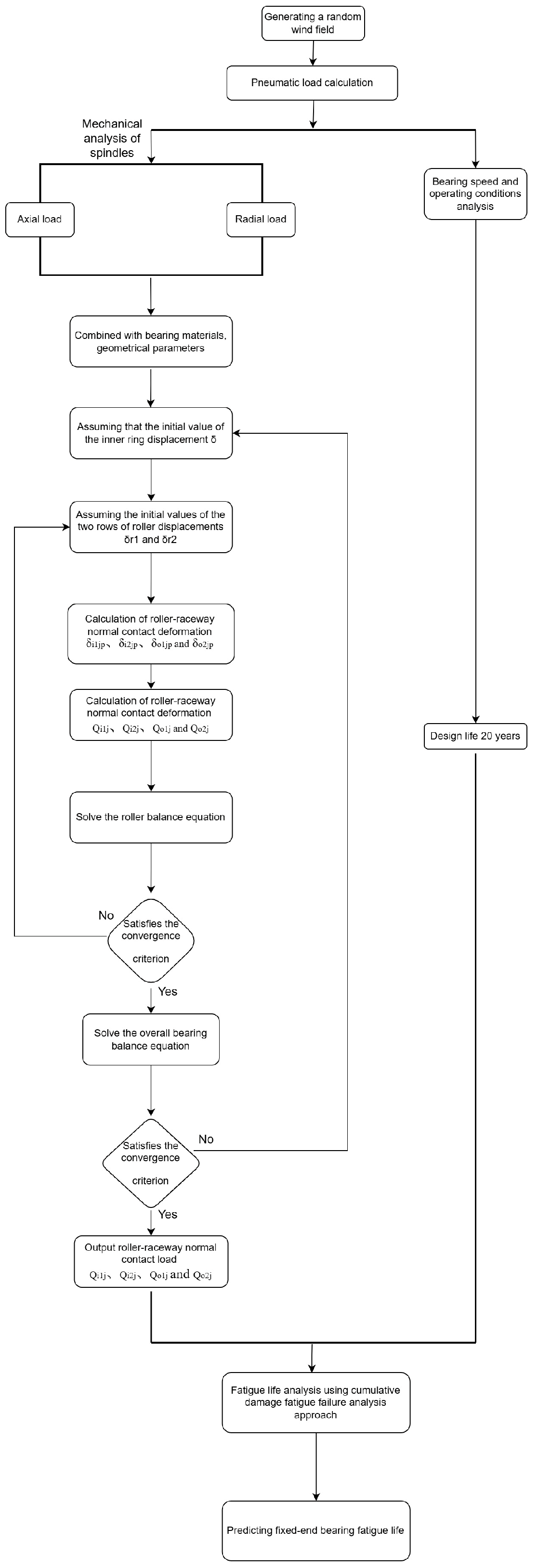
2. Fatigue Life Prediction of Wind Turbine Main Bearings Under Random Wind Speeds
2.1. Turbulent Wind Speed Model
2.2. Aeroelastic Simulation of Wind Turbines
2.3. Assessment of External Loads on Main Bearings
2.4. Theoretical Calculation of Internal Load Distribution of Main Bearings
2.5. Theory of Fatigue Life Calculation for Self-Aligning Roller Bearings
3. Case Study and Discussion
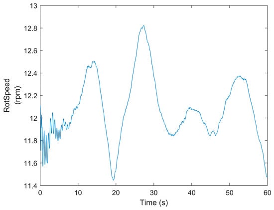
3.1. Analysis of Main Shaft Speed Under Random Wind Speeds
- (1)
- It can be observed that the curve of the traditional two-parameter Weibull wind speed model exhibits significant local fluctuations, yet its overall variation remains relatively small. It does not display the gradual, smooth trend characteristic of long-term wind speed monitoring. In contrast, the turbulence wind speed model curve shows smaller local fluctuations but exhibits smoother overall variation with a distinct trend.
- (2)
- Wind speed increased from 11 m/s to 13 m/s between 10 and 25 s, with the rotational speed increasing synchronously from 12.0 rpm to 12.4 rpm; 40–50 s: Wind speed decreases, and rotational speed drops. This indicates that the main shaft rotational speed is significantly correlated with turbulent wind speed in the mid-to-low frequency range. Large-scale turbulent changes directly drive rotational speed changes, reflecting the dominant role of aerodynamic torque in energy capture. Turbulent wind speed and wind turbine main shaft rotational speed exhibit frequency-domain selective coupling—large-scale turbulence dominates the energy capture trend.
- (3)
- The wind speed curve exhibits sawtooth-like fluctuations within 0–10 s, but the rotational speed curve is smoother (with significantly compressed fluctuation amplitude). This is because the inertia of the transmission chain and MPPT control work together to suppress high-frequency disturbances, compressing the rotational speed fluctuation amplitude to 24% of the wind speed. This mechanism is consistent with the intrinsic laws of stable operation of wind turbines in random wind fields [30]. The correctness of the aerodynamic load calculation model proposed in this paper has been demonstrated, and it also provides a theoretical foundation for dynamic load prediction and control optimization of the transmission system.
3.2. Hub Center Load Analysis
3.3. Verification of the Evaluation of Main Bearing External Loads
3.4. Verification and Analysis of the Roller-Raceway Normal Contact Load Model
3.5. The Effect of Average Wind Speed and Turbulence Intensity on Fatigue Life
4. Conclusions
- (1)
- Average wind speed significantly affects the overall level of fatigue life. Within a certain range, the probability of fatigue failure of the main bearing increases with a decrease in the average wind speed.
- (2)
- The effect of wind speed fluctuations on the hub center load is more pronounced than that of the spindle speed.
- (3)
- An engineering formula for evaluating the fatigue life prediction of main bearings at random wind speeds of wind turbines was obtained, which can be used to evaluate the compatibility of the main bearings and wind turbine structure with the wind field characteristics of the installation site.
Author Contributions
Funding
Data Availability Statement
Conflicts of Interest
References
- Zhang, S.J.; Wu, R. II-GLD Position Scale Model for Reliability Assessment of Rolling Bearing Performance Degradation. Comput. Integr. Manuf. Syst. 2025, 31, 637–646. [Google Scholar] [CrossRef]
- Qiao, Z.J.; Zhang, C.L.; Zhang, C.L.; Ma, X.; Zhu, R.H.; Lai, Z.H.; Zhou, S.T. Stochastic Resonance Array for Designing Noise-Boosted Filter Banks to Enhance Weak Multi-Harmonic Fault Characteristics of Machinery. Appl. Acoust. 2025, 236, 110710. [Google Scholar] [CrossRef]
- He, Y.B.; Qiao, Z.J.; Xie, B.B.; Ning, S.Y.; Li, Z.C.; Kumar, A.; Lai, Z.H. Two-Stage Benefits of Internal and External Noise to Enhance Early Fault Detection of Machinery by Exciting Fractional SR. Chaos Solitons Fractals 2024, 182, 114749. [Google Scholar] [CrossRef]
- Qiao, Z.J.; He, Y.B.; Liao, C.R.; Zhu, R.H. Noise-Boosted Weak Signal Detection in Fractional Nonlinear Systems Enhanced by Increasing Potential-Well Width and Its Application to Mechanical Fault Diagnosis. Chaos Solitons Fractals 2023, 175, 113960. [Google Scholar] [CrossRef]
- Li, C.; Chen, Z.; Liu, Z.; Han, X.; Chen, X. A Method for Predicting Subsurface Fatigue Life of Rolling Bearings Based on Macro–Micro Coupling Model. Proc. Inst. Mech. Eng. Part J J. Eng. Tribol. 2021, 236, 1056–1073. [Google Scholar] [CrossRef]
- Lu, Y.; Tang, D.; Zhu, D.; Gao, Q.; Zhao, D.; Lyu, J. Remaining Useful Life Prediction for Bearing Based on Coupled Diffusion Process and Temporal Attention. IEEE Trans. Instrum. Meas. 2024, 73, 3510310. [Google Scholar] [CrossRef]
- Zhao, L.H.; Li, Q.C.; Feng, J.Z.; Zheng, S.L. Service Life Prediction Method for Wheel-Hub-Bearing Under Random Multi-Axial Wheel Loading. Eng. Fail. Anal. 2021, 122, 105211. [Google Scholar] [CrossRef]
- Wang, X.; Meng, Q.; Zhang, T. Sensitivity Analysis of Rolling Bearing Fatigue Life Under Cyclic Loading. J. Mech. Sci. Technol. 2022, 36, 5689–5698. [Google Scholar] [CrossRef]
- Cavacece, F.; Frache, L.; Tonazzi, D.; Bouscharain, N.; Philippon, D.; Le Jeune, G.; Maheo, Y.; Massi, F. Roller Bearing Under High Loaded Oscillations: Life Evolution and Accommodation Mechanisms. Tribol. Int. 2020, 147, 106278. [Google Scholar] [CrossRef]
- Kong, X.; Ding, H.; Tang, J.; Hu, Z.; Chen, S. Bearing Internal Load Analysis and Fatigue Life Estimation Based on Nonlinear Dynamic Model of a Gear System. J. Vib. Control 2021, 28, 1635–1642. [Google Scholar] [CrossRef]
- Jacobs, W.; Van Hooreweder, B.; Boonen, R.; Sas, P.; Moens, D. The Influence of External Dynamic Loads on the Lifetime of Rolling Element Bearings: Experimental Analysis of the Lubricant Film and Surface Wear. Mech. Syst. Signal Process. 2016, 74, 144–164. [Google Scholar] [CrossRef]
- Guo, B.; Luo, Z.; Zhang, B.; Liu, Y.; Chen, Z. Dynamic Influence of Wheel Flat on Fatigue Life of the Traction Motor Bearing in Vibration Environment of a Locomotive. Energies 2021, 14, 5810. [Google Scholar] [CrossRef]
- Gao, T.; Li, Y.; Huang, X.; Wang, C. Data-Driven Method for Predicting Remaining Useful Life of Bearing Based on Bayesian Theory. Sensors 2021, 21, 182. [Google Scholar] [CrossRef] [PubMed]
- Ying, J.; Yang, Z.; Chen, C.; Liu, Z.; Li, S.; Chen, H. Remaining Useful Life Prediction of Rolling Element Bearing Based on Hybrid Drive of Data-Driven and Dynamic Model. Proc. Inst. Mech. Eng. Part C J. Mech. Eng. Sci. 2022. [Google Scholar] [CrossRef]
- Guo, R.; Wang, Y. Remaining Useful Life Prognostics for the Rolling Bearing Based on a Hybrid Data-Driven Method. Proc. Inst. Mech. Eng. Part I J. Syst. Control Eng. 2020, 235, 517–531. [Google Scholar] [CrossRef]
- Li, P.H.; Yuan, Y. Site-Specific Assessment: Key Guarantee for Wind Turbine Reliability. Qual. Certif. 2025, S1, 99–104. [Google Scholar]
- Wang, M.M.; Cui, Q.W.; Cao, L.; Zhou, J.X.; Wen, J.M. Dynamic Characteristics of High-Speed Stage Bearings in Wind Turbine Gear Transmission Systems. Bear 2024, 12, 46–53. [Google Scholar] [CrossRef]
- Wang, H. Progressive Damage Analysis and Fatigue Life Reliability Assessment of Composite Wind Turbine Blades. Ph.D. Dissertation, University of Electronic Science and Technology of China, Chengdu, China, 2025. [Google Scholar]
- Liu, X.J.; Liu, L.; Xu, H.; Zhang, S.; Xing, Y. Influence of Roller Distribution on Service Performance of Spherical Roller Bearings. J. Xi’an Jiaotong Univ. 2018, 52, 9–17. [Google Scholar]
- Huang, X.Z.; Chen, S.J.; Jiang, Z.Y. Contact Load and Life Reliability Analysis of Wind Power Spherical Roller Bearings. J. Jilin Univ. (Eng. Technol. Ed.) 2025. [Google Scholar] [CrossRef]
- Luo, J.W.; Luo, T.Y. Analysis, Calculation and Application of Rolling Bearings; Mechanical Industry Press: Beijing, China, 2009. [Google Scholar]
- Zhao, Y. Research on Rolling Contact Fatigue Life Prediction Model of Bearing Steel and Its Application. Ph.D. Dissertation, Beijing Jiaotong University, Beijing, China, 2024. [Google Scholar] [CrossRef]
- ISO 281:2007; Rolling Bearings—Dynamic Load Ratings and Rating Life. International Organization for Standardization: Geneva, Switzerland, 2007.
- Yu, A.; Ruan, R.; Zhang, X.; He, Y.; Li, K. Reliability Analysis of Rolling Bearings Considering Failure Mode Correlations. Qual. Reliab. Eng. Int. 2024, 40, 3079–3095. [Google Scholar] [CrossRef]
- Du, K.L.; Wang, Y.S.; Fan, X.G. Fatigue Calculation Analysis of Mooring Structure for FPSO. Val. Eng. 2025, 44, 25–28. [Google Scholar]
- Wang, C. Structural Design of Eddy-Current Tuned Roller Damper and Vibration Reduction Performance for Wind Turbines. Ph.D. Dissertation, Huazhong University of Science and Technology, Wuhan, China, 2024. [Google Scholar] [CrossRef]
- Li, L.; Niu, B.Z.; Jin, X.Y.; Lian, S.W. Reliability Assessment Method for Wind Turbine Main Bearing Life. J. Mech. Des. Manuf. 2025, 1–6. [Google Scholar] [CrossRef]
- Niu, B.Z. Fatigue Life and Reliability Analysis of Wind Power Spherical Roller Main Bearings. Master’s Thesis, Henan University of Science and Technology, Luoyang, China, 2022. [Google Scholar] [CrossRef]
- Liu, X.; Wu, Z.; Yuan, Y.; Sun, W.; Gao, J. Reliability Modeling of Wind Turbine Gearbox System Considering Failure Correlation Under Shock–Degradation. Sensors 2025, 25, 4425. [Google Scholar] [CrossRef] [PubMed]
- Chai, Y.F. Influence of Turbulent Coherent Structures in Hexi Atmospheric Boundary Layer on Wind Turbine Aerodynamic Performance. Ph.D. Dissertation, Lanzhou University of Technology, Lanzhou, China, 2023. [Google Scholar]
















| Turbulence Level | Turbulence Intensity |
|---|---|
| A | 0.16 |
| B | 0.14 |
| C | 0.12 |
| Parameters | Unit | Numerical Value |
|---|---|---|
| Distance L1 from hub center to floating-end bearing | mm | 2667.5 |
| Distance L2 from the floating-end bearing to the center of gravity of the spindle | mm | 1443 |
| Distance L3 from the center of gravity of the spindle to the fixed-end bearing | mm | 957 |
| Distance L4 from fixed-end bearing to gearbox | mm | 1922 |
| kg | 27,200 | |
| kg | 39,739 | |
| Spindle angle a | ° | 6 |
| Main Shaft Fixed-End Bearing Parameters | Unit | Numerical Value |
|---|---|---|
| Bearing outer diameter D | mm | 1210 |
| Bearing inner diameter a | mm | 800 |
| Bearing width B | mm | 404 |
| Number of rolling element rows j | list | 2 |
| Number of rolling elements Z in single row bearings | individual | 24 |
| ° | 0 | |
| ° | 11.17 | |
| mm | 1026 | |
| Roller diameter D | mm | 108 |
| Roller contour radius R | mm | 558.5 |
| Modulus of elasticity E | GPa | 206 |
| Poisson ratio v | 0.3 |
| Spindle Floating-End Bearing Parameters | Unit | Numerical Value |
|---|---|---|
| Bearing outer diameter D | mm | 1400 |
| Bearing inner diameter d | mm | 1060 |
| Bearing width B | mm | 335 |
| Number of rolling element rows j | list | 2 |
| Number of rolling elements Z in single row bearings | individual | 38 |
| ° | 0 | |
| Initial contact angle ɑini | ° | 7.75 |
| Bearing pitch diameter dm | mm | 1251.5 |
| Roller diameter D | mm | 85.5 |
| Roller contour radius R | mm | 651.5 |
| Modulus of elasticity E | GPa | 206 |
| Poisson ratio v | 0.3 |
| Operating Conditions | Fx/kN | Fy/kN | Fz/kN | My/kN·m | Mz/kN·m |
|---|---|---|---|---|---|
| 1 | 800 | −30 | −1070 | −1100 | −300 |
| 2 | 800 | 10 | −1070 | −1100 | −300 |
| 3 | 600 | −30 | −1070 | −1100 | −300 |
| 4 | 600 | 10 | −1070 | −1100 | −300 |
| 5 | 800 | −30 | −1070 | −1100 | 800 |
| 6 | 800 | 10 | −1070 | −1100 | 800 |
| 7 | 600 | −30 | −1070 | −1100 | 800 |
| 8 | 600 | 10 | −1070 | −1100 | 800 |
| 9 | 800 | −30 | −1070 | 1600 | −300 |
| 10 | 800 | 10 | −1070 | 1600 | −300 |
| 11 | 600 | −30 | −1070 | 1600 | −300 |
| 12 | 600 | 10 | −1070 | 1600 | −300 |
| 13 | 800 | −30 | −1070 | 1600 | 800 |
| 14 | 800 | 10 | −1070 | 1600 | 800 |
| 15 | 600 | −30 | −1070 | 1600 | 800 |
| 16 | 600 | 10 | −1070 | 1600 | 800 |
Disclaimer/Publisher’s Note: The statements, opinions and data contained in all publications are solely those of the individual author(s) and contributor(s) and not of MDPI and/or the editor(s). MDPI and/or the editor(s) disclaim responsibility for any injury to people or property resulting from any ideas, methods, instructions or products referred to in the content. |
© 2025 by the authors. Licensee MDPI, Basel, Switzerland. This article is an open access article distributed under the terms and conditions of the Creative Commons Attribution (CC BY) license (https://creativecommons.org/licenses/by/4.0/).
Share and Cite
Fan, L.; Wu, Z.; Yuan, Y.; Liu, X.; Sun, W. Fatigue Life Prediction of Main Bearings in Wind Turbines Under Random Wind Speeds. Machines 2025, 13, 907. https://doi.org/10.3390/machines13100907
Fan L, Wu Z, Yuan Y, Liu X, Sun W. Fatigue Life Prediction of Main Bearings in Wind Turbines Under Random Wind Speeds. Machines. 2025; 13(10):907. https://doi.org/10.3390/machines13100907
Chicago/Turabian StyleFan, Likun, Ziwen Wu, Yiping Yuan, Xiaojun Liu, and Wenlei Sun. 2025. "Fatigue Life Prediction of Main Bearings in Wind Turbines Under Random Wind Speeds" Machines 13, no. 10: 907. https://doi.org/10.3390/machines13100907
APA StyleFan, L., Wu, Z., Yuan, Y., Liu, X., & Sun, W. (2025). Fatigue Life Prediction of Main Bearings in Wind Turbines Under Random Wind Speeds. Machines, 13(10), 907. https://doi.org/10.3390/machines13100907

