Next Article in Journal
Visual Recognition Method for Lateral Swing of the Tail Rope
Next Article in Special Issue
Integrating Learning-Driven Model Behavior and Data Representation for Enhanced Remaining Useful Life Prediction in Rotating Machinery
Previous Article in Journal
Predictive Analysis of Crack Growth in Bearings via Neural Networks
Previous Article in Special Issue
Fault Diagnosis Method for Tractor Transmission System Based on Improved Convolutional Neural Network–Bidirectional Long Short-Term Memory
 
 
Font Type:
Arial Georgia Verdana
Font Size:
Aa Aa Aa
Line Spacing:
Column Width:
Background:
Article

Lightweight Network Bearing Intelligent Fault Diagnosis Based on VMD-FK-ShuffleNetV2

1
Hebei Provincial Key Laboratory of Heavy Machinery Fluid Power Transmission and Control, Yanshan University, Qinhuangdao 066004, China
2
Key Laboratory of Advanced Forging & Stamping Technology and Science, Yanshan University, Ministry of Education of China, Qinhuangdao 066004, China
3
School of Electrical Engineering, Yanshan University, Qinhuangdao 066004, China
*
Author to whom correspondence should be addressed.
Machines 2024, 12(9), 608; https://doi.org/10.3390/machines12090608
Submission received: 29 June 2024 / Revised: 30 July 2024 / Accepted: 22 August 2024 / Published: 1 September 2024

Abstract

With the increasing complexity of mechanical equipment and diversification of deep learning models, vibration signals collected from such equipment are susceptible to noise interference. Moreover, traditional neural network models struggle to be effectively deployed in production environments with limited computational resources, severely impacting the accurate extraction and effective diagnosis of FK fault characteristics. In response to this challenge, this study proposes a fault diagnosis method for rolling bearings, integrating a lightweight ShuffleNetV2 network with variational mode decomposition (VMD) and the fast kurtogram (FK) algorithm. Initially, this paper introduces an enhanced FK method where the VMD algorithm is employed for data denoising, extracting FK post-denoising. These feature maps not only preserve critical signal information but also simplify data complexity. Subsequently, these feature maps are utilized to train and test the ShuffleNetV2 model, facilitating effective fault identification and classification. Ultimately, by conducting experimental comparisons with several mainstream lightweight network models, such as MobileNet and SqueezeNet, as well as traditional convolutional neural network models, this study validates the effectiveness of the proposed method in extracting fault characteristics from vibration signals, demonstrating superior diagnostic accuracy and computational efficiency. This provides a novel technical approach for health monitoring and fault diagnosis of industrial bearings and offers theoretical and experimental support for the deployment of lightweight networks in industrial applications.

1. Introduction

Rolling bearings, as critical components of rotating machinery, play a pivotal role in industrial production equipment. Statistics indicate that approximately 45–55% of rotating machinery failures are caused by bearing damage [1]. Therefore, timely diagnosis of bearing health is crucial for ensuring the continuity and safety of production. Traditional fault diagnosis methods, primarily based on signal processing techniques, are often inefficient and struggle with complex faults. With the widespread adoption of artificial intelligence technology, intelligent fault diagnosis algorithms that integrate signal processing and deep learning are becoming a focal point of research [2].
In recent years, deep learning technologies have made significant advancements in the field of rotating machinery fault diagnosis. Deep learning models, exemplified by convolutional neural networks (CNN), can automatically capture hierarchical features of data across spatial and temporal dimensions through their multi-layered structures and local perception mechanisms. This capability not only obviates the need for complex manual feature extraction but also addresses sophisticated visual challenges such as image recognition and video analysis [3,4]. Consequently, employing signal processing techniques to convert one-dimensional signals into two-dimensional spectrograms can fully leverage the powerful feature extraction capabilities of CNNs, thereby enhancing the accuracy and efficiency of fault diagnosis [5,6]. For instance, Ding et al. [7] proposed a multiscale feature mining method based on wavelet packet energy images and CNN for bearing fault diagnosis. Udmale et al. [8] utilized the fast kurtogram (FK) algorithm to extract FK under various bearing conditions, inputting them into a CNN to accomplish fault diagnosis and classification. Additionally, Ma et al. [9] converted vibration signals into two-dimensional time-frequency images and input them into the TLCNN model, achieving end-to-end bearing fault classification.
In the actual operation of equipment, prominent background noise in complex working environments often masks the fault signals of bearings, making it challenging to extract valid information directly from vibration signals. This issue particularly affects the accurate extraction of two-dimensional feature maps, thereby impacting the precision of fault detection and diagnosis [10]. Consequently, although various algorithms have demonstrated excellent performance under controlled experimental conditions, their performance often significantly degrades in real industrial environments when confronted with high noise interference [11]. Mishra et al. [12] proposed a method for diagnosing faults in rolling bearings under slow-speed conditions using wavelet denoising. The wavelet denoising algorithm performs well in time-frequency transformations; however, the selection of the wavelet basis function is challenging during noise reduction, complicating the assurance of denoising effectiveness. Keshtan et al. [13] employed the empirical mode decomposition (EMD) method for non-destructive diagnostic detection of bearing faults. However, a significant issue with EMD is mode mixing, which can complicate the correct separation of signal components, thereby affecting the noise reduction effectiveness. Variational Mode Decomposition (VMD) is a non-recursive signal processing technique introduced by Dragomiretskiy and Zosso in 2014 [14]. It not only overcomes the mode mixing issue inherent in EMD but also leverages its inherent Wiener filtering characteristics to achieve improved filtering outcomes [15]. Since its introduction, VMD has been widely recognized for its minimal endpoint effects, high operational efficiency, and robust noise performance, attracting extensive research interest [16].
Research on CNN in the field of fault diagnosis primarily focuses on enhancing performance. Although traditional algorithms such as AlexNet [17], GoogLeNet [18], and ResNet [19] excel in diagnostic accuracy, their extensive computational complexity and large model sizes limit their applicability in environments constrained by computational power and storage capacity. Additionally, the increasing number of application scenarios and the complex variety of operational environments have placed higher demands on CNN algorithms [20]. To address this issue, researchers have developed various model simplification strategies from multiple perspectives, achieving notable success to some extent. Iandola et al. [21] introduced the lightweight architecture SqueezeNet, which reduces the model size to less than 0.5 MB—510 times smaller than AlexNet—through model compression techniques. Furthermore, it reduces the number of parameters by approximately 50 times compared to AlexNet, while achieving comparable accuracy on the ImageNet dataset. Howard [22] developed MobileNets using depth-wise separable convolutions, which flexibly balance the model’s speed and accuracy by adjusting two hyperparameters: the width multiplier and the resolution multiplier, to accommodate varying application scenarios and device requirements. Subsequently, Zhang et al. [23] introduced the ShuffleNet architecture, which incorporates pointwise grouped convolutions and channel shuffling techniques, enhancing network performance while reducing computational complexity and model parameters. The introduction of lightweight CNNs not only enhances computational efficiency and the flexibility of model deployment but also promotes the widespread application of deep learning in the diagnosis of rotating machinery faults. For instance, Yao et al. [24] proposed a lightweight intelligent diagnostic method for bearing faults based on stacked inverted residual CNN. This method effectively identifies the types and severity of bearing faults in various noisy environments, improves diagnostic efficiency, and reduces dependence on the performance of diagnostic equipment. Subsequently, Luo et al. [25] designed a lightweight CNN AntisymNet based on the Antisym module, which they combined with a dimension expansion algorithm for fault diagnosis in rotating machinery.
Given the increased complexity of fault diagnosis equipment and the constraints on computational power and storage space in edge devices, this paper proposes a lightweight intelligent fault diagnosis method for bearings based on VMD-FK-ShuffleNetV2. The method enhances the model’s robustness against environmental noise through optimized signal preprocessing techniques, and the optimal lightweight bearing fault diagnosis model is selected through experimental analysis. Initially, the vibration signals are converted into a two-dimensional feature dataset using an improved FK algorithm. Subsequently, this dataset is fed into a CNN for fault identification and classification. By comparing the performance of different models in fault diagnosis tasks, the significant advantages of the lightweight CNN, ShuffleNetV2, in bearing fault diagnosis are validated, successfully establishing an efficient and accurate preliminary bearing fault detection mechanism.

2. Improved Fast Kurtogram Algorithm

2.1. Definition of Fast Kurtogram Algorithm

The FK algorithm, an advanced signal processing technique, has been widely applied in the field of rotating machinery fault diagnosis [26]. This technique, by calculating the kurtosis of signals across different frequency bands, effectively detects non-stationary features within the signals, such as periodic transient impacts. The advantage of this method lies in its ability to search for optimal combinations of frequency and frequency resolution across the entire frequency band plane, thereby adaptively determining the locations and intervals of non-stationary components [27].
Multilevel FIR filter banks, structured as binary trees, are the predominant method for rapid frequency band division within FK algorithms. Key steps include the following:
(a) Constructing a set of low-pass filters h L ( n ) and high-pass filters h H ( n ) by frequency shifting a standard low-pass filter h ( n ) . The specific expression is as follows:
h L ( n ) = h ( n ) exp ( 0.25 π n i )
h H ( n ) = h ( n ) exp ( 0.75 π n i )
In this equation, the cutoff frequency of the standard low-pass filter h ( n ) is f c = 0.125 + ε   ( ε > 0 ) . h L ( n ) and h H ( n ) can be understood as frequency-shifted versions of h ( n ) by 0.125 and 0.375, respectively. Therefore, the cutoff frequency ranges of h L ( n ) and h H ( n ) are [0, 0.25] and [0.25, 0.5], respectively.
(b) As shown in Figure 1a, the filters h L ( n ) and h H ( n ) are used for low-pass/high-pass signal decomposition. c k i ( n ) represents the i-th decomposition coefficient of the k-th layer, where i = 0 , 1 , 2 2 k 1 and k = 1 , 2 , K 1 . After the high-pass and low-pass decomposition of the k-th layer coefficients c k i ( n ) , the resulting decomposed signals need to be downsampled by a factor of 2. This produces two new decomposition coefficients, c k + 1 2 i ( n ) and c k + 1 2 i + 1 ( n ) , in the (k + 1)-th layer. To convert the high-pass sequence to a low-pass sequence and maintain frequency order, the sequence filtered by h H ( n ) needs to be multiplied by ( j ) n before downsampling. The original signal s ( n ) undergoes low-pass and high-pass decomposition following the binary tree filter bank structure. The tree structure of the FK is shown in Figure 1b [28].
The center frequency ( f c ) k i and bandwidth ( Δ f ) k i of the decomposed signal c k i ( n ) are as follows:
( f c ) k i = ( i + 0.5 ) 2 k 1
( Δ f ) k i = 2 k 1
(c) c k i ( n ) can be understood as the complex envelope of the filtered signal with ( f c ) k i as the center frequency and ( Δ f ) k i as the bandwidth. The kurtosis value of the coefficient c k i ( n ) is calculated as follows:
K k i ( f ) = C k i ( n ) 4 C k i ( n ) 2 2 2
In the equation, · and · denote the modulus and the mathematical expectation, respectively, and −2 is a constant correction value.
The kurtosis of all envelope signals was calculated, resulting in a kurtosis diagram based on a binary tree filtering structure, as shown in Figure 2 [29].
However, the decomposition accuracy of the binary tree structure is low when isolating narrow-band transient impact signals. To enhance the decomposition precision, three quasi-analytical filters with frequency ranges [0, 1/6], [1/6, 1/3], and [1/3, 1/2] were alternately configured with the aforementioned high-pass and low-pass filters. The spectral kurtosis values of the three decomposed frequency band signals were calculated, resulting in a 1/3-binary tree structure fast kurtosis diagram, as shown in Figure 3.

2.2. Definition of Variational Mode Decomposition

The VMD algorithm, which decomposes the input signal x ( t ) into K intrinsic mode function (IMF) components through variational analysis, ensures that these components are harmonic signals with limited bandwidth and, as far as possible, non-overlapping frequency bands. The algorithm employs the alternating direction method of multipliers (ADMM) to continually optimize the variational mode model, adaptively searching for the optimal central frequency and bandwidth of each IMF component, thereby minimizing the aggregate estimated bandwidth of the components and effectively separating the signal in the frequency domain [30]. VMD is a variational problem-solving approach based on three foundational concepts: classical Wiener filtering, Hilbert transform, and frequency mixing [31]. The specific construction steps are as follows:
(1) Construct the VMD algorithm with constraints. The constraint is that the sum of all intrinsic mode functions equals the input signal x ( t ) . The goal is to find K intrinsic mode functions u k ( t ) such that the sum of the estimated bandwidths of each mode is minimized.
min u k , ω k k t δ ( t ) + j π t u k ( t ) e j ω k t 2 2   s . t .   k u k ( t ) = x ( t )
In the equation, { u k ( t ) } = { u 1 ( t ) , u 2 ( t ) , u K ( t ) } and { ω k } = { ω 1 , ω 2 , ω K } represent the modal components and the center frequencies, respectively.
(2) Introduce the Lagrange multiplier λ ( t ) and the quadratic penalty factor α to transform the above-constrained problem into an unconstrained one. The quadratic penalty factor ensures the reconstruction accuracy of the signal, while the Lagrange multiplier reinforces the constraints. The expression is given by the following:
L u k , ω k , λ = α k = 1 K t δ ( t ) + j π t u k ( t ) e j ω k t 2 2 + x ( t ) k = 1 K u k ( t ) 2 2 + λ ( t ) , x ( t ) k = 1 K u k ( t )
(3) In VMD, ADMM is used to solve the above variational problem. By alternately updating { u ^ k n + 1 } , { ω k n + 1 } , and { λ ^ n + 1 } , the ‘saddle point’ of expression (7) is sought. The problem of determining u ^ k n + 1 , ω k n + 1 , and λ ^ n + 1 in the time domain is converted to the frequency domain, yielding the following solution:
u ^ k n + 1 ( ω ) = x ( ω ) i k u ^ i ( ω ) + λ ^ ( ω ) 2 1 + 2 α ω ω k 2
ω k n + 1 = 0 ω u ^ k ( ω ) 2 d ω 0 u ^ k ( ω ) 2 d ω
λ ^ n + 1 ( ω ) = λ ^ n ( ω ) + τ x ( ω ) k = 1 K u ^ k n + 1 ( ω )
(4) Alternately update { u ^ k n + 1 } , { ω k n + 1 } , and { λ ^ n + 1 } until the convergence criteria are met, and then stop the iteration.
k = 1 K u ^ k n + 1 u ^ k n 2 2 / u ^ k n 2 2 < ε
Based on the above analysis, the flowchart of the VMD computation is shown in Figure 4.
During the VMD decomposition process, two core issues are primarily addressed: (1) determining the modal count K, which is the most critical parameter of VMD, and (2) selecting and processing the modes after VMD decomposition. Regarding the determination of the modal number K, this paper uses the total energy difference between the original signal and its decomposed components as a metric. The optimal decomposition level is identified as the K value corresponding to the minimum energy difference [32]. Additionally, this study employs the Pearson correlation coefficient (PCC) to quantify the correlation between the denoised intrinsic mode functions (IMFs) and the original signal. IMFs with higher cross-correlation coefficients were selected for synthesis, creating a composite signal that encompasses key features of the signal [33].
In the field of CNN-based rotary machinery fault diagnosis, the FK is commonly utilized as a two-dimensional feature representing faults. However, bearings often contain significant noise during operation, which may interfere with the FK algorithm’s selection of the optimal demodulation band. This interference can result in inaccuracies in the FK, thereby diminishing the diagnostic accuracy of the model. This paper proposes an improved FK method that integrates VMD with the FK algorithm. This approach effectively isolates noise components, significantly enhancing the noise robustness and accuracy of the FK algorithm, thereby improving the capability to extract fault characteristics.
The feature extraction process of the improved FK algorithm is illustrated in Figure 5:
(1) First, the collected signal is decomposed using VMD. The energy differences of various IMF components are calculated to determine the optimal number of decompositions, K.
(2) Next, the PCC between each IMF component and the original signal is calculated, and the r IMF components with higher correlation are selected for synthesis to obtain the reconstructed signal.
(3) Finally, the FK of the reconstructed signal is extracted using the FK algorithm.

2.3. Validation of the Improved Fast Kurtogram Algorithm through Simulation

To validate the effectiveness of this method, a multi-component simulated signal was designed for experimentation, expressed as follows:
s ( t ) = x ( t ) + y ( t ) + z ( t ) + n ( t )
x ( t ) represents a simulated signal of bearing faults, created by superimposing decaying transient sinusoidal waves to emulate the periodic transient impact characteristics caused by faults during bearing operation:
x ( t ) = k = 0 100 e 80 π ( t 0.06 k ) sin ( 2500 π ( t 0.06 k ) )   0 . 06 k t < 0 . 06 ( k + 1 )
y ( t ) represents an interference signal composed of two low-frequency sinusoidal harmonics:
y ( t ) = 0.4 sin ( 1200 π t π / 4 ) + 0.2 sin ( 600 π t )
z ( t ) represents interference from two oscillatory decaying pulses:
z ( t ) = e 20 π ( t 1 ) sin 1000 π ( t 1 ) ,   1 t < 1 . 5 3 e 180 π ( t 2 ) sin 5000 π ( t 2 ) ,   2 t < 2 . 5
To simulate the strong background noise characteristic of bearing faults, noise with a signal-to-noise ratio of −5 dB was added to the simulated signal, expressed as follows:
n ( t ) = 0 . 4 rand ( t )
The simulation signal comprises periodic transient impacts, harmonic components, single-pulse interferences, and Gaussian white noise, authentically mimicking a complex fault environment. The simulation signal was sampled at 30,000 points with a sampling frequency of 10 kHz. Figure 6 displays the time-domain waveform of the signal and its spectral analysis results. It can be observed from the figure that the signal exhibits significant random fluctuations, with fault information obscured by intense noise interference.
To identify the optimal number of IMF components K in the VMD decomposition process, this study introduced an evaluation metric based on energy disparity. This metric evaluates the decomposition effectiveness by calculating the total energy difference between the simulated signal and all its IMF components. As shown in Figure 7, experimental results indicate that the minimum energy difference is achieved when the decomposition level K is set to 5. This suggests that VMD decomposition at this level optimally preserves the energy of the original simulated signal, thereby enhancing the precision of signal reconstruction. Consequently, K = 5 is selected as the optimal number of layers for VMD decomposition.
Figure 8 presents the various IMF components of the simulated signal obtained through VMD processing, along with their corresponding frequency spectra. To further quantify the correlation between each IMF component and the original simulated signal, the PCC was computed and detailed in Table 1. Based on these data, the three IMF components with the highest correlation to the simulated signal (IMF3, IMF4, and IMF5) were selected for signal reconstruction. The reconstructed signal is displayed in Figure 9. A comparison between the reconstructed signal and the simulated signal indicates, through time-domain analysis, that the reconstructed signal significantly reduces the overall noise level relative to the original simulated signal. It demonstrates higher stability in amplitude, effectively revealing the periodic impact components within the simulated signal. Frequency spectrum analysis results indicate that the denoising process successfully preserved the main frequency components of the signal while effectively controlling high-frequency noise.
As shown in Figure 10, the results of the original FK algorithm reveal that the optimal center frequency and bandwidth extracted, f c = 2460.9375   Hz and B w = 78.125   Hz , are closer to the fundamental frequency of the oscillatory decay pulse interference, 2500 Hz, rather than the desired fundamental frequency of periodic transient impact signals. The bandpass filtered time-domain signal in Figure 10b does not exhibit clear periodic impacts. The squared envelope spectrum shown in Figure 10c also fails to accurately extract the characteristic frequencies of periodic transient impacts.
Figure 11 illustrates the results of applying the improved FK algorithm. The optimal center frequency and bandwidth selected by this method are f c = 1197.9167   Hz and B w = 104.1667   Hz , which are very close to the fundamental frequency of 1250 Hz for the periodic transient impacts in the simulated signal. As shown in Figure 11b, the filtered signal clearly displays the periodic impact waveform. In the squared envelope spectrum shown in Figure 11c, the analysis indicates that the amplitude reaches its maximum at a frequency of 16.8157 Hz, which is essentially consistent with the characteristic frequency of 16.67 Hz for periodic transient impacts, demonstrating that the squared envelope spectrum accurately extracts the characteristic frequencies of periodic transient impacts.
The simulation results indicate that, in environments with strong noise and pulse interference, the performance of the traditional FK algorithm is significantly impacted, making it difficult for the FK to accurately filter out the resonance bands associated with faults. In contrast, the improved FK algorithm effectively reduces the interference from noise signals, allowing the FK to more accurately reveal the fault characteristics.

3. Intelligent Fault Diagnosis Method Based on ShuffleNetV2

To validate the efficacy of lightweight networks in bearing fault diagnosis, this study compares three representative traditional CNNs. Specifically, the study analyzes AlexNet, which features a classic streamlined structure; ResNet18, which utilizes residual units; and GoogLeNet, which incorporates Inception modules. Additionally, to fully demonstrate the advantages of ShuffleNetV2 [34] in bearing fault diagnosis, this study compares it with five other networks employing various lightweight techniques, including SqueezeNet, SqueezeNext [35], MobileNetV1, MobileNetV2 [36], and ShuffleNetV1. The core building block of SqueezeNet, the Fire module, evolved from the Inception module. As an enhanced version of SqueezeNet, SqueezeNext introduces multiple levels of Squeeze layers and separable 3 × 3 convolutions, incorporating a residual structure. The core technology of MobileNetV1 involves “depth-wise separable convolutions” to reduce the number of parameters and computational cost. Building on this, MobileNetV2 further optimizes its architecture by incorporating the concept of residual connections from the ResNet framework, introducing inverted residual blocks and a linear bottleneck structure. ShuffleNetV1 integrates “grouped convolutions” and “channel shuffling” techniques, laying the groundwork for the development of ShuffleNetV2. Therefore, the comparative algorithms selected in this paper encompass classic models of both traditional and lightweight networks. Comparative studies confirm the superiority of ShuffleNetV2 and provide a profound analysis of how different lightweight techniques impact fault diagnosis of bearing characteristics, offering both specificity and comprehensiveness [37].

3.1. Introduction to the ShuffleNetV2 Model

ShuffleNetV2 is an efficient, lightweight neural network architecture developed by Megvii Technology. When assessing model speed, reliance should not solely be on indirect metrics such as floating point operations per second (FLOPs); factors like memory access cost and the level of parallelism must also be considered. ShuffleNetV2 incorporates two principles to optimize network architecture design: first, using direct metrics (such as actual speed) and evaluating on specific platforms; and second, adhering to four specific guidelines for module design. These strategies collectively advance the structural innovation and performance optimization of ShuffleNetV2.
Four guidelines for lightweight network design:
(1) Guideline 1: When the number of input and output feature channels is the same, the memory access cost (MAC) is minimized.
(2) Guideline 2: Grouped convolutions should avoid excessive grouping to reduce MAC and enhance inference speed.
(3) Guideline 3: Network fragmentation reduces network parallelism, affecting the acceleration performance of the graphics processing unit (GPU).
(4) Criterion 4: The memory access and computational time caused by element-wise operations (such as residual summing, ReLU activation, etc.) should not be overlooked.
Under the guidance of the aforementioned design guidelines, Figure 12 displays the building blocks of ShuffleNetV2. The building blocks utilize a channel split operation, which equally divides the input feature channels into two parts. One part undergoes depth-wise separable convolution to extract deep features, which are then concatenated with the other unprocessed part through a channel concatenation operation. Subsequently, a channel shuffle operation is performed, strategically reorganizing the channels of the two parts of the feature map, breaking the original channel isolation, and promoting inter-channel information exchange. This process significantly enhances the dynamics of the overall information flow of the network, improving its expressive capacity and processing efficiency. In the downsampling module, the channel split operation is omitted; instead, each branch undergoes downsampling with a stride of 2, effectively halving the spatial dimensions of the feature maps and doubling the number of channels. This module design optimizes the use of computational resources of the network, catering to efficient processing demands in resource-constrained environments.
The overall network structure of ShuffleNetV2 is shown in Table 2.

3.2. Fault Diagnosis Methodology

The intelligent fault diagnosis system for bearings based on VMD-FK-Shufflenetv2, as presented in this paper, is depicted in Figure 13. The diagnostic process encompasses four key steps: data collection, signal processing, model construction and training, and fault diagnosis.
Step 1: Data Collection. Data acquisition forms the foundation of fault diagnosis, as data quality directly affects diagnostic accuracy and reliability. During this phase, vibration sensors are installed on the end cap of the motor shaft in both the horizontal (x-axis) and vertical (y-axis) directions to collect vibration signals. This dual-sensor configuration monitors the vibration characteristics of the equipment from two dimensions, significantly reducing the uncertainty associated with a single measurement point. Additionally, it increases data dimensions and information content, thereby enhancing the comprehensiveness and accuracy of the data.
Step 2: Signal Processing. Signal processing is the core step in the fault diagnosis process, focusing on extracting features highly relevant to the fault state from the signals. In this phase, VMD is initially used to denoise the raw signal. By comparing the energy differences between the raw signal and each decomposed component, the decomposition layer number K with the smallest energy difference is selected. Subsequently, the PCC is used to further quantify the correlation between the denoised IMFs and the raw signal, selecting the IMF components with higher correlation for signal reconstruction. Finally, the FK algorithm is utilized to convert the vibration signals into FK, a method that not only enhances the representation of abnormal signal patterns but also improves the efficiency of pattern recognition.
Step 3: Model Construction and Training. The construction and training of neural network models are crucial for achieving intelligent fault diagnosis. Selecting the most appropriate algorithm based on data characteristics, task requirements, and the actual operating environment is essential for effective fault diagnosis. During the model construction phase, the input feature map size of the neural network model is set to 224 × 224 × 3 pixels to balance performance with resource consumption. For the five types of bearing faults, the output layer of the model is designed with five neurons to meet the requirements of the classification task. During the model training phase, FK data were divided into training, validation, and test sets, which were used for training, validation, and testing, respectively. During the model training process, the training cycles are optimized by real-time monitoring of loss values, terminating the training when the loss values have sufficiently converged. Additionally, a strategy based on saving the best model configuration according to validation accuracy was employed to ensure the accuracy of model selection and its generalization capability. The study constructed three traditional CNNs and six lightweight CNNs, providing a detailed analysis of their performance and training effectiveness.
Step 4: Fault Diagnosis. After the training phase is completed, the optimal models saved by each algorithm are used to process the test dataset, performing tasks of identifying and classifying different types of bearing faults. Furthermore, several lightweight metrics and testing performance indicators (such as test accuracy and GPU processing efficiency) are introduced to comprehensively evaluate the performance of traditional neural network models and lightweight neural network models in bearing fault diagnosis.

4. Experimental Verification

4.1. Experimental Setup

To validate the effectiveness of the methods proposed in this paper, experiments were conducted using a mechanical fault-testing rig produced by Spectra Quest Inc. (Richmond, VA, USA). The test rig primarily consists of components such as a three-phase asynchronous motor, frequency drive, coupling, bearing assembly, rotor assembly, drive shaft, bevel gear box, and magnetic brake, as depicted in Figure 14a. It is designed for experiments in rotor dynamics, rotating machinery fault diagnosis, condition monitoring, and predictive maintenance. The data acquisition module employs a USB-6221 high-speed card, suitable for various data collection and control applications, with a maximum sampling rate of up to 250 kS/s. The vibration accelerometer uses a PCB 608A11 piezoelectric sensor, featuring a frequency range of 0.5 Hz to 10 kHz, sensitivity of 100 mV/g, and a resolution of 350 μV.
In this study, the fault condition of bearings was monitored by introducing faulty bearings into a motor. A 0.5 horsepower AC motor with bearing faults was used; details of the bearing parameters are provided in Table 3. The motor’s output speed was set to 1800 rpm, using a belt drive-straight gear box-adjustable magnetic brake system for loading, with the magnetic brake set to level 3. Horizontal x and vertical y vibration sensors were installed on the motor shaft end cover, as shown in Figure 14b. The vibration signal sampling frequency was set at 12 kHz with a sampling duration of 1 min. Data on actual motor rolling bearing vibrations were collected, yielding motor vibration signals under five different bearing conditions: normal, inner ring fault, outer ring fault, ball fault, and compound fault, where the compound fault includes inner ring, outer ring, and ball faults.
By analyzing the relative motion relationships between various elements of the bearing, the calculation formula for bearing fault characteristic frequencies is obtained as follows [38]:
(1) Working shaft rotation frequency:
f r = n 60
(2) Fault characteristic frequency of the inner ring:
f i = 1 2 f r ( 1 + d D cos α ) z
(3) Fault characteristic frequency of the outer ring:
f o = 1 2 f r ( 1 d D cos α ) z
(4) Fault characteristic frequency of the rolling element:
f b = D 2 d f r 1 d D cos α 2

4.2. Improved FK Algorithm Testing and Analysis

In this study, the fault signal of the outer bearing ring collected from the mechanical fault-testing platform was selected as the research object. The time-domain waveform and spectral characteristics of this signal are displayed in Figure 15. Figure 16 shows the signal after noise reduction and reconstruction. When comparing the time-frequency waveforms of the original and reconstructed signals, it can be observed that the amplitude fluctuations of the reconstructed signal are significantly reduced. Spectral analysis indicates that the noise reduction effectively suppresses high-frequency noise while appropriately retaining mid-to-low frequency components. Retaining these frequency bands is crucial as they typically contain key information reflecting the bearing’s condition.
Figure 17 and Figure 18 show the results of processing the outer bearing ring fault signal using the traditional FK algorithm and the improved FK algorithm, respectively. There are significant differences between the two algorithms in selecting the center frequency and bandwidth of the optimal frequency band, leading to distinct performances in the resulting FK. According to Equations (17) and (19), the rotational frequency f r of the motor bearing outer ring is calculated to be 30 Hz, and the fault characteristic frequency f o is 91.55 Hz. The squared envelope spectrum of the improved FK algorithm in Figure 18b shows that the amplitude reaches its maximum at 91.1051 Hz, which is consistent with the theoretical fault characteristic frequency. The 2nd, 3rd, 4th, and 5th harmonics are prominently highlighted. Additionally, the amplitude at the rotational frequency of 29.56 Hz is very distinct and closely matches the theoretical rotational frequency of 30 Hz. The sideband frequencies are also accurately identified, and significant noise reduction is demonstrated. In contrast, the traditional FK algorithm results shown in Figure 17b are less pronounced due to the influence of noise, making the fault characteristics less distinguishable. The results of this study indicate that the improved FK algorithm performs better in noisy environments, accurately selecting the resonance frequency bands related to faults and extracting key fault features.

4.3. Analysis of Model Diagnostic Results

To ensure the consistency of the experimental results for each algorithm, all tests and analyses in this paper were conducted on the same computer with the following specifications: Intel Core i5-12400F (2.50 GHz), 32 GB RAM, NVIDIA GeForce RTX 3060Ti (8GB). The development environment was Python 3.9.19 + Torch 2.3.0 + cu118.

4.3.1. Comparison of Intrinsic Model Performance

The characteristics of different algorithms are analyzed based on three key performance indicators: the number of parameters, computational complexity, and memory read-write operations. As shown in Table 4, the number of parameters, an intrinsic attribute of the model, primarily reflects the required disk storage space. This is particularly crucial for edge-based intelligent fault diagnosis devices with limited storage resources, as it directly impacts the model’s deployability and operational capability. The computational demand reflects the model’s complexity and resource consumption during actual inference, and this metric is fixed given constant input data. It is noteworthy that different algorithms exhibit varying levels of classification accuracy across different datasets and FLOPs levels. FLOPs serve as a critical metric for assessing model inference speed and lightweight design; however, evaluating network performance also requires consideration of specific hardware architectures and other key factors. Memory read-write operations, defined as the total amount of system memory accesses during data processing and computation, are crucial metrics for assessing resource utilization and performance during model deployment, especially on devices with limited memory. Therefore, reducing memory read-write operations is an effective way to enhance inference efficiency when FLOPs are constant.
As illustrated in Table 4, compared to traditional networks, lightweight networks significantly reduce the number of parameters, demonstrating a clear advantage in storage resource utilization, which is particularly important for fault diagnosis applications in industrial settings. Although SqueezeNet has slightly higher FLOPs than AlexNet, and SqueezeNext’s memory read-write operations are marginally greater than those of GoogLeNet and ResNet18, lightweight networks overall show significant performance improvements across the three metrics compared to traditional networks.
Within lightweight networks, although ShuffleNet V2 has slightly more parameters than SqueezeNet and SqueezeNext, its computational load and memory read/write operations are significantly lower than those two. This indicates that ShuffleNet V2 can achieve faster inference speeds with minimal additional storage resource consumption, making it highly suitable for real-time online fault diagnosis applications. Furthermore, ShuffleNet V2 outperforms MobileNet V1 and MobileNet V2 across various performance metrics. As an improved version of ShuffleNet V1, ShuffleNet V2, despite having slightly higher parameter and computational requirements, has significantly enhanced memory read/write performance. Thus, preliminary analysis suggests that ShuffleNet V2 exhibits superior performance in both traditional and lightweight network comparisons.

4.3.2. Comparison of Model Training Effects

This experiment employed an enhanced FK algorithm to analyze vibration signals under five different bearing conditions, aiming to reveal the vibrational characteristics of various fault types. Utilizing the obtained data, FKs with a resolution of 224 × 224 were generated, as shown in Figure 19. These images displayed unique patterns related to each bearing condition, providing rich feature information for subsequent CNN model training. To prevent model overfitting and enhance its generalization capabilities, the training samples were subjected to data augmentation. Additionally, to ensure the validity of the dataset, test samples, validation samples, and training samples were kept independent with no overlapping sections. The dataset comprises 4800 training samples, 600 validation samples, and 600 test samples, with the number of samples per category presented in Table 5.
In the application of edge intelligence fault diagnosis, to ensure that the model continuously updates its performance with the acquisition of new data, attention must be paid not only to the model’s lightweight design but also to its training difficulty. If the model struggles to converge quickly to a global optimum during training, its widespread adoption in the field of edge intelligence fault diagnosis will be limited. This paper aims to evaluate the training performance of different models on a dataset of bearing FK. By employing consistent parameter settings and visualizing the training process, the study systematically assesses the training efficiency and convergence behavior of the models.
The model training strategy and initial parameter settings adopted in this paper are detailed in Table 6. The Adam optimizer, which integrates momentum optimization and RMSProp features for adaptive moment estimation, is employed to update model gradients during backpropagation. The initial learning rate for this optimizer is set at 0.001. Given that the Adam optimizer adaptively adjusts the learning rate throughout the training process, there is reduced dependence on learning rate schedulers. Furthermore, to maximize GPU computational efficiency and enhance model training speed, a large batch strategy with 200 samples per batch was adopted for model iteration. This strategy ensures that each iteration thoroughly trains the model, requiring only 24 iterations to complete a full pass through the entire training set. After several rounds of experiments, the number of training epochs was finalized at 10. This setup not only ensures adequate training of the model but also prevents overfitting to the training set.
Given the variability in performance of deep learning algorithms across different training sessions, each algorithm was independently trained ten times. The accuracy of each model on the test set was used as a metric, and the mean accuracy across these ten training sessions was calculated. The result closest to the mean was selected for detailed presentation. Compared to the training set, the model’s accuracy and loss on the validation set more effectively reflect its generalization performance during training. Consequently, the trends in accuracy and loss for each model on the validation set are illustrated in Figure 20.
Observing Figure 20a, it can be seen that during the training process, the ShuffleNetV2 model achieves nearly 100% accuracy on the validation set after three epochs, with its model parameters rapidly converging to the global optimum. Subsequently, the model parameters only underwent minor adjustments without significant oscillations, indicating a high level of training stability. In contrast, although the traditional network AlexNet quickly approaches a high accuracy in the early iteration stages, it does not reach the global optimum and experiences significant oscillations in subsequent iterations. GoogLeNet and ResNet18 exhibit only slight oscillations throughout the entire training cycle, but this still indicates that these two models find it challenging to adjust to optimal training performance. Among other lightweight network models, although they perform parameter fine-tuning after converging to the global optimum and are less stable than ShuffleNetV2, they exhibit smaller fluctuations compared to traditional networks. Among them, SqueezeNet has the slowest initial convergence rate, requiring multiple iterations to achieve high accuracy, and experiences periodic performance degradation during parameter optimization. From the analysis of the loss curves in Figure 20b, it can be seen that the performance trends of each algorithm are generally consistent with the accuracy trends in Figure 20a.
Therefore, based on the analysis of the FK dataset in this paper, lightweight networks demonstrate more stable training results without sacrificing performance compared to traditional networks. In particular, the ShuffleNetV2 algorithm exhibits the best fitting performance with this feature set.

4.3.3. Comparison of Model Robustness and Generalization Performance

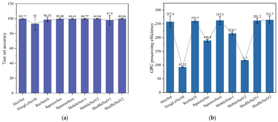
To comprehensively evaluate the generalization and robustness of different network models on the rolling bearing fault dataset and their inference speed, each algorithm was trained and tested independently ten times. The average test accuracy, standard deviation, and GPU processing efficiency mean and standard deviation for each algorithm were summarized. The relevant results are shown in Figure 21.
The accuracy on the test set is a crucial metric for assessing the generalization ability of a model, which is vital for evaluating its performance in diagnostic tasks. As shown in Figure 21a, ShuffleNetV2 and MobileNetV2, among the lightweight networks, exhibit the highest accuracy in testing, demonstrating their excellent generalization performance. Additionally, these two models have lower standard deviations, indicating that they achieve high diagnostic performance while maintaining good stability. From Figure 21b, it can be seen that the inference speed of ShuffleNetV2 is approximately 2.25 times that of MobileNetV2, and it is the fastest among all models. This makes ShuffleNetV2 highly suitable for scenarios requiring rapid and accurate diagnostics. Further research reveals that MobileNetV2 fails to fully utilize the maximum computational power of the GPU platform. The memory bandwidth limitations on the GPU hinder rapid data exchange, becoming a bottleneck for the model’s performance. However, MobileNetV2 can utilize computational resources more effectively on the CPU platform, demonstrating faster inference efficiency. This is mainly due to depth-wise separable convolutions, which are more suitable for pipeline-oriented CPUs and ARM devices. This result highlights that model performance significantly depends on its compatibility with specific computing platforms. For the design and deployment of deep learning models, we must consider hardware adaptability to optimize performance and efficiency.
From the comparative analysis between lightweight networks and traditional networks, it was found that lightweight algorithms generally exhibit higher generalization and robustness. Specifically, GoogLeNet has the lowest accuracy and the highest standard deviation, indicating that its generalization performance and robustness are the worst. This may be because GoogLeNet employs more complex Inception modules and auxiliary networks, which increase the complexity of the model’s forward propagation and the difficulty of training. In terms of GPU processing efficiency, the inference speed of lightweight networks such as SqueezeNet, MobileNetV1, and MobileNetV2 is slower compared to traditional networks like AlexNet and ResNet18. This indicates that, when designing lightweight models, optimization should not be focused solely on reducing the number of parameters and computational load. The overall network structure and the optimization of the computational process are also crucial factors.
From this, it can be seen that lightweight models, compared to traditional network models, demonstrate improvements in diagnostic accuracy, stability, and processing speed, thus validating the effectiveness of lightweight networks in this application scenario. Furthermore, the “VMD-FK-ShuffleNetV2” algorithm proposed in this paper shows clear advantages in various performance metrics over other models, fully demonstrating its superiority in bearing fault diagnosis.

4.3.4. Visualization of Features and Confusion Matrix Analysis for Each Lightweight Model

In the field of deep learning, the prevalent “black box problem” increases the complexity of explaining and understanding the internal workings of CNNs. To deeply compare the learning strategies of various lightweight CNNs for processing bearing FK, deep feature outputs during the forward inference process on the test set were obtained. These outputs reveal rich semantic information of images, providing a key perspective for understanding the learning strategies of different networks. Here, the model whose test set accuracy is closest to the average across 10 training sessions is selected for feature demonstration. To ensure the rigor of the comparative study, following the principle that “convolution and pooling layers are used for feature extraction, while fully connected layers are used for classification”, the input to the first fully connected layer of each network is selected for t-SNE dimensionality reduction and visualization analysis, intuitively displaying the performance of different lightweight network models in feature extraction. The results are shown in Figure 22.
The results shown in Figure 22 demonstrate that ShuffleNetV2 effectively clusters data from rolling bearings under five different conditions. Samples with the same type of fault are closely grouped together in low-dimensional space, while samples from different fault categories are well dispersed. Apart from SqueezeNext, the feature extraction layers of the other four network models successfully capture the characteristic information of the five bearing states, achieving a clustering effect similar to that of ShuffleNetV2. This outcome strongly validates the effectiveness of lightweight algorithms in the task of diagnosing faults in rolling bearings. In the features extracted by SqueezeNext, there is an overlap of classification characteristics between Compound and Outer, Roller and Inner, as well as Normal and Inner, with clusters being closely positioned, indicating poor feature extraction capabilities. This may be attributed to the design strategy of SqueezeNext, which builds upon the SqueezeNet architecture by incorporating multiple squeeze layers and employing separable 3 × 3 convolutions, significantly reducing the model’s parameters. Such a design, while aiming to achieve higher inference speeds, may compromise some feature extraction capabilities, resulting in suboptimal performance in certain complex diagnostic scenarios.
To evaluate the performance of various algorithms in identifying five types of rolling bearing states, the accuracy is displayed while using the recall rate of a single fault type as a metric. The confusion matrix is illustrated in Figure 23.
Observing Figure 23, it is evident that ShuffleNetV2 achieves a recall rate of 99.2% on normal samples, and the lightweight networks MobileNetV2, MobileNetV1, and SqueezeNet reach the same level of recall on various samples. This indicates that the feature extraction components of these networks can effectively capture sensitive information related to state changes. In contrast, ShuffleNetV1 has a slightly lower recall rate, demonstrating the performance improvements brought about by the technical enhancements of ShuffleNetV2 over ShuffleNetV1. SqueezeNext shows a lower accuracy, primarily due to inadequate deep feature extraction capabilities within its network. The confusion matrix results of these lightweight networks are consistent with the feature clustering results shown in Figure 22.

5. Conclusions

This study introduces a lightweight intelligent fault diagnosis method for bearings based on VMD-FK and ShuffleNetV2, designed to effectively address noise disturbances in bearing vibration signals and to overcome the limitations of traditional CNNs on edge devices with restricted computational resources. The effectiveness of the proposed method was validated through experimental data. The conclusions are as follows:
(1) This study introduces a VMD signal denoising method that integrates energy difference and correlation coefficient, effectively reducing noise levels while preserving critical feature information. Subsequently, the denoised signals were further analyzed using the FK algorithm, and the generated FKs significantly emphasized fault-related features, thereby enhancing the accuracy of fault detection.
(2) Through the assessment of a series of key performance indicators, the study reveals that ShuffleNetV2 outperforms other lightweight and conventional CNN models on a bearing fault dataset. The model not only operates efficiently in environments with limited computational resources but also maintains robust processing capabilities.
The findings of this study highlight the significant advantages of the lightweight intelligent fault diagnosis method for bearings based on VMD-FK-Shufflenetv2 in the field of bearing fault diagnosis. By integrating signal processing techniques with a lightweight neural network model, this method effectively extracts key fault characteristics from complex data, substantially enhancing the accuracy and reliability of fault detection. This establishes a solid theoretical and experimental foundation for the application and expansion of fault diagnosis technologies in resource-limited industrial environments. It holds significant theoretical importance and practical application value in advancing industrial health monitoring systems, particularly in achieving efficient and accurate fault diagnosis and preventative maintenance.
Although the intelligent fault diagnosis method proposed has achieved satisfactory results in preliminary experiments, it still shows limitations in certain areas. Current research focuses primarily on the preliminary diagnosis of bearing faults without delving into diagnosing faults of varying severity or identifying and predicting trends in bearing performance degradation. To overcome these limitations, future research will aim to apply this diagnostic technology to more complex classification and regression tasks, covering areas such as fault severity assessment, health condition evaluation, and remaining life prediction for rotating machinery.

Author Contributions

Conceptualization, Z.Q.; methodology, Z.Q.; software, Z.Q. and S.C.; validation, X.X. and S.C.; formal analysis, A.J.; resources, W.J.; data curation, Z.Q.; writing—original draft preparation, Z.Q.; writing—review and editing, W.J.; visualization, Z.Q. and X.X.; supervision, W.J.; project administration, W.J. All authors have read and agreed to the published version of the manuscript.

Funding

This research was supported by the National Natural Science Foundation of China (Grant No. 52275067) and the Province Natural Science Foundation of Hebei, China (Grant No. E2023203030).

Informed Consent Statement

Informed consent was obtained from all subjects involved in the study.

Data Availability Statement

The data presented in this study are available on request from the corresponding author (privacy).

Conflicts of Interest

The authors declare no conflicts of interest.

References

  1. Zhang, J.; Sun, Y.; Guo, L.; Gao, H.; Hong, X.; Song, H. A New Bearing Fault Diagnosis Method Based on Modified Convolutional Neural Networks. Chin. J. Aeronaut. 2020, 33, 439–447. [Google Scholar] [CrossRef]
  2. Yu, D.; Deng, L. Deep Learning and Its Applications to Signal and Information Processing [Exploratory DSP]. IEEE Signal Process. Mag. 2011, 28, 145–154. [Google Scholar] [CrossRef]
  3. Saufi, S.R.; Ahmad, Z.A.B.; Leong, M.S.; Lim, M.H. Gearbox Fault Diagnosis Using a Deep Learning Model with Limited Data Sample. IEEE Trans. Ind. Inform. 2020, 16, 6263–6271. [Google Scholar] [CrossRef]
  4. Yang, X.; Jiang, A.; Jiang, W.; Zhao, Y.; Tang, E.; Chang, S. Abnormal Detection and Fault Diagnosis of Adjustment Hydraulic Servomotor Based on Genetic Algorithm to Optimize Support Vector Data Description with Negative Samples and One-Dimensional Convolutional Neural Network. Machines 2024, 12, 368. [Google Scholar] [CrossRef]
  5. Petrauskiene, V.; Pal, M.; Cao, M.; Wang, J.; Ragulskis, M. Color Recurrence Plots for Bearing Fault Diagnosis. Sensors 2022, 22, 8870. [Google Scholar] [CrossRef] [PubMed]
  6. Wen, L.; Li, X.; Gao, L.; Zhang, Y. A New Convolutional Neural Network-Based Data-Driven Fault Diagnosis Method. IEEE Trans. Ind. Electron. 2018, 65, 5990–5998. [Google Scholar] [CrossRef]
  7. Ding, X.; He, Q. Energy-Fluctuated Multiscale Feature Learning with Deep ConvNet for Intelligent Spindle Bearing Fault Diagnosis. IEEE Trans. Instrum. Meas. 2017, 66, 1926–1935. [Google Scholar] [CrossRef]
  8. Udmale, S.S.; Patil, S.S.; Phalle, V.M.; Singh, S.K. A Bearing Vibration Data Analysis Based on Spectral Kurtosis and ConvNet. Soft Comput. 2019, 23, 9341–9359. [Google Scholar] [CrossRef]
  9. Ma, P.; Zhang, H.; Fan, W.; Wang, C.; Wen, G.; Zhang, X. A Novel Bearing Fault Diagnosis Method Based on 2D Image Representation and Transfer Learning-Convolutional Neural Network. Meas. Sci. Technol. 2019, 30, 055402. [Google Scholar] [CrossRef]
  10. Liu, X.; Zhou, Q.; Zhao, J.; Shen, H.; Xiong, X. Fault Diagnosis of Rotating Machinery under Noisy Environment Conditions Based on a 1-D Convolutional Autoencoder and 1-D Convolutional Neural Network. Sensors 2019, 19, 972. [Google Scholar] [CrossRef]
  11. Zhao, C.; Zio, E.; Shen, W. Domain Generalization for Cross-Domain Fault Diagnosis: An Application-Oriented Perspective and a Benchmark Study. Reliab. Eng. Syst. Saf. 2024, 245, 109964. [Google Scholar] [CrossRef]
  12. Mishra, C.; Samantaray, A.K.; Chakraborty, G. Rolling Element Bearing Fault Diagnosis under Slow Speed Operation Using Wavelet De-Noising. Measurement 2017, 103, 77–86. [Google Scholar] [CrossRef]
  13. Keshtan, M.N.; Nouri Khajavi, M. Bearings Fault Diagnosis Using Vibrational Signal Analysis by EMD Metod. Res. Nondestruct. Eval. 2016, 27, 155–174. [Google Scholar] [CrossRef]
  14. Dragomiretskiy, K.; Zosso, D. Variational Mode Decomposition. IEEE Trans. Signal Process. 2014, 62, 531–544. [Google Scholar] [CrossRef]
  15. Wang, Q.; Wang, L.; Yu, H.; Wang, D.; Nandi, A.K. Utilizing SVD and VMD for Denoising Non-Stationary Signals of Roller Bearings. Sensors 2022, 22, 195. [Google Scholar] [CrossRef]
  16. Wang, Q.; Yang, C.; Wan, H.; Deng, D.; Nandi, A.K. Bearing Fault Diagnosis Based on Optimized Variational Mode Decomposition and 1D Convolutional Neural Networks. Meas. Sci. Technol. 2021, 32, 104007. [Google Scholar] [CrossRef]
  17. Krizhevsky, A.; Sutskever, I.; Hinton, G.E. ImageNet Classification with Deep Convolutional Neural Networks. Commun. ACM 2017, 60, 84–90. [Google Scholar] [CrossRef]
  18. Szegedy, C.; Liu, W.; Jia, Y.; Sermanet, P.; Reed, S.; Anguelov, D.; Erhan, D.; Vanhoucke, V.; Rabinovich, A. Going Deeper with Convolutions. In Proceedings of the IEEE Conference on Computer Vision and Pattern Recognition, Columbus, OH, USA, 23–28 June 2014. [Google Scholar]
  19. He, K.; Zhang, X.; Ren, S.; Sun, J. Deep Residual Learning for Image Recognition. In Proceedings of the IEEE Conference on Computer Vision and Pattern Recognition, Boston, MA, USA, 7–12 June 2015. [Google Scholar]
  20. Zhou, Y.; Chen, S.; Wang, Y.; Huan, W. Review of Research on Lightweight Convolutional Neural Networks. In Proceedings of the 2020 IEEE 5th Information Technology and Mechatronics Engineering Conference (ITOEC), Chongqing, China, 12–14 June 2020; pp. 1713–1720. [Google Scholar]
  21. Iandola, F.N.; Han, S.; Moskewicz, M.W.; Ashraf, K.; Dally, W.J.; Keutzer, K. SqueezeNet: AlexNet-Level Accuracy with 50x Fewer Parameters and <0.5MB Model Size. arXiv 2016, arXiv:1602.07360. [Google Scholar]
  22. Howard, A.G.; Zhu, M.; Chen, B.; Kalenichenko, D.; Wang, W.; Weyand, T.; Andreetto, M.; Adam, H. MobileNets: Efficient Convolutional Neural Networks for Mobile Vision Applications. arXiv 2017, arXiv:1704.04861. [Google Scholar]
  23. Zhang, X.; Zhou, X.; Lin, M.; Sun, J. ShuffleNet: An Extremely Efficient Convolutional Neural Network for Mobile Devices. In Proceedings of the IEEE Conference on Computer Vision and Pattern Recognition, Honolulu, HI, USA, 21–26 July 2017. [Google Scholar]
  24. Yao, D.; Liu, H.; Yang, J.; Li, X. A Lightweight Neural Network with Strong Robustness for Bearing Fault Diagnosis. Measurement 2020, 159, 107756. [Google Scholar] [CrossRef]
  25. Luo, Z.; Peng, Y.; Dong, X.; Qian, H. Rotating Machinery Fault Diagnosis Using Dimension Expansion and AntisymNet Lightweight Convolutional Neural Network. Meas. Sci. Technol. 2023, 34, 115005. [Google Scholar] [CrossRef]
  26. Antoni, J. Fast Computation of the Kurtogram for the Detection of Transient Faults. Mech. Syst. Signal Process. 2007, 21, 108–124. [Google Scholar] [CrossRef]
  27. Zhang, K.; Xu, Y.; Liao, Z.; Song, L.; Chen, P. A Novel Fast Entrogram and Its Applications in Rolling Bearing Fault Diagnosis. Mech. Syst. Signal Process. 2021, 154, 107582. [Google Scholar] [CrossRef]
  28. Bogie Fault Diagnosis under Variable Operating Conditions Based on Fast Kurtogram and Deep Residual Learning towards Imbalanced Data. Measurement 2020, 166, 108191. [CrossRef]
  29. Alonso-González, M.; Díaz, V.G.; Pérez, B.L.; G-Bustelo, B.C.P.; Anzola, J.P. Bearing Fault Diagnosis with Envelope Analysis and Machine Learning Approaches Using CWRU Dataset. IEEE Access 2023, 11, 57796–57805. [Google Scholar] [CrossRef]
  30. Jia, Y.; Li, G.; Dong, X. Feature Extraction of Hob Vibration Signals Using Denoising Method Combining VMD and Grey Relational Analysis. Arab. J. Sci. Eng. 2022, 47, 2925–2942. [Google Scholar] [CrossRef]
  31. Wu, Y. Research on Fault Diagnosis of Wind Turbine Transmission Systems Based on Variational Mode Decomposition. Ph.D. Thesis, North China Electric Power University, Beijing, China, 2017. [Google Scholar]
  32. Ren, X.; Li, P.; Sun, B.i; Qiao, H. Fault Diagnosis of Rolling Bearings Based on Improved VMD. Mech. Des. Manuf. 2020, 188–191. [Google Scholar] [CrossRef]
  33. Shan, S.; Liu, J.; Wu, S.; Shao, Y.; Li, H. A Motor Bearing Fault Voiceprint Recognition Method Based on Mel-CNN Model. Measurement 2023, 207, 112408. [Google Scholar] [CrossRef]
  34. Ma, N.; Zhang, X.; Zheng, H.-T.; Sun, J. ShuffleNet V2: Practical Guidelines for Efficient CNN Architecture Design. In Computer Vision—ECCV 2018; Lecture Notes in Computer, Science; Ferrari, V., Hebert, M., Sminchisescu, C., Weiss, Y., Eds.; Springer International Publishing: Cham, Germany, 2018; Volume 11218, pp. 122–138. ISBN 978-3-030-01263-2. [Google Scholar]
  35. Gholami, A.; Kwon, K.; Wu, B.; Tai, Z.; Yue, X.; Jin, P.; Zhao, S.; Keutzer, K. SqueezeNext: Hardware-Aware Neural Network Design. In Proceedings of the IEEE Conference on Computer Vision and Pattern Recognition Workshops, Salt Lake City, UT, USA, 18–22 June 2018. [Google Scholar]
  36. Sandler, M.; Howard, A.; Zhu, M.; Zhmoginov, A.; Chen, L.-C. MobileNetV2: Inverted Residuals and Linear Bottlenecks. In Proceedings of the 2018 IEEE/CVF Conference on Computer Vision and Pattern Recognition, Salt Lake City, UT, USA, 18–23 June 2018; IEEE: New York, NY, USA, 2018; pp. 4510–4520. [Google Scholar]
  37. Wang, Y.; Yan, J.; Sun, Q.; Jiang, Q.; Zhou, Y. Bearing Intelligent Fault Diagnosis in the Industrial Internet of Things Context: A Lightweight Convolutional Neural Network. IEEE Access 2020, 8, 87329–87340. [Google Scholar] [CrossRef]
  38. Jiang, W.-L.; Zhao, Y.-H.; Zang, Y.; Qi, Z.-Q.; Zhang, S.-Q. Feature Extraction and Diagnosis of Periodic Transient Impact Faults Based on a Fast Average Kurtogram–GhostNet Method. Processes 2024, 12, 287. [Google Scholar] [CrossRef]
Figure 1. Schematic diagram of FK implementation method based on binary tree filter bank: (a) low-pass/high-pass filter; (b) schematic diagram of binary tree filter bank.
Figure 1. Schematic diagram of FK implementation method based on binary tree filter bank: (a) low-pass/high-pass filter; (b) schematic diagram of binary tree filter bank.
Machines 12 00608 g001
Figure 2. Schematic of FK.
Figure 2. Schematic of FK.
Machines 12 00608 g002
Figure 3. Schematic of the 1/3-octave binary tree FK.
Figure 3. Schematic of the 1/3-octave binary tree FK.
Machines 12 00608 g003
Figure 4. Flowchart of VMD computation.
Figure 4. Flowchart of VMD computation.
Machines 12 00608 g004
Figure 5. Improved FK algorithm feature extraction process.
Figure 5. Improved FK algorithm feature extraction process.
Machines 12 00608 g005
Figure 6. Simulation signal s(t): (a) time-domain waveform; (b) spectrum.
Figure 6. Simulation signal s(t): (a) time-domain waveform; (b) spectrum.
Machines 12 00608 g006
Figure 7. Energy Difference Curve.
Figure 7. Energy Difference Curve.
Machines 12 00608 g007
Figure 8. VMD decomposition results of the simulated signal: (a) IMF components; (b) frequency spectra corresponding to the IMF components.
Figure 8. VMD decomposition results of the simulated signal: (a) IMF components; (b) frequency spectra corresponding to the IMF components.
Machines 12 00608 g008
Figure 9. Denoised reconstructed signal: (a) time-domain waveform; (b) spectrum.
Figure 9. Denoised reconstructed signal: (a) time-domain waveform; (b) spectrum.
Machines 12 00608 g009
Figure 10. Results of the FK algorithm applied to the simulated signal: (a) FK; (b) bandpass filtered signal in frequency band A; (c) squared envelope spectrum of the filtered signal.
Figure 10. Results of the FK algorithm applied to the simulated signal: (a) FK; (b) bandpass filtered signal in frequency band A; (c) squared envelope spectrum of the filtered signal.
Machines 12 00608 g010
Figure 11. Results of the improved FK algorithm on the simulated signal: (a) FK; (b) bandpass filtered signal in frequency band B; (c) squared envelope spectrum of the filtered signal.
Figure 11. Results of the improved FK algorithm on the simulated signal: (a) FK; (b) bandpass filtered signal in frequency band B; (c) squared envelope spectrum of the filtered signal.
Machines 12 00608 g011
Figure 12. ShuffleNetV2 module: (a) stride = 1 block; (b) stride = 2 block.
Figure 12. ShuffleNetV2 module: (a) stride = 1 block; (b) stride = 2 block.
Machines 12 00608 g012
Figure 13. Fault diagnosis flowchart.
Figure 13. Fault diagnosis flowchart.
Machines 12 00608 g013
Figure 14. Experimental setup diagram: (a) mechanical fault-testing experimental setup; (b) sensor installation location.
Figure 14. Experimental setup diagram: (a) mechanical fault-testing experimental setup; (b) sensor installation location.
Machines 12 00608 g014
Figure 15. Fault signal of the outer bearing ring: (a) time-domain waveform; (b) spectrum.
Figure 15. Fault signal of the outer bearing ring: (a) time-domain waveform; (b) spectrum.
Machines 12 00608 g015
Figure 16. Noise-reduced signal: (a) time-domain waveform; (b) spectrum.
Figure 16. Noise-reduced signal: (a) time-domain waveform; (b) spectrum.
Machines 12 00608 g016
Figure 17. Processing results of outer bearing ring fault signal using the FK algorithm: (a) FK; (b) squared envelope spectrum of the band C filtered signal.
Figure 17. Processing results of outer bearing ring fault signal using the FK algorithm: (a) FK; (b) squared envelope spectrum of the band C filtered signal.
Machines 12 00608 g017
Figure 18. Processing results of outer bearing ring fault signal using the improved FK algorithm: (a) FK; (b) squared envelope spectrum of the band D filtered signal.
Figure 18. Processing results of outer bearing ring fault signal using the improved FK algorithm: (a) FK; (b) squared envelope spectrum of the band D filtered signal.
Machines 12 00608 g018
Figure 19. FKs of various types of rolling bearing faults: (a) Normal; (b) Inner; (c) Outer; (d) Ball; (e) Compound.
Figure 19. FKs of various types of rolling bearing faults: (a) Normal; (b) Inner; (c) Outer; (d) Ball; (e) Compound.
Machines 12 00608 g019
Figure 20. Training processes of each model: (a) accuracy curve; (b) loss curve.
Figure 20. Training processes of each model: (a) accuracy curve; (b) loss curve.
Machines 12 00608 g020
Figure 21. Comparison of test performance for each model: (a) mean and standard deviation of test accuracy; (b) mean and standard deviation of GPU processing efficiency.
Figure 21. Comparison of test performance for each model: (a) mean and standard deviation of test accuracy; (b) mean and standard deviation of GPU processing efficiency.
Machines 12 00608 g021
Figure 22. t-SNE visualization results for each model: (a) SqueezeNet; (b) SqueezeNext; (c) MobileNetV1; (d) MobileNetV2; (e) ShuffleNetV1; (f) ShuffleNetV2.
Figure 22. t-SNE visualization results for each model: (a) SqueezeNet; (b) SqueezeNext; (c) MobileNetV1; (d) MobileNetV2; (e) ShuffleNetV1; (f) ShuffleNetV2.
Machines 12 00608 g022
Figure 23. Confusion matrix: (a) SqueezeNet; (b) SqueezeNext; (c) MobileNetV1; (d) MobileNetV2; (e) ShuffleNetV1; (f) ShuffleNetV2.
Figure 23. Confusion matrix: (a) SqueezeNet; (b) SqueezeNext; (c) MobileNetV1; (d) MobileNetV2; (e) ShuffleNetV1; (f) ShuffleNetV2.
Machines 12 00608 g023
Table 1. PCC between each IMF and the simulated signal.
Table 1. PCC between each IMF and the simulated signal.
IMF Index12345
PCC0.350.410.440.460.61
Table 2. ShuffleNetV2 body architecture.
Table 2. ShuffleNetV2 body architecture.
LayerOutput SizeKernel SizeStrideRepeat
Image224 × 224
Conv 1112 × 1123 × 321
MaxPool56 × 563 × 32
Stage228 × 28 21
28 × 28 13
Stage314 × 14 21
14 × 14 17
Stage47 × 7 21
7 × 7 13
Conv57 × 71 × 111
GlobalPool1 × 17 × 7
FC
Table 3. MB ER-10K bearing specifications.
Table 3. MB ER-10K bearing specifications.
Number of Rolling Elements (z)Rolling Element Size (d/in)Pitch Diameter (D/in) Contact   Angle   ( α / ° )
80.31251.3190
Table 4. Intrinsic performance comparison of various models.
Table 4. Intrinsic performance comparison of various models.
ModelParams/106MFLOPsMemR+W (MB)
AlexNet57.04711.49226.38
GoogLeNet5.611510.3292.49
ResNet1811.181823.5395.1
SqueezeNet0.74733.2672.67
SqueezeNext0.60291.70104.39
MobileNetV13.23582.9128.27
MobileNetV22.24318.97157.36
ShuffleNetV10.92145.2167.66
ShuffleNetV21.26148.9142.34
Table 5. Dataset Sample Information.
Table 5. Dataset Sample Information.
Fault Types and LabelsNumber of Training Set SamplesNumber of Validation Set SamplesNumber of Test Set Samples
Normal Bearing (Normal)960120120
Inner Ring Fault (Inner)960120120
Outer Ring Fault (Outer)960120120
Ball Fault (Ball)960120120
Compound Fault (Compound)960120120
Table 6. Training strategy parameters.
Table 6. Training strategy parameters.
Parameter NameOptimizerLoss FunctionBatch SizeEpochs
NameInitial Learning Rate
Parameter ValueAdam0.001categorical_crossentropy20010
Disclaimer/Publisher’s Note: The statements, opinions and data contained in all publications are solely those of the individual author(s) and contributor(s) and not of MDPI and/or the editor(s). MDPI and/or the editor(s) disclaim responsibility for any injury to people or property resulting from any ideas, methods, instructions or products referred to in the content.

Share and Cite

MDPI and ACS Style

Jiang, W.; Qi, Z.; Jiang, A.; Chang, S.; Xia, X. Lightweight Network Bearing Intelligent Fault Diagnosis Based on VMD-FK-ShuffleNetV2. Machines 2024, 12, 608. https://doi.org/10.3390/machines12090608

AMA Style

Jiang W, Qi Z, Jiang A, Chang S, Xia X. Lightweight Network Bearing Intelligent Fault Diagnosis Based on VMD-FK-ShuffleNetV2. Machines. 2024; 12(9):608. https://doi.org/10.3390/machines12090608

Chicago/Turabian Style

Jiang, Wanlu, Zhiqian Qi, Anqi Jiang, Shangteng Chang, and Xudong Xia. 2024. "Lightweight Network Bearing Intelligent Fault Diagnosis Based on VMD-FK-ShuffleNetV2" Machines 12, no. 9: 608. https://doi.org/10.3390/machines12090608

APA Style

Jiang, W., Qi, Z., Jiang, A., Chang, S., & Xia, X. (2024). Lightweight Network Bearing Intelligent Fault Diagnosis Based on VMD-FK-ShuffleNetV2. Machines, 12(9), 608. https://doi.org/10.3390/machines12090608

Note that from the first issue of 2016, this journal uses article numbers instead of page numbers. See further details here.

Article Metrics

Back to TopTop