Synergistic Effect of Physical Faults and Variable Inlet Guide Vane Drift on Gas Turbine Engine
Abstract
1. Introduction
2. Gas Turbine Performance Model Development
2.1. Design Point Performance Modelling
2.2. Off-Design Performance Modelling
3. Physical Fault Simulation
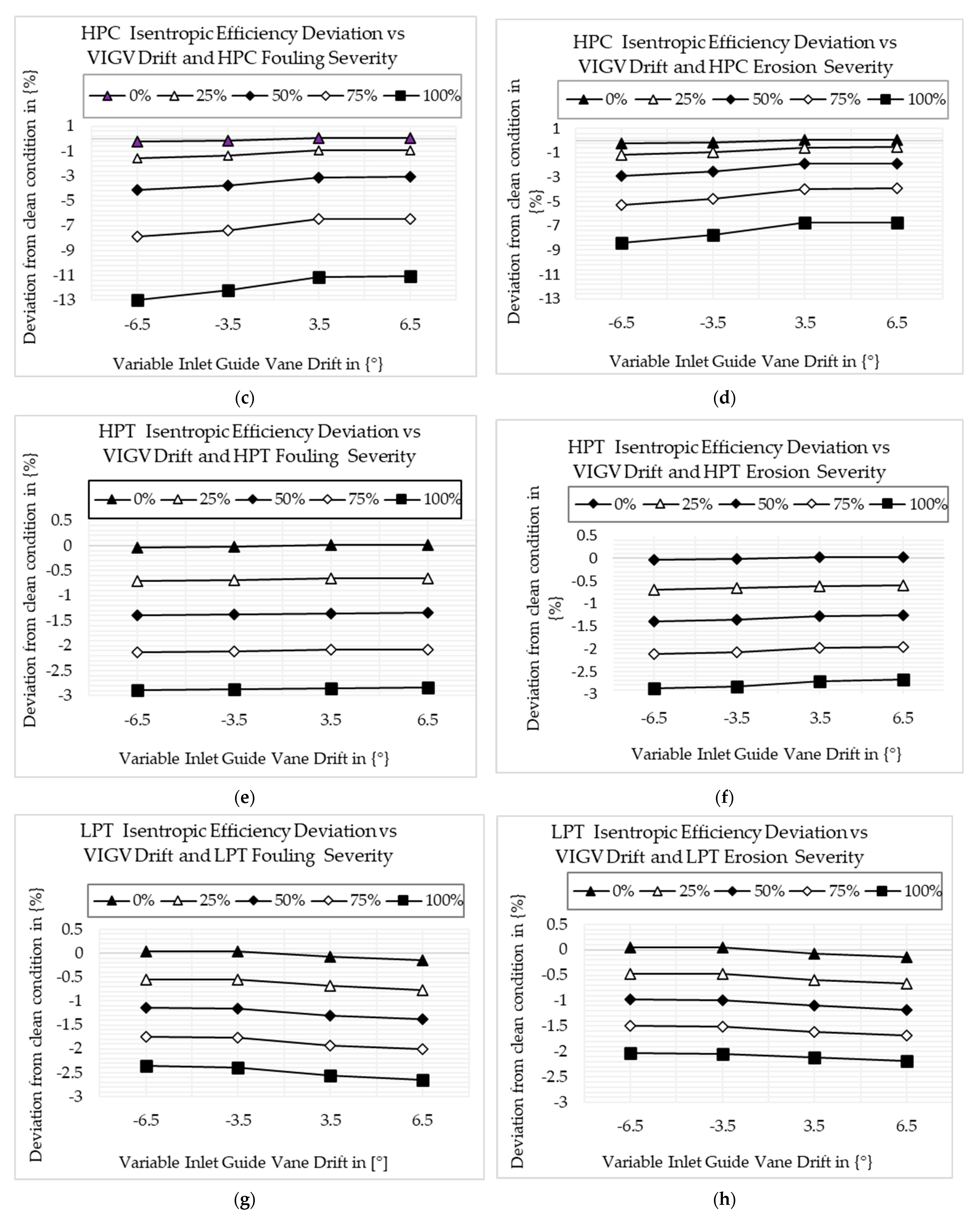
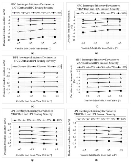
4. Results and Discussion
The Combined Effect of Fouling with VIGV Drift and Erosion with VIGV Drift on the Component Isentropic Efficiency
5. Conclusions
Author Contributions
Funding
Acknowledgments
Conflicts of Interest
Nomenclature
| CC | Combustion chamber |
| DOD | Domestic object damage |
| FF | Fuel flow |
| GT | Gas Turbine |
| NGV | Nozzle guide vane |
| N1 | Low-pressure speed |
| N2 | High-pressure speed |
| P24 | Low-pressure compressor exit Pressure |
| P3 | High-pressure compressor exit pressure |
| P43 | High-pressure turbine exit pressure |
| P47 | Low-pressure turbine exit pressure |
| RVDT | Rotary variable displacement transducer |
| T24 | Low-pressure compressor exit Temperature |
| T3 | High-pressure compressor exit Temperature |
| T5 | Power turbine exit temperature |
| VAN | Variable area nozzle |
| VBV | Variable bleed valve |
| VIGV | Variable inlet guide vane |
| VSV | Variable stator vane |
| Low-pressure compressor corrected flow | |
| High-pressure compressor corrected flow | |
| Corrected high-pressure spool speed, where and is inlet temperature | |
| Corrected low-pressure spool speed | |
| Corrected high-pressure turbine flow, where and Po is inlet pressure | |
| Corrected low-pressure turbine flow | |
| Corrected power turbine flow |
References
- Li, Z.; Zhong, S.-S.; Lin, L. Novel Gas Turbine Fault Diagnosis Method Based on Performance Deviation Model. J. Propuls. Power 2017, 33, 730–739. [Google Scholar] [CrossRef]
- Wang, H.; Li, X.-S.; Ren, X.; Gu, C.-W.; Ji, X.-X. A thermodynamic-cycle performance analysis method and application on a three-shaft gas turbine. Appl. Therm. Eng. 2017, 127, 465–472. [Google Scholar] [CrossRef]
- Fentaye, A.D.; Baheta, A.T.; Gilani, S.I.; Kyprianidis, K.G. A review on gas turbine gas-path diagnostics: State-of-the-art methods, challenges and opportunities. Aerospace 2019, 6, 83. [Google Scholar] [CrossRef]
- Merrington, G.; Kwon, O.-K.; Goodwin, G.; Carlsson, B. Fault Detection and Diagnosis in Gas Turbines. In Proceedings of the ASME 1990 International Gas Turbine and Aeroengine Congress and Exposition, Brussels, Belgium, 11–14 June 1990; Volume 5. [Google Scholar] [CrossRef]
- Saravanamuttoo, H.I.H.; Lakshminarasimha, A.N. A preliminary assessment of compressor fouling. ASME Pap. 1985, 153. [Google Scholar]
- Mishra, R.K. Fouling and Corrosion in an Aero Gas Turbine Compressor. J. Fail. Anal. Prev. 2015, 15, 837–845. [Google Scholar] [CrossRef]
- Diakunchak, I.S. Performance Deterioration in Industrial Gas Turbines; American Society of Mechanical Engineers: New York, NY, USA, 1991. [Google Scholar] [CrossRef]
- Grewal, N.S. Gas Turbine Engine Performance Deterioration Modelling and Analysis Supervisor. Ph.D. Thesis, Cranfield Institute of Technology, Cranfield, UK, 1988. [Google Scholar]
- Cruz-Manzo, S.; Krishnababu, S.; Panov, V.; Bingham, C. Inter-Stage Dynamic Performance of an Axial Compressor of a Twin-Shaft Industrial Gas Turbine. Machines 2020, 8, 83. [Google Scholar] [CrossRef]
- GGmbh. GasTurb 13 Design and Off-Design Performance of Gas Turbines. 85221 Dachau, Max Feldbauer Weg 5, Germany. 2018. Available online: www.gasturb.de (accessed on 2 August 2022).
- Treaty, N.A. Performance prediction and simulation of gas turbine engine operation for aircraft, marine, vehicular, and power generation. Res. Technol. Organ. (RTO) NATO 2007, 323. [Google Scholar]
- Qi, M.; Ren, X.; Li, X.; Xiao, Y.; Li, Y. Performance Investigation of a Large Turning Blade for Marine Gas Turbine Based on Experimental and Numerical Methods. Machines 2023, 11, 346. [Google Scholar] [CrossRef]
- Tahan, M.; Tsoutsanis, E.; Muhammad, M.; Karim, Z.A. Performance-based health monitoring, diagnostics and prognostics for condition-based maintenance of gas turbines: A review. Appl. Energy 2017, 198, 122–144. [Google Scholar] [CrossRef]
- Gu, C.-W.; Wang, H.; Ji, X.-X.; Li, X.-S. Development and application of a thermodynamic-cycle performance analysis method of a three-shaft gas turbine. Energy 2016, 112, 307–321. [Google Scholar] [CrossRef]
- Chen, Y.-Z.; Zhao, X.-D.; Xiang, H.-C.; Tsoutsanis, E. A sequential model-based approach for gas turbine performance diagnostics. Energy 2020, 220, 119657. [Google Scholar] [CrossRef]
- Haglind, F. Variable geometry gas turbines for improving the part-load performance of marine combined cycles—Gas turbine performance. Energy 2010, 35, 562–570. [Google Scholar] [CrossRef]
- Kim, J.H.; Song, T.W.; Kim, T.S.; Ro, S.T. Dynamic Simulation of Full Startup Procedure of Heavy-Duty Gas Turbines. J. Eng. Gas Turbines Power 2002, 124, 510–516. [Google Scholar] [CrossRef]
- Bringhenti, C.; Tomita, J.T.; Júnior, F.D.S.; Barbosa, J.R. Gas Turbine Performance Simulation Using an Optimized Axial Flow Compressor. In Proceedings of the ASME Turbo Expo 2006: Power for Land, Sea, and Air, Barcelona, Spain, 8–11 May 2006. [Google Scholar] [CrossRef]
- Salilew, W.M.; Karim, Z.A.A.; Lemma, T.A.; Fentaye, A.D.; Kyprianidis, K.G. Predicting the Performance Deterioration of a Three-Shaft Industrial Gas Turbine. Entropy 2022, 24, 1052. [Google Scholar] [CrossRef] [PubMed]
- Song, T.W.; Kim, T.S.; Kim, J.H.; Ro, S.T. Performance prediction of axial flow compressors using stage characteristics and simultaneous calculation of interstage parameters. Proc. Inst. Mech. Eng. Part A J. Power Energy 2001, 215, 89–98. [Google Scholar] [CrossRef]
- Salar, A.; Hosseini, S.M.; Zangmolk, B.R.; Sedigh, A.K. Improving Model-Based Gas Turbine Fault Diagnosis using Multi-Operating Point Method. In Proceedings of the 2010 Fourth UKSim European Symposium on Computer Modeling and Simulation, Pisa, Italy, 17–19 November 2010; pp. 240–247. [Google Scholar] [CrossRef]
- Tsalavoutas, A.; Mathioudakis, K.; Stamatis, A.; Smith, M. Identifying Faults in the Variable Geometry System of a Gas Turbine Compressor. J. Turbomach. 2000, 123, 33–39. [Google Scholar] [CrossRef]
- Stamatis, A.; Mathioudakis, K.; Papailiou, K.D. Adaptive Simulation of Gas Turbine Performance; American Society of Mechanical Engineers: New York, NY, USA, 1989; Volume 1. [Google Scholar] [CrossRef]
- Cruz-Manzo, S.; Maleki, S.; Panov, V.; Agbonzikilo, F.; Zhang, Y.; Latimer, A. Performance Analysis of a Twin-Shaft Gas Turbine with Fault in the Variable Stator Guide Vane System of the Axial Compressor. In Proceedings of the 9th International Gas Turbine Conference, Brussels, Belgium, 10–11 October 2018. [Google Scholar]
- Razak, A.M.Y.; Dosanjh, M.S. Application of an Advanced Performance Monitoring System to Detect an Implanted Fault on a Twin Spool Aero Derived Gas Turbine. In Proceedings of the ASME Turbo Expo 2002: Power for Land, Sea, and Air, Amsterdam, The Netherlands, 3–6 June 2002; pp. 29–36. [Google Scholar] [CrossRef]
- Enyia, J.D.; Li, Y.; Thank-God, I.; Igbong, D.I. Industrial gas turbine on-line compressor washing for power generation. Isaiah Int. J. Eng. Res. Technol. 2015, 4, 500–506. [Google Scholar]
- Ajoko, T.J. Performance monitoring of industrial gas turbine. Int. J. Eng. Sci. Invent. 2014, 3, 62–68. [Google Scholar]
- Salilew, W.M.; Karim, Z.A.A.; Lemma, T.A. Investigation of fault detection and isolation accuracy of different Machine learning techniques with different data processing methods for gas turbine. Alex. Eng. J. 2022, 61, 12635–12651. [Google Scholar] [CrossRef]
- Cao, Y.; Lv, X.; Han, G.; Luan, J.; Li, S. Research on Gas-Path Fault-Diagnosis Method of Marine Gas Turbine Based on Exergy Loss and Probabilistic Neural Network. Energies 2019, 12, 4701. [Google Scholar] [CrossRef]
- Razak, A.M.Y. Industrial Gas Turbines: Performance and Operability; Woodhead Publishing Ltd.: Cambridge, UK, 2007. [Google Scholar]
- Hashmi, M.B.; Lemma, T.A.; Karim, Z.A.A. Investigation of the Combined Effect of Variable Inlet Guide Vane Drift, Fouling, and Inlet Air Cooling on Gas Turbine Performance. Entropy 2019, 21, 1186. [Google Scholar] [CrossRef]
- Razak, A. Gas turbine performance modelling, analysis and optimisation. In Modern Gas Turbine Systems; Woodhead Publishing Ltd.: Cambridge, UK, 2013. [Google Scholar] [CrossRef]
- Kurzke, J. Design-Point Calculations of Industrial Gas Turbines; American Society of Mechanical Engineers: New York, NY, USA, 2020; pp. 376–397. [Google Scholar]
- Ao, S.I.; Gelman, L.; Hukins, D.W.L.; Hunter, A.; Korsunsky, A. International Association of Engineers. Design and Off-Design Operation and Performance Analysis of a Gas Turbine. In Proceedings of the World Congress on Engineering, London, UK, 4–6 July 2018; Volume 2. ISSN: 2078-0966 (Online). [Google Scholar]
- Jasmani, M.S.; Li, Y.-G.; Ariffin, Z. Measurement Selections for Multicomponent Gas Path Diagnostics Using Analytical Approach and Measurement Subset Concept. J. Eng. Gas Turbines Power 2011, 133, 111701. [Google Scholar] [CrossRef]
- Gao, J.-H.; Huang, Y.-Y. Modeling and Simulation of an Aero Turbojet Engine with Gasturb. In Proceedings of the 2011 International Conference on Intelligence Science and Information Engineering, Wuhan, China, 20–21 August 2011; pp. 295–298. [Google Scholar] [CrossRef]
- Kurzke, J. About Simplifications in Gas Turbine Performance Calculations. In Proceedings of the Turbo Expo: Power for Land, Sea, and Air, Montreal, Canada, 14–17 May 2007. [Google Scholar] [CrossRef]
- Lakshminarasimha, A.N.; Boyce, M.P.; Meher-Homji, C.B. Modeling and Analysis of Gas Turbine Performance Deterioration. J. Eng. Gas Turbines Power 1994, 116, 46–52. [Google Scholar] [CrossRef]
- Ntantis, E. Capability Expansion of Non-Linear Gas Path Analysis. Ph.D. Thesis, Cranfield University, Cranfield, UK, October 2008. [Google Scholar]
- Yang, Q.; Li, S.; Cao, Y. Full and Part-Load Performance Deterioration Analysis of Industrial Three-Shaft Gas Turbine Based on Genetic Algorithm. In Proceedings of the ASME Turbo Expo: Turbine Technical Conference and Exposition, Seoul, Republic of Korea, 13–17 June 2016. [Google Scholar]
- Mohammadi, E.; Montazeri-Gh, M. Simulation of Full and Part-Load Performance Deterioration of Industrial Two-Shaft Gas Turbine. J. Eng. Gas Turbines Power 2014, 136, 092602. [Google Scholar] [CrossRef]
- Salilew, W.M.; Karim, Z.A.A.; Lemma, T.A.; Fentaye, A.D.; Kyprianidis, K.G. The Effect of Physical Faults on a Three-Shaft Gas Turbine Performance at Full- and Part-Load Operation. Sensors 2022, 22, 7150. [Google Scholar] [CrossRef] [PubMed]
- Salilew, W.M.; Karim, Z.A.A.; Lemma, T.A.; Fentaye, A.D.; Kyprianidis, K.G. Three Shaft Industrial Gas Turbine Transient Performance Analysis. Sensors 2023, 23, 1767. [Google Scholar] [CrossRef] [PubMed]














| Physical Fault | Flow Capacity Change (A) | Isentropic Efficiency Change (B) | Ratio A:B | Range |
|---|---|---|---|---|
| Compressor fouling | ΓC↓ | ηC↓ | 3:1 | (0, −7.5%) (0, −2.5%) |
| Compressor erosion | ΓC↓ | ηC↓ | 2:1 | (0, −4%) (0, −2%) |
| Turbine fouling | ΓT↓ | ηT↓ | 2:1 | (0, −4%) (0, −2%) |
| Turbine erosion | ΓT↑ | ηT↓ | 2:1 | (0, +4%) (0, −2%) |
Disclaimer/Publisher’s Note: The statements, opinions and data contained in all publications are solely those of the individual author(s) and contributor(s) and not of MDPI and/or the editor(s). MDPI and/or the editor(s) disclaim responsibility for any injury to people or property resulting from any ideas, methods, instructions or products referred to in the content. |
© 2023 by the authors. Licensee MDPI, Basel, Switzerland. This article is an open access article distributed under the terms and conditions of the Creative Commons Attribution (CC BY) license (https://creativecommons.org/licenses/by/4.0/).
Share and Cite
Salilew, W.M.; Gilani, S.I.; Lemma, T.A.; Fentaye, A.D.; Kyprianidis, K.G. Synergistic Effect of Physical Faults and Variable Inlet Guide Vane Drift on Gas Turbine Engine. Machines 2023, 11, 789. https://doi.org/10.3390/machines11080789
Salilew WM, Gilani SI, Lemma TA, Fentaye AD, Kyprianidis KG. Synergistic Effect of Physical Faults and Variable Inlet Guide Vane Drift on Gas Turbine Engine. Machines. 2023; 11(8):789. https://doi.org/10.3390/machines11080789
Chicago/Turabian StyleSalilew, Waleligne Molla, Syed Ihtsham Gilani, Tamiru Alemu Lemma, Amare Desalegn Fentaye, and Konstantinos G. Kyprianidis. 2023. "Synergistic Effect of Physical Faults and Variable Inlet Guide Vane Drift on Gas Turbine Engine" Machines 11, no. 8: 789. https://doi.org/10.3390/machines11080789
APA StyleSalilew, W. M., Gilani, S. I., Lemma, T. A., Fentaye, A. D., & Kyprianidis, K. G. (2023). Synergistic Effect of Physical Faults and Variable Inlet Guide Vane Drift on Gas Turbine Engine. Machines, 11(8), 789. https://doi.org/10.3390/machines11080789

