Analysis of Synchronous Generator Self-Excitation under Capacitive Load Condition in Variable-Frequency Aviation Power System
Abstract
:Featured Application
Abstract
1. Introduction
2. Capacitive Loads and Self-Excitation of Aviation Synchronous Generators
2.1. Simplified Model of Generator–Load System
2.2. Criterion of Synchronous Generator Self-Excitation
2.3. The Loading Condition of Self-Excitation
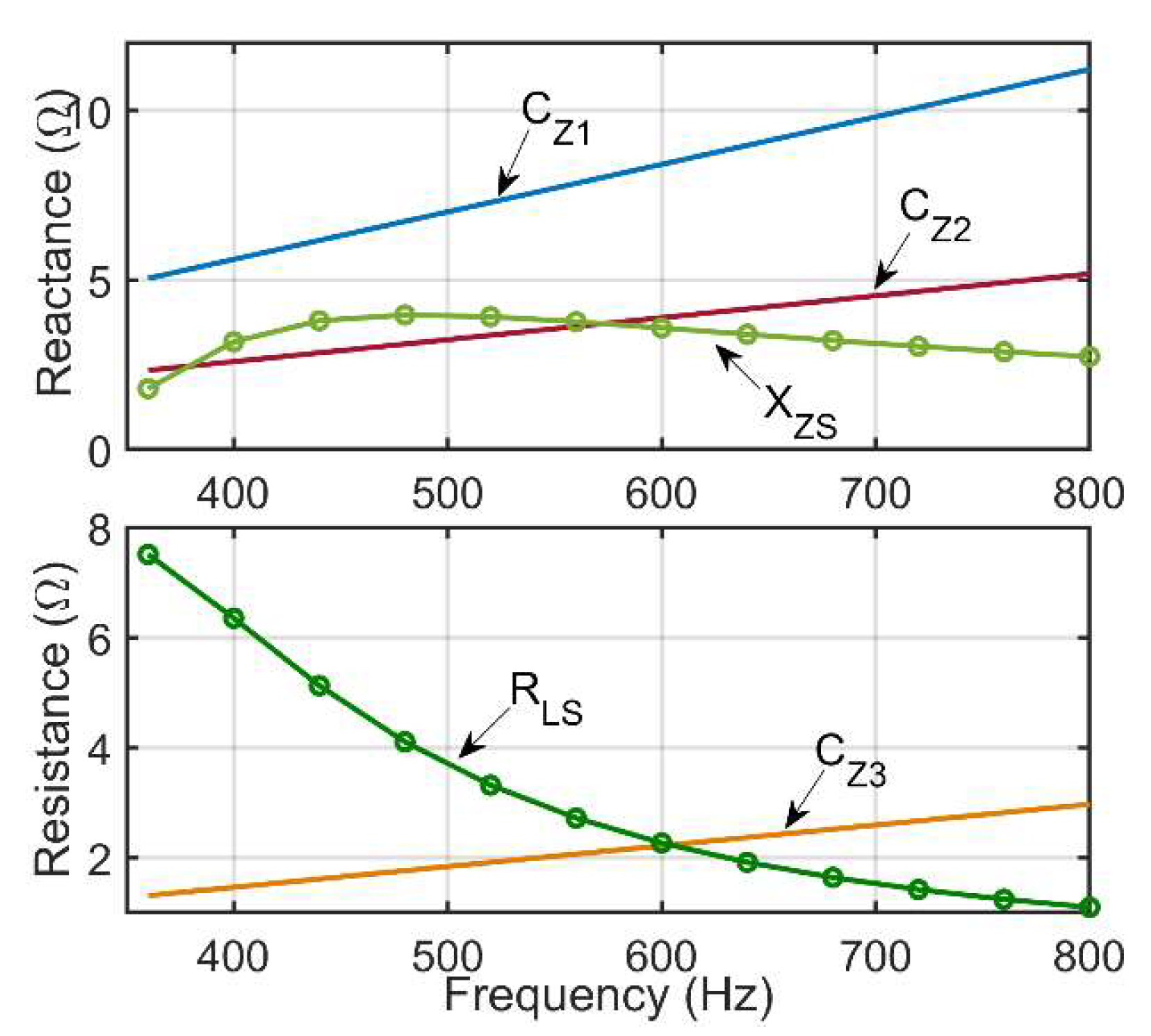
3. The Variable Frequency Characteristics of the Load Impedance
3.1. Impact of Variable Frequency on the Load Impedance
3.2. Admittance Model of the Series Load
3.3. Frequency Characteristics of the Series Load Impedance
3.3.1. Frequency characteristics of reactance XZS
3.3.2. Frequency Characteristics of Resistance RLS
3.4. The Series Impedance Expressed by the Load Capacity
4. Application of the Self-Excitation Criterion to a VF Generator
4.1. The Threshold of Synchronous Generator Self-Excitation
4.2. Individual Criterion for the Self-Excitation of the Synchronous Generator
4.2.1. Application of Criterion Z1
4.2.2. Application of Criterion Z2
4.2.3. Application of Criterion Z3
4.3. “Complementary” Property of the Self-Excitation Criteria
5. Impact of the Load Capacity on Generator Self-Excitation
5.1. Impact of Active Power Variation on the Series Load Impedance
5.1.1. Impact of PZ variation on XZS
5.1.2. Impact of PZ variation on RLS
5.2. Impact of Reactive Power Variation on the Series Load Impedance
5.2.1. Impact of QZ variation on XZS
5.2.2. Impact of QZ Variation on RLS
5.3. Impact of QZ Variation on the Complementary Property of the Z2 and Z3 Criteria
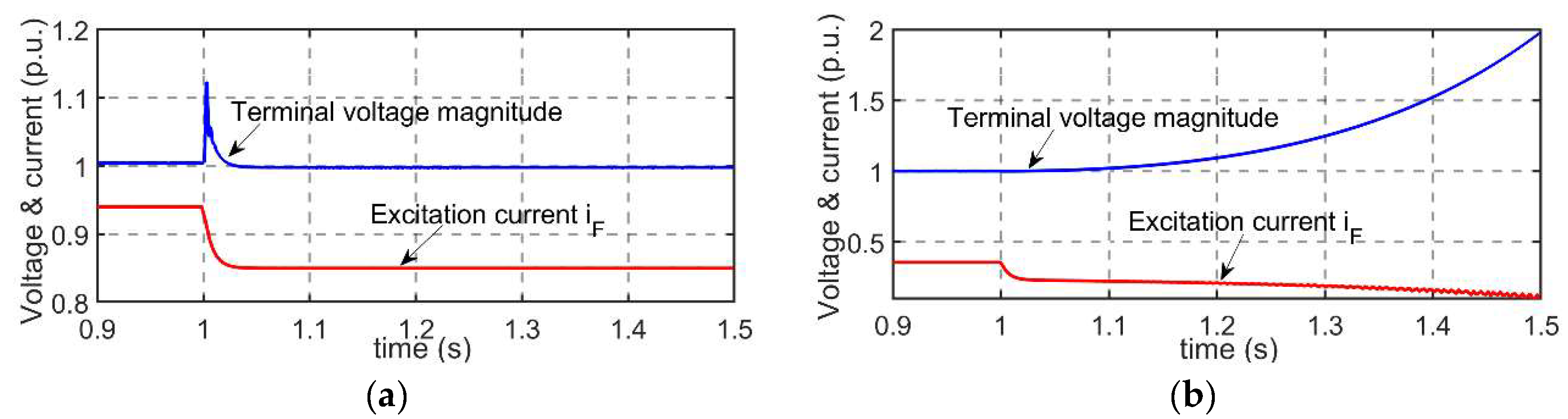
6. Simulation Verification
6.1. Self-Excitation Characteristics as the Active Power Changes
6.2. Self-Excitation Characteristics as the Reactive Power Changes
7. Conclusions
Author Contributions
Funding
Conflicts of Interest
References
- Sarlioglu, B.; Morris, C.T. More Electric Aircraft: Review, Challenges, and Opportunities for Commercial Transport Aircraft. IEEE Trans. Transp. Electrif. 2015, 1, 54–64. [Google Scholar] [CrossRef]
- Dorn-Gomba, L.; Ramoul, J.; Reimers, J.; Emadi, A. Power Electronic Converters in Electric Aircraft: Current Status, Challenges, and Emerging Technologies. IEEE Trans. Transp. Electrif. 2020, 6, 1648–1664. [Google Scholar] [CrossRef]
- Kundur, P.; Paserba, J.; Ajjarapu, V.; Andersson, G.; Bose, A.; Canizares, C.; Hatziargyriou, N.; Hill, D.; Stankovic, A.; Taylor, C.; et al. Definition and Classification of Power System Stability IEEE/CIGRE Joint Task Force on Stability Terms and Definitions. IEEE Trans. Power Syst. 2004, 19, 1387–1401. [Google Scholar] [CrossRef]
- Hu, Y.; McLaren, P.; Gole, A.; Fedirchuk, D.; Castro, A. Self-excitation operating constraint for generators connected to DC lines. IEEE Trans. Power Syst. 1999, 14, 1003–1009. [Google Scholar] [CrossRef]
- Youfang, X. The Practical Criterion of Generator Self Excitation and its Field Example Analysis. In Proceedings of the 1993 2nd International Conference on Advances in Power System Control, Operation and Management, APSCOM-93, Hong Kong, China, 7–10 December 1993; pp. 321–323. [Google Scholar]
- Balasubramanian, R.; Ram, B.; Tripathy, S. Temporary overvoltages due to load rejection on a series-compensated transmission line. IEE Proc. C Gener. Transm. Distrib. 1983, 130, 8–15. [Google Scholar] [CrossRef]
- Nikkila, A.-J.; Kuusela, A.; Laasonen, M.; Haarla, L.; Pahkin, A. Self-Excitation of a Synchronous Generator During Power System Restoration. IEEE Trans. Power Syst. 2019, 34, 3902–3911. [Google Scholar] [CrossRef]
- Liu, J.; Chen, W.; Jiao, X.; Zheng, T. Research on Self-Excitation Overvoltage of Offshore Interconnected Power System. In Proceedings of the 2021 IEEE 4th Student Conference on Electric Machines and Systems (SCEMS), Huzhou, China, 1–3 December 2021; pp. 1–5. [Google Scholar]
- Andrade, L.; Tenning, C. Design of Boeing 777 electric system. IEEE Aerosp. Electron. Syst. Mag. 1992, 7, 4–11. [Google Scholar] [CrossRef]
- Eid, A.; El-Kishky, H.; Abdel-Salam, M.; El-Mohandes, T. Constant Frequency Aircraft Electric Power Systems with Harmonic Reduction. In Proceedings of the 2008 34th Annual Conference of IEEE Industrial Electronics, Orlando, FL, USA, 10–13 November 2008; pp. 623–628. [Google Scholar]
- Chang, J.; Wang, A. New VF-power system architecture and evaluation for future aircraft. IEEE Trans. Aerosp. Electron. Syst. 2006, 42, 527–539. [Google Scholar] [CrossRef]
- Wheeler, P. Technology for the More and All Electric Aircraft of the Future. In Proceedings of the 2016 IEEE International Conference on Automatica (ICA-ACCA), Curico, Chile, 19–21 October 2016; pp. 1–5. [Google Scholar]
- Loganathan, M.; Gandhi, M.S.; Gandhi, O. Functional cause analysis of complex manufacturing systems using structure. Proc. Inst. Mech. Eng. Part B J. Eng. Manuf. 2015, 229, 533–545. [Google Scholar] [CrossRef]
- Loganathan, M.; Gandhi, O. Reliability enhancement of manufacturing systems through functions. Proc. Inst. Mech. Eng. Part B J. Eng. Manuf. 2017, 231, 1850–1868. [Google Scholar] [CrossRef]
- Mengyu, H.; Wang, Z.; Zhou, Y. Self-excitation analysis of aeronautical generator with capacitive load. Control. Theory Appl. 2018, 35, 1133–1141. (In Chinese) [Google Scholar]
- He, M.; Zhou, Y. The Analysis of the Power Factor of the Capacitive Pulse Load in the Aviation Variable Frequency Power Supply System. In Proceedings of the 2016 4th International Conference on Advanced Materials and Information Technology Processing (AMITP 2016), Guilin, China, 24–25 September 2016; pp. 40–44. [Google Scholar]
- He, M.; Zhou, Y. Study on Load Characteristics of Asynchronous Motor with Capacitor in Aviation Variable Frequency Power Supply System. In Proceedings of the 2017 2nd IEEE International Conference on Recent Trends in Electronics, Information & Communication Technology (RTEICT), Bangalore, India, 19–20 May 2017; pp. 1708–1711. [Google Scholar]
- Zhang, Z.; Li, J.; Liu, Y.; Xu, Y.; Yan, Y. Overview and development of variable frequency AC generators for more electric aircraft generation system. Chin. J. Electr. Eng. 2017, 3, 32–40. [Google Scholar]
- Maroufian, S.S.; Pillay, P. Self-Excitation Criteria of the Synchronous Reluctance Generator in Stand-Alone Mode of Operation. IEEE Trans. Ind. Appl. 2018, 54, 1245–1253. [Google Scholar] [CrossRef]
- Rebahi, F.; Bentounsi, A.; Khelifa, H.; Boulkhrachef, O.; Meherhera, D. Comparative Study of a Self-Excited Induction and Synchronous Reluctance Generators Capabilities. In Proceedings of the 2019 International Conference on Advanced Electrical Engineering (ICAEE), Algiers, Algeria, 19–21 November 2019; pp. 1–5. [Google Scholar]
- Gao, J.; Zhang, L.; Wang, X. AC Machine Systems: Mathematical Model and Parameters, Analysis, and System Performance; Springer Science & Business Media: Berlin, Germany, 2009. [Google Scholar]













| Nominal Voltage (V) | Nominal Power (kVA) | Ld (mH) | Lq (mH) | ra (Ω) |
|---|---|---|---|---|
| 115 | 20 | 2.23 | 1.03 | 0.05 |
| Cases | Resistive Load Power PZ | Inductive Load Power QL | Capacitive Load Power QC | Total Reactive Power QZ |
|---|---|---|---|---|
| #1 | 1 kW | 1.5 kVA | 2 kVA | 0.5 kVA |
| #2 | 5 kW | 5 kVA | 4.5 kVA | −0.5 kVA |
| #3 | 3 kW | 5 kVA | 4 kVA | −1 kVA |
Disclaimer/Publisher’s Note: The statements, opinions and data contained in all publications are solely those of the individual author(s) and contributor(s) and not of MDPI and/or the editor(s). MDPI and/or the editor(s) disclaim responsibility for any injury to people or property resulting from any ideas, methods, instructions or products referred to in the content. |
© 2022 by the authors. Licensee MDPI, Basel, Switzerland. This article is an open access article distributed under the terms and conditions of the Creative Commons Attribution (CC BY) license (https://creativecommons.org/licenses/by/4.0/).
Share and Cite
Liu, H.; Sun, C.; He, M.; Wang, N.; Zhou, Y. Analysis of Synchronous Generator Self-Excitation under Capacitive Load Condition in Variable-Frequency Aviation Power System. Machines 2023, 11, 15. https://doi.org/10.3390/machines11010015
Liu H, Sun C, He M, Wang N, Zhou Y. Analysis of Synchronous Generator Self-Excitation under Capacitive Load Condition in Variable-Frequency Aviation Power System. Machines. 2023; 11(1):15. https://doi.org/10.3390/machines11010015
Chicago/Turabian StyleLiu, Haigang, Chu Sun, Mengyu He, Na Wang, and Yuanjun Zhou. 2023. "Analysis of Synchronous Generator Self-Excitation under Capacitive Load Condition in Variable-Frequency Aviation Power System" Machines 11, no. 1: 15. https://doi.org/10.3390/machines11010015
APA StyleLiu, H., Sun, C., He, M., Wang, N., & Zhou, Y. (2023). Analysis of Synchronous Generator Self-Excitation under Capacitive Load Condition in Variable-Frequency Aviation Power System. Machines, 11(1), 15. https://doi.org/10.3390/machines11010015
