Abstract
The flow characteristics of the draft tube of a Francis turbine have a significant influence on turbine stability. Numerical simulations were performed for a Francis turbine under three different output conditions of 20%, 100%, and 120% at the rated and maximum heads. Laser Doppler velocimetry (LDV) tests were conducted to test the flow characteristics of the draft tube of the Francis turbine model. The flow characteristics in the draft tube, the mechanism of the flow characteristics change, and the effect of the opening on the vortex rope were analyzed. The results showed that the large and invisible vortex in the conical cross-section at the inlet of the draft tube gradually changed to a tangible vortex rope as the guide vane opening (GVO) increased. The pressure and velocity are significantly influenced by the GVO, and the flow characteristics in the draft tube improve as the GVO increases. Simultaneously, the influence range of the vortex rope increased as the head increased.
1. Introduction
Hydraulic turbines operate under off-design conditions to meet the power demand at different periods, and the flow states in the turbine are complicated. Different swirling speeds of the fluid flowing into the draft tube generate vortex ropes, affecting the stability and safety of the turbine and greatly reducing its operating range [1,2].
The generation of vortex ropes in the draft tube and their effect on the stable operation of a turbine were studied in detail in previous studies. Goyal and Gandhi [3] established a numerical model with validation and flow field prediction functions, which can improve the efficiency under off-design conditions. Zhong et al. [4] reported that uneven runner outlet circulation would lead to the formation of vortices in the conical section of the draft tube, which would develop into different vortex ropes. Skripkin et al. [5] simulated the flow distribution of a runner under different working conditions through model tests and found that the axial recirculation zone was larger, and severe velocity fluctuations were generated when the ratio of N/N0 or Q/Q0 was greater than 1. Goyal et al. [6] concluded that the vortex ropes in the draft tube can cause instability in the unit, which is mainly reflected by the cavitation caused by the high velocity vortices in forming the cavity vortex ropes and amplifying the pressure pulsation degree. Favrel et al. [7,8] used a particle image velocimeter system to study the flow field at the outlet of the runner of a Francis turbine and found that an increase in vortex trajectory, precession frequency, and vortex circulation aggravates the instability of the draft tube, while cavitation generation has a significant impact on the vortex motion. The vibration of vortex ropes in the draft tube is transmitted upstream, and the low-frequency component of the draft tube vortex can be determined from the pressure fluctuation monitored at the runner and upstream [9,10,11].
The continuous development of computational fluid dynamics (CFD) software has provided detailed information on the flow characteristics inside the draft tube, which can be used to more accurately interpret the mechanism of the vortex rope in the draft tube. Timo et al. [12] used different numerical simulation methods to show the structural details of the vortex rope in a draft tube and found that the vortex rope at the end of the elbow was attenuated to turbulent flow. David et al. [13] found that the vortex rope became unstable, developed unsteadily, and the output power swung significantly when the frequency of the vortex rope in the draft tube coincided with the natural frequency of the hydraulic circuit. Zhang et al. [14] studied the flow field in a turbine through numerical simulations and tests and analyzed the cavitation problem between the runner and draft tube. Yu An et al. [15] found that the vortex ropes in a draft tube are more unstable under cavitation conditions by calculating the vortex ropes under cavitation and non-cavitation conditions. Arispe et al. [16] optimized the shape of the draft tube using CFD and successfully improved the efficiency of the turbine. Khozaei et al. [17] simulated the generation process of a twin vortex rope in the draft tube elbow of a Francis turbine during deep part-load operation and found that the periodic rotation of the vortex at the elbow caused low-frequency pressure fluctuations in the draft tube. Ruchi et al. [18] studied the working conditions under three guide vane openings, including off-load, rated load, and overload, and found that when the GVO was the largest, the draft tube efficiency was the highest and the energy loss was lowest. Tao et al. [19] simulated a turbine under the condition of high speed and small GVO and found that the vortex rope generated by the conical section was quite different from the tangible vortex rope, and the internal flow had complicated forms. Müller et al. [20] concluded that the Francis turbine may undergo self-oscillation under full-load conditions, which makes the entire system unstable, including the repeated formation and complete collapse of axisymmetric cavitation vortex ropes in the draft tube, and that the axial and tangential velocity components in the conical section of the draft tube undergo significant periodic changes.
Moreover, various researchers explored methods for inhibiting vortex ropes in draft tubes. Yu et al. [21] used an air admission to depress the vortical flow and alleviate the pressure fluctuation in the draft tube. Xing et al. [22] employed a conical diffuser to destroy the development of the vortex zone, which effectively inhibited the swirling flow in the draft tube and improved the instability of the Francis turbine. Anup et al. [23] applied J-grooves to enhance the flow in a draft tube by minimizing the swirling flow and improving the axial flow along the core flow region. Muhirwa et al. [24] reviewed the strengths and weaknesses of remedial attempts applied in the draft tube to control the swirling flow and found that the effective control of the swirling flow should address the main cause of self-induced instabilities that are limited in space (i.e., the momentum deficit near the axis), rather than the effects of a well-developed vortex rope that is scattered in the vast domain of the draft tube.
The laser Doppler velocimetry (LDV) technique is currently used to investigate the internal fluid velocity. Mulu et al. [25] used this method to study the flow field in the draft tube of a Kaplan turbine and compared it with numerical simulations. Vuillemard et al. [26] tested the runner exit flow field of a tubular bulb turbine using a two-dimensional LDV. Sundstrom et al. [27] performed LDV tests on three test sections of the tapered pipe section of the draft tube of the Francis turbine (Francis-99) and obtained the time-averaged velocity distribution and amplitude mean velocity of the test sections.
Considering the importance of the draft tube vortex rope in the operation of the Francis turbine, this study simulated and tested the operating conditions of a Francis turbine in a hydropower station at the rated and maximum heads under three outputs (i.e., 20%, 100%, and 120%), analyzed the flow characteristics in the draft tube, and explored the influence of the GVO and head on the vortex characteristics in the draft tube. The velocity pulsation characteristics within the draft tube were experimentally investigated to explore the effect of vortex ropes on velocity pulsation and pressure pulsation.
2. Computational Fluid Dynamics Method
2.1. Geometry and Grid
Table 1 lists the typical parameters of the model turbine. The diagram of the model turbine and the grids of the model turbine are shown in Figure 1. The Francis turbine model was generated using Unigraphics NX software based on the test model drawings. The meshes were generated using ANSYS ICEMCFD and ANSYS TURBOGRID software. Because the complexity of the flow channels makes them difficult to dissect, tetrahedral grids were used for the stay vane and spiral casing. The guide vane, runner channel, and draft tube were meshed with a hexahedral grid, with mean y+ values of the runner, guide vane, and draft tube area of below 15 to meet the requirements of the turbulence model calculation. There are 5.90 million grids in the computational domain of the entire flow passage, and the grid number of each component is listed in Table 2. A comparison of the calculated efficiencies of the rated conditions for the four different sets of grid numbers is shown in Table 3. As shown, after the number of grids reaches 5.9 million, the efficiency fluctuates to below 0.05% and is considered to meet the computational accuracy requirements. The results of the numerical simulations for different GVOs were also compared with the experimental test results, as shown in Figure 2.
Table 1.
Basic geometric parameters of Francis turbine.
Figure 1.
Geometry model of Francis turbine. (a) Turbine model, (b) draft tube grids, (c) guide vane grids, (d) stay vane grids, (e) runner grids, and (f) spiral casing grids.
Table 2.
Number of grids and nodes.
Table 3.
Grid irrelevance verification.
Figure 2.
Time step independence verification.
2.2. Boundary Conditions and Operating Points
The rated output was set to 100%. Three operating conditions (i.e., 20%, 100%, and 120%) of the output at the rated and maximum heads were simulated. These operating conditions covered the common operating conditions of a turbine, i.e., an extremely small-load operating point, a high-efficiency operating point, and a large-load operating point.
CFX software was used to numerically calculate the entire flow field of the Francis turbine. The calculation result of the flow field under pure water conditions was used as the initial calculation condition. Moreover, the SST k-ω [28,29,30,31] turbulence model was used to calculate the internal flow conditions at different GVOs. Pure water and steam (25 °C) were set as the gas-liquid two-phase medium [32,33], respectively, and the continuous phase was set as the phase state. The total pressure inlet was used as the inlet condition, and the inlet pressure was converted to the head. For the inlet condition, the volume fraction of pure water and steam were set to 1 and 0, respectively. In addition, the outlet was set as the static pressure outlet. The SIMPLE algorithm with strong convergence and fast convergence speed was adopted for the coupling between velocity and pressure in the whole calculation process. The non-slip wall was adopted for the solid wall surface, the wall function was considered as “automatic”, and the residual standard was set at 10−5. The operating point parameters are shown in Table 4. The unsteady calculation time step was set to the time it takes for the runner to rotate by 2° (0.0006667 s). The verification of the time step independence is shown in Figure 2.
Table 4.
Operating points in CFD simulation.
The dimensionless pressure coefficient, Cp, are reference values for quantifying the intensity of pressure pulsations in turbines, as shown in Equation (1).
where Cp is the dimensionless pressure pulsation coefficient (%), Pi is the corresponding pressure at point i (Pa), is the time-averaged pressure, H is the head (m), ρ is the density of water, and g is the gravitational acceleration.
Figure 2 shows the time domain diagram of the pressure pulsation at different time steps for the monitoring points in the vaneless space. As shown, the pressure pulsation waveforms obtained at time steps corresponding to 1° and 2° are basically the same, while the waveforms obtained at time steps corresponding to 5° have more missing shapes. Considering the calculation accuracy and calculation time, 2° was chosen as the calculation time step, that is, the number of calculation steps in one rotation cycle is 180.
2.3. Numerical Simulation Results
Both the flow rate and flow circulation of the fluid were adjusted to varying degrees after flowing through the stay and guide vanes. After the energy conversion occurred in the runner, it flowed into the draft tube. The flow characteristics in the diversion parts, stay vanes, guide vanes, and runners affect the draft tube. The flow in the draft tube is relatively complicated compared to flows in other components of the turbine, which is affected by the flow characteristics at the runner outlet and the shape of the draft tube. Abraham et al. [34] verified that a slight adjustment of the inlet angle facilitated the formation of the optimally sized vortex rope in the center of the draft tube using CFD analysis.
The flow velocities and directions on the cross-sections at different blade heights were observed so as to facilitate an analysis of the flow characteristics when the fluid flows into the draft tube. SPAN = (0–1) represents the distance from the runner band to the runner crown. The velocity vector distribution on the internal axial plane of the turbine was observed at SPAN = 0.9.
Figure 3 presents the velocity vectors of the flow components at the rated head. Here, the flow characteristics are considered good when fluid flows through the stay vanes under different working conditions, and the velocity is uniform without a sudden increase. At a small load operating point, the variation in the velocity vector is uneven, the kinetic energy that is gained is small, and the direction of the relative velocity does not match the flow direction in the runner, leading to serious impact loss at the runner inlet. Meanwhile, the relative velocity at the runner outlet is small, and the cross-flow phenomenon occurs in the flow passage. Therefore, the fluid cannot flow out of the runner smoothly. At the high-efficiency operating point, the flow velocity at the guide vanes increased uniformly along the flow passage, the streamline was smooth without impact, and there was no evident flow separation or vortex in the runner passage. On the other hand, the overall flow situation at the large-load operating point is similar to that at the high-efficiency operating point, and the runner outflow velocity is the highest.
Figure 3.
Velocity vector at the rated head. (a) OP1, (b) OP2, and (c) OP3.
The velocity vectors in the flow components at the maximum head are shown in Figure 4. The head increased and the velocity around the airfoil increased in the runner region due to the change in inflow conditions. The turbulence characteristics of the three GVOs were similar to those of the rated head. Based on the velocity triangle at the runner inlet, the circumferential velocity is a fixed value, the absolute velocity increases at the inlet, the absolute flow angle is related to the GVO, and the relative velocity angle increases, reducing the impact loss at the blade inlet.
Figure 4.
Velocity vector at the maximum head. (a) OP4, (b) OP5, and (c) OP6.
The cavitation volume fractions on the flow section at the blade heights of SPAN = 0.1, SPAN = 0.5, and SPAN = 0.9 at the rated head and maximum head, respectively, are provided, as shown in Figure 5, to demonstrate the cavitation situation in the runner intuitively and clearly. At the small load operating point, serious cavitation occurs in the blade outlet near the crown (SPAN = 0.1). In addition, cavitation bubbles almost occupy the entire flow passage in this area, whereas there is almost no cavitation bubble in the runner passage in the middle area and near the band (SPAN = 0.5−0.9). On the other hand, there were a few cavitation bubbles at the high-efficiency operating point, and cavitation only occurred near the band (SPAN = 0.9) at the blade outlet edge. Meanwhile, the cavitation area at the blade outlet at the large-load operating point is similar to that under a 100% output, but the cavitation degree is relatively high. In general, the effect of cavitation generated at a small-load operating point is completely different from that at the high-efficiency and the large-load operating points, which has a significant influence on the state of the fluid flowing into the draft tube. The effect of cavitation at the maximum head is slightly more significant than that at the rated head.
Figure 5.
Cavitation volume fractions at rated head and maximum head. (a) OP1, (b) OP2, (c) OP3, (d) OP4, (e) OP5, and (f) OP6.
In summary, the GVO affected the velocity at the runner outlet, resulting in a change in the direction and magnitude of the velocity at the inlet of the draft tube. At the small-load operating point, the flow state in the passage was found to be mainly affected by flow impact loss, exit cavitation conglomeration, and other factors. Our analysis of the velocity circulation at the runner outlet shows that the entrainment velocity of the inflow is large, and the relative velocity is small, resulting in a large angle of inclination between the direction of the outflow velocity and the inlet. In the high-efficiency zone and under the high GVO conditions, a large outflow results in a large relative velocity. The interference between the vortex and cavitation bubbles was not apparent, the flow in the runner was smooth, and the streamline at the inlet of the draft tube was evenly distributed.
The streamline in the draft tube was random due to the influence of various factors. Therefore, it was not ideal to observe the streamlines of the entire draft tube. A total of 12 cross-sections were selected on the conical section, elbow section, and diverging section as monitoring sections to observe the flow characteristics, velocity distribution, and other features of the fluid at different sections and to obtain the influence pattern of the GVOs.
The velocity vectors in the monitoring sections at various GVOs at the rated and maximum heads are shown in Figure 6. Based on Figure 6a,b, at the small-load operating point, the outflow velocity on the blade near the crown was found to be small due to severe conglomeration by cavitation bubbles. A large area of dead fluid was formed in the central area of the draft tube, as shown in the enlarged conical section, and the backflow phenomenon appeared in this section. After leaving the runner, the fluid near the band still exhibited a circumferential velocity similar to the direction of the velocity at the inlet of the draft tube. Under the action of inertia and gravity, the fluid flows diagonally downward along the wall, and the inclination angle gradually decreases with the downward movement of the fluid. By comparing the two conditions at small GVOs, we found that the inflow under the maximum head increases compared to that under the rated head, the area of dead fluid contracts slightly, and the inclination angle at the inlet improved. However, the overall flow characteristics are still chaotic and disordered.
Figure 6.
Velocity vectors at various sections of the draft tube. (a) OP1, (b) OP2, (c) OP3, (d) OP4, (e) OP5, and (f) OP6.
Based on Figure 6c,d, at the high-efficiency operating point, the low-energy fluid flowing out of the runner is concentrated at the center of the conical section, and the central low-velocity region in the center expands gradually with the conical section. The velocity distribution was no longer axially symmetric when flowing through the diverging section, and the flow characteristics became complex. The distribution of the velocity vectors on various sections of the diverging section was uneven, and a small area of backflow occurred in the outlet section.
In Figure 6e,f, it can be seen that the outflow velocity is dominated by the relative velocity due to the increase in the flow rate. The inlet velocity in the draft tube was uniform, and its direction was perpendicular to the inlet surface. The low-velocity region is concentrated along the axis near the sidewall. There are 13 regular velocity changing cycles “increasing first and decreasing later” on the circumference, which is consistent with the number of runner blades. This indicates that the circumference is affected by the rotor-stator interaction, leading to an uneven velocity circulation at the inlet of the draft tube. This phenomenon disappears when the fluid flows downward, and the velocity on the sidewall is relatively low at the location where the curvature of the elbow section is large. There is an apparent low-velocity region in the diverging section, which may be resultant of the action of the vortex rope in the draft tube.
The flow characteristics at the center of the section of y = 0 of the draft tube were observed (see Figure 7) to further analyze the flow inside the draft tube. It was found that the flow characteristics at the inlet of the conical section have the characteristics of low central velocity, high velocity near the wall, and vortices between the two flow characteristics, which are marked in the boxes in Figure 7a,b, based on the observations of the small-load operating point condition. This shows that flow separation occurred in the conical section under this working condition, and the hydraulic loss was significant. As can be seen when observing the high-efficiency operating point condition, there is no apparent flow separation in the draft tube. However, there are vortices at the transition from the conical section to the elbow section, and the size is asymmetrical, as shown by the boxes in Figure 7c. Under this working condition, vortices with a certain eccentricity were generated. Vortices still exist under the maximum head condition, are concentrated on both sides of the axial line of the draft tube, and their distribution form is similar to Karman vortices, as indicated by the boxes in Figure 7d. A spiral vortex rope can exist under these conditions. Based on the observations of the large-load operating point condition, the absolute velocity of the fluid was dominant, and the effect of the rotating motion was small. The vortices mainly appeared in the elbow section, which may have been caused by the sudden expansion of the flow passage.

Figure 7.
Streamlines at various sections of the draft tube. (a) OP1, (b) OP2, (c) OP3, (d) OP4, (e) OP5, and (f) OP6.
In general, the overall flow condition at the maximum head was better than that at the rated head. As the head increased, the inlet flow increased, the influence of peripheral velocity decreased, and the flow became more stable. Among them, the best performance condition is the condition in the high-load area at the maximum head, and there is almost no vortex.
The physical quantity vorticity, which describes the rotation of the velocity vector, was used to express the position and shape of the vorticity, as shown in Figure 8. Based on the figure, at the small-load operating point, vortices fill the entire draft tube. Moreover, at the high-efficiency operating point, there are eccentric rotating vortex ropes. In addition, at the large load operating point, a columnar vortex rope appears, and the influence of the vortex rope decreases as the head increases. The vorticity in the conical section of the vortex rope was high based on the observations of the shape of the vortex rope. This type of high-vorticity area (i.e., the bright yellow area in the figure) can be approximated as the vortex trajectory. The vortex ropes almost remained in the central area in the conical section, shifted to the wall with a small curvature near the elbow section, and became irregular towards the diverging section, causing interference to the outflow of the draft tube.

Figure 8.
Vorticity and vortex ropes at various sections of the draft tube. (a) Local diagram, (b) OP1, (c) OP2, (d) OP3, (e) OP4, (f) OP5, and (g) OP6.
The vorticity distribution in the section of y = 0 in the draft tube was analyzed, as shown in Figure 9. The characteristics and development direction of the eddy current can be clearly observed during the flow process. At the small-load operating point, the vorticity distributions in the dead fluid area under the rated and maximum heads are symmetrical. This symmetry is damaged by diffusion and an uneven velocity distribution of the flow field at the elbow section, and the impact of the fragmentation vorticity on the flow instability is large. At the high-efficiency operating point and the large-load operating point, the vorticity has two forms (i.e., jet shape and alternating distribution around the axis), corresponding to the non-eccentric columnar vortex and spiral vortex zones, respectively. Meanwhile, the vortex rope in the conical section rotates in the opposite direction to the rotating direction of the runner under large-load conditions based on the positive and negative values of the high-vorticity area.
Figure 9.
Vorticity distribution at the cross-section of the draft tube. (a) OP1, (b) OP2, (c) OP3, (d) OP4, (e) OP5, and (f) OP6.
The vortex rope structures in the draft tube are connected to the hub in the upper part and have a certain eccentricity at the elbow section [35], which is consistent with the calculation results in this study. The area with regular variation patterns is mainly concentrated in the conical section, as shown in Figure 8 and Figure 10. After passing through the elbow section, the flow became complex and irregular, and the vortex rope in the draft tube and its influence only appeared before the elbow section.
Figure 10.
Vortex ropes in the conical section of the draft tube. (a) Local diagram, (b) OP1, (c) OP2, (d) OP3, (e) OP4, (f) OP5, and (g) OP6.
The vortex rope rotates in cycles. The vortex rope rotation for each operating point at a 91 m head is shown in Figure 11.

Figure 11.
Vortex rope cycle rotation under 91 m head. (a) OP1, (b) OP2, and (c) OP3.
Under OP1, the runner outlet backflow is significant, and a large area of stagnant water forms in the draft tube of the central area. Furthermore, due to the rotating effect of the runner, together with the stagnant area, the peripheral fluid has a circular velocity similar to the speed direction at the exit of the runner. Under the action of inertia and gravity, the fluid flows downward along the wall and the flow interferes with the stagnant zone in the center of the straight cone section of the draft tube, making it appear to rotate. Here, the flow state is turbulent, and the interaction with the draft tube wall mainly produces random pressure pulsations.
Under OP2, the draft tube vortex rope is also a short, columnar vortex rope, rotating in the same direction as that of the runner, with the radius of the vortex rope contracting and becoming thinner as the draft tube runner moves downwards. Over time, the overall shape of the vortex rope remains essentially unchanged, with rotation causing the draft tube’s elongated vortex rope to contract and become slightly eccentric. The center of rotation of the vortex rope is on the same axis as the straight tapered section of the draft tube. The eccentricity of the vortex rope at the draft tube does not cause any significant disturbance in the flow field in the draft tube section, and the magnitude of the pressure pulsation in the draft tube is small for this opening condition.
Under OP3, the draft tube vortex rope is a columnar vortex rope; its direction of rotation is opposite to that of the runner. The shape of the vortex rope is slightly distorted, but there is no eccentric deformation of the vortex rope with time or other phenomena. The disturbance of the straight cone section of the draft tube area is limited; furthermore, it is observed that there is an inertial potential energy of the fluid near the lower ring outlet of the runner, which interacts with the wall of the draft tube to produce a broken vortex rope on the wall. The vortex propagates downwards and disappears after interacting with the wall of the curved elbow section of the draft tube.
3. LDV Test
3.1. Basic Information of the Test System
The test plane is layer 2 in the Francis turbine model. The Francis turbine model was scaled down using numerical simulation. Figure 12 shows the test system.
Figure 12.
Test system. (a) Test location and (b) test window drawings.
The monitoring points are arranged on the radial line between the center point of the test window and the center of the test section. The test radius is R. Twenty-nine test points are arranged. The distance between measuring points near the wall is 0.01 R, with a total value of 10 (including the wall points). Moreover, the distance between the remaining measuring points is 0.05 R, with a total of 19. The specific arrangement is shown in Figure 13.
Figure 13.
Test monitoring points in x-axis.
We tested the model at three output operating points (i.e., 20%, 100%, and 120%) under the two heads. Table 5 presents the operating conditions, while the axial and circumferential velocities (i.e., tangential velocities that were uniformly expressed as circumferential velocities in this study) were tested experimentally.
Table 5.
Test operating points.
3.2. Test Result
During the test, photographs of the vortex rope were taken at some of the operating points, as shown in Figure 14.
Figure 14.
Vortex ropes at different operating points.
The axial velocity of each monitoring point on the x-axis of the L2 plane of the draft tube was obtained using the LDV test. The trend of the time-averaged axial velocity distribution for each operating point is shown in Figure 15.
Figure 15.
Trend of axial velocity distribution on the x-axis. (a) OP1, (b) OP2, (c) OP3, (d) OP4, (e) OP5, and (f) OP6.
The variation in the axial velocity component at the x-axis, radially along the circumference under the rated and maximum heads, is shown in Figure 15. The velocity is positive when the direction of velocity occurs along the negative direction of the z-axis. At the same operating point, the velocity at the section near the inlet was the highest. Downward along the conical section, the area of the cross section increases, while the velocity decreases. For the same section, the larger the GVO, the more obvious the velocity variation, which is similar to the trend of pressure variation. In addition, the velocity variation area was concentrated along the-axis. Moreover, the central velocity of the vortex rope was negative (i.e., the direction of the water flow in the vortex rope was upward) at the operating points where a vortex rope was evident.
At the small-load operating point, the dead fluid area of each flow surface increased along the diverging conical section, whereas the velocity spiraling downward along the wall decreased. On the other hand, the velocity at the inlet section decreased significantly and the eccentric vortex rope developed downward at the high-efficiency operating point. The larger the offset degree, the larger the affected area on the cross section. The vortex rope reached from the center to the wall. Therefore, the velocity at the center was not the lowest, and a small increase occurred. At the large-load operating point, the columnar vortex rope had less influence on the velocity than the spiral vortex rope, which is caused by the expansion of the tail of the spiral vortex rope due to the centrifugal force.
Figure 16 shows the trend of the axial velocity distribution in each layer according to the CFD calculations. The graph shows that the velocity distribution trends are close across the layers, but the extent of the low velocity region increases as the influence of the vortex rope expands. Furthermore, the velocity distribution trend in the second layer is similar to that of the experimental results.
Figure 16.
Velocities at the X-axis of the draft tube in CFD result. (a) OP1, (b) OP2, (c) OP3, (d) OP4, (e) OP5, and (f) OP6.
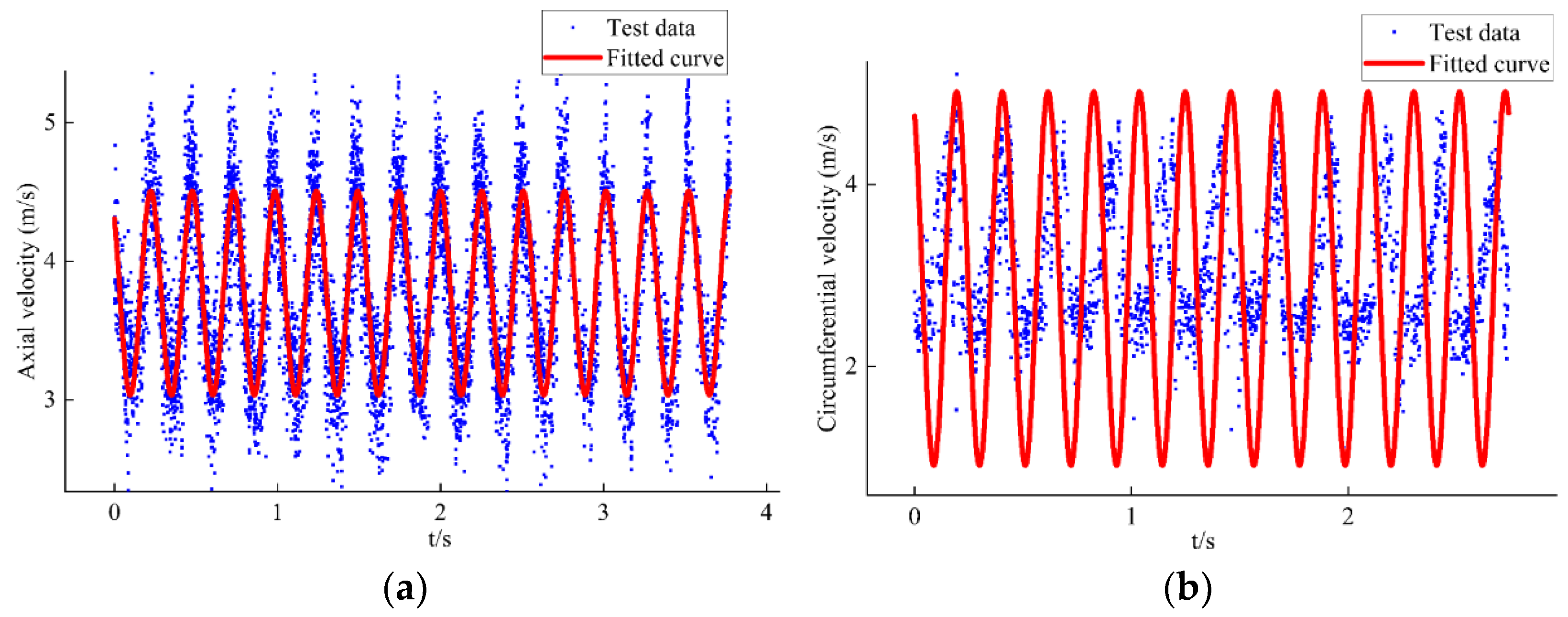
The transient velocities at the draft tube monitoring points were recorded during the LDV test and were used to analyze the effect of the draft tube vortex rope on the axial and circumferential velocities. Based on the fitting results, which showed strong regularity in the instantaneous variation of both the circumferential and axial velocities, the test results were subjected to the fast Fourier transform (FFT) and compared with the pressure pulsation characteristics to analyze the causes of the variation. Figure 17 shows the transient results obtained from the tests.
Figure 17.
Transient velocities. (a) Axial velocity, (b) circumferential velocity.
First, the two operating conditions (i.e., OP1 and OP4) at 20% output are compared. Figure 18 and Figure 19 show a comparison of the FFT results for axial and circumferential velocities with pressure pulsations. Here, fn is the blade passage frequency.
Figure 18.
FFT result at OP1 (LDV measuring point position is 0.5 R). (a) axial velocity, (b) circumferential velocity, and (c) pressure pulsation.
Figure 19.
FFT result at OP4 (LDV measuring point position is 0.2 R). (a) Axial velocity, (b) circumferential velocity, and (c) pressure pulsation.
In Figure 18 and Figure 19, the main frequencies of the axial velocity, circumferential velocity, and pressure pulsations are very similar. Under these two small GVO operating conditions, cavitation vortex ropes appeared in the central region of the draft tube, as shown in Figure 14. It is generally accepted that the formation of the draft tube vortex rope is related to the characteristics of the runner outlet flow field due to the low flow rate under the small GVO conditions of a Francis turbine. As the rotating water entered the draft tube from the runner outlet, it interacted with the return flow in the draft tube. Simultaneously, the water flow was subjected to centrifugal forces and formed a spiral vortex rope that rotates around the axis of the draft tube. A gas cavity formed at low pressures in the vortex core. For the two operating conditions, OP1 and OP4, presented in Figure 15, the presence of the gas cavity caused the measured velocities in the central region to be close to zero.
The source of the axial velocity pulsation was the periodic water supply from the runner outlet to the draft tube. This was directly related to the flow field at the runner outlet, making the main frequency of the axial velocity close to the main frequency of the pressure pulsation caused by the vortex rope.
The circumferential velocity has a complex frequency characteristic, which is influenced by the positive attack angle of the water flow at the runner inlet, resulting in a high level of randomness in the circumferential velocity. The fluctuation of the circumferential velocity influenced by the vortex rope is related to the position of the measurement points. The FFT was performed on the circumferential velocity test values for the different measurement points, and the main frequencies of some of the measurement points are listed in Table 6, which shows that the main frequencies of the different measurement points all correlated with the vortex rope rotation. Figure 20 shows a scatter plot of the circumferential velocity obtained from some measurement points (positive when the circumferential velocity is in the same direction as the rotation of the runner). The number of particles moving counterclockwise and clockwise is similar in the 0.05 R region because of the turbulence of the flow pattern inside the vortex zone, where the fluid has a different tendency to move in the circumferential direction. After the 0.2 R measurement point, the direction of the circumferential motion of the fluid in the draft tube gradually becomes the same as the direction of the runner until the number of particles moving counterclockwise in the 0.55 R circumferential direction is negligible. This shows that the vortex rope range under this operating condition is approximately between 0 and 0.4 R.
Table 6.
Monitoring point instantaneous circumferential velocity pulse main frequency.
Figure 20.
Circumferential velocity scatter diagram of OP1. (a) 0.05 R, (b) 0.2 R, (c) 0.4 R, and (d) 0.55 R.
Similar to the above analysis, the results for OP2, OP3, OP5, and OP6 are shown in Figure 21.
Figure 21.
FFT results of circumferential velocity and pressure pulsation (LDV measuring point position is 0.2R). (a) Circumferential velocity of OP2, (b) pressure pulsation of OP2, (c) circumferential velocity of OP3, (d) pressure pulsation of OP3, (e) circumferential velocity of OP5, (f) pressure pulsation of OP5, (g) circumferential velocity of OP6, and (h) pressure pulsation of OP6.
Figure 21 shows that the frequency of circumferential velocity and pressure pulsations are very close at all operating points. This indicates a direct relationship between the circumferential velocity pulsation due to the draft tube vortex rope and the draft tube pressure pulsation. Pulsations in velocity and pressure will only occur if a secondary flow region with a free boundary occurs inside the draft tube (vortex rope region) and if water is regarded as an incompressible fluid. The pulsation velocity causes the main flow to create a spiral pulsation, resulting in an asymmetric distribution of flow velocity and pressure in the draft tube. This asymmetric distribution of pressure changes periodically with the rotation of the vortex rope, causing the pressure pulsation phenomenon in the draft tube.
The range where the vortex rope had a strong influence on the circumferential velocity pulsation decreased as the GVO increased because the eccentricity of the vortex rope became smaller as the GVO increased, and the range where the vortex rope was strongly disturbed decreased. At output forces of 100% and 120%, the range of influence of the vortex rope was found to be approximately 0–0.15R.
4. Conclusions
The main conclusions of this study are as follows:
- The flow characteristics in the draft tube of the Francis turbine were significantly affected by the inlet flow characteristics. Under small GVO conditions, the runner outlet near the crown was conglomerated by cavitation bubbles, and the inflow state was poor, resulting in a large area of dead fluid in the draft tube. The inflow was smooth, the fluid flowing down the passage was constrained by it, and the change in flow characteristics produce complex flow conditions such as vortices at different parts at high-efficiency and large-load operating points.
- The eccentricity of the vortex rope decreased as the head increased. Under the rated head and large load conditions columnar vortex ropes exist, and the effect of RSI was more pronounced as the head increased. The variation in the eccentricity of the vortex rope can cause a change in the range of perturbation of the circumferential velocity, with the smallest range of influence under high-load conditions.
- The distribution variation pattern of the vortex rope was studied in the area from the axis to the wall by analyzing the distributions of the axial velocity on sections of the conical section. We found that the influence of the vortex rope at the inlet of the draft tube was concentrated in the center, whereas the influence range of the eccentric vortex rope on the velocity was wider downward along the flow direction. There is a direct relationship between circumferential velocity and pressure pulsation, with fluctuations in the circumferential velocity occurring due to vortex ropes being the direct source of pressure pulsation in the draft tube.
- This research provides a new idea for the study of draft-tube vortex ropes. For further study, the velocity pulsation can be obtained directly using the LDV test, and the relationship between the velocity pulsation and the pressure pulsation amplitude should be studied in depth.
Author Contributions
L.J. and L.X. contributed equally to this paper. Conceptualization, L.X. and L.J.; methodology, D.L.; software, Z.L. and X.Z.; validation, L.X., Z.L. and W.T.; formal analysis, Y.P.; investigation, D.L.; resources, D.L.; data curation, L.J.; writing—original draft preparation, L.X. and X.L.; writing—review and editing, L.J. and L.X.; visualization, L.X. and X.Z.; supervision, D.L.; project administration, L.J.; funding acquisition, D.L. All authors have read and agreed to the published version of the manuscript.
Funding
This research was funded by the National Key R&D Program of China [Grant No. 2018YFB0905200] and China Postdoctoral Science Foundation [Grant No. 2020M673568XB].
Institutional Review Board Statement
Not applicable.
Informed Consent Statement
Not applicable.
Data Availability Statement
Not applicable.
Acknowledgments
The authors would like to thank Wanquan Deng, Key Laboratory of Fluid and Power Machinery, Ministry of Education, for providing support in data processing.
Conflicts of Interest
The authors declare no conflict of interest.
References
- Dan Ciocan, A.; Iliescu, M.S.; Vu, T.C.; Nennemann, B.; Avellan, F. Experimental study and numerical simulation of the FLINDT draft tube rotating vortex. J. Fluids Eng. 2007, 129, 146–158. [Google Scholar] [CrossRef]
- Dörfler, P.; Sick, M.; Coutu, A. Flow-Induced Pulsation and Vibration in Hydroelectric Machinery; Springer: London, UK, 2013. [Google Scholar]
- Goyal, R.; Gandhi, B.K. Review of hydrodynamics instabilities in Francis turbine during off-design and transient operations. Renew. Energy 2017, 116, 697–709. [Google Scholar] [CrossRef]
- Zhong, L.; Lai, X.; Gonglei, L.; Zhang, X. Analysis on the relationship between swirling flow at outlet of a Francis turbine runner and vortex rope inside draft tube. J. Hydrol. Eng. 2018, 37, 40–46. (In Chinese) [Google Scholar]
- Skripkin, S.; Tsoy, M.; Kuibin, P.; Shtork, S. Swirling flow in a hydraulic turbine discharge cone at different speeds and discharge conditions. Exp. Therm. Fluid Sci. 2019, 100, 349–359. [Google Scholar] [CrossRef]
- Goyal, R.; Trivedi, C.; Kumar Gandhi, B.; Cervantes, M.J. Numerical simulation and validation of a high head model Francis turbine at part load operating condition. J. Inst. Eng. 2018, 99, 557–570. [Google Scholar] [CrossRef]
- Favrel, A.; Müller, A.; Landry, C.; Yamamoto, K.; Avellan, F. Study of the vortex-induced pressure excitation source in a Francis turbine draft tube by particle image velocimetry. Exp. Fluids 2015, 56, 215. [Google Scholar] [CrossRef]
- Favrel, A.; Müller, A.; Landry, C.; Yamamoto, K.; Avellan, F. LDV survey of cavitation and resonance effect on the precessing vortex rope dynamics in the draft tube of Francis turbines. Exp. Fluids 2016, 57, 168. [Google Scholar] [CrossRef]
- Xu, H.; Lu, L.; Wang, W.; Liao, C. Theory of cavitation bubbles conglomeration endangering stability of hydraulic machinery. I. Cavitation bubbles conglomeration and vortex flow. J. Hydrol Eng. 2012, 31, 249–252. (In Chinese) [Google Scholar]
- Wang, X.; Liu, D.; Liu, X.; Wen, T.; Lianchen, X. Analysis on flow structures and pressure pulsation in vaneless space of reversible pump turbine. J. Hydrol. Eng. 2021, 40, 59–72. (In Chinese) [Google Scholar]
- Wang, T.; Zhang, C.; Xie, T. Analysis on vortex rope and pressure pulsation in draft tube of variable-speed Francis turbine. J. Hydrol. Eng. 2021, 40, 95–101. (In Chinese) [Google Scholar]
- Krappel, T.; Ruprecht, A.; Riedelbauch, S.; Jester-Zuerker, R.; Jung, A. Investigation of Francis turbine part load instabilities using flow simulations with a hybrid RANS-LES turbulence model. IOP Conf. Ser. Earth Environ. Sci. 2014, 22, 032001. [Google Scholar] [CrossRef] [Green Version]
- Valentin, D.; Presas, A.; Egusquiza, E.; Valero, C.; Egusquiza, M.; Bossio, M. Power swing generated in Francis turbine by part load and overload instabilities. Energies 2017, 10, 2124. [Google Scholar] [CrossRef] [Green Version]
- Zhang, L.; Zhang, L.; Zhang, L. 3D cavitation turbulent flow simulation of Francis turbine. J. Hydrol. Eng. 2008, 1, 135–138. (In Chinese) [Google Scholar]
- Yu, A.; Wang, Y.; Tang, Q.; Lv, R.; Yang, Z. Investigation of the vortex evolution and hydraulic excitation in a pump-turbine operating at different conditions. Renew. Energy 2021, 171, 462–478. [Google Scholar] [CrossRef]
- Arispe, T.M.; De Oliveira, W.; Ramirez, R.G. Francis turbine draft tube parameterization and analysis of performance characteristics using CFD techniques. Renew. Energy 2018, 127, 114–124. [Google Scholar] [CrossRef]
- Khozaei, M.H.; Favrel, A.; Masuko, T.; Yamaguchi, N.; Miyagawa, K. Generation of twin vortex rope in the draft-tube elbow of a Francis turbine during part-load operation. J. Fluids Eng. 2021, 143, 101206. [Google Scholar] [CrossRef]
- Khare, R.; Prasad, V. Numerical study on performance characteristics of draft tube of mixed flow hydraulic turbine. Hydro Nepal J. Water Energy Environ. 2012, 10, 48–52. [Google Scholar] [CrossRef] [Green Version]
- Guo, T.; Zhang, L. Numerical study of swirling flow fields in Francis turbine under small opening condition. Trans. Chin. Soc. Agric. Mach. 2014, 45, 112–118. [Google Scholar]
- Müller, A.; Favrel, A.; Landry, C.; Avellan, F. Fluid-structure interaction mechanisms leading to dangerous power swings in Francis turbines at full load. J. Fluids Struct. 2017, 69, 56–71. [Google Scholar] [CrossRef]
- Yu, A.; Luo, Y.P.; Ji, B. Numerical simulation and analysis of the internal flow in a Francis turbine with air admission. IOP Conf. Ser. Mater. Sci. Eng. 2015, 72, 042047. [Google Scholar] [CrossRef] [Green Version]
- Zhou, X.; Shi, C.; Miyagawa, K.; Wu, H. Effect of modified draft tube with inclined conical diffuser on flow instabilities in Francis turbine. Renew. Energy 2021, 172, 606–617. [Google Scholar] [CrossRef]
- Anup, K.C.; Lee, Y.H.; Thapa, B. CFD study on prediction of vortex shedding in draft tube of Francis turbine and vortex control techniques. Renew. Energy 2016, 86, 1406–1421. [Google Scholar]
- Muhirwa, A.; Cai, W.H.; Su, W.T.; Liu, Q.; Binama, M.; Li, B.; Wu, J. A review on remedial attempts to counteract the power generation compromise from draft tubes of hydropower plants. Renew. Energy 2019, 150, 743–764. [Google Scholar] [CrossRef]
- Mulu, B.G.; Jonsson, P.P.; Cervantes, M.J. Experimental investigation of a Kaplan draft tube—Part I: Best efficiency point. Appl. Energy 2012, 93, 695–706. [Google Scholar] [CrossRef]
- Vuillemard, J.; Aeschlimann, V.; Fraser, R.; Lemay, S.; Deschênes, C. Experimental investigation of the draft tube inlet of a bulb turbine. IOP Conf. Ser. Earth Environ. Sci. 2014, 22, 032010. [Google Scholar] [CrossRef] [Green Version]
- Sundstrom, L.R.J.; Amiri, K.; Bergan, C. LDA measurements in the Francis-99 draft tube cone. IOP Conf. Ser. Earth Environ. Sci. 2014, 22, 12–22. [Google Scholar] [CrossRef] [Green Version]
- Menter, F.R. Improved Two-Equation k-w Turbulence Models for Aerodynamic Flows; NASA Technical Memorandum TM 103975; NASA Ames: Mountain View, CA, USA, 1992. [Google Scholar]
- Menter, F.R. Two-Equation Eddy-Viscosity Transport Turbulence Model for Engineering Applications. AIAA J. 1994, 32, 1598–1605. [Google Scholar] [CrossRef] [Green Version]
- Menter, F.R. Eddy viscosity transport equations and their relation to the k-ε model. J. Fluid Eng. 1997, 119, 876–884. [Google Scholar] [CrossRef]
- Deng, W.; Xu, L.; Li, Z.; Tang, W.; Wang, X.; Shang, L.; Liu, D.; Liu, X. Stability Analysis of Vaneless Space in High-Head Pump-Turbine under Turbine Mode: Computational Fluid Dynamics Simulation and Particle Imaging Velocimetry Measurement. Machines 2022, 10, 143. [Google Scholar] [CrossRef]
- Li, W.; Li, Z.; Qin, Z.; Yan, S.; Wang, Z.; Peng, S. Influence of the solution pH on the design of a hydro-mechanical magneto-hydraulic sealing device. Eng. Fail. Anal. 2022, 135, 106091. [Google Scholar] [CrossRef]
- Li, Z.; Li, W.; Wang, Q.; Xiang, R.; Cheng, J.; Han, W.; Yan, Z. Effects of medium fluid cavitation on fluctuation characteristics of magnetic fluid seal interface in agricultural centrifugal pump. Int. J. Agric. Biol. Eng. 2021, 14, 85–92. [Google Scholar] [CrossRef]
- Abraham, A.M.; Sadasivan, A.L. Optimization of a Draft Tube Design Using Surrogate Modelling and Genetic Algorithm. J. Inst. Eng. Ser. C 2021, 102, 753–776. [Google Scholar] [CrossRef]
- Kumar, S.; Cervantes, M.J.; Gandhi, B.K. Rotating vortex rope formation and mitigation in draft tube of hydro turbines—A review from experimental perspective-science direct. Renew. Sust. Energ. Rev. 2021, 136, 110354. [Google Scholar] [CrossRef]
Publisher’s Note: MDPI stays neutral with regard to jurisdictional claims in published maps and institutional affiliations. |
© 2022 by the authors. Licensee MDPI, Basel, Switzerland. This article is an open access article distributed under the terms and conditions of the Creative Commons Attribution (CC BY) license (https://creativecommons.org/licenses/by/4.0/).























