Numerical Investigation and Experimental Verification of the Fluid Cooling Process of Typical Stator–Rotor Machinery with a Plate-Type Heat Exchanger
Abstract
1. Introduction
2. Materials and Methods
2.1. Structures of Hydrodynamic Retarder
2.2. Governing Equation
2.3. Thermal Problems and Heat Transfer System
2.4. The Numerical Method
3. Experiment Set and Validation
3.1. Experiment Set
3.2. Model Validation
3.3. Validation for Radiating Circulation Branch
4. Result and Discussion
4.1. Steady-State Heat Flow Analysis
4.1.1. Rotor
4.1.2. Interface Region
4.1.3. Stator
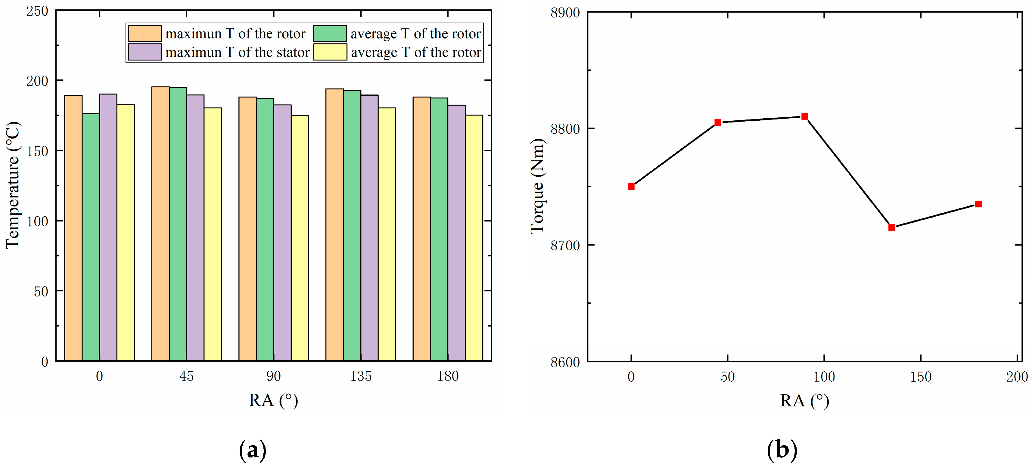
4.2. Effect of Angle of Inlet and Outlet Passages
4.3. Effect of Transient Filling Flow and Speed
5. Conclusions
- The numerical results are in good agreement with the experimental data, with a 0.1–2.5% error after considering the variable density and viscosity with the dynamic heat transfer, which is much lower than that of the traditional constant density and viscosity method, the average error of which is 6.478%. The experiment shows that the heat exchanger will efficiently slow down the increase in the oil temperature in the wheel cavity during the braking process of the hydrodynamic retarder.
- In steady analysis, the distribution of the energy dissipation area and the distribution characteristics of the high-temperature area are consistent. The temperature distribution of the blades and interface regions is not uniform. The surface temperature of the blades far away from the inlet and outlet is higher than that of the blades near the inlet and outlet for the cooling effect of oil input or output, and there is a high-temperature zone at the rotor blade and the stator blade. Considering the working performance and the average temperature wheel cavity in the working process, the case with 90° for the inlet and outlet passage can provide a larger braking torque while obtaining a better heat dissipation effect.
- A transient simulation analysis of the flow field and temperature field of the wheel cavity of the full flow hydrodynamic retarder was carried out, and the law of the influence of the flow rate and the rotational speed on the liquid filling speed and the brake temperature rise during the continuous torque adjustment process was studied. At the same time during the filling process, the average temperature in the stator is always higher than or equal to the average temperature in the rotor, and it can be seen that the greater the filling flow is, the more tortuous are the temperature changes of the rotor and the stator, while the difference between the average temperature of the rotor and stator increased with rotational speed rise
- The ongoing research will focus on the microscopic flow field of the current model and reflect more detailed thermophysical characteristics by means of Particle Image Velocimetry (PIV) to better visualize the heat-flow coupling phenomenon in cavity chambers.
Author Contributions
Funding
Data Availability Statement
Acknowledgments
Conflicts of Interest
References
- Wang, L.; Huang, C.; Hu, J.; Shi, B.; Chai, Z. Effects of temperature-dependent viscosity on natural convection in a porous cavity with a circular cylinder under local thermal non-equilibrium condition. Int. J. Therm. Sci. 2021, 159, 106570. [Google Scholar] [CrossRef]
- Yan, Q.-D.; Mu, H.-B.; Wei, W.; Liu, S.-C. Design optimization of blade parameters of dual torus hydraulic retarder. Acta Armamentarii 2015, 36, 385. [Google Scholar]
- Manea, A.; Dobândă, E.; Babic, M. Theoretical and experimental studies on torque converters. Therm. Sci. 2010, 14, 231–245. [Google Scholar] [CrossRef]
- Mu, H.; Yan, Q.; Wei, W. Study on influence of inlet and outlet flow rates on oil pressures and braking torque in a hydrodynamic retarder. Int. J. Numer. Methods Heat Fluid Flow 2017, 27, 2544–2564. [Google Scholar] [CrossRef]
- Saqr, K.M.; Aly, H.S.; Kassem, H.I.; Sies, M.M.; Wahid, M.A. Computations of shear driven vortex flow in a cylindrical cavity using a modified k-ε turbulence model. Int. Commun. Heat Mass Transf. 2010, 37, 1072–1077. [Google Scholar] [CrossRef]
- Zhang, C.; Niu, Y.; Xu, J. An anisotropic turbulence model for predicting heat transfer in a rotating channel. Int. J. Therm. Sci. 2020, 148, 106119. [Google Scholar] [CrossRef]
- Wang, Z.; Wei, W.; Langari, R.; Zhang, Q.; Yan, Q. A Prediction Model Based on Artificial Neural Network for the Temperature Performance of a Hydrodynamic Retarder in Constant-Torque Braking Process. IEEE Access 2021, 9, 24872–24883. [Google Scholar] [CrossRef]
- Liu, C.; Xu, N.; Ma, W.; Yuan, Z.; Li, X. Analysis of Unsteady Rotor–Stator Flow with Variable Viscosity Based on Experiments and CFD Simulations. Numer. Heat Transf. Part A Appl. 2015, 68, 1351–1368. [Google Scholar] [CrossRef]
- Bu, W.; Shen, G.; Qiu, H.; Liu, C. Investigation on the dynamic influence of thermophysical properties of transmission medium on the internal flow field for hydraulic retarder. Int. J. Heat Mass Transf. 2018, 126, 1367–1376. [Google Scholar] [CrossRef]
- Martin, M.H. The flow of a viscous fluid. I. In Archive for Rational Mechanics and Analysis; Springer: Berlin/Heidelberg, Germany, 1971. [Google Scholar]
- Naeem, R.K. A class of exact solutions of the Navier-Stokes equations for incompressible fluid of variable viscosity for defined vorticity distribution. Mathematics 2011, 7, 97–118. [Google Scholar]
- Fatsis, A.; Statharas, J.; Panoutsopoulou, A.; Vlachakis, N. On the exact solution of incompressible viscous flows with variable viscosity. WIT Trans. Eng. Sci. 2012, 74, 481–492. [Google Scholar] [CrossRef]
- Guo, S.; Sun, L.; Zhang, T.; Yang, W.; Yang, Z. Analysis of viscosity effect on turbine flowmeter performance based on experiments and CFD simulations. Flow Meas. Instrum. 2013, 34, 42–52. [Google Scholar] [CrossRef]
- Ruan, J.; Wang, X.; Ji, S.; Wang, Y.; An, S. Transient temperature field analysis of variable viscosity RTHSB with a special structural cavity. Adv. Mech. Eng. 2020, 12, 1687814020965051. [Google Scholar] [CrossRef]
- Mahanti, N.C.; Gaur, P. Effects of varying viscosity and thermal conductivity on steady free convective flow and heat transfer along an isothermal vertical plate in the presence of heat sink. J. Appl. Fluid Mech. 2009, 2, 23–28. [Google Scholar]
- Arsenyeva, O.; Kapustenko, P.; Tovazhnyanskyy, L.; Khavin, G. The influence of plate corrugations geometry on plate heat exchanger performance in specified process conditions. Energy 2013, 57, 201–207. [Google Scholar] [CrossRef]
- Luan, Z.-J.; Zhang, G.-M.; Tian, M.-C.; Fan, M.-X. Flow Resistance and Heat Transfer Characteristics of a New-Type Plate Heat Exchanger. J. Hydrodyn. 2008, 20, 524–529. [Google Scholar] [CrossRef]
- Rohsenow, W.M.; Hartnett, J.P.; Ganic, E.N.; Richardson, P.D. Handbook of Heat Transfer Fundamentals (Second Edition). J. Appl. Mech. 1986, 53, 232–233. [Google Scholar] [CrossRef]
- Holman, J.P. Heat Transfer; McGraw-Hill Inc.: New York, NY, USA, 2002. [Google Scholar]
- Guo, Z.; Liu, X.; Tao, W.; Shah, R. Effectiveness–thermal resistance method for heat exchanger design and analysis. Int. J. Heat Mass Transf. 2010, 53, 2877–2884. [Google Scholar] [CrossRef]
- Bergman, T.L.; Bergman, T.L.; Incropera, F.P.; Dewitt, D.P.; Lavine, A.S. Fundamentals of Heat and Mass Transfer. John Wiley & Sons: Hoboken, NJ, USA, 2011. [Google Scholar]
- Kays, W.; London, A.J.N.Y. Compact Heat Exchangers; McGraw Hill Book Co.: New York, NY, USA, 1955. [Google Scholar]
- Uhde, E.; Borgschulte, A.; Salthammer, T. Characterization of the field and laboratory emission cell—FLEC: Flow field and air velocities. Atmos. Environ. 1998, 32, 773–781. [Google Scholar] [CrossRef]
- Wang, Z.; Zu, S.; Yang, M. Numerical simulation on forced convection over a circular cylinder confined in a sudden expansion channel. Int. Commun. Heat Mass Transf. 2018, 91, 48–56. [Google Scholar] [CrossRef]
- Li, Y.; Yang, M.; Zhang, Y. Asymmetric phenomenon of flow and mass transfer in symmetric cylindrical and semi-cylindrical shallow chambers. Int. Commun. Heat Mass Transf. 2021, 123, 105174. [Google Scholar] [CrossRef]
- Pedlosky, J. Geophysical Fluid Dynamics; Springer: Berlin/Heidelberg, Germany, 1987. [Google Scholar]
- Batchelor, C.K.; Batchelor, G. An Introduction to Fluid Dynamics; Cambridge University Press: Cambridge, UK, 2000. [Google Scholar]
- Wesseling, P. Principles of Computational Fluid Dynamics; Springer Science & Business Media: Berlin/Heidelberg, Germany, 2001. [Google Scholar] [CrossRef]
- Olson, L.G.; Bathe, K.-J. Analysis of fluid-structure interactions. a direct symmetric coupled formulation based on the fluid velocity potential. Comput. Struct. 1985, 21, 21–32. [Google Scholar] [CrossRef]
- Khanlari, A.; Sözen, A.; Variyenli, H.I. Simulation and experimental analysis of heat transfer characteristics in the plate type heat exchangers using TiO2/water nanofluid. J. Numer. Methods Heat Fluid Flow 2018, 29, 1343–1362. [Google Scholar] [CrossRef]
- Larsson, I.A.S.; Lindmark, E.M.; Lundström, T.S.; Nathan, G.J. Secondary Flow in Semi-Circular Ducts. J. Fluids Eng. 2011, 133, 4491. [Google Scholar] [CrossRef]
- Launder, B.E.; Spalding, D.B. The Numerical Computation of Turbulent Flows. In Numerical Prediction of Flow, Heat Transfer, Turbulence and Combustion; Elsevier: Amsterdam, The Netherlands, 1983; pp. 96–116. [Google Scholar]
- Versteeg, H.K.; Malalasekera, W. An Introduction to Computational Fluid Dynamics: The Finite Volume Method; Pearson Education: London, UK, 2007. [Google Scholar]
- Qian, J.-Y.; Wei, L.; Jin, Z.-J.; Wang, J.-K.; Zhang, H.; Lu, A.-L. CFD analysis on the dynamic flow characteristics of the pilot-control globe valve. Energy Convers. Manag. 2014, 87, 220–226. [Google Scholar] [CrossRef]
- Dubas, A.J.; Bressloff, N.; Sharkh, S. Numerical modelling of rotor–stator interaction in rim driven thrusters. Ocean Eng. 2015, 106, 281–288. [Google Scholar] [CrossRef]





















| Mesh Part | Node Number | |
|---|---|---|
| Impeller | Rotor | 606,780 |
| Stator | 593,125 | |
| Flow field | Rotor | 142,319 |
| Stator | 108,139 | |
| Inlet part | 84,027 | |
| Outlet part | 84,959 |
| Rotating Speed | Temperature in Experiment | Torque Error Between Case 1 and Experiment | Torque Error Between Case 2 and Experiment |
|---|---|---|---|
| 800 | 144.9 | −0.21% | −12.12% |
| 900 | 144.7 | 0.92% | −8.12% |
| 1000 | 134.3 | −0.76% | −6.25% |
| 1100 | 141.6 | 0.39% | −5.27% |
| Rotating Speed | Calculation Time for Case 1 | Calculation Time for Case 2 |
|---|---|---|
| 800 | 65 min 32 s | 64 min 34 s |
| 900 | 58 min 03 s | 59 min 12 s |
| 1000 | 62 min 46 s | 62 min 31 s |
| 1100 | 61 min 07 s | 60 min 57 s |
| Position | Pressure Surface of the Rotor | The Suction Surface of the Rotor | Pressure Surface of the Stator | Suction Surface of the Stator |
|---|---|---|---|---|
| vorticity (s−1) | 368 | 610.4 | 317.7 | 524.8 |
| temperature (°C) | 73.85 | 73.75 | 73.85 | 73.85 |
| highest temperature (°C) | 75.75 | 75.85 | 75.65 | 75.85 |
| Position | Pressure Surface of the Rotor | Suction Surface of the Rotor | Pressure Surface of the Stator | Suction Surface of the Stator |
|---|---|---|---|---|
| vorticity (s−1) | 344.5 | 580.7 | 306.8 | 502.2 |
| temperature (°C) | 44.25 | 44.05 | 44.25 | 44.25 |
| highest temperature (°C) | 45.65 | 45.75 | 45.55 | 45.65 |
Publisher’s Note: MDPI stays neutral with regard to jurisdictional claims in published maps and institutional affiliations. |
© 2022 by the authors. Licensee MDPI, Basel, Switzerland. This article is an open access article distributed under the terms and conditions of the Creative Commons Attribution (CC BY) license (https://creativecommons.org/licenses/by/4.0/).
Share and Cite
Chen, X.; Wei, W.; Mu, H.; Liu, X.; Wang, Z.; Yan, Q. Numerical Investigation and Experimental Verification of the Fluid Cooling Process of Typical Stator–Rotor Machinery with a Plate-Type Heat Exchanger. Machines 2022, 10, 887. https://doi.org/10.3390/machines10100887
Chen X, Wei W, Mu H, Liu X, Wang Z, Yan Q. Numerical Investigation and Experimental Verification of the Fluid Cooling Process of Typical Stator–Rotor Machinery with a Plate-Type Heat Exchanger. Machines. 2022; 10(10):887. https://doi.org/10.3390/machines10100887
Chicago/Turabian StyleChen, Xiuqi, Wei Wei, Hongbin Mu, Xu Liu, Zhuo Wang, and Qingdong Yan. 2022. "Numerical Investigation and Experimental Verification of the Fluid Cooling Process of Typical Stator–Rotor Machinery with a Plate-Type Heat Exchanger" Machines 10, no. 10: 887. https://doi.org/10.3390/machines10100887
APA StyleChen, X., Wei, W., Mu, H., Liu, X., Wang, Z., & Yan, Q. (2022). Numerical Investigation and Experimental Verification of the Fluid Cooling Process of Typical Stator–Rotor Machinery with a Plate-Type Heat Exchanger. Machines, 10(10), 887. https://doi.org/10.3390/machines10100887

