A Quantum Adiabatic Algorithm for Multiobjective Combinatorial Optimization †
Abstract
1. Introduction
2. Preliminaries on Multiobjective Combinatorial Optimization
3. The Quantum Adiabatic Algorithm
- an initial Hamiltonian chosen in such a way that its ground state is easy to prepare;
- a final Hamiltonian encodes the function f in such a way that the minimum eigenvalue of corresponds to and its ground-state corresponds to x;
- an adiabatic evolution path, that is, a function that decreases from 1 to 0 as the time t goes from 0 to a given time T. In this work, we will always use a linear path .
4. Main Result of This Work
4.1. The Initial and Final Hamiltonians for MCOs
4.2. Analysis of the Final Hamiltonian
5. An Application to the Two-Parabolas Problem
6. Concluding Remarks and Open Problems
- We know from Lemma 2 that if we linearize a multiobjective optimization problem, some Pareto-optimal solutions (the non-supported solutions) may not be found. Considering that our quantum algorithm uses a linearization technique, a new mapping or embedding method of a multiobjective problem into a Hamiltonian is necessary in order to construct a quantum adiabatic algorithm that can also find supported Pareto-optimal solutions.
- For a practical application of our quantum algorithm, the linearization w in Theorem 2 must be chosen so that the resulting total Hamiltonian is non-degenerate in its ground-state. Therefore, more research is necessary in order to develop a heuristic for choosing w before executing the algorithm.
- As mentioned before, currently our algorithm is only good for multiobjective problems with no equivalent solutions. Natural multiobjective optimization problems appear in engineering and science with several equivalent solutions, and hence, in order to use our algorithm in a real-world situation we need to take into account equivalent solutions. This is a crucial point mainly because equivalent solutions yields degenerate ground-states in the total Hamiltonian, and hence, the quantum adiabatic theorem cannot be used.
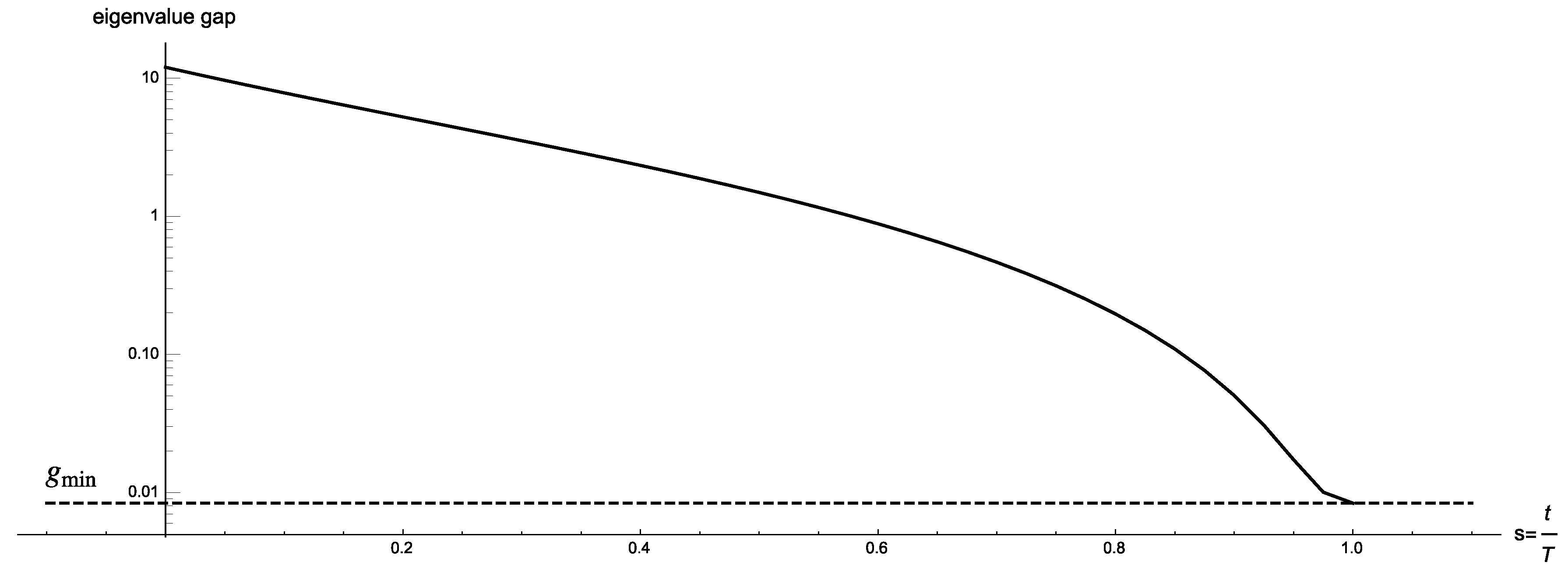
- The time complexity of our quantum multiobjective algorithm depends on the spectral gap of the total Hamiltonian. Even though we presented some numerical results that suggest a polynomial execution time for the two-parabolas problem, a more thorough and rigorous approach must be done. This depends on the analysis of the spectral gap of Hamiltonians that can be constructed for specific multiobjective problems, for example, solving our conjecture for the two-parabolas problem of Section 5.
Author Contributions
Funding
Conflicts of Interest
Appendix A. Proof of Non-Singularity of Equation (7)
Appendix B. Data for the Two-Parabolas Problem of Figure 2
| x | x | x | x | ||||||||
|---|---|---|---|---|---|---|---|---|---|---|---|
| 0 | 36.14 | 214.879 | 1 | 34.219 | 208.038 | 2 | 32.375 | 201.354 | 3 | 30.606 | 194.825 |
| 4 | 28.91 | 188.449 | 5 | 27.285 | 182.224 | 6 | 25.729 | 176.148 | 7 | 24.24 | 170.219 |
| 8 | 22.816 | 164.435 | 9 | 21.455 | 158.794 | 10 | 20.155 | 153.294 | 11 | 18.914 | 147.933 |
| 12 | 17.73 | 142.709 | 13 | 16.601 | 137.62 | 14 | 15.525 | 132.664 | 15 | 14.5 | 127.839 |
| 16 | 13.524 | 123.143 | 17 | 12.595 | 118.574 | 18 | 11.711 | 114.13 | 19 | 10.87 | 109.809 |
| 20 | 10.07 | 105.609 | 21 | 9.309 | 101.528 | 22 | 8.585 | 97.564 | 23 | 7.896 | 93.715 |
| 24 | 7.24 | 89.979 | 25 | 6.615 | 86.354 | 26 | 6.019 | 82.838 | 27 | 5.45 | 79.429 |
| 28 | 4.906 | 76.125 | 29 | 4.385 | 72.924 | 30 | 3.885 | 69.824 | 31 | 3.404 | 66.823 |
| 32 | 2.94 | 63.919 | 33 | 2.491 | 61.11 | 34 | 2.055 | 58.394 | 35 | 1.63 | 55.769 |
| 36 | 1.214 | 53.233 | 37 | 0.805 | 50.784 | 38 | 0.401 | 48.42 | 39 | 0 | 46.139 |
| 40 | 0.801 | 43.939 | 41 | 1.205 | 41.818 | 42 | 1.614 | 39.774 | 43 | 2.03 | 37.805 |
| 44 | 2.455 | 35.909 | 45 | 2.891 | 34.084 | 46 | 3.34 | 32.328 | 47 | 3.804 | 30.639 |
| 48 | 4.285 | 29.015 | 49 | 4.785 | 27.454 | 50 | 5.306 | 25.954 | 51 | 5.85 | 24.513 |
| 52 | 6.419 | 23.129 | 53 | 7.015 | 21.8 | 54 | 7.64 | 20.524 | 55 | 8.296 | 19.299 |
| 56 | 8.985 | 18.123 | 57 | 9.709 | 16.994 | 58 | 10.47 | 15.91 | 59 | 11.27 | 14.869 |
| 60 | 12.111 | 13.869 | 61 | 12.995 | 12.908 | 62 | 13.924 | 11.984 | 63 | 14.9 | 11.095 |
| 64 | 15.925 | 10.239 | 65 | 17.001 | 9.414 | 66 | 18.13 | 8.618 | 67 | 19.314 | 7.849 |
| 68 | 20.555 | 7.105 | 69 | 21.855 | 6.384 | 70 | 23.216 | 5.684 | 71 | 24.64 | 5.003 |
| 72 | 26.129 | 4.339 | 73 | 27.685 | 3.69 | 74 | 29.31 | 3.054 | 75 | 31.006 | 2.429 |
| 76 | 32.775 | 1.813 | 77 | 34.619 | 1.204 | 78 | 36.54 | 0.6 | 79 | 38.54 | 0 |
| 80 | 40.621 | 1.2 | 81 | 42.785 | 1.804 | 82 | 45.034 | 2.413 | 83 | 47.37 | 3.029 |
| 84 | 49.795 | 3.654 | 85 | 52.311 | 4.29 | 86 | 54.92 | 4.939 | 87 | 57.624 | 5.603 |
| 88 | 60.425 | 6.284 | 89 | 63.325 | 6.984 | 90 | 66.326 | 7.705 | 91 | 69.43 | 8.449 |
| 92 | 72.639 | 9.218 | 93 | 75.955 | 10.014 | 94 | 79.38 | 10.839 | 95 | 82.916 | 11.695 |
| 96 | 86.565 | 12.584 | 97 | 90.329 | 13.508 | 98 | 94.21 | 14.469 | 99 | 98.21 | 15.469 |
| 100 | 102.331 | 16.51 | 101 | 106.575 | 17.594 | 102 | 110.944 | 18.723 | 103 | 115.44 | 19.899 |
| 104 | 120.065 | 21.124 | 105 | 124.821 | 22.4 | 106 | 129.71 | 23.729 | 107 | 134.734 | 25.113 |
| 108 | 139.895 | 26.554 | 109 | 145.195 | 28.054 | 110 | 150.636 | 29.615 | 111 | 156.22 | 31.239 |
| 112 | 161.949 | 32.928 | 113 | 167.825 | 34.684 | 114 | 173.85 | 36.509 | 115 | 180.026 | 38.405 |
| 116 | 186.355 | 40.374 | 117 | 192.839 | 42.418 | 118 | 199.48 | 44.539 | 119 | 206.28 | 46.739 |
| 120 | 213.241 | 49.02 | 121 | 220.365 | 51.384 | 122 | 227.654 | 53.833 | 123 | 235.11 | 56.369 |
| 124 | 242.735 | 58.994 | 125 | 250.531 | 61.71 | 126 | 258.5 | 64.519 | 127 | 266.644 | 67.423 |
References
- Catherine, C.; McGeoch, C.C. Adiabatic Quantum Computation and Quantum Annealing: Theory and Practice; Morgan and Claypool: San Rafael, CA, USA, 2014. [Google Scholar]
- Farhi, E.; Goldstone, J.; Gutman, S.; Sipser, M. Quantum computation by adiabatic evolution. arXiv, 2000; arXiv:quant-ph/0001106. [Google Scholar]
- von Lücken, C.; Barán, B.; Brizuela, C. A survey on multi-objective evolutionary algorithms for many-objective problems. Comput. Optim. Appl. 2014, 58, 707–756. [Google Scholar] [CrossRef]
- Venegas-Andraca, S.; Cruz-Santos, W.; McGeoch, C.; Lanzagorta, M. A cross-disciplinary introduction to quantum annealing-based algorithms. Contemp. Phys. 2018, 59, 174–197. [Google Scholar] [CrossRef]
- Grover, L. A fast quantum mechanical algorithm for database search. In Proceedings of the 28th Annual ACM Symposium on the Theory of Computing (STOC), Philadelphia, PA, USA, 22–24 May 1996; pp. 212–219. [Google Scholar]
- Baritompa, W.P.; Bulger, D.W.; Wood, G.R. Grover’s quantum algorithm applied to global optimization. SIAM J. Optim. 2005, 15, 11701184. [Google Scholar] [CrossRef]
- Alanis, D.; Botsinis, P.; Xin Ng, S.; Lajos Hanzo, L. Quantum-Assisted Routing Optimization for Self-Organizing Networks. IEEE Access 2014, 2, 614–632. [Google Scholar] [CrossRef]
- Fogel, G.; Barán, B.; Villagra, M. Comparison of two types of Quantum Oracles based on Grover’s Adaptative Search Algorithm for Multiobjective Optimization Problems. In Proceedings of the 10th International Workshop on Computational Optimization (WCO), Federated Conference in Computer Science and Information Systems (FedCSIS), ACSIS, Prague, Czech Republic, 3–6 September 2017; Volume 11, pp. 421–428. [Google Scholar]
- Das, A.; Chakrabarti, B.K. Quantum annealing and quantum computation. Rev. Mod. Phys. 2008, 80, 1061. [Google Scholar] [CrossRef]
- Barán, B.; Villagra, M. Multiobjective optimization in a quantum adiabatic computer. Electr. Notes Theor. Comput. Sci. 2016, 329, 27–38. [Google Scholar] [CrossRef]
- Kung, H.T.; Luccio, F.; Preparata, F.P. On finding the maxima of a set of vectors. J. ACM 1975, 22, 469–476. [Google Scholar] [CrossRef]
- Papadimitriou, C.; Yannakakis, M. On the approximability of trade-offs and optimal access of web sources. In Proceedings of the 41st Annual Symposium on Foundations of Computer Science (FOCS), Washington, DC, USA, 12–14 November 2000; pp. 86–92. [Google Scholar]
- Ehrgott, M.; Gandibleux, X. A survey and annotated bibliography of multiobjective combinatorial optimization. OR Spektrum 2000, 22, 425–460. [Google Scholar] [CrossRef]
- Ambainis, A.; Regev, O. An elementary proof of the quantum adiabatic theorem. arXiv, 2004; arXiv:quant-ph/0411152. [Google Scholar]
- Wim van Dam, W.; Mosca, M.; Vazirani, U. How powerful is adiabatic quantum computation? In Proceedings of the 42nd IEEE Symposium on Foundations of Computer Science (FOCS), Las Vegas, NV, USA, 14–17 October 2001; pp. 279–287. [Google Scholar]
- Cubitt, T.; Perez-Garcia, D.; Wolf, M. Undecidability of the Spectral Gap. Nature 2015, 528, 207–211. [Google Scholar] [CrossRef] [PubMed]
- Biamonte, J.; Witteck, P.; Pancotti, N.; Rebentrost, P.; Wiebe, N.; Lloyd, S. Quantum machine learning. Nature 2017, 549, 195–202. [Google Scholar] [CrossRef] [PubMed]




© 2019 by the authors. Licensee MDPI, Basel, Switzerland. This article is an open access article distributed under the terms and conditions of the Creative Commons Attribution (CC BY) license (http://creativecommons.org/licenses/by/4.0/).
Share and Cite
Barán, B.; Villagra, M. A Quantum Adiabatic Algorithm for Multiobjective Combinatorial Optimization. Axioms 2019, 8, 32. https://doi.org/10.3390/axioms8010032
Barán B, Villagra M. A Quantum Adiabatic Algorithm for Multiobjective Combinatorial Optimization. Axioms. 2019; 8(1):32. https://doi.org/10.3390/axioms8010032
Chicago/Turabian StyleBarán, Benjamín, and Marcos Villagra. 2019. "A Quantum Adiabatic Algorithm for Multiobjective Combinatorial Optimization" Axioms 8, no. 1: 32. https://doi.org/10.3390/axioms8010032
APA StyleBarán, B., & Villagra, M. (2019). A Quantum Adiabatic Algorithm for Multiobjective Combinatorial Optimization. Axioms, 8(1), 32. https://doi.org/10.3390/axioms8010032

