Dynamical Analysis of a Caputo Fractional-Order Modified Brusselator Model: Stability, Chaos, and 0-1 Test
Abstract
1. Introduction
2. Model Description
3. Discretization Process Using the Caputo Fractional Derivative
- Step 1: For , we have . Thus, the system becomesSystem (6) is simplified to
- Step 2: For , we have . Then, the system becomesThe solution to this system is
- Step 3: For , we have . The system is given byThe solution to this system is given by
- Generalization: After n iterations, the system can be written aswhere for .
- Final Discretized System: As , the discretized version of System (5) becomes
4. Local Stability of the Fixed Point of System (7)
- 1.
- If and , it is a sink point and locally asymptotically stable;
- 2.
- If and , it is a source point and locally unstable;
- 3.
- If and or ( and ), it is a saddle point;
- 4.
- If or , it is non-hyperbolic.
- 1.
- and if and only if and .
- 2.
- and if and only if and .
- 3.
- and (or and ) if and only if .
- 4.
- and if and only if and .
- 5.
- and are complex numbers and if and only if and .
- 1.
- If any one of the following conditions holds, then is locally asymptotically stable (i.e., a sink):
- i
- and
- ii
- and
- 2.
- If any one of the following conditions holds, then is unstable (i.e., a source):
- i
- and
- ii
- and
- 3.
- The fixed point is unstable (i.e., a saddle point) if
- 4.
- The fixed point is non-hyperbolic if one of the following conditions holds:
- i
- and
- ii
- and and
- This completes the proof. □
- i
- Via a period-doubling bifurcation if
- ii
- Via a Neimark–Sacker bifurcation if
5. Period-Doubling Bifurcation Analysis of the Fixed Point
- (H1)
- Eigenvalue Criterion: , , and . Furthermore, for all when n is even or when n is odd.
- (H2)
- Transversality Condition:where denotes the derivative of evaluated at .
6. Neimark–Sacker Bifurcation Analysis of the Fixed Point
7. Controlling the Chaos
8. Numerical Simulations
9. 0-1 Test Algorithm
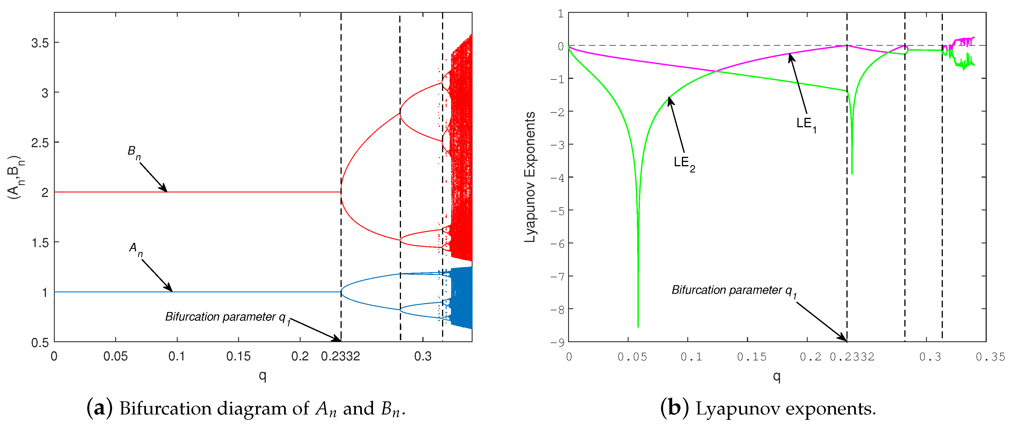
10. Results and Discussion
11. Conclusions
Author Contributions
Funding
Data Availability Statement
Conflicts of Interest
References
- Asheghi, R. Stability and Hopf bifurcation analysis of a reduced Gierer-Meinhardt model. Int. J. Bifurc. Chaos 2021, 31, 2150149. [Google Scholar] [CrossRef]
- Chen, M.X.; Wang, T. Qualitative analysis and Hopf bifurcation of a generalized Lengyel-Epstein model. J. Math. Chem. 2023, 61, 166–192. [Google Scholar] [CrossRef]
- Wong, T.; Ward, M.J. Spot patterns in the 2-D Schnakenberg model with localized heterogeneities. Stud. Appl. Math. 2021, 146, 779–833. [Google Scholar] [CrossRef]
- Xu, C.; Mu, D.; Liu, Z.; Pang, Y.; Aouiti, C.; Tunc, O.; Ahmad, S.; Zeb, A. Bifurcation dynamics and control mechanism of a fractional–order delayed Brusselator chemical reaction model. Match 2023, 89, 73–106. [Google Scholar] [CrossRef]
- Xu, C.; Zhang, W.; Aouiti, C.; Liu, Z.; Li, P.; Yao, L. Bifurcation dynamics in a fractional-order Oregonator model including time delay. MATCH Commun. Math. Comput. Chem 2022, 87, 397–414. [Google Scholar] [CrossRef]
- Din, Q. Dynamics and Hopf bifurcation of a chaotic chemical reaction model. MATCH Commun. Math. Comput. Chem 2022, 88, 351–369. [Google Scholar] [CrossRef]
- Din, Q.; Haider, K. Discretization, bifurcation analysis and chaos control for Schnakenberg model. J. Math. Chem. 2020, 58, 1615–1649. [Google Scholar] [CrossRef]
- Kol’tsov, N. Chaotic oscillations in four-step chemical reaction. Russ. J. Phys. Chem. B 2017, 11, 1047–1048. [Google Scholar] [CrossRef]
- Monwanou, A.V.; Koukpémèdji, A.; Ainamon, C.; Nwagoum Tuwa, P.; Miwadinou, C.; Chabi Orou, J. Nonlinear Dynamics in a Chemical Reaction under an Amplitude-Modulated Excitation: Hysteresis, Vibrational Resonance, Multistability, and Chaos. Complexity 2020, 2020, 8823458. [Google Scholar] [CrossRef]
- Bodale, I.; Oancea, V.A. Chaos control for Willamowski–Rössler model of chemical reactions. Chaos Solitons Fractals 2015, 78, 1–9. [Google Scholar] [CrossRef]
- Binous, H.; Bellagi, A. Introducing nonlinear dynamics to chemical and biochemical engineering graduate students using MATHEMATICA©. Comput. Appl. Eng. Educ. 2019, 27, 217–235. [Google Scholar] [CrossRef]
- Aruna, K.; Okposo, N.I.; Raghavendar, K.; Inc, M. Analytical solutions for the Noyes Field model of the time fractional Belousov Zhabotinsky reaction using a hybrid integral transform technique. Sci. Rep. 2024, 14, 25015. [Google Scholar] [CrossRef]
- Chi, Z. Analytical and numerical computation of self-oscillating gels driven by the Belousov-Zhabotinsky reaction. Phys. Scr. 2024, 99, 025229. [Google Scholar] [CrossRef]
- Karimov, A.; Kopets, E.; Karimov, T.; Almjasheva, O.; Arlyapov, V.; Butusov, D. Empirically developed model of the stirring-controlled Belousov–Zhabotinsky reaction. Chaos Solitons Fractals 2023, 176, 114149. [Google Scholar] [CrossRef]
- Prigogine, I.; Lefever, R. Symmetry breaking instabilities in dissipative systems. II. J. Chem. Phys. 1968, 48, 1695–1700. [Google Scholar] [CrossRef]
- Chen, M. Hopf Bifurcation and Self–Organization Pattern of a Modified Brusselator Model. MATCH Commun. Math. Comput. Chem. 2023, 90, 581–607. [Google Scholar] [CrossRef]
- Khan, M.A.; Khan, M.S.; Din, Q.; Abdelfattah, W. Codimension-one and codimension-two bifurcations of a modified Brusselator model. Int. J. Dyn. Control 2025, 13, 1–20. [Google Scholar] [CrossRef]
- Strogatz, S.H. Nonlinear Dynamics and Chaos: With Applications to Physics, Biology, Chemistry, and Engineering; Chapman and Hall/CRC: Boca Raton, FL, USA, 2024. [Google Scholar]
- Berkal, M.; Almatrafi, M.B. Bifurcation and Stability of Two-Dimensional Activator–Inhibitor Model with Fractional-Order Derivative. Fractal Fract. 2023, 7, 344. [Google Scholar] [CrossRef]
- Liu, Y.; Li, X. Dynamics of a discrete predator-prey model with Holling-II functional response. Int. J. Biomath. 2021, 14, 2150068. [Google Scholar] [CrossRef]
- Yousef, A.; Rida, S.; Gouda, Y.G.; Zaki, A. Dynamical behaviors of a fractional-order predator–prey model with Holling type iv functional response and its discretization. Int. J. Nonlinear Sci. Numer. Simul. 2019, 20, 125–136. [Google Scholar] [CrossRef]
- Almatrafi, M.B.; Berkal, M. Bifurcation analysis and chaos control for fractional predator-prey model with Gompertz growth of prey population. Mod. Phys. Lett. B 2024, 39, 2550103. [Google Scholar] [CrossRef]
- Berkal, M.; Navarro, J.F.; Hamada, M.; Semmar, B. Qualitative behavior for a discretized conformable fractional-order predator–prey model. J. Appl. Math. Comput. 2025, 71, 4815–4837. [Google Scholar] [CrossRef]
- Almatrafi, M.B.; Berkal, M.; Hamada, M.Y. Qualitative Behavior of a Discrete-Time Predator–Prey Model With Holling-Type III Functional Response and Gompertz Growth of Prey. Math. Meth. Appl. Sci. 2025, 2013, 13100–13112. [Google Scholar] [CrossRef]
- Berkal, M.; Navarro, J.F. Qualitative behavior of a two-dimensional discrete-time prey–predator model. Comput. Math. Methods 2021, 3, e1193. [Google Scholar] [CrossRef]
- Liu, X.; Xiao, D. Complex dynamic behaviors of a discrete-time predator–prey system. Chaos Solitons Fractals 2007, 32, 80–94. [Google Scholar] [CrossRef]
- Din, Q. Bifurcation analysis and chaos control in discrete-time glycolysis models. J. Math. Chem. 2018, 56, 904–931. [Google Scholar] [CrossRef]
- Din, Q.; Elsadany, A.; Ibrahim, S. Bifurcation analysis and chaos control in a second-order rational difference equation. Int. J. Nonlinear Sci. Numer. Simul. 2018, 19, 53–68. [Google Scholar] [CrossRef]
- Almatrafi, M.; Berkal, M. Bifurcation analysis and chaos control for prey-predator model with Allee effect. Int. J. Anal. Appl. 2023, 21, 131. [Google Scholar] [CrossRef]
- Ma, R.; Bai, Y.; Wang, F. Dynamical behavior analysis of a two-dimensional discrete predator-prey model with prey refuge and fear factor. J. Appl. Anal. Comput. 2020, 10, 1683–1697. [Google Scholar] [CrossRef]
- Mukherjee, D. Dynamics of a discrete-time ecogenetic predator-prey model. Commun. Biomath. Sci. 2022, 5, 161–169. [Google Scholar] [CrossRef]
- Berkal, M.; Navarro, J.F. Qualitative behavior of a chemical reaction system with fractional derivatives. Rocky Mt. J. Math. 2025, 55, 11–24. [Google Scholar] [CrossRef]
- Berkal, M.; Navarro, J.F. Dynamics of a discrete-time predator-prey system with ratio-dependent functional response. Miskolc Math. Notes 2025, 26, 81–99. [Google Scholar] [CrossRef]
- Kartal, S.; Gurcan, F. Discretization of conformable fractional differential equations by a piecewise constant approximation. Int. J. Comput. Math. 2019, 96, 1849–1860. [Google Scholar] [CrossRef]
- Din, Q.; Zulfiqar, M.A. Qualitative behavior of a discrete predator–prey system under fear effects. Z. Naturforschung A 2022, 77, 1023–1043. [Google Scholar] [CrossRef]
- Elaydi, S.N.; Elaydi, S.N. Systems of Difference Equations. In An Introduction to Difference Equations; Springer: New York, NY, USA, 1996; pp. 113–162. [Google Scholar]
- Gümüş, O.A.; Selvam, A.G.M.; Janagaraj, R. Neimark–Sacker bifurcation and control of chaotic behavior in a discrete-time plant-herbivore system. J. Sci. Arts 2022, 22, 549–562. [Google Scholar] [CrossRef]
- Chen, G.; Dong, X. From Chaos to Order: Methodologies, Perspectives and Applications; World Scientific: Singapore, 1998; Volume 24. [Google Scholar]
- Gottwald, G.A.; Melbourne, I. A new test for chaos in deterministic systems. Proc. R. Soc. London. Ser. A Math. Phys. Eng. Sci. 2004, 460, 603–611. [Google Scholar] [CrossRef]
- Martinovič, T. Alternative approaches of evaluating the 0-1 test for chaos. Int. J. Comput. Math. 2020, 97, 508–521. [Google Scholar] [CrossRef]
- Terry-Jack, M.; O’Keefe, S. Classifying 1D elementary cellular automata with the 0-1 test for chaos. Phys. D Nonlinear Phenom. 2023, 453, 133786. [Google Scholar] [CrossRef]
- Xin, B.; Li, Y. 0-1 Test for Chaos in a Fractional Order Financial System with Investment Incentive. Abstr. Appl. Anal. 2013, 2013, 876298. [Google Scholar] [CrossRef]











Disclaimer/Publisher’s Note: The statements, opinions and data contained in all publications are solely those of the individual author(s) and contributor(s) and not of MDPI and/or the editor(s). MDPI and/or the editor(s) disclaim responsibility for any injury to people or property resulting from any ideas, methods, instructions or products referred to in the content. |
© 2025 by the authors. Licensee MDPI, Basel, Switzerland. This article is an open access article distributed under the terms and conditions of the Creative Commons Attribution (CC BY) license (https://creativecommons.org/licenses/by/4.0/).
Share and Cite
Berkal, M.; Almatrafi, M.B. Dynamical Analysis of a Caputo Fractional-Order Modified Brusselator Model: Stability, Chaos, and 0-1 Test. Axioms 2025, 14, 677. https://doi.org/10.3390/axioms14090677
Berkal M, Almatrafi MB. Dynamical Analysis of a Caputo Fractional-Order Modified Brusselator Model: Stability, Chaos, and 0-1 Test. Axioms. 2025; 14(9):677. https://doi.org/10.3390/axioms14090677
Chicago/Turabian StyleBerkal, Messaoud, and Mohammed Bakheet Almatrafi. 2025. "Dynamical Analysis of a Caputo Fractional-Order Modified Brusselator Model: Stability, Chaos, and 0-1 Test" Axioms 14, no. 9: 677. https://doi.org/10.3390/axioms14090677
APA StyleBerkal, M., & Almatrafi, M. B. (2025). Dynamical Analysis of a Caputo Fractional-Order Modified Brusselator Model: Stability, Chaos, and 0-1 Test. Axioms, 14(9), 677. https://doi.org/10.3390/axioms14090677
