New Estimates of the q-Hermite–Hadamard Inequalities via Strong Convexity
Abstract
1. Introduction
2. Preliminaries
3. q-Trapezoidal Inequalities
4. q-Midpoint Inequalities
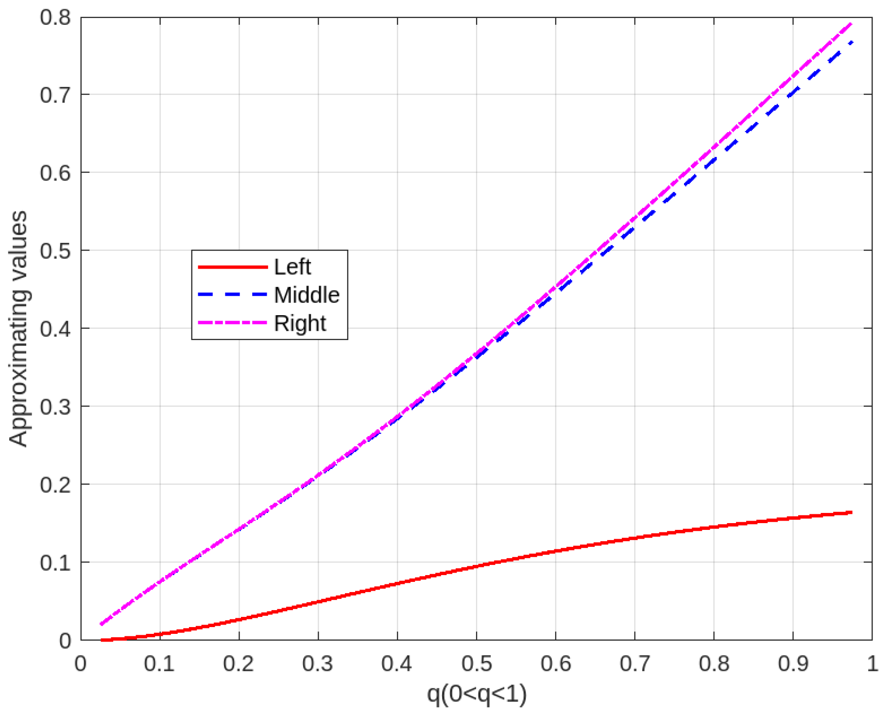
5. Numerical Examples
6. Conclusions
Author Contributions
Funding
Data Availability Statement
Acknowledgments
Conflicts of Interest
References
- Polyak, B.T. Existence theorems and convergence of minimizing sequences in extremum problems with restictions. Sov. Math. Dokl. 1966, 7, 72–75. [Google Scholar]
- Merentes, N.; Nikodem, K. Remarks on strongly convex functions. Aequat. Math. 2010, 80, 193–199. [Google Scholar] [CrossRef]
- Nikodem, K.; Pales, Z. Characterizations of inner product spaces be strongly convex functions. Banach J. Math. Anal. 2011, 5, 83–87. [Google Scholar] [CrossRef]
- Angulo, H.; Gimenez, J.; Moros, A.M.; Nikodem, K. On strongly h-convex functions. Ann. Funct. Anal. 2011, 2, 85–91. [Google Scholar] [CrossRef]
- Sarikaya, M.Z. On Hermite-Hadamard type inequalities for strongly φ-convex functions. Southeast Asian Bull. Math. 2015, 39, 123–132. [Google Scholar]
- Hermite, C. Sur deux limites ddune integrale definie. Mathesis 1883, 3, 1–82. [Google Scholar]
- Hadamard, J. Étude sur les propriétés des fonctions entières et en particulier d’une fonction considérée par riemann. J. Math. Pures Appl. 1893, 9, 171–215. [Google Scholar]
- Dragomir, S.S.; Pearce, C. Selected Topics on Hermite-Hadamard Inequalities and Applications; Science Direct Working Paper; Elsevier: Amsterdam, The Netherlands, 2003. [Google Scholar]
- Alp, N.; Sarikaya, M.Z.; Kunt, M.; İşcan, İ. q-Hermite Hadamard inequalities and quantum estimates for midpoint type inequalities via convex and quasi-convex functions. J. King Saud Univ. Sci. 2018, 30, 193–203. [Google Scholar] [CrossRef]
- Bermudo, S.; Kórus, P.; Nápoles Valdés, J.E. On q-Hermite–Hadamard inequalities for general convex functions. Acta Math. Hungar. 2020, 162, 364–374. [Google Scholar] [CrossRef]
- Ali, M.A.; Alp, N.; Budak, H.; Chu, Y.-M.; Zhang, Z. On some new quantum midpoint-type inequalities for twice quantum differentiable convex functions. Open Math. 2021, 19, 427–439. [Google Scholar] [CrossRef]
- Ali, M.A.; Budak, H.; Abbas, M.; Chu, Y.-M. Quantum Hermite–Hadamard-type inequalities for functions with convex absolute values of second qb-derivatives. Adv. Differ. Equ. 2021, 2021, 7. [Google Scholar] [CrossRef]
- Alp, N.; Sarikaya, M.Z. Hermite–Hadamard’s type inequalities for co-ordinated convex functions on quantum integral. Appl. Math. E-Notes 2020, 20, 341–356. [Google Scholar]
- Budak, H.; Ali, M.A.; Tarhanaci, M. Some new quantum Hermite–Hadamard-like inequalities for coordinated convex functions. J. Optim. Theory Appl. 2020, 186, 899–910. [Google Scholar] [CrossRef]
- Ding, Y.; Kalsoom, H.; Wu, S. Some new quantum Hermite–Hadamard-type estimates within a class of generalized (s, m)-preinvex functions. Symmetry 2019, 11, 1283. [Google Scholar] [CrossRef]
- Jhanthanam, S.; Tariboon, J.; Ntouyas, S.K.; Nonlaopon, N. On q-Hermite–Hadamard inequalities for differentiable convex functions. Mathematics 2019, 7, 632. [Google Scholar] [CrossRef]
- Liu, W.; Hefeng, Z. Some quantum estimates of Hermite–Hadamard inequalities for convex functions. J. Appl. Anal. Comput. 2016, 7, 501–522. [Google Scholar]
- Noor, M.A.; Noor, K.I.; Awan, M.U. Some quantum estimates for Hermite–Hadamard inequalities. Appl. Math. Comput. 2015, 251, 675–679. [Google Scholar] [CrossRef]
- Ali, M.A.; Budak, H.; Fe<i>c</i>ˇkan, M.; Khan, S. A new version of q-Hermite–Hadamard’s midpoint and trapezoid type inequalities for convex functions. Math. Slovaca 2023, 73, 369–386. [Google Scholar] [CrossRef]
- Sitthiwirattham, T.; Ali, M.A.; Ali, A.; Budak, H. A new q-Hermite-Hadamard’s inequality and estimates for midpoint type inequalities for convex functions. Miskolc Math. Notes 2023, 24, 1555–1567. [Google Scholar] [CrossRef]
- Chasreechai, S.; Ali, M.A.; Ashraf, M.A.; Sitthiwirattham, T.; Etemad, S.; Sen, M.D.L.; Rezapour, S. On new estimates of q-Hermite–Hadamard inequalities with applications in quantum calculus. Axioms 2023, 12, 49. [Google Scholar] [CrossRef]
- Noor, M.A.; Noor, K.I.; Awan, M.U. Some quantum integral inequalities via preinvex functions. Appl. Math. Comput. 2015, 269, 242–251. [Google Scholar] [CrossRef]
- Ciurdariu, L.; Grecu, E. Several Quantum Hermite–Hadamard-Type Integral Inequalities for Convex Functions. Fractal Fract. 2023, 7, 463. [Google Scholar] [CrossRef]
- Butt, S.I.; Aftab, M.N.; Nabwey, H.A.; Etemad, S. Some Hermite-Hadamard and midpoint type inequalities in symmetric quantum calculus. AIMS Math. 2024, 9, 5523–5549. [Google Scholar] [CrossRef]
- Cardoso, J.L.; Shehata, E.M. Hermite-Hadamard inequalities for quantum integrals: A unified approach. Appl. Math. Comput. 2024, 463, 128345. [Google Scholar] [CrossRef]
- Sahatsathatsana, C.; Nonlaopon, K. On Hermite-Hadamard and Ostrowski type inequalities for strongly convex functions via quantum calculus with applications. J. Math. Comput. SCI-JM 2025, 36, 35–51. [Google Scholar] [CrossRef]
- Sahatsathatsana, C.; Yotkaew, P. On the extension of q-Hermite-Hadamard inequalities for strong convexity. Eur. J. Pure Appl. Math. 2025, 18, 5661. [Google Scholar] [CrossRef]
- Jackson, F.H. On a q-definite integrals. Q. J. Pure Appl. Math. 1910, 4, 193–203. [Google Scholar]
- Jackson, F.H. q-difference equations. Am. J. Math. 1910, 32, 305–314. [Google Scholar] [CrossRef]
- Kac, V.G.; Cheung, P. Quantum Calculus; Spinger: New York, NY, USA, 2000. [Google Scholar]
- Ernst, T. A Comprehensive Treatment of q-Calculus; Springer: Basel, Switzerland, 2012. [Google Scholar] [CrossRef]
- Ernst, T. A method for q-calculus. J. Nonlinear Math. Phys. 2003, 10, 487–525. [Google Scholar] [CrossRef]
- Tariboon, J.; Ntouyas, S.K. Quantum calculus on finite intervals and applications to impulsive difference equations. Adv. Differ. Equ. 2013, 2013, 282. [Google Scholar] [CrossRef]
- Tariboon, J.; Ntouyas, S.K. Quantum integral inequalities on finite intervals. J. Inequal. Appl. 2014, 2014, 121. [Google Scholar] [CrossRef]
- Anastassiou, G.A. Intelligent Mathematics: Computational Analysis; Springer: New York, NY, USA, 2011. [Google Scholar]





Disclaimer/Publisher’s Note: The statements, opinions and data contained in all publications are solely those of the individual author(s) and contributor(s) and not of MDPI and/or the editor(s). MDPI and/or the editor(s) disclaim responsibility for any injury to people or property resulting from any ideas, methods, instructions or products referred to in the content. |
© 2025 by the authors. Licensee MDPI, Basel, Switzerland. This article is an open access article distributed under the terms and conditions of the Creative Commons Attribution (CC BY) license (https://creativecommons.org/licenses/by/4.0/).
Share and Cite
Sahatsathatsana, C.; Yotkaew, P. New Estimates of the q-Hermite–Hadamard Inequalities via Strong Convexity. Axioms 2025, 14, 576. https://doi.org/10.3390/axioms14080576
Sahatsathatsana C, Yotkaew P. New Estimates of the q-Hermite–Hadamard Inequalities via Strong Convexity. Axioms. 2025; 14(8):576. https://doi.org/10.3390/axioms14080576
Chicago/Turabian StyleSahatsathatsana, Chanokgan, and Pongsakorn Yotkaew. 2025. "New Estimates of the q-Hermite–Hadamard Inequalities via Strong Convexity" Axioms 14, no. 8: 576. https://doi.org/10.3390/axioms14080576
APA StyleSahatsathatsana, C., & Yotkaew, P. (2025). New Estimates of the q-Hermite–Hadamard Inequalities via Strong Convexity. Axioms, 14(8), 576. https://doi.org/10.3390/axioms14080576

