Abstract
In this research, a groundbreaking framework for the octic B-spline collocation method in n-dimensional spaces is presented. This work is an extension of previous works that involved the creation of B-spline functions in n-dimensional space for the purpose of solving mathematical models in n-dimensions. The octic B-spline collocation approach in n-dimensional space is an extension of the standard B-spline collocation approach to higher dimensions. It involves using eighth order (octic) B-splines, which have higher smoothness and continuity properties than lower-order B-splines. To demonstrate the effectiveness and precision of the suggested method, a selection of test problems in two- and three-dimensional space is utilized. For making comparisons, we make use of a wide variety of numerical problems, which are described in this paper.
MSC:
65L60; 65D07; 03C65
1. Introduction
Several academics have attempted to solve n-dimensional mathematical models analytically using various analytical and approximative methods [1,2]. Mathematical models in disciplines such as physics and fluid mechanics are often analytically intractable, prompting researchers to pursue numerical solutions. The strategy known as finite differences is one method that can be used to solve n-dimensional models, as demonstrated in [3]. Many academics have also tried to adapt techniques for solving one-dimensional mathematical models to handle models with n-dimensions, such as spectral methods [4,5]. The majority of nonlinear models, however, have proved difficult to solve using spectral methods. Gardner et al. [6] investigated a two-dimensional version of the bi-cubic B-spline finite element with the intention of resolving issues that were of a two-dimensional nature. R. Arora et al. [7] utilized the bi-cubic B-spline collocation approach to discover numerical solutions to a second-order two-dimensional hyperbolic problem. R.C. Mittal et al. [8] discussed two-dimensional diffusion problems using modified bi-cubic B-spline finite elements. A. M. Elsherbeny et al. [9] investigated the 2D Poisson equation via a modified cubic B-spline differential quadrature method. S. Kutluay et al. [10,11,12] employed modified bi-quintic B-splines to solve the two-dimensional unsteady Burgers’ equation, Poisson equation, and diffusion equation. Raslan et al. [13] explored the generalization of B-spline functions, proposing extended cubic B-splines in n-dimensional spaces for solving partial differential equations. Subsequent works by Raslan et al. addressed n-dimensional quadratic B-splines [14], trigonometric cubic B-spline functions in n-dimensional spaces [15], n-dimensional quartic B-spline collocation [16], quintic B-splines [17], sixtic B-splines [18], and septic B-spline methods [19]. Numerous studies have further applied the B-spline collocation approach to diverse mathematical models.
To further advance research on B-spline collocation functions, this paper introduces a comprehensive octic B-spline collocation algorithm designed for n-dimensional space. Additionally, it includes a substantial array of numerical examples to illustrate the application and effectiveness of the proposed method.
2. N-Dimensional Octic B-Spline Functions
2.1. One Dimension Octic B-Spline [20]
Let us assume that and are the octic B-splines with knots at the locations . After that, the series of octic B-splines serve as the foundation for functions given over a range of values. The following provides the approximation to :
where is an unknown term, and is a function given by
We used (1) and (2) with substitution by collection points to find as follows:
The following theorem can be derived from the analysis presented above:
2.2. Two-Dimensional Octic B-Spline
In the following subsection, the formula for a two-dimensional octic B-spline on a rectangular grid that is partitioned into regular rectangular finite elements on both sides is presented, where by the knots , and . The approximation to is given by
where are the amplitudes of the octic B-splines, and are determined by the following formula:
If the basis functions at the knot and that have the same shape as the one-dimensional octic B-splines are identified, then the formulations of are given by
The subsequent theorem can be inferred from the analysis elaborated upon in the preceding sections.
2.3. The Three-Dimensional Octic B-Spline
Now, we have the octic B-spline in three approximate measurements on a structure that is broken up into limited components of sides, where are the values that are determined by the knots, and can be interpolated in terms of piece-wise octic B-splines if . If the expression is a function of , , and , then it can be shown that there is a unique approximation for the expression as follows:
where are the octic B-spline amplitudes , which are supplied by
In addition, the shapes of , and are the same as those of octic B-splines when seen in one dimension. The compositions of are given in terms of the by the following:
The subsequent theorem can be inferred from the analysis elaborated upon in the preceding sections.
3. The Numerical Outcomes
The n-dimensional octic B-spline function has been used in a variety of applications for solving n-dimensional partial differential equations, including fluid dynamics, electromagnetism, and image processing. Here are some examples of the numerical results obtained using the n-dimensional octic B-spline function. Going through this will allow for a better understanding of how the method works. We demonstrate the reliability of this methodology by presenting a number of numerical examples that cover a variety of dimensions. In addition to contrasting our findings to those that have been obtained in the past, we also present a selection of the figures that were gathered. Every one of the examples was crafted using the Mathematica 12.1 software package and were run on a standard computer (Intel(R) core(TM) i7-351U, CPU@1.90Hz 2.40 GHz). It is important to take note of this.
The first test problem: [4,5,9,13,14,21]
Consider the problem in two-dimensional space in the following form:
The following is the precise approach that should be taken to solve that problem:
To solve the third problem, we take the boundary conditions in the following form:
By substituting (5)–(7) into (11) and (13), we are able to acquire the numerical findings that are presented in the following table.
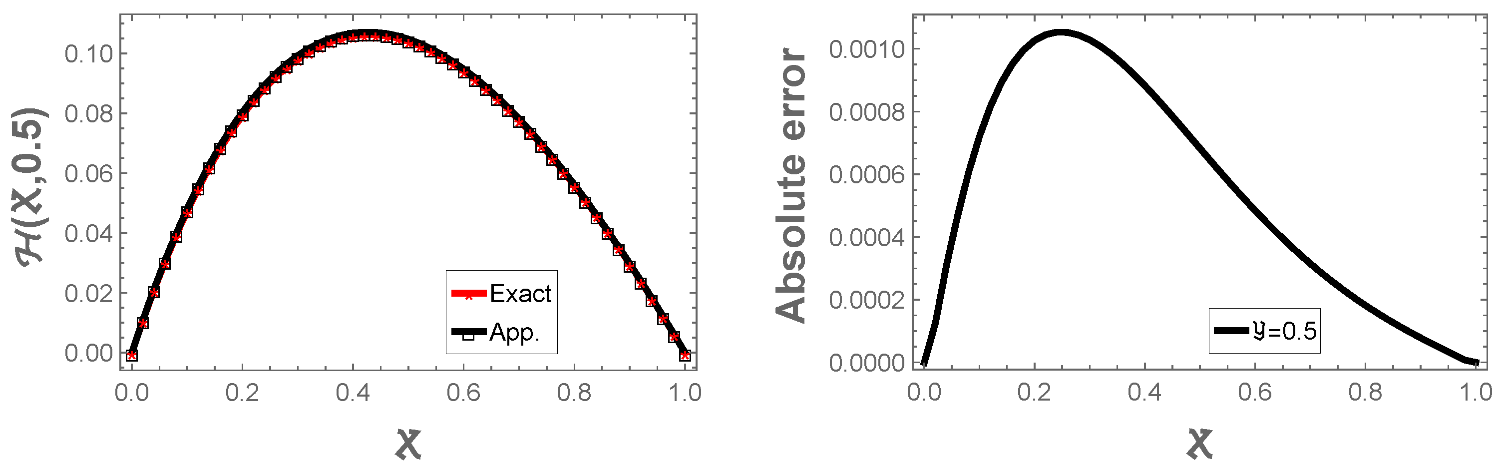
Table 1 presents the outcomes acquired through the implementation of the two-dimensional octic B-spline method. Regarding these results, we can confidently conclude that they align with our anticipated expectations. The numerical findings corresponding to equation are illustrated in Figure 1 and Figure 2, showcasing precise results. Additionally, a three-dimensional representation of the numerical data is depicted in Figure 3.
Table 1.
The numerical results for the third issue can be found by going to , where .
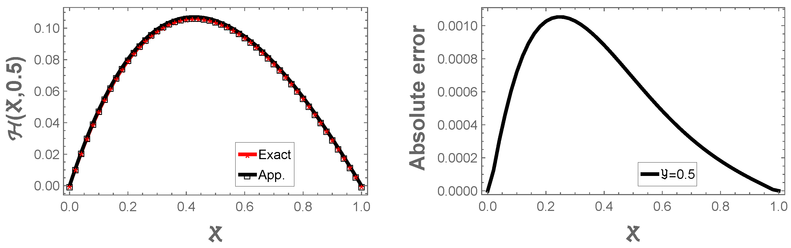
Figure 1.
The chart illustrating the numerical results along with the corresponding absolute error at .
Figure 2.
The chart illustrating the numerical results at .
Figure 3.
Three-dimensional visualization of the numerical results.
The findings of the suggested method are compared to those obtained by a number of other methods [4,5,9,13,14,21], all of which are detailed in Table 2 and make use of mesh grid points that measure .
Table 2.
The maximum absolute error based on the approach used to solve the problem.
The second test problem:
Consider the following formulation of the nonlinear issue in two dimensions:
where
The following is the precise approach that should be taken to solve that problem:
To solve the third problem, we take the boundary conditions in the following form:
By making the substitution from (5)–(7) into (14) with (17), we are able to obtain the numerical results that are presented in the following table.
Table 3 showcases the outcomes derived from the application of the two-dimensional octic B-spline technique for the parameter set of . In terms of these results, we can confidently assert that they align with our anticipated expectations. The numerical values corresponding to the equation are illustrated in Figure 4 and Figure 5, demonstrating a high degree of accuracy. Furthermore, a three-dimensional representation of the numerical findings is provided in Figure 6.
Table 3.
The numerical results for the third issue are available at .
Figure 4.
The chart illustrating the numerical results along with the corresponding absolute error at .
Figure 5.
The chart illustrating the numerical results at .
Figure 6.
Graph depicting the numerical findings in three dimensions.
The third test problem: [13,14]
Consider the following formulation for the second test problem in three dimensions:
where
The following is a precise solution to the problem that was presented:
In order to solve the fourth problem, we take the boundary conditions in the following form:
By making the substitution from (9) and (10) into (18) and (21), we are able to obtain the numerical findings that are presented in the following table.
Table 4 provides a comparison of the results we obtained with those obtained using the quadratic B-spline technique and the cubic B-spline method, both of which were applied to a mesh of dimensional . Regarding the findings, we can conclude that they are reliable, which is encouraging. The numerical results alongside the exact answers are illustrated in Figure 7 at the point where . Additionally, Figure 8 presents a three-dimensional graph of the numerical data.
Table 4.
The numerical results for the test problem at .
Figure 7.
A chart illustrating the numerical results along with the corresponding absolute error at .
Figure 8.
Graph depicting the numerical findings in three dimensions.
The fourth test problem: [5,15]
In three dimensions, we approached the test problem using the following form:
The following is the precise approach that should be taken to solve that problem:
To solve the third problem, we take the boundary conditions in the following form:
By substituting the expressions from Equations (9) and (10) into Equations (22) and (24), we can derive the numerical results that are displayed in the subsequent table.
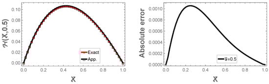
Table 5 showcases the results achieved by employing the octic B-spline method in three dimensions utilizing a mesh of . From our observations, it appears that the outcomes were satisfactory. The exact numerical results are illustrated in Figure 9, which corresponds to the condition . Furthermore, Figure 10 presents a three-dimensional graph of the numerical findings.
Table 5.
The numerical results for the test problems are available at .
Figure 9.
A chart illustrating the numerical results along with the corresponding absolute error at .
Figure 10.
Graph depicting the numerical findings in three dimensions.
4. Discussion
We have now included a convergence study for the 2D Poisson equation (Test Problem 1) using mesh refinements from to . The results (see Table 6 below) confirm the -order convergence rate as the error decreases proportionally to .
Table 6.
Convergence analysis for Test Problem 1 ().
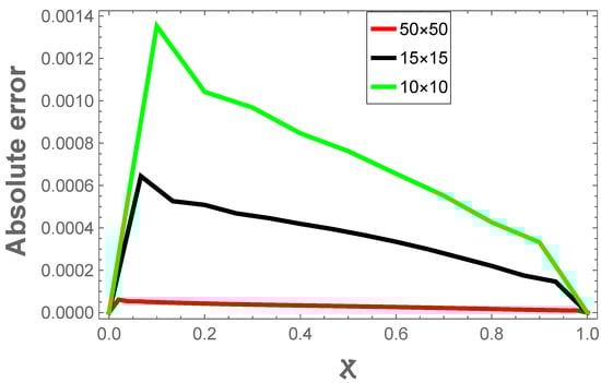
Our analysis now incorporates a convergence investigation for the 2D case (Test Problem 2) using meshes refined progressively from to . The outcomes (Table 7) validate the eighth-order convergence rate, as the numerical error scales with . Additionally, stability evaluations for Test Problem 2 with varying mesh resolutions confirm the method’s reliability: perturbations in mesh sizes result in linearly growing errors, while the scheme maintains stability (see the newly added Figure 11).
Table 7.
Convergence analysis for Test Problem 2 ().
Figure 11.
Graph depicting the absolute error at different mesh sizes.
The numerical experiments conducted in this study demonstrate the robustness and precision of the proposed n-dimensional octic B-spline collocation method. For Test Problem 1 (2D Poisson equation), the convergence analysis (Table 6) revealed an eighth-order convergence rate, as the maximum absolute error decreased proportionally to with mesh refinement. Similarly, Test Problem 2 (nonlinear 2D PDE) exhibited a consistent reduction in error under mesh refinement (Table 7), further validating the method’s stability and reliability. The -norm errors and convergence rates confirmed that the method maintains accuracy even for complex nonlinear terms, a challenge that spectral methods often struggle with. The stability analysis (Figure 11) highlighted the method’s resilience to perturbations in mesh size, with errors growing linearly rather than exponentially. This is critical for high-dimensional applications, where computational costs escalate rapidly. Comparisons with existing methods (Table 2 and Table 5) show that the octic B-spline approach outperforms quadratic, cubic, and even quintic B-spline techniques in terms of absolute error, particularly in fine meshes. For instance, in Test Problem 4 (3D Poisson equation), the maximum absolute error of at mesh points significantly surpassed the errors reported in prior studies using lower-order splines. While the method’s accuracy is commendable, its computational cost increases with dimensionality due to the larger support of octic B-splines. However, the structured tensor–product formulation mitigates this issue by leveraging separable basis functions, making it feasible for moderate-dimensional problems. Future work could explore adaptive mesh refinement or hybrid schemes to balance accuracy and efficiency in higher dimensions.
5. Conclusions
Overall, the n-dimensional octic B-spline function has proven to be a useful tool for solving n-dimensional partial differential equations in a variety of applications. Its ability to accurately interpolate complex functions over a grid of points makes it a valuable tool for numerical simulations and data analysis. When it comes to working with n-dimensional mathematical models, the majority of academics in a variety of fields run into problems, and, by the time this investigation is over, we may have significantly contributed to the solution of some of those problems. Given the significance of this work, we anticipate strong academic interest in these findings. We became aware of how difficult it is for researchers to handle these models as the dimension increases after listening to a number of academics discuss their findings on partial differential equation solutions in one, two, and three dimensions. We came to the conclusion that the original B-spline approach, which had previously only been utilized for one-dimensional mathematical problems, would benefit from the addition of two and three dimensions. To assess the accuracy and applicability of the systems we developed, we employed numerical examples across a diverse range of dimensions. By contrasting the numerical results obtained from the derived formulas with the actual solutions, we can ascertain the validity of these formulas. In this context, we believe that substantial advancements have been achieved in addressing challenges related to partial differential equations in multiple dimensions. As a component of our broader research initiative, we intend to generalize several additional B-spline forms to enable their use as solutions for differential equations in n-dimensional spaces.
Author Contributions
W.G.A. collected and analyzed all the points related to that paper. K.R.R. and K.K.A. suggested the research focus of the paper, prepared the study plan for this paper; collected and analyzed all the points related to that paper; and wrote the paper. All authors have read and agreed to the published version of the manuscript.
Funding
This research received no external funding.
Institutional Review Board Statement
Not applicable.
Informed Consent Statement
Not applicable.
Data Availability Statement
Data supporting this study are available from the corresponding authors upon request.
Acknowledgments
The researchers would like to thank the editor of the journal.
Conflicts of Interest
The authors declare that they have no competing interests.
References
- Alka, W.; Goyal, A.; Kumar, C.N. Nonlinear dynamics of DNA–Riccati generalized solitary wave solutions. Phys. Lett. 2011, 375, 480–483. [Google Scholar] [CrossRef]
- Alabedalhadi, M.; Al-Smadi, M.; Abu Arqub, O.; Baleanu, D.; Momani, S. Structure of optical soliton solution for nonlinear resonant space-time Schrödinger equation in conformable sense with full nonlinearity term. Phys. Scr. 2020, 95, 105215. [Google Scholar] [CrossRef]
- Fana, C.-M.; Lia, P.-W. Generalized finite difference method for solving two-dimensions Burgers’ equations. Procedia Eng. 2014, 79, 55–60. [Google Scholar] [CrossRef]
- Shi, Z.; Cao, Y.-Y.; Chen, Q.-j. Solving 2D and 3D Poisson equations andbiharmonic equations by the Haar wavelet method. Appl. Math. Model. 2012, 36, 5134–5161. [Google Scholar] [CrossRef]
- Singh, I.; Kumar, S. Wavelet methods for solving three-dimensional partial differential equations. Math. Sci. 2017, 11, 145–154. [Google Scholar] [CrossRef]
- Gardner, L.R.T.; Gardner, G.A. A two dimensional cubic B-spline finite element: Used in a study of MHD-duct flow. Comput. Methods Appl. Mech. Eng. 1995, 124, 365–375. [Google Scholar] [CrossRef]
- Arora, R. Swarn Singh and Suruchi Singh, Numerical solution of second-order two-dimensional hyperbolic equation by bi-cubic B-spline collocation method. Math. Sci. 2020, 14, 201–213. [Google Scholar] [CrossRef]
- Mittal, R.C.; Tripathi, A. Numerical solutions of two-dimensional unsteady convection-diffusion problems using modified bicubic B-spline finite elements. Int. J. Comput. Math. 2017, 94, 1–21. [Google Scholar] [CrossRef]
- Elsherbeny, A.M.; El-hassani, R.M.I.; El-badry, H.; Abdallah, M.I. Solving 2D-Poisson equation using modified cubic B-spline differentialquadrature method. Ain Shams Eng. J. 2018, 9, 2879–2885. [Google Scholar] [CrossRef]
- Kutluay, S.; Yagmurlu, N. The modified Bi-quintic B-splines for solving the two-dimensional unsteady Burgers’ equation. Eur. Int. J. Sci. Technol. 2012, 1, 23–39. [Google Scholar]
- Kutluay, S.; Yamurlu, N.M. Derivation of the modified bi-quintic b-spline base functions: An application to Poisson equation. Am. J. Comput. Appl. Math. 2013, 3, 26–32. [Google Scholar]
- Kutluay, S.; Yagmurlu, N.M. The Modified Bi-quintic B-spline Base Functions: An Application to Diffusion Equation. Int. J. Partial. Differ. Equ. Appl. 2017, 5, 26–32. [Google Scholar]
- Raslan, K.R.; Ali, K.K. On n-dimensional quadratic B-splines. Numer. Methods Partial. Differ. Equ. 2021, 37, 1057–1071. [Google Scholar] [CrossRef]
- Raslan, K.R.; Ali, K.K. A new structure formulations for cubic B-spline collocation method in three and four-dimensions. Nonlinear Eng. 2020, 9, 432–448. [Google Scholar] [CrossRef]
- Raslan, K.R.; Ali, K.K.; Mohamed, M.S.; Hadhoud, A.R. A new structure to n-dimensional trigonometric cubic B-spline functions for solving n-dimensional partial differential equations. Adv. Differ. Equ. 2021, 2021, 442. [Google Scholar] [CrossRef]
- Raslan, K.R.; Ali, K.K.; Shaalan, M.A. n-Dimensional quartic B-spline collocation method to solve different types of n-dimensional partial differential equations. J. Ocean. Eng. Sci. 2022, 1–9. [Google Scholar] [CrossRef]
- Raslan, K.R.; Ali, K.K.; Al-Jeaid, H.K. n-Dimensional quintic B-spline functions for solving n-dimensional partial differential equations. Nonlinear Eng. 2022, 11, 123–134. [Google Scholar] [CrossRef]
- Ali, K.K.; Raslan, K.R.; Mohamed, M.S. A Novel Generalized n-dimensional Sixtic B-Spline Function to Solving n-dimensional Mathematical Models. J. Math. 2024, 3886554, 30. [Google Scholar]
- Raslan, K.R.; Ali, K.K.; Mohamed, M.S. Derivation of septic B-spline function in n-dimensional to solve n-dimensional partial differential equations. Nonlinear Eng. 2023, 12, 20220298. [Google Scholar] [CrossRef]
- Jena, S.R.; Gebremedhin, G.S. Octic B-spline Collocation Scheme for Numerical Investigation of Fifth Order Boundary Value Problems. Int. Appl. Comput. Math. 2022, 8, 241. [Google Scholar] [CrossRef]
- Mohammad, G. Spline-based DQM for multi-dimensional PDEs: Application to biharmonic and Poisson Equations in 2D and 3D. Comput. Math. Appl. 2017, 73, 1576–1592. [Google Scholar]
Disclaimer/Publisher’s Note: The statements, opinions and data contained in all publications are solely those of the individual author(s) and contributor(s) and not of MDPI and/or the editor(s). MDPI and/or the editor(s) disclaim responsibility for any injury to people or property resulting from any ideas, methods, instructions or products referred to in the content. |
© 2025 by the authors. Licensee MDPI, Basel, Switzerland. This article is an open access article distributed under the terms and conditions of the Creative Commons Attribution (CC BY) license (https://creativecommons.org/licenses/by/4.0/).










