Next Article in Journal
Graded 1-Absorbing Prime Ideals over Non-Commutative Graded Rings
Previous Article in Journal
An Innovative Analytical Approach for the Solution of Fractional Differential Equations Using the Integral Transform
 
 
Font Type:
Arial Georgia Verdana
Font Size:
Aa Aa Aa
Line Spacing:
Column Width:
Background:
Article

Superconvergence of a Nonconforming Interface Penalty Finite Element Method for Elliptic Interface Problems

School of Science, Nanjing University of Posts and Telecommunications, Nanjing 210023, China
Axioms 2025, 14(5), 364; https://doi.org/10.3390/axioms14050364
Submission received: 25 March 2025 / Revised: 11 May 2025 / Accepted: 12 May 2025 / Published: 12 May 2025

Abstract

In our previous works, we developed the superconvergence of a nonconforming finite element method based on unfitted meshes for an elliptic interface problem and elliptic problem, respectively. In this paper, a nonconforming interface penalty finite element method (NIPFEM) based on body-fitted meshes is explored for elliptic interface problems, which allows us to use different meshes in different sub-domains separated by the interface. A nonconforming finite element method based on rectangular meshes is studied and the supercloseness property between the gradient of the numerical solution and the gradient of the interpolation of the exact solution is proven for both symmetric NIPFEM and nonsymmetric NIPFEM. Then, the global superconvergence rate O ( h i 3 2 ) between the postprocessed numerical solution of NIPFEM and the exact solution is derived by using an interpolation postprocessing technique. Numerical examples are carried out to demonstrate the theoretical results.

1. Introduction

We consider the following elliptic interface problem:
· a ( x ) u = f in Ω 1 Ω 2 , u = g D , a ( x ) u · n = g N on Γ , u = 0 on Ω ,
where Ω = Ω 1 Γ Ω 2 is a bounded and convex domain in R 2 , Ω 1 and Ω 2 are two subdomains of Ω and Γ = Ω 1 Ω 2 , v = v | Ω 1 v | Ω 2 denotes the jump of v across the interface Γ , and n is the unit normal vector to Γ pointing from Ω 1 to Ω 2 . We assume that a ( x ) = a i for x Ω i with constants a i > 0 , i = 1 , 2 .
Interface problems frequently arise in many applications in fluid dynamics, material science, and so on. Over the past several decades, the literature on numerical methods and simulation for interface problems has grown extensively. This includes body-fitted grid methods ([1,2,3,4], etc.), where the mesh is aligned with the interface, and unfitted grid methods ([5,6,7,8,9,10,11,12], etc.), where the mesh does not fit the interface. These fitted and unfitted methods are mainly concentrated on the convergence analysis in the energy and L 2 norms. We note that an interface penalty finite element method (IPFEM) has been proposed based on body-fitted and piecewise meshes for elliptic interface problems in [4].
Meanwhile, superconvergence is a phenomenon that numerical solutions and/or their derivatives are more accurate at some special points than the best global rate. Since the 1970s, superconvergence analysis has been an active research topic and has been considered in the finite element community. The theory of superconvergence for finite element methods has been well developed to solve smooth problems ([13,14,15,16,17,18,19,20,21,22], etc.). And some works are focused on superconvergence of the interface problems based on conforming finite element methods [23,24,25,26,27,28]. Note that, in [23], a body-fitted triangular mesh was generated by combining the adaptive mesh refinement and the B o ¨ rgers’ algorithm, and then, a superconvergence analysis was developed. A new gradient recovery method by applying polynomial preserving recovery (PPR) [14] was introduced and superconvergence has been proved for triangular body-fitted mesh [24]. Then, superconvergence results of immersed finite element methods [9] and partially penalized immersed finite element methods [10] by using PPR based on unfitted meshes have been established in [25,26], respectively. However, there are few works using the nonconforming elements to study the superconvergence for interface problems. Recently, the superconvergence of the nonconforming Rannacher–Turek finite element method based on a unfitted square mesh has been developed [29], where a new postprocessing interpolation operator was introduced.
We are interested in the nonconforming finite element methods with a body-fitted and rectangular mesh. In this study, we shall combine the nonconforming element [16] and IPFEM [4] to research the supercloseness and superconvergence analysis of the nonconforming interface penalty finite element method (NIPFEM) based on rectangular and piecewise meshes. We first obtain the supercloseness estimate between the numerical solution and the nonconforming finite element interpolant. Furthermore, by applying the interpolation postprocessing technique, the corresponding global superconvergence estimate is derived. Finally, numerical examples are provided to confirm the theoretical analysis.
Throughout the paper, C is used to denote a generic positive constant which is independent of the mesh sizes, the penalty parameters, and the jump of the coefficient a ( x ) . We also use the shorthand notation A B and B A for the inequality A C B and B C A . The space, norm, and inner product notation used in this paper are all standard, we refer to [30] for their precise definitions. Moreover, denote by W s , p ( Ω 1 Ω 2 ) : = v : v | Ω i W s , p ( Ω i ) , i = 1 , 2 the piecewise W s , p space on Ω 1 Ω 2 and by v s , p , Ω 1 Ω 2 and | v | s , p , Ω 1 Ω 2 its norm and semi-norm.

2. NIPFEM for the Elliptic Interface Problem

We introduce partition of Ω . Let T h , i be two families of conforming, quasi-uniform, and regular rectangles of the subdomains Ω i ( i = 1 , 2 ), respectively. For any K T h , i , we define h K : = d i a m ( K ) . Let h i : = max K T h , i h K , i = 1 , 2 . Then, h K h i for K T h , i . Note that any element K T h , i is considered closed. Obviously, T h : = T h , 1 T h , 2 forms a rectangles of the whole domain Ω . Here, we allow the mesh sizes h 1 and h 2 to be quite different in this paper; then, T h may have many hanging nodes on the interface Γ . Clearly, each partition T h , i induces a partition, denoted by Γ h , i ( i = 1 , 2 ) of the interface Γ , as follows:
Γ h , i = E : E = K Γ , | E | 0 , K T h , i .
Let E h , i , E h , i 0 and E h , i denote the set of edges, interior edges, and boundary edges of T h , i , respectively.
Define a weak space as follows:
V : = v : v | Ω i H 1 ( Ω i ) , v | K H 2 ( K ) , K T h , i , i = 1 , 2 , and v | Ω = 0 .
Let V h , i be the nonconforming finite element space on T h , i ( i = 1 , 2 ) , that is,
V h , i : = v h , i L 2 ( Ω i ) : v h , i | K Q ˜ 1 ( K ) , K T h , i ; E [ v h , i ] = 0 , E E h , i 0 ,
where
Q ˜ 1 ( K ) : = s p a n { 1 , x , y , x 2 , y 2 } .
Then, the nonconforming interface penalty finite element approximation space is defined by the following:
V h : = v h : v h | Ω i V h , i , i = 1 , 2 , E Ω v h = 0 , E E h , i .
Clearly, V h V .
For any v V + V h and weights w i , i = 1 , 2 , let v i = v | Ω i , i = 1 , 2 and define the jump v and averages v w , v w of v on the interface Γ as
v : = v 1 | Γ v 2 | Γ , v w : = w 1 v 1 + w 2 v 2 , v w : = w 2 v 1 + w 1 v 2 ,
with
w 1 = a 2 h 1 a 1 h 2 + a 2 h 1 , and w 2 = a 1 h 2 a 1 h 2 + a 2 h 1 .
It is clear that
a h w = 2 a i h i w i = 2 a 1 a 2 a 1 h 2 + a 2 h 1 = 2 h 1 a 1 + h 2 a 2 .
Note that a h w is the harmonic average of a 1 h 1 and a 2 h 2 . Remark that we obtain a quasi-uniform mesh and piecewise mesh by h 1 = h 2 and h 1 h 2 , respectively. And for the case of a quasi-uniform mesh, the harmonic weights are used for discontinuous Galerkin (DG) methods in [31,32,33,34].
Let a h ( · , · ) be the bilinear form on ( V + V h ) × ( V + V h ) and F h ( · ) be the linear form on V + V h defined by
a h ( u , v ) : = i = 1 2 K T h , i K a i u · v Γ a u · n w v + β u a v · n w + γ Γ a h w u v ,
and
F h ( v ) : = Ω f v + Γ g N v w Γ β g D a v · n w + γ Γ a h w g D v ,
where β is a real number, γ is a positive number.
The nonconforming interface penalty finite element approximation of (1) is as follows: find u h V h such that
a h ( u h , v h ) = F h ( v h ) v h V h .
Remark 1.
In the above bilinear form a h , when β = 1 , the method is called the symmetric nonconforming interface penalty finite element method (SNIPFEM). On the other hand, when β = 1 , the method is termed the nonsymmetric nonconforming interface penalty finite element method (NNIPFEM).
We introduce the following discrete energy-norm on the space V + V h as follows:
v h : = ( a 1 2 v L 2 ( Ω 1 Ω 2 ) 2 + γ a h w v L 2 ( Γ ) 2 + γ a h w 1 a v · n w L 2 ( Γ ) 2 ) 1 2 .
It is easy to check that, if the problem (1) attains a classical solution satisfying u | Ω i H 2 ( Ω i ) , i = 1 , 2 , then the following inconsistency holds:
a h ( u u h , v h ) = i = 1 2 E E h , i Γ h , i E a i u · n [ v h ] v h V h .
It can be proven similarly to Lemma 3.1 and Lemma 4.1 of [4] that the continuity and coercivity of a h ( · , · ) for both SNIPFEM and NNIPFEM hold. By the coercivity and the inconsistency, a priori error estimate for SNIPFEM with sufficiently large penalty parameter γ and NNIPFEM with γ 1 hold as follows:
u u h h γ 1 2 i = 1 2 a i h i 2 u H 2 ( Ω i ) 2 1 2 .

3. Supercloseness and Superconvergence

In this section, an interpolation is first introduced and the postprocessing operator introduced in [15,16] is shown. Furthermore, the nonconforming finite element solution is proved to be superclose to the interpolation and it is proved that the postprocessed gradient is superconvergent to the exact gradient.

3.1. Preliminaries

Let Π h , i : H 1 ( Ω i ) V h , i ( i = 1 , 2 ) by Π h , i v | K = Π K v , where Π K v is defined by e Π K v = e v and K Π K v = K v for any rectangular element K T h , i and e K . Denote the interpolation operator Π h : H 1 ( Ω i ) V h by ( Π h v ) | Ω i = Π h , i ( v | Ω i ) , i = 1 , 2 . From the interpolation theory in [35], we have the following approximation estimate:
K T h , i | v Π h v | W l , p ( K ) 2 1 2 h i 2 l | v | W 2 , p ( Ω i ) ,
where l = 0 , 1 , 1 p and i = 1 , 2 .
Now, we will apply the postprocessing operator defined in [15,16], which shows that the gradient of the postprocessed NIPFEM solution is superconvergent to the exact gradient. For each partition T h , i of subdomain Ω i ( i = 1 , 2 ) , we assume that T h , i is obtained from T 2 h , i by dividing each element M of T 2 h , i into 2 × 2 elements K j T h , i , j = 1 , , 4 , namely, M = j = 1 4 K j . Denote an operator I 2 h , i on T 2 h , i by I 2 h , i v | M = I M v , where I M : L 1 ( M ) P 2 ( M ) is defined by
e j ( I M v v ) = 0 , ( j = 1 , , 4 ) ; K 1 K 3 ( I M v v ) = 0 ; K 2 K 4 ( I M v v ) = 0 ,
where e j ( j = 1 , , 4 ) are four edges of M.
Then, a postprocessing operator I 2 h defined by
I 2 h v | Ω i = I 2 h , i ( v | Ω i ) .
Set
· h , Ω i = K T h , i | · | 1 , K 2 1 2 , a n d · h , Ω = i = 1 2 · h , Ω i 2 1 2 .
Now we present the following Lemma, which shows the properties of operator I 2 h by using Lemma 3.2 of [16].
Lemma 1.
For each subdomain Ω i , ( i = 1 , 2 ) , the postprocessing operator I 2 h satisfies
I 2 h Π h v | Ω i = I 2 h v | Ω i , v I 2 h v h , Ω i h i 2 v 3 , Ω i , I 2 h v h h , Ω i v h h , Ω i .

3.2. Main Results

In this subsection, we will apply the interpolation and the postprocessing operator defined in the Preliminaries and show the supercloseness and superconvergence results.
Theorem 1.
Let u be the exact solution of (1) and Π h u be the interpolation of u defined as above. Assume u W 2 , ( Ω 1 Ω 2 ) and for all v h V h , then
a h ( u Π h u , v h ) γ 1 2 + γ 1 2 i = 1 2 a i h i 3 u 2 , , Ω i 2 1 2 v h h .
Proof. 
By the definition of a h ( · , · ) , we have
a h ( u Π h u , v h ) = i = 1 2 K T h , i K a i ( u Π h u ) · v h Γ a ( u Π h u ) · n w v h + β u Π h u a v h · n w + γ Γ a h w [ u Π h u ] [ v h ] = I 1 + I 2 + I 3 + I 4 .
For any rectangular element K T h , i ( i = 1 , 2 ) and v h V h , noticing that · ( v h ) and ( v h · n K ) | K are constants, then by Green’s formula and the definition of Π h , it holds that
K a i ( u Π h u ) · v h = K a i ( u Π h u ) · ( v h ) + K a i ( u Π h u ) v h · n K = 0 ;
therefore,
I 1 = 0 .
Note that a h w 1 a i w i = h i 2 , i = 1 , 2 ; then, the Cauchy–Schwartz inequality implies that
I 2 i = 1 2 E Γ h , i γ a h w 1 a i 2 w i 2 ( u Π h u ) L 2 ( E ) 2 1 2 v h h γ 1 2 i = 1 2 E Γ h , i a i w i h i 2 ( u Π h u ) L ( K E ) 2 1 2 v h h γ 1 2 i = 1 2 a i h i 4 E Γ h , i 1 u 2 , , Ω i 2 1 2 v h h γ 1 2 i = 1 2 a i h i 3 u 2 , , Ω i 2 1 2 v h h ,
where E K E , K E T h , i and we have used the approximation estimate (13) and E Γ h , i 1 O ( h i 1 ) .
To bound I 3 , we use the standard trace inequality and obtain
E Γ h , i a h w u Π h u L 2 ( E ) 2 E Γ h , i a i w i h i h i 1 u Π h u L 2 ( K E ) 2 + h i ( u Π h u ) L 2 ( K E ) 2 E Γ h , i a i u Π h u L ( K E ) 2 + h i 2 ( u Π h u ) L ( K E ) 2 a i h i 4 E Γ h , i 1 u 2 , , Ω i 2 ,
and
E Γ h , i a h w 1 a i 2 w i 2 v h · n L 2 ( E ) 2 E Γ h , i a i w i h i h i 1 v h L 2 ( K E ) 2 v h h .
Then, I 3 is estimated by
I 3 i = 1 2 a i h i 3 u 2 , , Ω i 2 1 2 v h h ,
where we have used the Cauchy–Schwartz inequality, (17), (18) and the fact that E Γ h , i 1 O ( h i 1 ) . A similar argument follows for I 4 , and we obtain
I 4 γ 1 2 i = 1 2 a i h i 3 u 2 , , Ω i 2 1 2 v h h .
Thus, we complete the proof. □
Based on Theorem 1 and the consistency error estimate for (12) (see Lemma 3.1 of [15]), it is easy to prove the following supercloseness theorem, which is similar to the proof of Theorem 1 of [36].
Theorem 2.
Let u h be the nonconforming finite element solution and Π h u be the interpolation of u, u H 3 ( Ω 1 Ω 2 ) W 2 , ( Ω 1 Ω 2 ) ; then, for SNIPFEM with a sufficiently large penalty parameter γ and NNIPFEM with γ 1 , there holds the following supercloseness result
u h Π h u h γ 1 2 i = 1 2 a i h i 3 u 2 , , Ω i 2 + h i 4 u 3 , Ω i 2 1 2 .
Proof. 
Using the coercivity of a h ( · , · ) , we have
u h Π h u h 2 a h ( u h Π h u , u h Π h u ) = a h ( u Π h u , u h Π h u ) a h ( u u h , u h Π h u ) .
From Theorem 1, the first term on the right hand can be estimated via
a h ( u Π h u , u h Π h u ) γ 1 2 + γ 1 2 i = 1 2 a i h i 3 u 2 , , Ω i 2 1 2 u h Π h u h .
From Lemma 3.1 of [15], the following consistency error estimate holds:
a h ( u u h , u h Π h u ) i = 1 2 a i h i 4 u 3 , Ω i 2 1 2 u h Π h u h .
Combining (22) with (23), we complete the proof. □
Theorem 3.
Let u and u h be the solution of (1) and (10), respectively, and let I 2 h be the postprocessing operator defined above. Assume that u H 3 ( Ω 1 Ω 2 ) W 2 , ( Ω 1 Ω 2 ) ; then, for a SNIPFEM with a sufficiently large penalty parameter γ and NNIPFEM with γ 1 ,
a 1 2 ( u I 2 h u h ) h , Ω γ 1 2 i = 1 2 a i h i 3 u 2 , , Ω i 2 + h i 4 u 3 , Ω i 2 1 2 .
Proof. 
We decompose u I 2 h u h as u I 2 h Π h u and I 2 h Π h u I 2 h u h . Then, the triangle inequality implies that
a 1 2 ( u I 2 h u h ) h , Ω a 1 2 ( u I 2 h Π h u ) h , Ω + a 1 2 ( I 2 h Π h u I 2 h u h ) h , Ω .
Noticing that I 2 h Π h u | Ω i = I 2 h u | Ω i , and by Lemma 1, we have
u I 2 h Π h u h , Ω i h i 2 u 3 , Ω i ,
and
I 2 h Π h u I 2 h u h h , Ω i Π h u u h h , Ω i .
Thus, we have
a 1 2 ( u I 2 h Π h u ) h , Ω i = 1 2 a i h i 4 u 3 , Ω i 2 1 2 ,
and
a 1 2 ( I 2 h Π h u I 2 h u h ) h , Ω i = 1 2 a i 1 2 ( Π h u u h ) h , Ω i 2 1 2 γ 1 2 i = 1 2 a i h i 3 u 2 , , Ω i 2 + h i 4 u 3 , Ω i 2 1 2 ,
where we have used the definition of · h and Theorem 2. Finally, combing (24) and (25) completes the proof. □

4. Numerical Experiments

In this section, the previously developed supercloseness and superconvergence theory will be verified by two numerical examples. In these examples, the domains are chosen as ( 0 , 2 ) × ( 0 , 1 ) and Ω 1 : = { ( x , y ) Ω : 0 < x < 1 , 0 < y < 1 } , Ω 2 : = { ( x , y ) Ω : 1 < x < 2 , 0 < y < 1 } , and Γ : = { ( x , y ) Ω : x = 1 , 0 < y < 1 } . We firstly test the convergence rate, supercloseness result, and superconvergence rate based on square and rectangular meshes, where the quasi-uniform (Left of Figure 1) and piecewise meshes (Right of Figure 1) are considered. We test these examples using two different NIPFEM methods as follows: SNIPFEM and NNIPFEM. Moreover, we explore the influence of the jump of the coefficients on the errors. All the following results are obtained by choosing the penalty parameter γ = 10 for SNIPFEM and NNIPFEM. For convenience, we summarize our experimental results in tables, adopting the following errors: D e : = a 1 2 ( u u h ) h , Ω , D Π e : = a 1 2 ( u h Π h u ) h , Ω and D I e : = a 1 2 ( u I 2 h u h ) h , Ω .

4.1. Example 1

In this example, we consider the exact solution as follows:
u ( x , y ) = e x y ( x 2 + y 2 1 / 4 ) a 1 in Ω 1 , e x y ( x 2 + y 2 1 / 4 ) a 2 in Ω 2 .
Note that the elliptic interface problem has g D 0 and g N = 0 . Firstly, the performance for errors D e , D Π e , and D I e on the square quasi-uniform ( h 1 = h 2 ) and piecewise ( h 1 h 2 ) meshes for SNIPFEM and NNIPFEM are shown in Table 1 and Table 2, respectively. Also we test the rates of errors D e , D Π e , and D I e on rectangular quasi-uniform and piecewise meshes for SNIPFEM and NNIPFEM in Table 3 and Table 4, respectively. In all different cases, it shows that the NIPFEM converges with the optimal rate O ( h i ) for D e and with O ( h i 1.6 ) and O ( h i 2 ) orders of convergence for D Π e and D I e , respectively, which is better than our Theorems 2 and 3.
We also test the influence of errors on the jump of coefficients. The results for errors D e , D Π e , and D I e based on SNIPFEM and NNIPFEM are listed in Table 5 with ( a 1 , a 2 ) = ( 1 , 10 ) , ( 1 , 10 2 ) , ( 1 , 10 6 ) , and the fixed ( h 1 , x , h 1 , y ) = ( 1 / 16 , 1 / 32 ) and ( h 2 , x , h 2 , y ) = ( 1 / 32 , 1 / 64 ) . We can observe that as a 2 / a 1 becomes larger, the change of the errors is very small, which means that the errors are all independent of the jump of the coefficients.

4.2. Example 2

In this example, we choose suitable f , g D , and g N values such that the exact solution is as follows:
u ( x , y ) = s i n ( 2 π x ) s i n ( 2 π y ) + 2 x y a 1 in Ω 1 , s i n ( 2 π x ) s i n ( 2 π y ) a 2 in Ω 2 .
Note that elliptic interface problems have nonhomogeneous jump conditions, namely, g D 0 and g N 0 . Figure 2 and Figure 3 and Table 6 and Table 7 report the convergence rates of errors for our NIPFEM based on square and rectangular meshes. For D e , all two methods (SNIPFEM and NNIPFEM) converge with the optimal rate O ( h i ) for square and rectangular meshes. As for D Π e and D I e , O ( h i 2 ) , the order of convergence can be observed for all cases, and it is superior to the O ( h i 3 / 2 ) presented in Theorems 2 and 3 we developed. Table 8 displays the influence of errors on the jump of coefficients with a rectangular piecewise mesh ( h 1 , x , h 1 , y ) = ( 1 / 16 , 1 / 32 ) and ( h 2 , x , h 2 , y ) = ( 1 / 32 , 1 / 64 ) for our NIPFEM. It is shown that the errors are not sensitive to the jump of the coefficients.
Finally, we provide two tests to report the condition number of the stiffness matrix. First, we fix the mesh size h 1 , x = 1 16 , h 1 , y = 1 32 , h 2 , x = 1 32 , h 2 , y = 1 64 and test the influence of the ratio of the coefficients on the condition number. Left of Figure 4 shows the log–log plot of condition number K ( A ) versus a 2 / a 1 with ( a 2 , a 1 ) = ( 10 , 1 ) , ( 10 2 , 1 ) , , ( 10 6 , 1 ) for SNIPFEM and NNIPFEM. It shows that the condition number K ( A ) depends on a m a x a m i n linearly, where a m a x = max { a 1 , a 2 } and a m i n = min { a 1 , a 2 } . Second, we fix a 1 = 1 , a 2 = 1000 and h 1 h 2 = 2 and change the value h 2 to test the influence of the mesh size on the condition number. Right of Figure 4 reports the log–log plot of condition number K ( A ) versus 1 / h 2 with ( h 2 , x , h 2 , y ) = ( 1 8 , 1 16 ) , ( 1 16 , 1 32 ) , ( 1 32 , 1 64 ) , ( 1 64 , 1 128 ) for SNIPFEM and NNIPFEM. We observe that K ( A ) = O ( h m i n 2 ) , where h m i n = min { h 1 , h 2 } .

5. Conclusions

In this article, we study the superconvergence theory of the nonconforming interface penalty finite element method to solve elliptic interface problems based on body-fitted and rectangular piecewise meshes. We have obtained the supercloseness result between the numerical solution and the interpolation of the exact solution. Moreover, we have applied a postprocessing operator and have proved the superconvergence result between the postprocessed gradient and the exact gradient. Two numerical examples have been presented to support our theoretical results, and it is shown that the supercloseness and superconvergence results based on quasi-uniform and piecewise meshes for both SNIPFEM and NNIPFEM are better than the theoretical results, especially as D I e superconverges at the order of O ( h i 2 ) . It is well known that the triangular meshes are efficiently solving the interface problems with complicated interface. Hence, studying the superconvergence of the nonconforming element based on a triangular mesh for interface problems is a future direction for our research.

Funding

The work of this author is supported by the National Natural Science Foundation of China grant 12201312 and Nanjing University of Posts and Telecommunications (NY220088).

Data Availability Statement

The original contributions presented in the study are included in the article, further inquiries can be directed to the author.

Acknowledgments

We would like to thank the anonymous referees for their insightful suggestions and comments, which have led to the significant improvement of the paper.

Conflicts of Interest

The author declares no conflicts of interest.

References

  1. Babuška, I. The Finite Element Method for Elliptic Equations with Discontinuous Coefficients. Computing 1970, 5, 207–218. [Google Scholar] [CrossRef]
  2. Chen, Z.; Zou, J. Finite element methods and their convergence for elliptic and parabolic interface problems. Numer. Math. 1998, 79, 175–202. [Google Scholar] [CrossRef]
  3. Huang, J.; Zou, J. A mortar element method for elliptic problems with discontinuous coefficients. IMA J. Numer. Anal. 2002, 22, 549–576. [Google Scholar] [CrossRef]
  4. He, X.; Deng, W.; Wu, H. An interface penalty finite element method for elliptic interface problems on piecewise meshes. J. Comput. Appl. Math. 2020, 367, 112473. [Google Scholar] [CrossRef]
  5. Peskin, C.S. Numerical analysis of blood flow in heart. J. Comput. Phys. 1977, 25, 220–252. [Google Scholar] [CrossRef]
  6. Li, Z. The immersed interface method using a finite element formulation. Appl. Numer. Math. 1998, 27, 253–267. [Google Scholar] [CrossRef]
  7. Hansbo, A.; Hansbo, P. An unfitted finite element method, based on Nitsche’s method, for elliptic interface problems. Comput. Methods Appl. Mech. Eng. 2002, 191, 5537–5552. [Google Scholar] [CrossRef]
  8. Wadbro, E.; Zahedi, S.; Kreiss, G.; Berggren, M. A uniformly well-conditioned, unfitted Nitsche method for interface problems. BIT 2013, 53, 791–820. [Google Scholar] [CrossRef]
  9. Ji, H.; Chen, J.; Li, Z. A symmetric and consistent immersed finite element method for interface problems. J. Sci. Comput. 2014, 61, 533–557. [Google Scholar] [CrossRef]
  10. Lin, T.; Lin, Y.; Zhang, X. Partially penalized immersed finite element methods for elliptic interface problems. SIAM J. Numer. Anal. 2015, 53, 1121–1144. [Google Scholar] [CrossRef]
  11. Burman, E.; Guzmán, J.; Sánchez, M.A.; Sarkis, M. Robust flux error estimation of an unfitted Nitsche method for high-contrast interface problems. IMA J. Numer. Anal. 2018, 38, 646–668. [Google Scholar] [CrossRef]
  12. Wu, H.; Xiao, Y. An unfitted hp-interface penalty finite element method for elliptic interface problems. J. Comput. Math. 2019, 37, 316–339. [Google Scholar]
  13. Zienkiewicz, O.C.; Zhu, J.Z. The superconvergent patch recovery and a posteriori error estimates. I. The recovery technique. Int. J. Numer. Methods Eng. 1992, 33, 1331–1364. [Google Scholar] [CrossRef]
  14. Naga, A.; Zhang, Z. A posteriori error estimates based on the polynomial preserving recovery. SIAM J. Numer. Anal. 2004, 42, 1780–1800. [Google Scholar] [CrossRef]
  15. Lin, Q.; Tobiska, L.; Zhou, A. Superconvergence and extrapolation of non-conforming low order finite elements applied to the poisson equation. IMA J. Numer. Anal. 2005, 25, 160–181. [Google Scholar] [CrossRef]
  16. Mao, S.; Chen, S.; Shi, D. Convergence and superconvergence of a nonconforming finite element on anisotropic mehses. Int. J. Numer. Anal. Model. 2007, 4, 16–38. [Google Scholar]
  17. Wahlbin, L.B. Superconvergence in Galerkin Finite Element Methods; Springer: Berlin/Heidelberg, Germany, 1995; Volume 1605. [Google Scholar]
  18. Yan, N. Superconvergence Analysis and a Posteriori Error Estimation in Finite Element Methods; Science Press: Beijing, China, 2008. [Google Scholar]
  19. Li, Y. Superconvergent flux recovery of the Rannacher-Turek nonconforming element. J. Sci. Comput. 2021, 87, 32. [Google Scholar] [CrossRef]
  20. Zhang, S.; Shi, X.; Shi, D. Nonconforming modified Quasi-Wilson finite element method for convection-diffusion-reaction equation. Commun. Nonlinear Sci. Numer. Simul. 2023, 125, 107333. [Google Scholar] [CrossRef]
  21. Shi, D.; Li, M.; Tang, Q. Superconvergence analysis of a new stabilized nonconforming finite element method for the Stokes equations. Comput. Math. Appl. 2024, 169, 253–259. [Google Scholar] [CrossRef]
  22. Wang, L.; Zhang, Q.; Zhang, Z. Superconvergene analysis of Curlcurl-conforming elements on rectangular meshes. J. Sci. Comput. 2023, 95, 62. [Google Scholar] [CrossRef]
  23. Wei, H.; Chen, L.; Huang, Y.; Zheng, B. Adaptive mesh refinement and superconvergence for two-dimensional interface problems. SIAM J. Sci. Comput. 2014, 36, A1478–A1499. [Google Scholar] [CrossRef]
  24. Guo, H.; Yang, X. Gradient recovery for elliptic interface problem: I. body-fitted mesh. Commun. Comput. Phys. 2018, 23, 1488–1511. [Google Scholar]
  25. Guo, H.; Yang, X. Gradient recovery for elliptic interface problem: II. Immersed finite element methods. J. Comput. Phys. 2017, 338, 606–619. [Google Scholar] [CrossRef]
  26. Guo, H.; Yang, X.; Zhang, Z. Superconvergence of partially penalized immersed finite element methods. IMA J. Numer. Anal. 2018, 38, 2123–2144. [Google Scholar] [CrossRef]
  27. Cao, W.; Zhang, X.; Zhang, Z. Superconvergence of Immersed Finite Element Methods for Interface Problems. Adv. Comput. Math. 2017, 43, 795–821. [Google Scholar] [CrossRef]
  28. Chen, Y.; Deng, Z.; Huang, Y. Recovery-based a posteriori error estimation for elliptic interface problems based on partially penalized immersed finite element methods. Int. J. Numer. Anal. Model. 2022, 19, 126–155. [Google Scholar]
  29. He, X.; Chen, Y.; Ji, H.; Wang, H. Superconvergence of unfitted rannacher-turek nonconforming element for elliptic interface problems. Appl. Numer. Math. 2024, 203, 32–51. [Google Scholar] [CrossRef]
  30. Ciarlet, P.G. The Finite Element Method for Elliptic Problems; North-Holland: Amsterdam, The Netherlands, 1978. [Google Scholar]
  31. Burman, E.; Zunino, P. A domain decomposition method based on weighted interior penalties for advection-diffusion-reaction problems. SIAM J. Numer. Anal. 2006, 44, 1612–1638. [Google Scholar] [CrossRef]
  32. Cai, Z.; Ye, X.; Zhang, S. Discontinuous Galerkin finite element methods for interface problems: A priori and a posteriori error estimations. SIAM J. Numer. Anal. 2011, 49, 1761–1787. [Google Scholar] [CrossRef]
  33. Ern, A.; Stephansen, A.F.; Zunino, P. A discontinuous Galerkin method with weighted averages for advection-diffusion equations with locally small and anisotropic diffusivity. IMA J. Numer. Anal. 2009, 29, 235–256. [Google Scholar] [CrossRef]
  34. Huang, P.; Wu, H.; Xiao, Y. An unfitted interface penalty finite element method for elliptic interface problems. Comput. Methods Appl. Mech. Eng. 2017, 323, 439–460. [Google Scholar] [CrossRef]
  35. Arnold, D.; Boffi, D.; Falk, R.S. Approximation by quadrilateral elements. Math. Comp. 2002, 71, 909–922. [Google Scholar] [CrossRef]
  36. He, X.; Song, F. Superconvergence of modified nonconforming cut finite element method for elliptic problems. Mathematics 2024, 12, 2595. [Google Scholar] [CrossRef]
Figure 1. (Left): quasi-uniform meshes. (Right): piecewise meshes.
Figure 1. (Left): quasi-uniform meshes. (Right): piecewise meshes.
Axioms 14 00364 g001
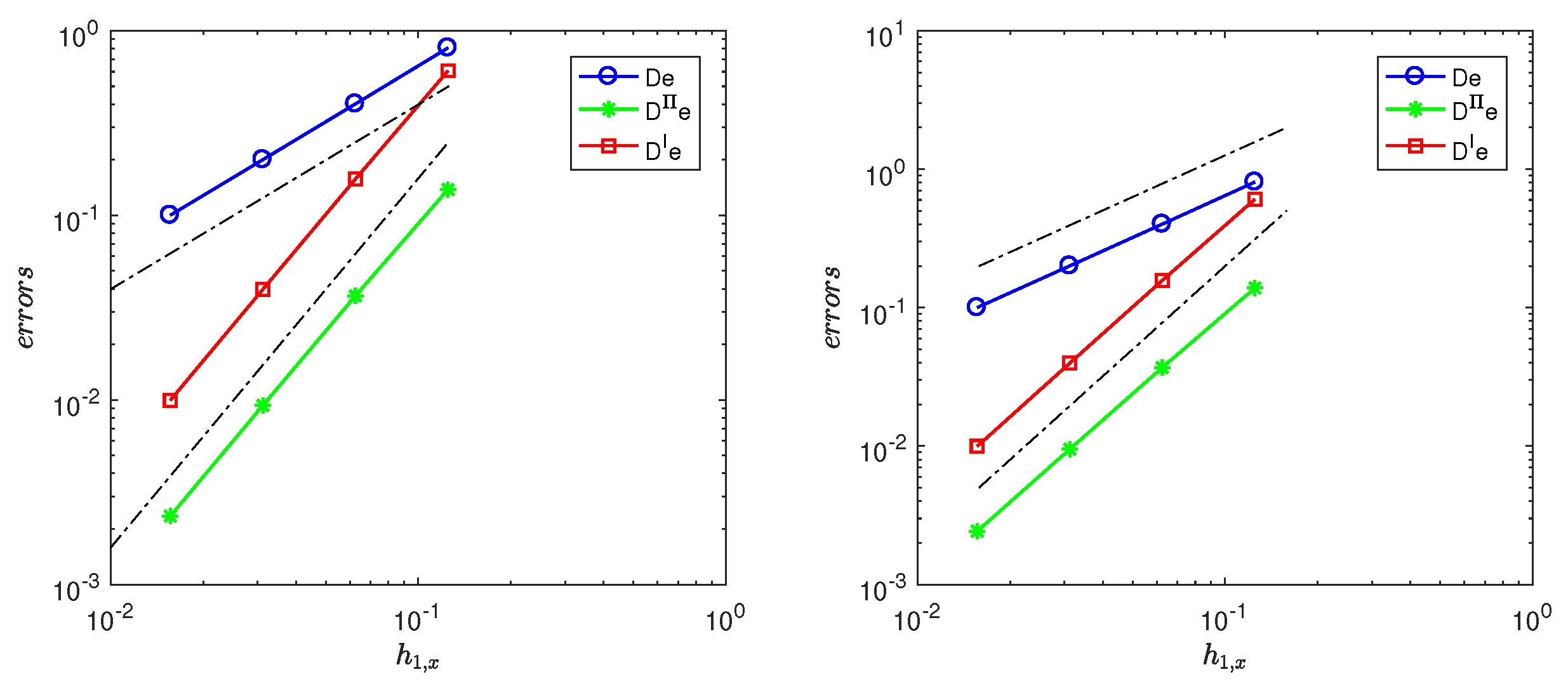
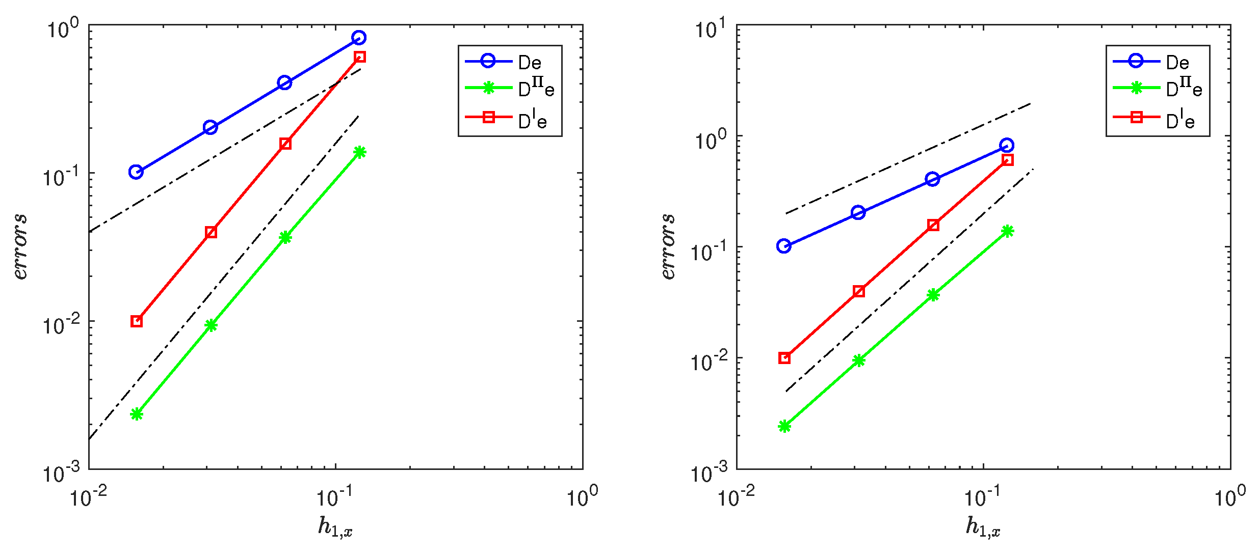
Figure 2. (Left): Log–log plot of errors D e , D Π e , and D I e versus h 1 , x with h 1 , x = 1 16 , 1 32 , 1 64 , 1 128 based on square quasi-uniform meshes h 1 , x = h 1 , y = h 2 , x = h 2 , y for ( a 2 , a 1 ) = ( 1000 , 1 ) and γ = 10 for SNIPFEM. The dotted line gives the reference lines of slope 1 and 2. (Right): Log–log plot of errors D e , D Π e , and D I e versus h 1 , x with h 1 , x = 1 8 , 1 16 , 1 32 , 1 64 based on square piecewise meshes h 1 , x = h 1 , y and h 2 , x = h 2 , y = h 1 , x 2 for ( a 2 , a 1 ) = ( 1000 , 1 ) and γ = 10 for SNIPFEM. The dotted line gives the reference lines of slope 1 and 2.
Figure 2. (Left): Log–log plot of errors D e , D Π e , and D I e versus h 1 , x with h 1 , x = 1 16 , 1 32 , 1 64 , 1 128 based on square quasi-uniform meshes h 1 , x = h 1 , y = h 2 , x = h 2 , y for ( a 2 , a 1 ) = ( 1000 , 1 ) and γ = 10 for SNIPFEM. The dotted line gives the reference lines of slope 1 and 2. (Right): Log–log plot of errors D e , D Π e , and D I e versus h 1 , x with h 1 , x = 1 8 , 1 16 , 1 32 , 1 64 based on square piecewise meshes h 1 , x = h 1 , y and h 2 , x = h 2 , y = h 1 , x 2 for ( a 2 , a 1 ) = ( 1000 , 1 ) and γ = 10 for SNIPFEM. The dotted line gives the reference lines of slope 1 and 2.
Axioms 14 00364 g002
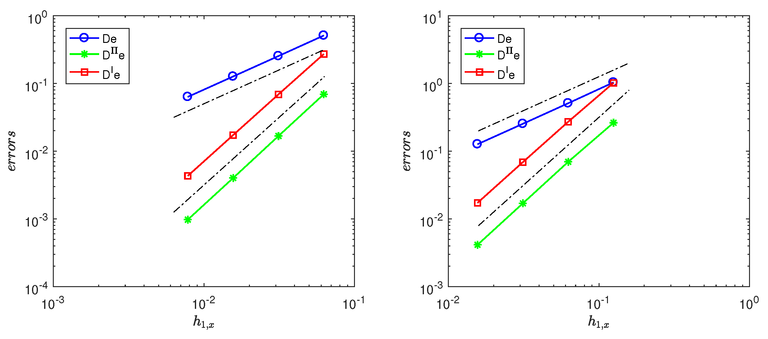
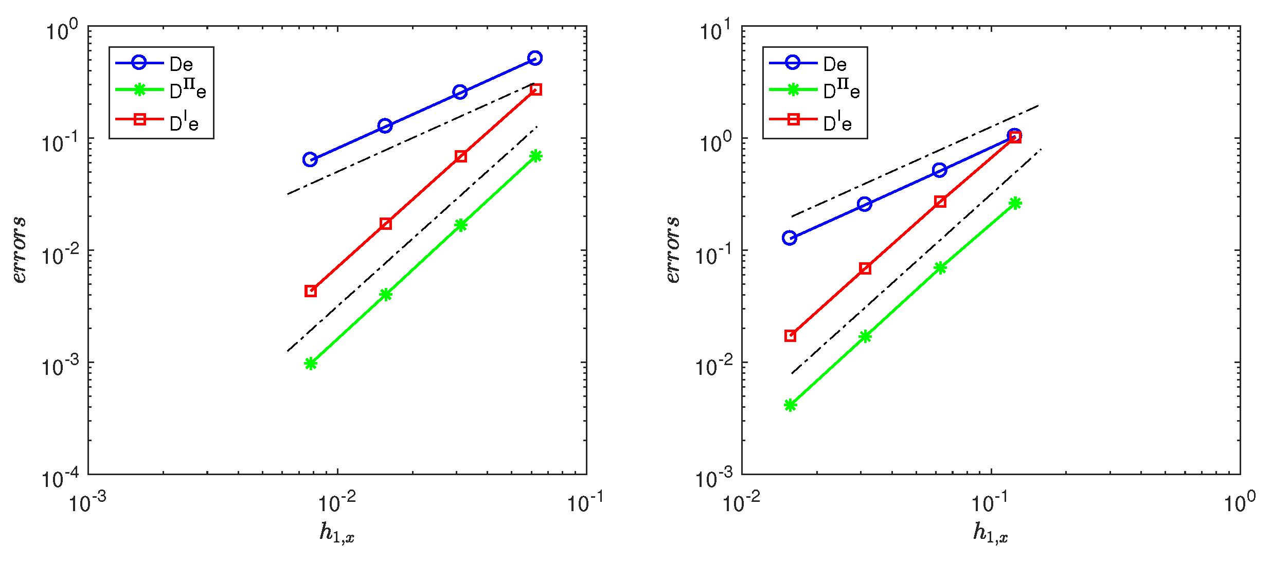
Figure 3. (Left): Log–log plot of errors D e , D Π e , and D I e versus h 1 , x with h 1 , x = 1 8 , 1 16 , 1 32 , 1 64 based on rectangular quasi-uniform meshes h 1 , x = h 2 , x , h 1 , y = h 2 , y = h 1 , x 2 for ( a 2 , a 1 ) = ( 1000 , 1 ) and γ = 10 for SNIPFEM. The dotted line gives the reference lines of slope 1 and 2. (Right): Log–log plot of errors D e , D Π e , and D I e versus h 1 , x with h 1 , x = 1 8 , 1 16 , 1 32 , 1 64 based on rectangular piecewise meshes h 1 , y = h 1 , x 2 and h 2 , x = h 1 , x 2 , h 2 , y = h 1 , y 2 for ( a 2 , a 1 ) = ( 1000 , 1 ) and γ = 10 for SNIPFEM. The dotted line gives the reference lines of slope 1 and 2.
Figure 3. (Left): Log–log plot of errors D e , D Π e , and D I e versus h 1 , x with h 1 , x = 1 8 , 1 16 , 1 32 , 1 64 based on rectangular quasi-uniform meshes h 1 , x = h 2 , x , h 1 , y = h 2 , y = h 1 , x 2 for ( a 2 , a 1 ) = ( 1000 , 1 ) and γ = 10 for SNIPFEM. The dotted line gives the reference lines of slope 1 and 2. (Right): Log–log plot of errors D e , D Π e , and D I e versus h 1 , x with h 1 , x = 1 8 , 1 16 , 1 32 , 1 64 based on rectangular piecewise meshes h 1 , y = h 1 , x 2 and h 2 , x = h 1 , x 2 , h 2 , y = h 1 , y 2 for ( a 2 , a 1 ) = ( 1000 , 1 ) and γ = 10 for SNIPFEM. The dotted line gives the reference lines of slope 1 and 2.
Axioms 14 00364 g003
Figure 4. (Left): Log–log plot of condition number K ( A ) versus a 2 / a 1 with ( a 2 , a 1 ) = ( 10 , 1 ) , ( 10 2 , 1 ) , , ( 10 6 , 1 ) , fixed h 1 , x = 1 16 , h 1 , y = 1 32 , h 2 , x = 1 32 , h 2 , y = 1 64 , and γ = 10 for SNIPFEM and NNIPFEM, respectively. The dotted line gives the reference line of slope 1. (Right): Log–log plot of condition number K ( A ) versus 1 / h 2 with ( h 2 , x , h 2 , y ) = ( 1 8 , 1 16 ) , ( 1 16 , 1 32 ) , ( 1 32 , 1 64 ) , ( 1 64 , 1 128 ) , and fixed ( a 2 , a 1 ) = ( 1000 , 1 ) , h 1 h 2 = 2 and γ = 10 for SNIPFEM and NNIPFEM, respectively. The dotted line gives the reference line of slope 2.
Figure 4. (Left): Log–log plot of condition number K ( A ) versus a 2 / a 1 with ( a 2 , a 1 ) = ( 10 , 1 ) , ( 10 2 , 1 ) , , ( 10 6 , 1 ) , fixed h 1 , x = 1 16 , h 1 , y = 1 32 , h 2 , x = 1 32 , h 2 , y = 1 64 , and γ = 10 for SNIPFEM and NNIPFEM, respectively. The dotted line gives the reference line of slope 1. (Right): Log–log plot of condition number K ( A ) versus 1 / h 2 with ( h 2 , x , h 2 , y ) = ( 1 8 , 1 16 ) , ( 1 16 , 1 32 ) , ( 1 32 , 1 64 ) , ( 1 64 , 1 128 ) , and fixed ( a 2 , a 1 ) = ( 1000 , 1 ) , h 1 h 2 = 2 and γ = 10 for SNIPFEM and NNIPFEM, respectively. The dotted line gives the reference line of slope 2.
Axioms 14 00364 g004
Table 1. Rates of errors for Example 1 based on square quasi-uniform and piecewise meshes with a 1 = 1 and a 2 = 1000 for SNIPFEM.
Table 1. Rates of errors for Example 1 based on square quasi-uniform and piecewise meshes with a 1 = 1 and a 2 = 1000 for SNIPFEM.
( h 1 , x , h 1 , y ) ( h 2 , x , h 2 , y ) D e R a t e D Π e R a t e D I e R a t e
( 1 4 , 1 4 )( 1 4 , 1 4 )4.6196 × 10 1 7.8364 × 10 2 3.3026 × 10 1
( 1 8 , 1 8 )( 1 8 , 1 8 )2.3164 × 10 1 0.99582.2308 × 10 2 1.81269.0132 × 10 2 1.8734
( 1 16 , 1 16 )( 1 16 , 1 16 )1.1580 × 10 1 1.00035.2043 × 10 3 2.09982.3018 × 10 2 1.9692
( 1 32 , 1 32 )( 1 32 , 1 32 )5.7900 × 10 2 0.99991.1042 × 10 3 2.23665.7681 × 10 3 1.9966
( 1 4 , 1 4 )( 1 8 , 1 8 )4.5010 × 10 1 7.9155 × 10 2 3.2036 × 10 1
( 1 8 , 1 8 )( 1 16 , 1 16 )2.2559 × 10 1 0.99652.3180 × 10 2 1.77178.7343 × 10 2 1.8749
( 1 16 , 1 16 )( 1 32 , 1 32 )1.1274 × 10 1 1.00075.8135 × 10 3 1.99542.2310 × 10 2 1.9689
( 1 32 , 1 32 )( 1 64 , 1 64 )5.6363 × 10 2 1.00011.4727 × 10 3 1.98085.5966 × 10 3 1.9951
Table 2. Rates of errors for Example 1 based on square quasi-uniform and piecewise meshes with γ = 10 and a 1 = 1 and a 2 = 1000 for NNIPFEM.
Table 2. Rates of errors for Example 1 based on square quasi-uniform and piecewise meshes with γ = 10 and a 1 = 1 and a 2 = 1000 for NNIPFEM.
( h 1 , x , h 1 , y ) ( h 2 , x , h 2 , y ) D e R a t e D Π e R a t e D I e R a t e
( 1 4 , 1 4 )( 1 4 , 1 4 )4.6394 × 10 1 9.1992 × 10 2 3.3182 × 10 1
( 1 8 , 1 8 )( 1 8 , 1 8 )2.3191 × 10 1 1.00032.5519 × 10 2 1.84999.0549 × 10 2 1.8736
( 1 16 , 1 16 )( 1 16 , 1 16 )1.1582 × 10 1 1.00165.8662 × 10 3 2.12102.3102 × 10 2 1.9706
( 1 32 , 1 32 )( 1 32 , 1 32 )5.7902 × 10 2 1.00021.2288 × 10 3 2.25515.7821 × 10 3 1.9984
( 1 4 , 1 4 )( 1 8 , 1 8 )4.5246 × 10 1 9.4562 × 10 2 3.2196 × 10 1
( 1 8 , 1 8 )( 1 16 , 1 16 )2.2597 × 10 1 1.00162.7429 × 10 2 1.78558.7770 × 10 2 1.8751
( 1 16 , 1 16 )( 1 32 , 1 32 )1.1280 × 10 1 1.00247.0802 × 10 3 1.95382.2396 × 10 2 1.9704
( 1 32 , 1 32 )( 1 64 , 1 64 )5.6374 × 10 2 1.00061.9158 × 10 3 1.88585.6108 × 10 3 1.9969
Table 3. Rates of errors for Example 1 based on rectangular quasi-uniform and piecewise meshes with γ = 10 and a 1 = 1 , a 2 = 1000 for SNIPFEM.
Table 3. Rates of errors for Example 1 based on rectangular quasi-uniform and piecewise meshes with γ = 10 and a 1 = 1 , a 2 = 1000 for SNIPFEM.
( h 1 , x , h 1 , y ) ( h 2 , x , h 2 , y ) D e R a t e D Π e R a t e D I e R a t e
( 1 4 , 1 8 )( 1 4 , 1 8 )3.6234 × 10 1 2.3571 × 10 2 1.9231 × 10 1
( 1 8 , 1 16 )( 1 8 , 1 16 )1.8263 × 10 1 0.98846.3468 × 10 3 1.89295.0804 × 10 2 1.9204
( 1 16 , 1 32 )( 1 16 , 1 32 )9.1496 × 10 2 0.99711.5595 × 10 3 2.02491.2884 × 10 2 1.9792
( 1 32 , 1 64 )( 1 32 , 1 64 )4.5770 × 10 2 0.99923.6774 × 10 4 2.08433.2320 × 10 3 1.9951
( 1 4 , 1 8 )( 1 8 , 1 16 )3.5277 × 10 1 2.4795 × 10 2 1.8719 × 10 1
( 1 8 , 1 16 )( 1 16 , 1 32 )1.7779 × 10 1 0.98847.4105 × 10 3 1.74244.9452 × 10 2 1.9204
( 1 16 , 1 32 )( 1 32 , 1 64 )8.9066 × 10 2 0.99722.1790 × 10 3 1.76581.2544 × 10 2 1.9789
( 1 32 , 1 64 )( 1 64 , 1 128 )4.4552 × 10 2 0.99936.7520 × 10 4 1.69023.1480 × 10 3 1.9945
Table 4. Rates of errors for Example 1 based on rectangular quasi-uniform and piecewise meshes with γ = 10 and a 1 = 1 , a 2 = 1000 for NNIPFEM.
Table 4. Rates of errors for Example 1 based on rectangular quasi-uniform and piecewise meshes with γ = 10 and a 1 = 1 , a 2 = 1000 for NNIPFEM.
( h 1 , x , h 1 , y ) ( h 2 , x , h 2 , y ) D e R a t e D Π e R a t e D I e R a t e
( 1 4 , 1 8 )( 1 4 , 1 8 )3.6307 × 10 1 3.5022 × 10 2 1.9292 × 10 1
( 1 8 , 1 16 )( 1 8 , 1 16 )1.8271 × 10 1 0.99068.8727 × 10 3 1.98085.0970 × 10 2 1.9203
( 1 16 , 1 32 )( 1 16 , 1 32 )9.1503 × 10 2 0.99762.0360 × 10 3 2.12361.2917 × 10 2 1.9803
( 1 32 , 1 64 )( 1 32 , 1 64 )4.5771 × 10 2 0.99934.4831 × 10 4 2.18313.2374 × 10 3 1.9964
( 1 4 , 1 8 )( 1 8 , 1 16 )3.5367 × 10 1 3.7686 × 10 2 1.8781 × 10 1
( 1 8 , 1 16 )( 1 16 , 1 32 )1.7793 × 10 1 0.99101.0722 × 10 2 1.81344.9621 × 10 2 1.9202
( 1 16 , 1 32 )( 1 32 , 1 64 )8.9087 × 10 2 0.99803.0838 × 10 3 1.79781.2578 × 10 2 1.9800
( 1 32 , 1 64 )( 1 64 , 1 128 )4.4556 × 10 2 0.99959.6200 × 10 4 1.68053.1535 × 10 3 1.9958
Table 5. Study of the dependence of the errors for Example 1 on the jump of coefficients with ( a 1 , a 2 ) = ( 1 , 10 ) , ( 1 , 10 2 ) , ( 1 , 10 6 ) , ( h 1 , x , h 1 , y ) = ( 1 / 16 , 1 / 32 ) , and ( h 2 , x , h 2 , y ) = ( 1 / 32 , 1 / 64 ) for SNIPFEM and NNIPFEM, respectively.
Table 5. Study of the dependence of the errors for Example 1 on the jump of coefficients with ( a 1 , a 2 ) = ( 1 , 10 ) , ( 1 , 10 2 ) , ( 1 , 10 6 ) , ( h 1 , x , h 1 , y ) = ( 1 / 16 , 1 / 32 ) , and ( h 2 , x , h 2 , y ) = ( 1 / 32 , 1 / 64 ) for SNIPFEM and NNIPFEM, respectively.
( a 1 , a 2 ) ( 1 , 10 ) ( 1 , 10 2 ) ( 1 , 10 3 ) ( 1 , 10 4 ) ( 1 , 10 5 ) ( 1 , 10 6 )
D e 1.5041 × 10 1 9.6301 × 10 2 8.9066 × 10 2 8.8309 × 10 2 8.8233 × 10 2 8.8226 × 10 2
D Π e 1.2868 × 10 2 5.1235 × 10 3 2.1790 × 10 3 1.5790 × 10 3 1.5056 × 10 3 1.4981 × 10 3
D I e 1.4935 × 10 2 1.2793 × 10 2 1.2544 × 10 2 1.2519 × 10 2 1.2516 × 10 2 1.2516 × 10 2
D e 1.5081 × 10 1 9.6426 × 10 2 8.9087 × 10 2 8.8319 × 10 2 8.8241 × 10 2 8.8234 × 10 2
D Π e 1.7818 × 10 2 7.5053 × 10 3 3.0838 × 10 3 2.1238 × 10 3 2.0018 × 10 3 1.9892 × 10 3
D I e 1.4922 × 10 2 1.2824 × 10 2 1.2578 × 10 2 1.2552 × 10 2 1.2550 × 10 2 1.2550 × 10 2
Table 6. Rates of errors for Example 2 based on square quasi-uniform and piecewise meshes with γ = 10 and a 1 = 1 , a 2 = 1000 for NNIPFEM.
Table 6. Rates of errors for Example 2 based on square quasi-uniform and piecewise meshes with γ = 10 and a 1 = 1 , a 2 = 1000 for NNIPFEM.
( h 1 , x , h 1 , y ) ( h 2 , x , h 2 , y ) D e R a t e D Π e R a t e D I e R a t e
( 1 16 , 1 16 )( 1 16 , 1 16 )5.1043 × 10 1 7.3770 × 10 2 2.7228 × 10 1
( 1 32 , 1 32 )( 1 32 , 1 32 )2.5368 × 10 1 1.00861.7462 × 10 2 2.07876.9024 × 10 2 1.9799
( 1 64 , 1 64 )( 1 64 , 1 64 )1.2667 × 10 1 1.00194.1175 × 10 3 2.08441.7292 × 10 2 1.9969
( 1 128 , 1 128 )( 1 128 , 1 128 )6.3316 × 10 2 1.00049.8873 × 10 4 2.05814.3221 × 10 3 2.0002
( 1 8 , 1 8 )( 1 16 , 1 16 )1.0409 × 10 0 2.8618 × 10 1 1.0224 × 10 0
( 1 16 , 1 16 )( 1 32 , 1 32 )5.1034 × 10 1 1.02847.4612 × 10 2 1.93942.7217 × 10 1 1.9094
( 1 32 , 1 32 )( 1 64 , 1 64 )2.5362 × 10 1 1.00871.7989 × 10 2 2.05226.9001 × 10 2 1.9798
( 1 64 , 1 64 )( 1 128 , 1 128 )1.2663 × 10 1 1.00204.4065 × 10 3 2.02941.7289 × 10 2 1.9967
Table 7. Rates of errors for Example 2 based on rectangular quasi-uniform and piecewise meshes with γ = 10 and a 1 = 1 , a 2 = 1000 for NNIPFEM.
Table 7. Rates of errors for Example 2 based on rectangular quasi-uniform and piecewise meshes with γ = 10 and a 1 = 1 , a 2 = 1000 for NNIPFEM.
( h 1 , x , h 1 , y ) ( h 2 , x , h 2 , y ) D e R a t e D Π e R a t e D I e R a t e
( 1 8 , 1 16 )( 1 8 , 1 16 )8.0920 × 10 1 1.4805 × 10 1 6.0783 × 10 1
( 1 16 , 1 32 )( 1 16 , 1 32 )4.0160 × 10 1 1.01073.8413 × 10 2 1.94641.5756 × 10 1 1.9476
( 1 32 , 1 64 )( 1 32 , 1 64 )2.0035 × 10 1 1.00319.5984 × 10 3 2.00073.9752 × 10 2 1.9868
( 1 64 , 1 128 )( 1 64 , 1 128 )1.0012 × 10 1 1.00082.3824 × 10 3 2.01039.9597 × 10 3 1.9968
( 1 8 , 1 16 )( 1 16 , 1 32 )8.0907 × 10 1 1.4914 × 10 1 6.0755 × 10 1
( 1 16 , 1 32 )( 1 32 , 1 64 )4.0150 × 10 1 1.01083.9040 × 10 2 1.93361.5749 × 10 1 1.9476
( 1 32 , 1 64 )( 1 64 , 1 128 )2.0029 × 10 1 1.00329.9301 × 10 3 1.97503.9735 × 10 2 1.9868
( 1 64 , 1 128 )( 1 128 , 1 256 )1.0008 × 10 1 1.00082.5501 × 10 3 1.96129.9560 × 10 3 1.9967
Table 8. Study of the dependence of the errors on the jump of coefficients with ( a 1 , a 2 ) = ( 1 , 10 ) , ( 1 , 10 2 ) , ( 1 , 10 6 ) , ( h 1 , x , h 1 , y ) = ( 1 / 16 , 1 / 32 ) , and ( h 2 , x , h 2 , y ) = ( 1 / 32 , 1 / 64 ) for SNIPFEM and NNIPFEM, respectively.
Table 8. Study of the dependence of the errors on the jump of coefficients with ( a 1 , a 2 ) = ( 1 , 10 ) , ( 1 , 10 2 ) , ( 1 , 10 6 ) , ( h 1 , x , h 1 , y ) = ( 1 / 16 , 1 / 32 ) , and ( h 2 , x , h 2 , y ) = ( 1 / 32 , 1 / 64 ) for SNIPFEM and NNIPFEM, respectively.
( a 1 , a 2 ) ( 1 , 10 ) ( 1 , 10 2 ) ( 1 , 10 3 ) ( 1 , 10 4 ) ( 1 , 10 5 ) ( 1 , 10 6 )
D e 4.0771 × 10 1 4.0199 × 10 1 4.0134 × 10 1 4.0128 × 10 1 4.0127 × 10 1 4.0127 × 10 1
D Π e 5.3341 × 10 2 3.9508 × 10 2 3.6929 × 10 2 3.6648 × 10 2 3.6620 × 10 2 3.6617 × 10 2
D I e 1.5806 × 10 1 1.5739 × 10 1 1.5732 × 10 1 1.5731 × 10 1 1.5731 × 10 1 1.5731 × 10 1
D e 4.0913 × 10 1 4.0237 × 10 1 4.0150 × 10 1 4.0141 × 10 1 4.0140 × 10 1 4.0140 × 10 1
D Π e 6.5611 × 10 2 4.4112 × 10 2 3.9040 × 10 2 3.8459 × 10 2 3.8400 × 10 2 3.8394 × 10 2
D I e 1.5814 × 10 1 1.5756 × 10 1 1.5749 × 10 1 1.5749 × 10 1 1.5748 × 10 1 1.5748 × 10 1
Disclaimer/Publisher’s Note: The statements, opinions and data contained in all publications are solely those of the individual author(s) and contributor(s) and not of MDPI and/or the editor(s). MDPI and/or the editor(s) disclaim responsibility for any injury to people or property resulting from any ideas, methods, instructions or products referred to in the content.

Share and Cite

MDPI and ACS Style

He, X. Superconvergence of a Nonconforming Interface Penalty Finite Element Method for Elliptic Interface Problems. Axioms 2025, 14, 364. https://doi.org/10.3390/axioms14050364

AMA Style

He X. Superconvergence of a Nonconforming Interface Penalty Finite Element Method for Elliptic Interface Problems. Axioms. 2025; 14(5):364. https://doi.org/10.3390/axioms14050364

Chicago/Turabian Style

He, Xiaoxiao. 2025. "Superconvergence of a Nonconforming Interface Penalty Finite Element Method for Elliptic Interface Problems" Axioms 14, no. 5: 364. https://doi.org/10.3390/axioms14050364

APA Style

He, X. (2025). Superconvergence of a Nonconforming Interface Penalty Finite Element Method for Elliptic Interface Problems. Axioms, 14(5), 364. https://doi.org/10.3390/axioms14050364

Note that from the first issue of 2016, this journal uses article numbers instead of page numbers. See further details here.

Article Metrics

Back to TopTop