EM Algorithm in the Modified Slash Power Maxwell Distribution with an Application
Abstract
1. Introduction
2. Materials and Methods
2.1. Stochastic Representation
2.2. Properties
2.3. Relationships Among Distributions
2.4. Moments
- 1.
- for ;
- 2.
- for ;
- 3.
- for ;
- 4.
- for ;
- 5.
- , for ,
3. Inference
3.1. ML Estimators
3.2. EM Algorithm
3.3. ML Estimators for Censored Data
4. Simulation
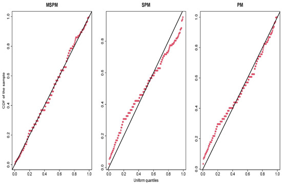
5. Application
6. Conclusions
Author Contributions
Funding
Data Availability Statement
Conflicts of Interest
Abbreviations
| M | Maxwell |
| PM | Power Maxwell |
| SPM | Slash Power Maxwell |
| MSM | Modified Slash Maxwell |
| MSPM | Modified Slash Power Maxwell |
Appendix A
References
- Johnson, N.L.; Kotz, S.; Balakrishnan, N. Continuous Univariate Distributions, 2nd ed.; Wiley: New York, NY, USA, 1995; Volume 1. [Google Scholar]
- Rogers, W.H.; Tukey, J.W. Understanding some long-tailed symmetrical distributions. Statist. Neerl. 1972, 26, 211–226. [Google Scholar]
- Mosteller, F.; Tukey, J.W. Data Analysis and Regression; Addison-Wesley: Reading, MA, USA, 1977. [Google Scholar]
- Kafadar, K. A biweight approach to the one-sample problem. J. Amer. Statist. Assoc. 1982, 77, 416–424. [Google Scholar]
- Wang, J.; Genton, M.G. The multivariate skew-slash distribution. J. Stat. Plan. Inference 2006, 136, 209–220. [Google Scholar] [CrossRef]
- Gómez, Y.M.; Bolfarine, H.; Gómez, H.W. Gumbel distribution with heavy tails and applications to environmental data. Math. Comput. Simul. 2019, 157, 115–129. [Google Scholar] [CrossRef]
- Singh, A.; Bakouch, H.; Kumar, S.; Singh, U. Power Maxwell distribution: Statistical Properties, Estimation311 and Application. arXiv 2018, arXiv:1807.01200v1. [Google Scholar]
- Segovia, F.A.; Gómez, Y.M.; Venegas, O.; Gómez, H.W. Power Maxwell distribution with heavy tails and applications. Mathematics 2020, 8, 1116. [Google Scholar] [CrossRef]
- Prudnikov, A.P.; Brychkov, Y.A.; Marichev, O.I. Integrals and Series; Gordon and Breach Science Publishers: Amsterdam, The Netherlands, 1986; Volumes 1–3. [Google Scholar]
- Maxwell, J.C. On the Dynamical Theory of Gases; Royal Society: London, UK, 1866; Volume 15, pp. 167–171. [Google Scholar]
- Reyes, J.; Iriarte, Y.A. A New Family of Modified Slash Distributions with Applications. Mathematics 2023, 11, 3018. [Google Scholar] [CrossRef]
- Castillo, J.S.; Rojas, M.A.; Reyes, J. A More Flexible Extension of the Fréchet Distribution Based on the Incomplete Gamma Function and Applications. Symmetry Math. 2023, 15, 1608. [Google Scholar]
- Barranco-Chamorro, I.; Iriarte, Y.A.; Gómez, Y.M.; Astorga, J.M.; Gómez, H.W. A generalized Rayleigh family of distributions based on the modified slash model. Symmetry 2021, 13, 1226. [Google Scholar] [CrossRef]
- Reyes, J.; Gómez, H.W.; Bolfarine, H. Modified slash distribution. Statistics 2013, 47, 929–941. [Google Scholar] [CrossRef]
- Balakrishnan, N.; Cohen, C.A. Order Statistics and Inference: Estimation Methods; Statistical Modeling and Decision Science; Elsevier Science: Amsterdam, The Netherlands, 1991. [Google Scholar]
- Jones, D. Elementary Information Theory; Clarendon Press: Oxford, UK, 1979. [Google Scholar]
- Lehman, L.E. Elements of Large-Sample Theory; Springer: New York, NY, USA, 1999. [Google Scholar]
- Dempster, A.; Laird, N.; Rubin, D. Maximum likelihood from incomplete data via the EM algorithm. J. R. Stat. Society. Ser. B 1977, 39, 1–38. [Google Scholar]
- Lawless, J.F. Statistical Models and Methods for Lifetime Data; John Wiley & Sons: Hoboken, NJ, USA, 2003. [Google Scholar]
- R Core Team. R: A Language and Environment for Statistical Computing; R Foundation for Statistical Computing: Vienna, Austria, 2024; Available online: https://www.R-project.org/ (accessed on 15 December 2024).
- Akaike, H. A new look at the statistical model identification. IEEE Trans. Auto. Contr. 1974, 19, 716–723. [Google Scholar] [CrossRef]
- Schwarz, G. Estimating the dimension of a model. Ann. Stat. 1978, 6, 461–464. [Google Scholar] [CrossRef]
- von Mises, R.E. Wahrscheinlichkeit Statistik und Wahrheit; Julius Springer: Berlin, Germany, 1928. [Google Scholar]
- Cramér, H. On the Composition of Elementary Errors. Scand. Actuar. J. 1928, 1928, 13–74. [Google Scholar] [CrossRef]
- Zörnig, P. On Generalized Slash Distributions: Representation by Hypergeometric Functions. Stats 2019, 2, 371–387. [Google Scholar] [CrossRef]












| Distributions | ||||
|---|---|---|---|---|
| SPM(1.5 , 1.5 , 4) | 0.071 | 0.014 | 0.004 | 0.002 |
| MSPM(1.5 , 1.5 , 4) | 0.123 | 0.027 | 0.009 | 0.004 |
| SPM(1.5 , 1.5 , 3) | 0.125 | 0.037 | 0.016 | 0.008 |
| MSPM(1.5 , 1.5 , 3) | 0.206 | 0.070 | 0.030 | 0.016 |
| SPM(1.5 , 1.5 , 2) | 0.233 | 0.104 | 0.058 | 0.037 |
| MSPM(1.5 , 1.5 , 2) | 0.353 | 0.182 | 0.108 | 0.071 |
| SPM(1.5 , 1.5 , 1) | 0.464 | 0.309 | 0.232 | 0.185 |
| MSPM(1.5 , 1.5 , 1) | 0.590 | 0.452 | 0.365 | 0.306 |
| Parameters | |||||||||
|---|---|---|---|---|---|---|---|---|---|
| Estimator | Mean | SD | Mean | SD | Mean | SD | |||
| 0.05 | 1.5 | 3.5 | 0.052 | 0.020 | 0.051 | 0.014 | 0.052 | 0.009 | |
| 1.428 | 0.220 | 1.431 | 0.152 | 1.430 | 0.097 | ||||
| 4.078 | 0.937 | 3.882 | 0.530 | 3.822 | 0.323 | ||||
| 0.05 | 2 | 3 | 0.047 | 0.017 | 0.053 | 0.012 | 0.053 | 0.008 | |
| 1.870 | 0.269 | 1.848 | 0.181 | 1.786 | 0.112 | ||||
| 3.551 | 0.547 | 3.551 | 0.381 | 3.575 | 0.243 | ||||
| 1.5 | 2 | 3 | 1.222 | 1.130 | 1.200 | 1.101 | 1.193 | 0.275 | |
| 1.662 | 1.388 | 1.612 | 1.378 | 1.561 | 0.333 | ||||
| 3.547 | 3.454 | 3.508 | 3.271 | 3.535 | 0.750 | ||||
| 1.5 | 2 | 4 | 1.300 | 0.278 | 1.298 | 1.430 | 1.296 | 1.271 | |
| 1.740 | 0.321 | 1.722 | 1.719 | 1.708 | 1.883 | ||||
| 4.748 | 0.829 | 4.513 | 5.641 | 4.503 | 5.526 | ||||
| 1.5 | 1.5 | 4 | 1.373 | 0.302 | 1.370 | 0.205 | 1.380 | 0.298 | |
| 1.428 | 0.246 | 1.403 | 0.165 | 1.477 | 0.312 | ||||
| 4.498 | 1.138 | 4.385 | 0.669 | 4.102 | 0.850 | ||||
| Dataset | n | ||||
|---|---|---|---|---|---|
| wcc | 202 |
| Parameters | MSPM (SE) | SPM (SE) | PM (SE) |
|---|---|---|---|
| 0.00016 (0.00018) | 0.0024 (0.0001) | 0.004 (0.0005) | |
| 2.472(0.329) | 1.844 (0.040) | 1.4672 (0.035) | |
| 7.895 (1.369) | 3.265 (0.344) | — | |
| LLF | −395.726 | −417.91 | −409.133 |
| AIC | 797.452 | 841.820 | 822.266 |
| BIC | 807.377 | 851.744 | 828.883 |
| p-value | 0.912 | 0.009 | 0.069 |
Disclaimer/Publisher’s Note: The statements, opinions and data contained in all publications are solely those of the individual author(s) and contributor(s) and not of MDPI and/or the editor(s). MDPI and/or the editor(s) disclaim responsibility for any injury to people or property resulting from any ideas, methods, instructions or products referred to in the content. |
© 2025 by the authors. Licensee MDPI, Basel, Switzerland. This article is an open access article distributed under the terms and conditions of the Creative Commons Attribution (CC BY) license (https://creativecommons.org/licenses/by/4.0/).
Share and Cite
Segovia, F.A.; Gómez, Y.M.; Gómez, H.J.; Barranco-Chamorro, I.; Gómez, H.W. EM Algorithm in the Modified Slash Power Maxwell Distribution with an Application. Axioms 2025, 14, 276. https://doi.org/10.3390/axioms14040276
Segovia FA, Gómez YM, Gómez HJ, Barranco-Chamorro I, Gómez HW. EM Algorithm in the Modified Slash Power Maxwell Distribution with an Application. Axioms. 2025; 14(4):276. https://doi.org/10.3390/axioms14040276
Chicago/Turabian StyleSegovia, Francisco A., Yolanda M. Gómez, Héctor J. Gómez, Inmaculada Barranco-Chamorro, and Héctor W. Gómez. 2025. "EM Algorithm in the Modified Slash Power Maxwell Distribution with an Application" Axioms 14, no. 4: 276. https://doi.org/10.3390/axioms14040276
APA StyleSegovia, F. A., Gómez, Y. M., Gómez, H. J., Barranco-Chamorro, I., & Gómez, H. W. (2025). EM Algorithm in the Modified Slash Power Maxwell Distribution with an Application. Axioms, 14(4), 276. https://doi.org/10.3390/axioms14040276

