A Penalized Profile Quasi-Likelihood Method for a Semiparametric Varying Coefficient Spatial Autoregressive Panel Model with Fixed Effects
Abstract
1. Introduction
2. Penalized Profile Quasi-Likelihood Method
3. Asymptotic Results
- C1
- T is finite and greater than 2, and N is large.
- C2
- The disturbances for and are independently and identically distributed with zero mean, and the finite variance is . Additionally, for some , exists.
- C3
- The entries of satisfy and , where as .
- C4
- The matrix is nonsingular for all in a compact parameter space . The sequences are uniformly bounded in either row or column sums for all . The true is in the interior of .
- C5
- The sequences of matrices and are uniformly bounded in both row and column sums.
- C6
- The elements of and are uniformly bounded for all n, and the limit exists and is nonsingular.
- C7
- There exists a constant , such that is positive and semidefinite for all n, where .
- C8
- The limits exist.
- C9
- Third derivatives exist for all in an open set that contains the parameter point . Furthermore, there exist functions , such that for all , where for .
- C10
- For , , where . The distribution of is absolutely continuous, and its density is bound away from zero and infinity on .
- C11
- Let denote the interior knots within the interval and , . Define . There exists a constant C, such that and .
- C12
- The knot number is assumed to satisfy .
- C13
- Let . Then, , as .
- C14
- , and hold.
- (i)
- (ii)
4. Some Issues in Practice
4.1. Selection of Tuning Parameters
4.2. Computational Algorithm
- Step 1
- Initialize .
- Step 2
- Update .
- Step 3
- Iterate Step 2 until convergence, and denote the final estimators as the penalized profile quasi-likelihood estimators.
5. Monte Carlo Simulations
5.1. Example 1: Regular Scenario
5.2. Example 2: High-Dimension Scenario
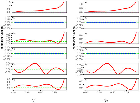
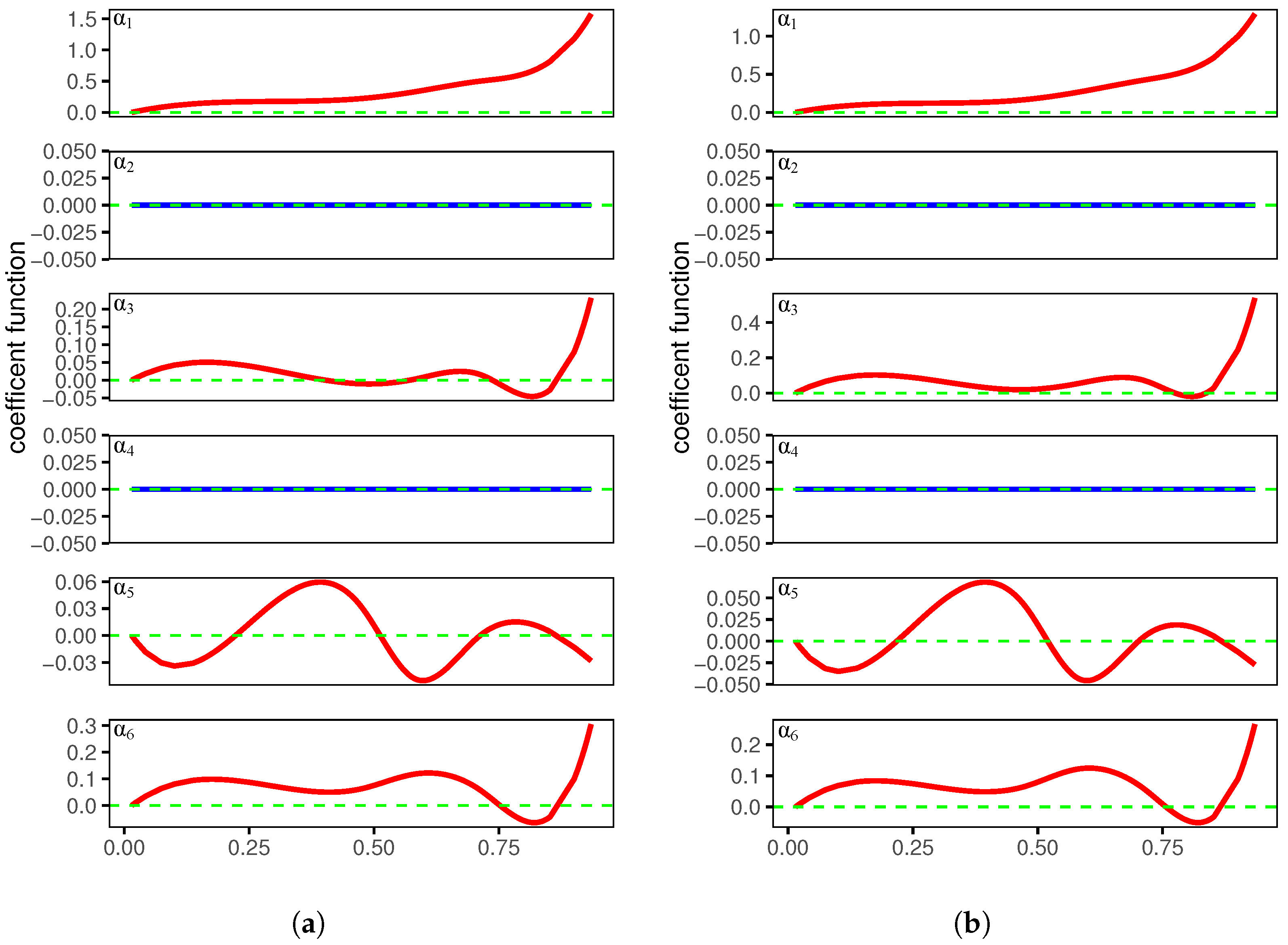
6. A Real Example
7. Discussion and Conclusions
Author Contributions
Funding
Data Availability Statement
Conflicts of Interest
Appendix A. Proof of Theorems
Appendix B. Supplementary Simulation Results
| Method | ||||||||||||||
|---|---|---|---|---|---|---|---|---|---|---|---|---|---|---|
| GMSE | C | I | ASE | C | I | GMSE | C | I | ASE | C | I | |||
| 0 | SCAD | 0.027 | 5.944 | 0 | 0.161 | 4.944 | 0 | 0.076 | 5.938 | 0 | 0.234 | 4.716 | 0 | |
| ALASSO | 0.032 | 5.748 | 0 | 0.160 | 4.960 | 0 | 0.086 | 5.630 | 0 | 0.211 | 4.914 | 0 | ||
| Oracle | 0.027 | 6.000 | 0 | 0.157 | 5.000 | 0 | 0.071 | 6.000 | 0 | 0.206 | 5.000 | 0 | ||
| 0.3 | SCAD | 0.032 | 4.846 | 0 | 0.160 | 4.962 | 0 | 0.084 | 4.798 | 0 | 0.237 | 4.734 | 0 | |
| ALASSO | 0.032 | 4.902 | 0 | 0.158 | 4.968 | 0 | 0.086 | 4.830 | 0 | 0.213 | 4.944 | 0 | ||
| Oracle | 0.029 | 5.000 | 0 | 0.157 | 5.000 | 0 | 0.074 | 5.000 | 0 | 0.207 | 5.000 | 0 | ||
| 0.7 | SCAD | 0.032 | 4.970 | 0 | 0.158 | 4.954 | 0 | 0.092 | 4.966 | 0 | 0.236 | 4.750 | 0 | |
| ALASSO | 0.036 | 4.904 | 0 | 0.158 | 4.960 | 0 | 0.102 | 4.798 | 0 | 0.218 | 4.918 | 0 | ||
| Oracle | 0.031 | 5.000 | 0 | 0.155 | 5.000 | 0 | 0.086 | 5.000 | 0 | 0.211 | 5.000 | 0 | ||
| 0 | SCAD | 0.021 | 5.972 | 0 | 0.140 | 4.918 | 0 | 0.052 | 5.966 | 0 | 0.188 | 4.712 | 0 | |
| ALASSO | 0.025 | 5.836 | 0 | 0.138 | 4.980 | 0 | 0.066 | 5.752 | 0 | 0.172 | 4.946 | 0 | ||
| Oracle | 0.022 | 6.000 | 0 | 0.137 | 5.000 | 0 | 0.051 | 6.000 | 0 | 0.170 | 5.000 | 0 | ||
| 0.3 | SCAD | 0.021 | 4.890 | 0 | 0.138 | 4.932 | 0 | 0.060 | 4.866 | 0 | 0.185 | 4.736 | 0 | |
| ALASSO | 0.023 | 4.944 | 0 | 0.135 | 4.998 | 0 | 0.069 | 4.896 | 0 | 0.170 | 4.982 | 0 | ||
| Oracle | 0.020 | 5.000 | 0 | 0.135 | 5.000 | 0 | 0.059 | 5.000 | 0 | 0.167 | 5.000 | 0 | ||
| 0.7 | SCAD | 0.025 | 4.994 | 0 | 0.139 | 4.922 | 0 | 0.063 | 4.966 | 0 | 0.183 | 4.762 | 0 | |
| ALASSO | 0.030 | 4.920 | 0 | 0.138 | 4.994 | 0 | 0.076 | 4.858 | 0 | 0.174 | 4.956 | 0 | ||
| Oracle | 0.025 | 5.000 | 0 | 0.136 | 5.000 | 0 | 0.060 | 5.000 | 0 | 0.167 | 5.000 | 0 | ||
| 0 | SCAD | 0.015 | 5.992 | 0 | 0.128 | 5.000 | 0 | 0.039 | 5.976 | 0 | 0.152 | 4.988 | 0 | |
| ALASSO | 0.018 | 5.832 | 0 | 0.129 | 4.996 | 0 | 0.053 | 5.812 | 0 | 0.153 | 4.992 | 0 | ||
| Oracle | 0.016 | 6.000 | 0 | 0.128 | 5.000 | 0 | 0.040 | 6.000 | 0 | 0.152 | 5.000 | 0 | ||
| 0.3 | SCAD | 0.020 | 4.932 | 0 | 0.129 | 5.000 | 0 | 0.038 | 4.894 | 0 | 0.151 | 4.998 | 0 | |
| ALASSO | 0.022 | 4.966 | 0 | 0.129 | 4.998 | 0 | 0.043 | 4.928 | 0 | 0.152 | 4.992 | 0 | ||
| Oracle | 0.020 | 5.000 | 0 | 0.129 | 5.000 | 0 | 0.036 | 5.000 | 0 | 0.151 | 5.000 | 0 | ||
| 0.7 | SCAD | 0.020 | 4.988 | 0 | 0.128 | 5.000 | 0 | 0.049 | 4.990 | 0 | 0.151 | 4.998 | 0 | |
| ALASSO | 0.024 | 4.954 | 0 | 0.129 | 4.998 | 0 | 0.060 | 4.926 | 0 | 0.154 | 4.996 | 0 | ||
| Oracle | 0.020 | 5.000 | 0 | 0.128 | 5.000 | 0 | 0.048 | 5.000 | 0 | 0.151 | 5.000 | 0 | ||
| 0 | SCAD | 0.014 | 6.000 | 0 | 0.118 | 4.994 | 0 | 0.028 | 5.998 | 0 | 0.139 | 4.888 | 0 | |
| ALASSO | 0.016 | 5.906 | 0 | 0.119 | 5.000 | 0 | 0.036 | 5.878 | 0 | 0.136 | 4.998 | 0 | ||
| Oracle | 0.014 | 6.000 | 0 | 0.118 | 5.000 | 0 | 0.030 | 6.000 | 0 | 0.135 | 5.000 | 0 | ||
| 0.3 | SCAD | 0.015 | 4.930 | 0 | 0.119 | 4.978 | 0 | 0.037 | 4.958 | 0 | 0.139 | 4.854 | 0 | |
| ALASSO | 0.017 | 4.934 | 0 | 0.120 | 4.984 | 0 | 0.043 | 4.938 | 0 | 0.135 | 5.000 | 0 | ||
| Oracle | 0.015 | 5.000 | 0 | 0.119 | 5.000 | 0 | 0.037 | 5.000 | 0 | 0.134 | 5.000 | 0 | ||
| 0.7 | SCAD | 0.015 | 4.998 | 0 | 0.119 | 4.998 | 0 | 0.030 | 4.990 | 0 | 0.136 | 4.920 | 0 | |
| ALASSO | 0.018 | 4.970 | 0 | 0.119 | 4.998 | 0 | 0.040 | 4.940 | 0 | 0.136 | 4.994 | 0 | ||
| Oracle | 0.016 | 5.000 | 0 | 0.119 | 5.000 | 0 | 0.031 | 5.000 | 0 | 0.134 | 5.000 | 0 | ||
| Method | |||||||||||||
|---|---|---|---|---|---|---|---|---|---|---|---|---|---|
| GMSE | C | I | ASE | C | I | GMSE | C | I | ASE | C | I | ||
| 0 | SCAD | 0.004 | 46.986 | 0 | 0.037 | 11.670 | 0 | 0.010 | 46.982 | 0 | 0.049 | 11.508 | 0 |
| ALASSO | 0.005 | 46.388 | 0 | 0.036 | 11.996 | 0 | 0.018 | 45.818 | 0 | 0.048 | 11.982 | 0 | |
| Oracle | 0.003 | 47.000 | 0 | 0.036 | 12.000 | 0 | 0.009 | 47.000 | 0 | 0.046 | 12.000 | 0 | |
| 0.3 | SCAD | 0.004 | 45.814 | 0 | 0.039 | 10.972 | 0 | 0.011 | 45.602 | 0 | 0.053 | 11.110 | 0 |
| ALASSO | 0.006 | 45.506 | 0 | 0.037 | 11.914 | 0 | 0.018 | 44.648 | 0 | 0.049 | 11.672 | 0 | |
| Oracle | 0.004 | 46.000 | 0 | 0.036 | 12.000 | 0 | 0.009 | 46.000 | 0 | 0.046 | 12.000 | 0 | |
| 0.7 | SCAD | 0.004 | 45.986 | 0 | 0.038 | 11.450 | 0 | 0.011 | 45.964 | 0 | 0.049 | 11.420 | 0 |
| ALASSO | 0.006 | 45.568 | 0 | 0.037 | 11.992 | 0 | 0.021 | 44.846 | 0 | 0.048 | 11.964 | 0 | |
| Oracle | 0.004 | 46.000 | 0 | 0.036 | 12.000 | 0 | 0.010 | 46.000 | 0 | 0.046 | 12.000 | 0 | |
References
- Anselin, L.; Hudak, S. Spatial econometrics in practice: A review of software options. Reg. Sci. Urban Econ. 1992, 22, 509–536. [Google Scholar] [CrossRef]
- Baltagi, B.H.; Heun Song, S.; Cheol Jung, B.; Koh, W. Testing for serial correlation, spatial autocorrelation and random effects using panel data. J. Econom. 2007, 140, 5–51. [Google Scholar] [CrossRef]
- Kapoor, M.; Kelejian, H.H.; Prucha, I.R. Panel data models with spatially correlated error components. J. Econom. 2007, 140, 97–130. [Google Scholar] [CrossRef]
- Baltagi, B.H.; Kao, C.; Liu, L. Asymptotic properties of estimators for the linear panel regression model with random individual effects and serially correlated errors: The case of stationary and non-stationary regressors and residuals. Econom. J. 2008, 11, 554–572. [Google Scholar] [CrossRef]
- Lee, L.F.; Yu, J. Estimation of spatial autoregressive panel data models with fixed effects. J. Econom. 2010, 154, 165–185. [Google Scholar] [CrossRef]
- Ai, C.; Zhang, Y. Estimation of partially specified spatial panel data models with fixed-effects. Econom. Rev. 2017, 36, 6–22. [Google Scholar] [CrossRef]
- Zhang, Y.; Sun, Y. Estimation of partially specified dynamic spatial panel data models with fixed-effects. Reg. Sci. Urban Econ. 2015, 51, 37–46. [Google Scholar] [CrossRef] [PubMed]
- Zhang, Y.; Shen, D. Estimation of semi-parametric varying-coefficient spatial panel data models with random-effects. J. Stat. Plan. Inference 2015, 159, 64–80. [Google Scholar] [CrossRef]
- Feng, S.; Tong, T.; Chiu, S.N. Statistical Inference for Partially Linear Varying Coefficient Spatial Autoregressive Panel Data Model. Mathematics 2023, 11, 4606. [Google Scholar] [CrossRef]
- Hu, X. Estimation in a semi-varying coefficient model for panel data with fixed effects. J. Syst. Sci. Complex. 2014, 27, 594–604. [Google Scholar] [CrossRef]
- He, B.; Hong, X.; Fan, G. Empirical likelihood for semi-varying coefficient models for panel data with fixed effects. J. Korean Stat. Soc. 2016, 45, 395–408. [Google Scholar] [CrossRef]
- Feng, S.; He, W.; Li, F. Model detection and estimation for varying coefficient panel data models with fixed effects. Comput. Stat. Data Anal. 2020, 152, 107054. [Google Scholar] [CrossRef]
- Feng, S.; Li, G.; Peng, H.; Tong, T. Varying coefficient panel data model with interactive fixed effects. Stat. Sin. 2021, 31, 935–957. [Google Scholar] [CrossRef]
- Sun, Y.; Carroll, R.; Li, D. Semiparametric estimation of fixed-effects panel data varying coefficient models. Adv. Econom. 2009, 25, 101–129. [Google Scholar]
- Tibshirani, R. Regression Shrinkage and Selection Via the Lasso. J. R. Stat. Soc. Ser. B (Methodol.) 1996, 58, 267–288. [Google Scholar] [CrossRef]
- Fan, J.; Li, R. Variable Selection via Nonconcave Penalized Likelihood and its Oracle Properties. J. Am. Stat. Assoc. 2001, 96, 1348–1360. [Google Scholar] [CrossRef]
- Zou, H. The Adaptive Lasso and Its Oracle Properties. J. Am. Stat. Assoc. 2006, 101, 1418–1429. [Google Scholar] [CrossRef]
- Wang, L.; Li, H.; Huang, J.Z. Variable Selection in Nonparametric Varying-Coefficient Models for Analysis of Repeated Measurements. J. Am. Stat. Assoc. 2008, 103, 1556–1569. [Google Scholar] [CrossRef]
- Li, R.; Liang, H. Variable selection in semiparametric regression modeling. Ann. Stat. 2008, 36, 261–286. [Google Scholar] [CrossRef]
- Wang, H.J.; Zhu, Z.; Zhou, J. Quantile regression in partially linear varying coefficient models. Ann. Stat. 2009, 37, 3841–3866. [Google Scholar] [CrossRef]
- Zhao, P.; Xue, L. Variable selection for semiparametric varying coefficient partially linear models. Stat. Probab. Lett. 2009, 79, 2148–2157. [Google Scholar] [CrossRef]
- Tian, R.; Xue, L.; Liu, C. Penalized quadratic inference functions for semiparametric varying coefficient partially linear models with longitudinal data. J. Multivar. Anal. 2014, 132, 94–110. [Google Scholar] [CrossRef]
- Tian, R.; Xue, L.; Hu, Y. Smooth-threshold GEE variable selection for varying coefficient partially linear models with longitudinal data. J. Korean Stat. Soc. 2015, 44, 419–431. [Google Scholar] [CrossRef]
- Li, R.; Mu, S.; Hao, R. Estimation and variable selection for partially linear additive models with measurement errors. Commun. Stat. Theory Methods 2021, 50, 1416–1445. [Google Scholar] [CrossRef]
- Ma, X.; Du, Y.; Wang, J. Model detection and variable selection for mode varying coefficient model. Stat. Methods Appl. 2022, 31, 321–341. [Google Scholar] [CrossRef]
- Liu, Y.; Wang, Z.; Tian, M.; Yu, K. Estimation and variable selection for generalized functional partially varying coefficient hybrid models. Stat. Pap. 2024, 65, 93–119. [Google Scholar] [CrossRef]
- Neyman, J.; Scott, E.L. Consistent Estimates Based on Partially Consistent Observations. Econometrica 1948, 16, 1–32. [Google Scholar] [CrossRef]
- Liu, X.; Chen, J.; Cheng, S. A penalized quasi-maximum likelihood method for variable selection in the spatial autoregressive model. Spat. Stat. 2018, 25, 86–104. [Google Scholar] [CrossRef]
- Xie, T.; Cao, R.; Du, J. Variable selection for spatial autoregressive models with a diverging number of parameters. Stat. Pap. 2020, 61, 1125–1145. [Google Scholar] [CrossRef]
- Luo, G.; Wu, M. Variable selection for semiparametric varying-coefficient spatial autoregressive models with a diverging number of parameters. Commun. Stat. Theory Methods 2021, 50, 2062–2079. [Google Scholar] [CrossRef]
- Lee, L.F. Asymptotic Distributions of Quasi-Maximum Likelihood Estimators for Spatial Autoregressive Models. Econometrica 2004, 72, 1899–1925. [Google Scholar] [CrossRef]
- Tian, R.; Xia, M.; Xu, D. Profile quasi-maximum likelihood estimation for semiparametric varying-coefficient spatial autoregressive panel models with fixed effects. Stat. Pap. 2024, 65, 5109–5143. [Google Scholar] [CrossRef]
- Kelejian, H.H.; Prucha, I.R. On the asymptotic distribution of the Moran I test statistic with applications. J. Econom. 2001, 104, 219–257. [Google Scholar] [CrossRef]
- He, X.; Fung, W.K.; Zhu, Z. Robust Estimation in Generalized Partial Linear Models for Clustered Data. J. Am. Stat. Assoc. 2005, 100, 1176–1184. [Google Scholar] [CrossRef]
- Stone, C.J. Optimal Global Rates of Convergence for Nonparametric Regression. Ann. Stat. 1982, 10, 1040–1053. [Google Scholar] [CrossRef]
- Dietz, T.; Rosa, E. Effects of population and affluence on CO2 emissions. Proc. Natl. Acad. Sci. USA 1997, 94, 175–179. [Google Scholar] [CrossRef]
- Wen, L.; Shao, H. Analysis of influencing factors of the carbon dioxide emissions in China’s commercial department based on the STIRPAT model and ridge regression. Environ. Sci. Pollut. Res. 2019, 26, 27138–27147. [Google Scholar] [CrossRef] [PubMed]
- Li, W.; Wang, W.; Wang, Y.; Qin, Y. Industrial structure, technological progress and CO2 emissions in China: Analysis based on the STIRPAT framework. Nat. Hazards 2017, 88, 1545–1564. [Google Scholar] [CrossRef]

| N | Method | |||||||||||||
|---|---|---|---|---|---|---|---|---|---|---|---|---|---|---|
| GMSE | C | I | ASE | C | I | GMSE | C | I | ASE | C | I | |||
| 30 | 0 | SCAD | 0.020 | 5.970 | 0 | 0.158 | 4.950 | 0 | 0.049 | 5.966 | 0 | 0.234 | 4.722 | 0 |
| ALASSO | 0.025 | 5.772 | 0 | 0.158 | 4.958 | 0 | 0.062 | 5.654 | 0 | 0.210 | 4.924 | 0 | ||
| Oracle | 0.020 | 6.000 | 0 | 0.155 | 5.000 | 0 | 0.044 | 6.000 | 0 | 0.207 | 5.000 | 0 | ||
| 0.3 | SCAD | 0.030 | 4.822 | 0 | 0.160 | 4.940 | 0 | 0.064 | 4.802 | 0 | 0.235 | 4.726 | 0 | |
| ALASSO | 0.028 | 4.880 | 0 | 0.157 | 4.950 | 0 | 0.064 | 4.812 | 0 | 0.214 | 4.920 | 0 | ||
| Oracle | 0.025 | 5.000 | 0 | 0.156 | 5.000 | 0 | 0.052 | 5.000 | 0 | 0.206 | 5.000 | 0 | ||
| 0.7 | SCAD | 0.026 | 4.984 | 0 | 0.159 | 4.962 | 0 | 0.069 | 4.966 | 0 | 0.233 | 4.758 | 0 | |
| ALASSO | 0.030 | 4.916 | 0 | 0.158 | 4.972 | 0 | 0.081 | 4.828 | 0 | 0.218 | 4.934 | 0 | ||
| Oracle | 0.025 | 5.000 | 0 | 0.156 | 5.000 | 0 | 0.063 | 5.000 | 0 | 0.209 | 5.000 | 0 | ||
| 60 | 0 | SCAD | 0.011 | 5.990 | 0 | 0.128 | 4.992 | 0 | 0.023 | 5.986 | 0 | 0.160 | 4.826 | 0 |
| ALASSO | 0.014 | 5.834 | 0 | 0.128 | 4.998 | 0 | 0.032 | 5.742 | 0 | 0.154 | 4.990 | 0 | ||
| Oracle | 0.012 | 6.000 | 0 | 0.128 | 5.000 | 0 | 0.024 | 6.000 | 0 | 0.152 | 5.000 | 0 | ||
| 0.3 | SCAD | 0.015 | 4.944 | 0 | 0.129 | 4.980 | 0 | 0.027 | 4.896 | 0 | 0.162 | 4.778 | 0 | |
| ALASSO | 0.016 | 4.958 | 0 | 0.129 | 5.000 | 0 | 0.030 | 4.906 | 0 | 0.154 | 4.990 | 0 | ||
| Oracle | 0.014 | 5.000 | 0 | 0.128 | 5.000 | 0 | 0.026 | 5.000 | 0 | 0.152 | 5.000 | 0 | ||
| 0.7 | SCAD | 0.015 | 4.988 | 0 | 0.129 | 4.978 | 0 | 0.029 | 4.990 | 0 | 0.159 | 4.848 | 0 | |
| ALASSO | 0.018 | 4.956 | 0 | 0.129 | 4.996 | 0 | 0.036 | 4.890 | 0 | 0.155 | 4.992 | 0 | ||
| Oracle | 0.015 | 5.000 | 0 | 0.128 | 5.000 | 0 | 0.029 | 5.000 | 0 | 0.152 | 5.000 | 0 | ||
| N | Method | |||||||||||||
|---|---|---|---|---|---|---|---|---|---|---|---|---|---|---|
| GMSE | C | I | ASE | C | I | GMSE | C | I | ASE | C | I | |||
| 30 | 0 | SCAD | 0.014 | 5.974 | 0 | 0.138 | 4.930 | 0 | 0.031 | 5.960 | 0 | 0.179 | 4.796 | 0 |
| ALASSO | 0.018 | 5.810 | 0 | 0.136 | 4.990 | 0 | 0.045 | 5.730 | 0 | 0.168 | 4.984 | 0 | ||
| Oracle | 0.015 | 6.000 | 0 | 0.135 | 5.000 | 0 | 0.030 | 6.000 | 0 | 0.166 | 5.000 | 0 | ||
| 0.3 | SCAD | 0.017 | 4.918 | 0 | 0.137 | 4.944 | 0 | 0.038 | 4.874 | 0 | 0.187 | 4.702 | 0 | |
| ALASSO | 0.019 | 4.952 | 0 | 0.135 | 4.998 | 0 | 0.046 | 4.902 | 0 | 0.172 | 4.962 | 0 | ||
| Oracle | 0.016 | 5.000 | 0 | 0.135 | 5.000 | 0 | 0.035 | 5.000 | 0 | 0.168 | 5.000 | 0 | ||
| 0.7 | SCAD | 0.019 | 4.980 | 0 | 0.139 | 4.934 | 0 | 0.045 | 4.978 | 0 | 0.185 | 4.740 | 0 | |
| ALASSO | 0.023 | 4.930 | 0 | 0.137 | 4.988 | 0 | 0.058 | 4.854 | 0 | 0.172 | 4.964 | 0 | ||
| Oracle | 0.019 | 5.000 | 0 | 0.136 | 5.000 | 0 | 0.042 | 5.000 | 0 | 0.168 | 5.000 | 0 | ||
| 60 | 0 | SCAD | 0.011 | 5.994 | 0 | 0.118 | 4.988 | 0 | 0.018 | 5.984 | 0 | 0.137 | 4.910 | 0 |
| ALASSO | 0.013 | 5.864 | 0 | 0.119 | 4.988 | 0 | 0.025 | 5.836 | 0 | 0.135 | 5.000 | 0 | ||
| Oracle | 0.012 | 6.000 | 0 | 0.118 | 5.000 | 0 | 0.019 | 6.000 | 0 | 0.134 | 5.000 | 0 | ||
| 0.3 | SCAD | 0.012 | 4.974 | 0 | 0.119 | 4.994 | 0 | 0.020 | 4.942 | 0 | 0.137 | 4.892 | 0 | |
| ALASSO | 0.013 | 4.978 | 0 | 0.119 | 5.000 | 0 | 0.024 | 4.950 | 0 | 0.136 | 4.996 | 0 | ||
| Oracle | 0.012 | 5.000 | 0 | 0.119 | 5.000 | 0 | 0.020 | 5.000 | 0 | 0.134 | 5.000 | 0 | ||
| 0.7 | SCAD | 0.013 | 4.998 | 0 | 0.120 | 4.994 | 0 | 0.022 | 4.996 | 0 | 0.138 | 4.904 | 0 | |
| ALASSO | 0.016 | 4.976 | 0 | 0.120 | 5.000 | 0 | 0.031 | 4.954 | 0 | 0.138 | 4.994 | 0 | ||
| Oracle | 0.013 | 5.000 | 0 | 0.120 | 5.000 | 0 | 0.023 | 5.000 | 0 | 0.135 | 5.000 | 0 | ||
| First-Tier Indicators | Second-Tier Indicators | Abbreviation | Symbol |
|---|---|---|---|
| Environmental impact | Carbon emissions per capita | CE | |
| Population | Urbanization rate | UR | |
| Science and technology | Energy intensity | EI | |
| R&D funding intensity | RDF | ||
| Finance | Financial Interrelation Ratio | FIR | |
| Financial Efficiency | FE | ||
| Transport | Freight volume per capita | FV | |
| Public transport passenger volume per capita | PTPV | ||
| Ecology | Percentage of forest cover | PF | |
| Energy Structure | Coal consumption proportion | CCP | |
| Affluence | GDP per capita | GDP | |
| Fiscal revenue per capita | FR | ||
| Residents consumption level | RCL | ||
| Disposable income per capita | DI | ||
| Import and export amount per capita | IEA | ||
| Fixed investment per capita | FINV |
| Method | ||||||||||
|---|---|---|---|---|---|---|---|---|---|---|
| SCAD | 0.154 | 0 | 0.350 | 0.087 | 0.245 | 0 | 0.100 | −0.014 | 0 | 0.005 |
| ALASSO | 0.167 | 0 | 0.355 | 0.120 | 0.193 | 0 | 0.113 | −0.017 | 0 | 0.005 |
Disclaimer/Publisher’s Note: The statements, opinions and data contained in all publications are solely those of the individual author(s) and contributor(s) and not of MDPI and/or the editor(s). MDPI and/or the editor(s) disclaim responsibility for any injury to people or property resulting from any ideas, methods, instructions or products referred to in the content. |
© 2025 by the authors. Licensee MDPI, Basel, Switzerland. This article is an open access article distributed under the terms and conditions of the Creative Commons Attribution (CC BY) license (https://creativecommons.org/licenses/by/4.0/).
Share and Cite
Tian, R.; Xia, M.; Xu, D. A Penalized Profile Quasi-Likelihood Method for a Semiparametric Varying Coefficient Spatial Autoregressive Panel Model with Fixed Effects. Axioms 2025, 14, 121. https://doi.org/10.3390/axioms14020121
Tian R, Xia M, Xu D. A Penalized Profile Quasi-Likelihood Method for a Semiparametric Varying Coefficient Spatial Autoregressive Panel Model with Fixed Effects. Axioms. 2025; 14(2):121. https://doi.org/10.3390/axioms14020121
Chicago/Turabian StyleTian, Ruiqin, Miaojie Xia, and Dengke Xu. 2025. "A Penalized Profile Quasi-Likelihood Method for a Semiparametric Varying Coefficient Spatial Autoregressive Panel Model with Fixed Effects" Axioms 14, no. 2: 121. https://doi.org/10.3390/axioms14020121
APA StyleTian, R., Xia, M., & Xu, D. (2025). A Penalized Profile Quasi-Likelihood Method for a Semiparametric Varying Coefficient Spatial Autoregressive Panel Model with Fixed Effects. Axioms, 14(2), 121. https://doi.org/10.3390/axioms14020121

