An Efficient Temporal Two-Mesh Compact ADI Method for Nonlinear Schrödinger Equations with Error Analysis
Abstract
1. Introduction
- In order to handle the nonlinearity, we adopt the temporal two-mesh technique, which is similar to the two-grid method but focuses specifically on splitting the time domain into coarse and fine grids. Meanwhile, the ADI technique is applied, respectively, to the nonlinear and linear schemes, decomposing multidimensional problems into sequences of independent one-dimensional subproblems.
- To deal with the discrete -norm error term , we introduce a discrete version of the Sobolev inequality [31,49,50] and apply the standard energy method to provide a detailed estimate for this term. Here, denotes the exact solution at , while represents its approximation on the coarse temporal mesh. Notably, our proof avoids the need for a separate, complex derivation of an optimal error estimate in the discrete maximum norm on the coarse temporal mesh.
- We prove convergence results with an order of in both the discrete -norm and -norm. Here, and denote the coarse and fine time steps, respectively, and h is the spatial step size. Additionally, the discrete conservation laws of the proposed scheme are analyzed on the coarse temporal mesh.
- We perform several numerical tests on the focusing and defocusing models to simulate long-term dynamics and blow-up solutions, thereby demonstrating the computational efficiency of our proposed algorithm.These tests confirm that the algorithm produces highly accurate results, conserves discrete mass and energy, and reduces CPU usage.
2. Notations and the TTM Compact ADI Scheme
3. Some Basic Lemmas
4. Numerical Analysis of the TTM Compact ADI Scheme
4.1. Conservation
4.2. A Priori Estimate
4.3. Convergence
5. Numerical Examples
| Algorithm 1 Implementation of the iterative algorithm (88) |
|
- (i)
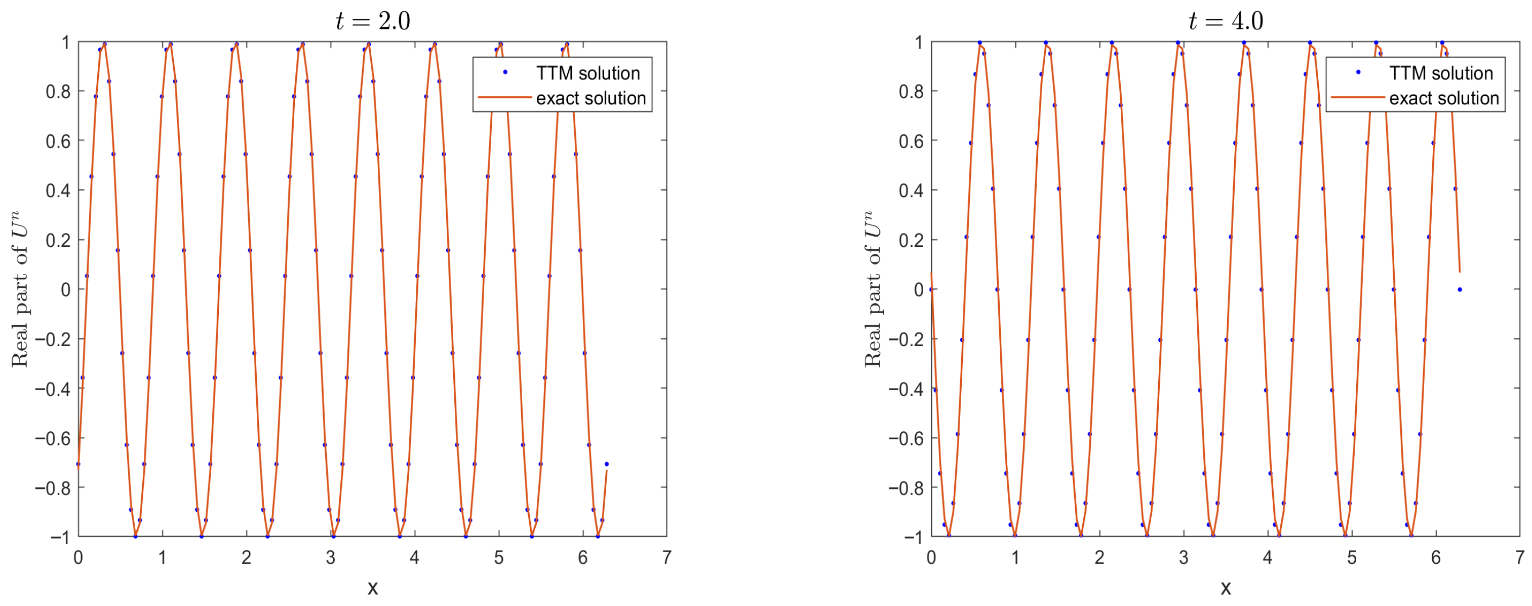
- The errors produced by both methods exhibit similar magnitudes when assessed under discrete norms. Specifically, under both the discrete -norm and -norm, the observed convergence rates are approximately second-order in time and fourth-order in space. These findings validate the theoretical accuracy established in Theorems 5 and 6.
- (ii)
- As shown by the CPU time comparison, the proposed TTM scheme requires less computation time than the FN scheme. This demonstrates that the TTM scheme is computationally more efficient than the fully nonlinear implicit scheme.
- (i)
- Strong singular solutions emerge at and , while multiple waveforms appear at .
- (ii)
- Until , the numerical mass and energy showed minimal variation. Beyond , however, conservation laws were no longer maintained for either quantity.
6. Conclusions
Author Contributions
Funding
Data Availability Statement
Conflicts of Interest
References
- Bao, W.; Qu, D.; Zhang, Y. Dynamics of rotating Bose-Einstein condensates and its efficient and accurate numerical computation. SIAM J. Appl. Math. 2006, 66, 758–786. [Google Scholar] [CrossRef]
- Cazenave, T. Semilinear Schrödinger Equations (Courant Lecture Notes in Mathematics); New York University, Courant Institute of Mathematical Sciences, AMS: New York, NY, USA, 2003; Volume 10. [Google Scholar]
- Makhankov, V.G. Dynamics of classical solitons (in non-integrable systems). Phys. Lett. C 1978, 35, 1–128. [Google Scholar] [CrossRef]
- Sulem, C.; Sulem, P.L. The Nonlinear Schrödinger Equation: Self-Focusing and Wave Collapse; Springer: New York, NY, USA, 1999. [Google Scholar]
- Dehghan, M.; Taleei, A. A compact split-step finite difference method for solving the nonlinear Schrödinger equations with constant and variable coefficients. Comput. Phys. Comm. 2010, 181, 43–51. [Google Scholar] [CrossRef]
- Bao, W.; Cai, Y.Y. Uniform error estimates of finite difference methods for the nonlinear Schrödinger equation with wave operator. SIAM J. Numer. Anal. 2012, 50, 492–521. [Google Scholar] [CrossRef]
- Li, X.; Zhang, L.; Wang, S. A compact finite difference scheme for the nonlinear Schrödinger equation with wave operator. Appl. Math. Comput. 2012, 219, 3187–3197. [Google Scholar] [CrossRef]
- Liao, H.; Sun, Z.; Shi, H. Maximum norm error analysis of explicit schemes for two-dimensional nonlinear Schrödinger equations. Sci. Sin. Math. 2010, 4, 827–842. (In Chinese) [Google Scholar]
- Wang, H. Numerical studies on the split-step finite difference method for nonlinear Schrödinger equations. Appl. Math. Comput. 2005, 170, 17–35. [Google Scholar] [CrossRef]
- Rizea, M.; Ledoux, V.; Daele, M.V.; Berghe, G.V.; Carjan, N. Finite difference approach for the two-dimensional Schrödinger equation with application to scission-neutron emission. Comput. Phys. Commun. 2008, 179, 466–478. [Google Scholar] [CrossRef]
- Karakashian, O.; Makridakis, C. A space-time finite element method for the nonlinear Schrödinger equation: The discontinuous Galerkin method. Math. Comp. 1998, 67, 479–499. [Google Scholar] [CrossRef]
- Shi, D.Y.; Wang, J.J. Unconditional Superconvergence Analysis of a Crank-Nicolson Galerkin FEM for Nonlinear Schrödinger Equation. J. Sci. Comput. 2017, 72, 1093–1118. [Google Scholar] [CrossRef]
- Wang, J.L. A new error analysis of Crank-Nicolson Galerkin FEMs for a generalized nonlinear Schrödinger equation. J. Sci. Comput. 2014, 60, 390–407. [Google Scholar] [CrossRef]
- Gong, X.; Shen, L.; Zhou, A. Finite element approximations for Schrödinger equations with applications to electronic structure computations. J. Comput. Math. 2008, 23, 310–327. [Google Scholar]
- Gong, Y.; Wang, Q.; Wang, Y.; Cai, J. A conservative Fourier pseudo-spectral method for the nonlinear Schrödinger equation. J. Comput. Phys. 2017, 328, 354–370. [Google Scholar] [CrossRef]
- Zhang, R.; Zhu, J.; Yu, X.; Li, M.; Loula, A.F.D. A conservative spectral collocation method for the nonlinear Schrödinger equation in two dimensions. Appl. Math. Comput. 2017, 310, 194–203. [Google Scholar] [CrossRef]
- Xu, Y.; Shu, C.W. Local discontinuous Galerkin methods for nonlinear Schrödinger equations. J. Comput. Phys. 2005, 205, 72–77. [Google Scholar] [CrossRef]
- Li, M.; Zhao, J.K.; Wang, N.; Chen, S.C. Conforming and nonconforming conservative virtual element methods for nonlinear Schrödinger equation: A unified framework. Comput. Methods Appl. Mech. Eng. 2021, 380, 113793. [Google Scholar] [CrossRef]
- Bao, W.; Cai, Y.Y. Uniform and optimal error estimates of an exponential wave integrator sine pseudospectral method for the nonlinear Schrödinger equation with wave operator. SIAM J. Numer. Anal. 2014, 52, 1103–1127. [Google Scholar] [CrossRef]
- Dehghan, M.; Taleei, A. Numerical solution of nonlinear Schrödinger equation by using time-space pseudo-spectral method. Numer. Methods Partial Differ. Equ. 2010, 26, 979–992. [Google Scholar] [CrossRef]
- Dehghan, M.; Shokri, A. A numerical method for two-dimensional Schrödinger equation using collocation and radial basis functions. Comput. Math. Appl. 2007, 54, 136–146. [Google Scholar] [CrossRef]
- Bao, W.; Jin, S.; Markowich, P.A. On time-splitting spectral approximation for the Schrödinger equation in the semiclassical regime. J. Comput. Phys. 2002, 175, 487–524. [Google Scholar] [CrossRef]
- Chang, Q.; Jia, E.; Sun, W. Difference schemes for solving the generalized nonlinear Schrödinger equation. J. Comput. Phys. 1999, 148, 397–415. [Google Scholar] [CrossRef]
- Thalhammer, M.; Caliari, M.; Neuhauser, C. High-order time-splitting Hermite and Fourier spectral methods. J. Comput. Phys. 2009, 228, 822–832. [Google Scholar] [CrossRef]
- Kong, L.; Duan, Y.; Wang, L.; Yin, X.; Ma, Y. Spectral-like resolution compact ADI finite difference method for the multi-dimensional Schrödinger equations. Math. Comput. Model. 2012, 55, 1798–1812. [Google Scholar] [CrossRef]
- Tian, Z.F.; Yu, P.X. High-order compact ADI (HOC-ADI) method for solving unsteady 2D Schrödinger equation. Comput. Phys. Commun. 2010, 181, 861–868. [Google Scholar] [CrossRef]
- Xu, Y.; Zhang, L. Alternating direction implicit method for solving two dimensional cubic nonlinear Schrödinger equation. Comput. Phys. Commun. 2012, 183, 1082–1093. [Google Scholar] [CrossRef]
- Eskar, R.; Huang, P.; Feng, X. A new high-order compact ADI finite difference scheme for solving 3D nonlinear Schrödinger equation. Adv. Differ. Equ. 2018, 2018, 286. [Google Scholar] [CrossRef]
- He, D.; Pan, K. An unconditionally stable linearized CCD-ADI method for generalized nonlinear Schrödinger equations with variable coefficients in two and three dimensions. Comput. Math. Appl. 2017, 73, 2360–2374. [Google Scholar] [CrossRef]
- Gao, Z.; Xie, S. Fourth-order alternating direction implicit compact finite difference schemes for two-dimensional Schrödinger equations. Appl. Numer. Math. 2011, 61, 593–614. [Google Scholar] [CrossRef]
- Wang, T.; Guo, B.; Xu, Q. Fourth-order compact and energy conservative difference schemes for the nonlinear Schrödinger equation in two dimensions. J. Comput. Phys. 2013, 243, 382–399. [Google Scholar] [CrossRef]
- Wang, T.; Zhao, X. Unconditional L∞-convergence of two compact conservative finite difference schemes for the nonlinear Schrödinger equation in multi-dimensions. Calcolo 2018, 55, 34. [Google Scholar] [CrossRef]
- Chen, J.; Chen, F. Unconditional L∞ convergence of a compact ADI scheme for coupled nonlinear Schrödinger system. Appl. Numer. Math. 2020, 153, 430–442. [Google Scholar] [CrossRef]
- Jiang, C.; Cui, J.; Qian, X.; Song, S. High-order linearly implicit structure-preserving exponential integrators for the nonlinear Schrödinger equation. J. Sci. Comput. 2022, 90, 66. [Google Scholar] [CrossRef]
- Weideman, J.A.C.; Herbst, B.M. Split-step methods for the solution of the nonlinear Schrödinger equation. SIAM J. Numer. Anal. 1986, 23, 485–507. [Google Scholar] [CrossRef]
- Xu, J. A novel two-grid method for semilinear elliptic equations. SIAM J. Sci. Comput. 1994, 15, 231–237. [Google Scholar] [CrossRef]
- Jin, J.C.; Wei, N.; Zhang, H.M. A two-grid finite-element method for the nonlinear Schrödinger equation. J. Comput. Math. 2015, 33, 146–157. [Google Scholar] [CrossRef]
- Chien, C.S.; Huang, H.T.; Jeng, B.W.; Li, Z.C. Two-grid discretization schemes for nonlinear Schrödinger equations. J. Comput. Appl. Math. 2008, 214, 549–571. [Google Scholar] [CrossRef]
- Wu, L. Two-grid mixed finite-element methods for nonlinear Schrödinger equations. Numer. Methods Partial. Differ. Equ. 2012, 28, 63–73. [Google Scholar] [CrossRef]
- Hu, H.Z.; Chen, Y.P. Numerical solution of two-dimensional nonlinear Schrödinger equation using a new two-grid finite element method. J. Comput. Appl. Math. 2020, 364, 112333. [Google Scholar] [CrossRef]
- Tian, Z.K.; Chen, Y.P.; Huang, Y.Q.; Wang, J.Y. Two-grid method for the two-dimensional time-dependent Schrödinger equation by the finite element method. Comput. Math. Appl. 2019, 77, 3043–3053. [Google Scholar] [CrossRef]
- Zhang, H.M.; Yin, J.H.; Jin, J.C. A two-grid finite-volume method for the Schrödinger equation. Adv. Appl. Math. Mech. 2021, 13, 176–190. [Google Scholar] [CrossRef]
- Chen, C.J.; Lou, Y.Z.; Hu, H.Z. Two-grid finite volume element method for the time-dependent Schrödinger equation. Comput. Math. Appl. 2022, 108, 185–195. [Google Scholar] [CrossRef]
- Wang, J.J.; Li, M.; Guo, L.J. Superconvergence analysis for nonlinear Schrödinger equation with two-grid finite element method. Appl. Math. Lett. 2021, 122, 107553. [Google Scholar] [CrossRef]
- Ignat, L.; Zuazua, E. A two-grid approximation scheme for nonlinear Schrödinger equations: Dispersive properties and convergence. C. R. Acad. Sci. Paris, Ser. I 2005, 341, 381–386. [Google Scholar] [CrossRef]
- Liu, Y.; Yu, Z.D.; Li, H.; Liu, F.W.; Wang, J.F. Time two-mesh algorithm combined with finite element method for time fractional water wave model. Int. J. Heat Mass Tran. 2018, 120, 1132–1145. [Google Scholar] [CrossRef]
- He, S.; Liu, Y.; Li, H. A time two-mesh compact difference method for the one-dimensional nonlinear Schrödinger equation. Entropy 2022, 24, 806. [Google Scholar] [CrossRef]
- Wang, Z.; Xiao, M.; Mo, Y. Time two-grid fitted scheme for the nonlinear time fractional Schrödinger equation with nonsmooth solutions. Commun. Nonlinear Sci. Numer. Simulat. 2024, 137, 108119. [Google Scholar] [CrossRef]
- Zhang, Y.; Sun, Z. Error analysis of a compact ADI scheme for the 2D fractional subdiffusion equation. J. Sci. Comput. 2014, 59, 104–128. [Google Scholar] [CrossRef]
- Zhang, Y.; Sun, Z.; Wang, T. Convergence analysis of a linearized Crank-Nicolson scheme for the two-dimensional complex Ginzburg-Landau equation. Numer. Methods Partial. Differ. Equ. 2013, 29, 1487–1503. [Google Scholar] [CrossRef]
- Chen, X.; Di, Y.; Duan, J.; Li, D. Linearized compact ADI schemes for nonlinear time-fractional Schrödinger equations. Appl. Math. Lett. 2018, 84, 160–167. [Google Scholar] [CrossRef]









| 10.17 | |||||||
| 1.9809 | 1.9829 | 33.76 | |||||
| 1.9992 | 1.9981 | 121.91 | |||||
| 2.0175 | 2.0090 | 208.73 | |||||
| 20.75 | |||||||
| 2.0002 | 2.0002 | 63.38 | |||||
| 2.0019 | 2.0019 | 322.06 | |||||
| 2.0094 | 2.0094 | 395.41 |
| h | ||||||
| 4.09 | ||||||
| 4.0246 | 4.2971 | 7.12 | ||||
| 4.0065 | 4.2102 | 14.72 | ||||
| 4.0017 | 4.0460 | 38.09 | ||||
| h | ||||||
| 24.16 | ||||||
| 4.0248 | 4.2971 | 29.74 | ||||
| 4.0066 | 4.2102 | 41.62 | ||||
| 4.0018 | 4.0461 | 73.40 |
| 13.41 | |||||||
| 1.9967 | 1.9967 | 37.00 | |||||
| 1.9991 | 1.9991 | 126.96 | |||||
| 1.9997 | 1.9997 | 234.72 | |||||
| 34.97 | |||||||
| 1.9998 | 1.9998 | 93.04 | |||||
| 2.0000 | 2.0000 | 376.31 | |||||
| 1.9947 | 1.9947 | 434.23 |
| h | ||||||
| 4.50 | ||||||
| 4.1071 | 4.3465 | 8.24 | ||||
| 4.0503 | 4.2399 | 17.53 | ||||
| 4.0352 | 4.1610 | 46.94 | ||||
| h | ||||||
| 23.94 | ||||||
| 4.1071 | 4.3464 | 31.19 | ||||
| 4.0498 | 4.2394 | 47.48 | ||||
| 4.0271 | 4.1529 | 89.57 |
Disclaimer/Publisher’s Note: The statements, opinions and data contained in all publications are solely those of the individual author(s) and contributor(s) and not of MDPI and/or the editor(s). MDPI and/or the editor(s) disclaim responsibility for any injury to people or property resulting from any ideas, methods, instructions or products referred to in the content. |
© 2025 by the authors. Licensee MDPI, Basel, Switzerland. This article is an open access article distributed under the terms and conditions of the Creative Commons Attribution (CC BY) license (https://creativecommons.org/licenses/by/4.0/).
Share and Cite
He, S.; Buhe, E.; Bai, C. An Efficient Temporal Two-Mesh Compact ADI Method for Nonlinear Schrödinger Equations with Error Analysis. Axioms 2025, 14, 777. https://doi.org/10.3390/axioms14110777
He S, Buhe E, Bai C. An Efficient Temporal Two-Mesh Compact ADI Method for Nonlinear Schrödinger Equations with Error Analysis. Axioms. 2025; 14(11):777. https://doi.org/10.3390/axioms14110777
Chicago/Turabian StyleHe, Siriguleng, Eerdun Buhe, and Chelimuge Bai. 2025. "An Efficient Temporal Two-Mesh Compact ADI Method for Nonlinear Schrödinger Equations with Error Analysis" Axioms 14, no. 11: 777. https://doi.org/10.3390/axioms14110777
APA StyleHe, S., Buhe, E., & Bai, C. (2025). An Efficient Temporal Two-Mesh Compact ADI Method for Nonlinear Schrödinger Equations with Error Analysis. Axioms, 14(11), 777. https://doi.org/10.3390/axioms14110777
