Abstract
For denotes the maximum number k of edge disjoint trees in G, such that for any and . For an integer , the generalized r-connectivity of G is defined as . In fact, is the traditional connectivity of G. Hence, the generalized r-connectivity is an extension of traditional connectivity. The exchanged folded hypercube , in which and are positive integers, is a variant of the hypercube. In this paper, we find that with .
Keywords:
exchanged folded hypercubes; generalized 3-connectivity; fault tolerance; interconnection networks MSC:
05C40; 68R10
1. Introduction
An interconnection network is usually modeled as a simple graph , in which represents the set of processors and represents the set of links. For , is the neighborhood of v in G. is the degree of v in G. The minimum degree of G is defined as . For two graphs and , means that they are isomorphic. Let . The subgraph of G, whose vertex set is S and whose edge set is the set of those edges of G that have both ends in S, is called the subgraph of G induced by S and is denoted by . We say that is an induced subgraph of G. means the induced subgraph , where represents the vertex set obtained from by deleting the vertices in S. Let . The paths is a family of internally disjoint paths whose starting vertex is v and terminal vertices are distinct in V, which is called a fan from v to V. For other terminologies and notations, please refer to [1].
Connectivity is a basic and important metric in measuring the reliability and fault tolerance of networks. A cut set S of G is a vertex set of G, such that is disconnected or it is only one vertex. , which is the connectivity of G. In [2], Whitney proposed an equivalent concept of connectivity. For each 2-subset of vertices of G, let be the maximum number of internally disjoint paths from u to w in G. Then, . As an extension of connectivity, Chartrand et al. [3] showed the concept of generalized k-connectivity in 1984. Let . A tree T in G is called an S-tree if . The trees are called internally edge disjoint S-trees if and for any distinct integers with . refers to the maximum number of internally edge disjoint S-trees. For an integer k with , is defined as the generalized k-connectivity of G.
In a graph G, an S-tree is also called an S-Steiner tree. Steiner trees have significant applications in computer networks [4]. Internally edge disjoint S-Steiner trees have been applied to VLSI [5]. From the definition of generalized k-connectivity, we can see that the core of generalized k-connectivity is to seek the maximum number of internally edge disjoint S-Steiner trees. The generalized k-connectivity is an extension of traditional connectivity. It can more precisely measure the fault tolerance of networks. To decide whether there exist k internally edge disjoint S-Steiner trees is NP-complete for a graph [6]. The generalized 3-connectivities of augmented cubes, -bubble-sort graphs, and generalized hypercubes have been obtained in [7,8,9], respectively. The generalized 4-connectivities of hypercubes, crossed cubes, exchanged hypercubes, and hierarchical cubic networks have been obtained in [10,11,12,13], respectively. On the whole, the generalized k-connectivity is known for a small number of graphs and almost all known results are about or 4.
The n-dimensional hypercube is denoted by , whose vertices are the ordered n-tuples of 0’s and 1’s. Two vertices are adjacent if and only if they differ in exactly one dimension. As variants of hypercubes , folded hypercubes and exchanged hypercubes were proposed in [14,15], respectively. Based on and , Qi et al. proposed an interconnection network named exchanged folded hypercube in [16]. In this work, we will prove for .
2. Definitions and Lemmas
Exchanged hypercubes were defined by Lou et al. [15] as follows. Let and be positive integers. The exchanged hypercubes are defined as undirected graphs, whose vertex set V is
For , means the c index of u. is the indexes of u from dimension j to dimension i. represents the number of different indexes at the same dimension between and .
The edge set consists of three disjoint subsets and , where
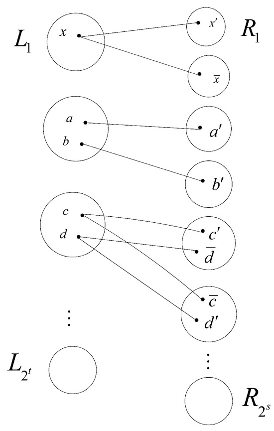
Figure 1 shows an example of . Based on the concept of , Qi et al. [16] put in a network called an exchanged folded hypercube . and have the same vertex set. The edge set of consists of and , where
Figure 1.
.
The edges in are called complementary edges of . From the two definitions, we know that can be obtained from by adding extra edges. Figure 2 is an example of . From the definition, we can see that =. For each vertex , or . For simplicity, we always use instead of . The following results are useful.
Lemma 1.
([16]) .
Figure 2.
.
From the lemma, we always assume from now on. Then, .
Lemma 2.
([1]) for .
Lemma 3.
([17]) for .
Lemma 4.
([18]) If there are two adjacent vertices of degree in graph G, then for .
Lemma 5.
( [1]) Let G be a k-connected graph, and let u and v be a pair of distinct vertices in G. Then, there exist k internally disjoint paths in G connecting u and v.
Lemma 6.
(Fan lemma [1]) For a k-connected graph G, let , and suppose and . Then, there exists a k-fan in G from u to U, that is, there exists a family of k internally disjoint paths whose terminal vertices are distinct in U.
In this work, we will prove the following result.
Theorem 1.
for .
3. Proof of Theorem 1
We partition into two subgraphs and edges between them, in which for and , and .
In , each collection of vertices u, with being identical, forms via the edges in . We use to denote these for . Similarly, in , each collection of vertices v, with being identical, forms via the edges in . We use to denote these for .
Each vertex has two neighbors in . One is with . It is called the hypercube neighbor of x. The other is with . It is called the complement neighbor of x. and are called outside neighbors of x. Similarly, for , and , the outside neighbors of y, are called the hypercube neighbor and the complement neighbor of y, respectively.
In the following, for each vertex x in a graph, we use and to denote the hypercube neighbor and the complement neighbor of x, respectively.
Lemma 7.
For and , the following results hold.
- 1.
- Each , and , for .
- 2.
- There are no edges between any two distinct and for . Similarly, there are no edges between any two distinct and for .
- 3.
- For each vertex , and belong to distinct and , where . Similarly, for each vertex , and belong to distinct and , where .
- 4.
- For two distinct vertices with , and lie in distinct and , where , and lie in distinct and , where . Similar results hold for two distinct vertices for .
- 5.
- For two distinct vertices with , if for some , then for some with . A similar result holds for two distinct vertices for .
Proof.
The first and second results are obvious. For two distinct vertices with , there exists at least one index m for which x and y differ. Let , in same with some . Then, , , . , where (Figure 3).
Figure 3.
A partitioned sketch of .
and belong to distinct and where since for . Similarly, we can prove that, for any vertex , and belong to distinct and , where . Hence, the third result holds.
Since for some , and lie in different and , where , and lie in different and , where . We can prove that similar results for any distinct vertices for . Hence, the fourth result holds.
If for some , then for . Hence, for . This implies that for some with . We can prove that a similar result for any distinct vertices for . Hence, the fifth result holds. □
Proof of Theorem 1.
By Lemma 7, for any vertex , . Since , by Lemma 4. In the following, we will prove . Take any three distinct vertices , and z in and let . If we can prove that there are internally edge disjoint S-trees in , we are done.
Case 1.
for some .
Without loss of generality, let . By Lemma 3, there exist internally edge disjoint S-trees in . Without loss of generality, suppose , and by Lemma 7(4).
If , we can assume . By Lemma 7(4), is connected. Hence, there exists a tree containing , and in . Take . Since is connected, there exists a tree containing , and in . Take . Then, are internally edge disjoint S-trees. Thus, .
If , without loss of generality, noting that by Lemma 7(3), let . By Lemma 7(5), . By Lemma 7(3)(4), we can let . Since is connected, there exists a tree containing , and in . Take . Since is connected, there exists a tree containing , and in . Take . Then, are internally edge disjoint S-trees. Thus, .
By symmetry and , if for some , we can also obtain .
Case 2.
for some . for some and or for some .
Without loss of generality, we let . By Lemmas 2 and 5, there exist s internally disjoint paths from x to y in . Let , such that for . In the following, we will show that for any two distinct vertices and with , lie in distinct for . Without loss of generality, let , , and . Then, , , , , , . By and the definition of , we can show that lie in different for , where and . This implies that lie in distinct for .
Subcase 2.1.
for some .
Let . We know that or . Without loss of generality, let . Suppose and for .
Subcase 2.1.1.
for some .
Without loss of generality, let . Then, for by the above discussion. We can let or .
First, we consider (Figure 4). By Lemma 7(3), or . Without loss of generality, let . Suppose . Take s vertices in , such that for . Let . By Lemma 6, there exist s internally disjoint paths from z to Z in . Let be the path from z to for . Since is connected, there exists a tree containing and in for . Take for . Since is connected, there exists a tree containing , and in . Take . Then, are internally edge disjoint S-trees. Thus, .
Figure 4.
The illustration of Subcase 2.1.1 (I).
Now, we consider .
If , then . Let . Taking to be the same as above, since is connected, there exists a tree containing and in . Take . Then, are internally edge disjoint S-trees. Thus, .
Let (Figure 5). By Lemma 7(4), . Suppose . Take vertices in , such that for . Let . By Lemma 6, there exist s internally disjoint paths from z to Z in . Let be the path from z to for and be the path from z to . Since is connected, there exists a tree containing and in for . Take for . Noting that , then . Since is connected, there exists a tree containing and in . Take and . Then, are internally edge disjoint S-trees. Thus, .
Figure 5.
The illustration of Subcase 2.1.1 (II).
Subcase 2.1.2.
for each .
By Lemma 7(4), we can show for . Without loss of generality, let .
First, we let . By Lemma 7(3), or . Without loss of generality, let . Suppose . Take s vertices in , such that for . Let . By Lemma 6, there exist s internally disjoint paths from z to Z in . Let be the path from z to for . Since is connected, there exists a tree containing and in for . Take for . Since is connected, there exists a tree containing and in . Take . Then, are internally edge disjoint S-trees. Thus, .
Now, we let .
If , then . We can let . Taking to be the same as above, since is connected, there exists a tree containing and in . Take . Then, are internally edge disjoint S-trees. Thus, .
If . By Lemma 7(3), suppose , where is the hypercube neighbor of . By Lemma 7(4), . Without loss of generality, let . Take vertices in , such that for . Let . By Lemma 6, there exist s internally disjoint paths from z to Z in . Let be the path from z to for and be the path from z to . Since is connected, there exists a tree containing and in for . Take for . If (Figure 6), noting that , since is connected, there exists a tree containing and in . Take . Since is connected, there exists a tree containing and in . Take . Then, are internally edge disjoint S-trees. If (Figure 7), since , then by Lemma 7(3). Since , we can partition into and , such that and . In , there exists a spanning tree containing . Since for , there exists a vertex , such that for by Lemma 7(4). Let . Similarly, there exists a spanning tree containing in . Since for , there exists a vertex , such that for by Lemma 7(4). Let . Since is connected, there exists a tree containing and . Take . Since is connected, there exists a tree containing and . Take . Then, are internally edge disjoint S-trees. Thus, .
Figure 6.
The illustration of Subcase 2.1.2 (I).
Figure 7.
The illustration of Subcase 2.1.2 (II).
By symmetry and , if for some and some , we can also obtain .
Subcase 2.2.
for some .
Without loss of generality, we let (Figure 8), and suppose for . Then, or or or for . Without loss of generality, let for . Suppose . If for some , then for some . Then, for . If for each , then for by Lemma 7(4). Without loss of generality, let for . Suppose . Choose s vertices in , such that for . Denote . By Lemma 6, there exist s internally disjoint paths from z to Z in . Let be the path from z to for . Since is connected, there exists a tree containing and in for . Take for . Since is connected, there exists a tree containing and in . Take . Then, are internally edge disjoint S-trees. Thus, .
Figure 8.
The illustration of Subcase 2.2.
By symmetry and , if for some and , we can also obtain .
Case 3.
, and for some with and some .
Without loss of generality, let .
Subcase 3.1.
.
By Lemma 7(3), without loss of generality, let , .
We first consider or . Without loss of generality, let . By Lemma 7(3), we can let and or . Suppose . Then, put . Choose in , such that for . Denote . Choose in , such that for . Denote . Choose in , such that for . Denote . By Lemma 6, there exist s paths from x to X in , s paths from y to Y in , s paths from z to Z in . Let be the paths from x to , from y to , and from z to , respectively, for . Since is connected, there exists a tree containing , and in for . Take for . Since is connected, there exists a tree containing in . Take . Then, are internally edge disjoint S-trees. Thus, .
Now, we consider and (Figure 9). Since and , we can partition into and , such that , and , . Similarly, we partition into and , such that , and . By Lemma 7(4), we can let and . Choose in such that for . This can be performed since with . Let for . Denote . Choose in , such that for . Without loss of generality, for simplicity of description, we can let and for . Note that and for . Denote . Choose such that for . Denote . By Lemma 6 and , there exist paths from x to X in , paths from y to Y in , s paths from z to Z in . Let be the paths from x to , from y to , and from z to , respectively, for and be the path from z to . Since is connected, there exists a tree containing and in . Take . Since is connected for , there exists a tree containing and in for . Take for . Since is connected, there exists a tree containing and in . Take . Let u be the neighbor of x in and v be the neighbor of y in . Suppose that is a spanning tree of and is a spanning tree of . Take . Then, are internally edge disjoint S-trees. Thus, .
Figure 9.
The illustration of Subcase 3.1.
Subcase 3.2.
or .
Without loss of generality, let . Suppose . By Lemma 7(3), or , or . Without loss of generality, we can let , . Choose , such that for . Suppose for . Denote . Choose , such that for . Denote . Choose , such that for . Denote . By Lemma 6, there exist s paths from x to X in , s paths from y to Y in , s paths from z to Z in . Let be the paths from x to , from y to , and from z to , respectively, for . Note that if for some , we regard as the vertex y. Since is connected, there exists a tree containing and in for . Take for . Since is connected, there exists a tree containing in . Take . Then, are internally edge disjoint S-trees. Thus, .
By symmetry and , if for some with and some , we can also obtain .
Case 4.
, and for some with .
Let , and (Figure 10). Without loss of generality, suppose . Choose , such that for . Let , and . By Lemma 6, there exist s paths from x to X in , s paths from y to Y in , s paths from z to Z in . Let be the paths from x to , from y to , and from z to , respectively, for . Since is connected, there exists a tree containing and in for . Take for . Since is connected, there exists a tree containing and in . Take . Then, are internally edge disjoint S-trees. Thus, .
Figure 10.
The illustration of Case 4.
By symmetry and , if for some with , we can also obtain .
We have completed the proof. □
4. Conclusions
The exchanged folded hypercube is a variant of the hypercube and denoted by . It has many attractive properties to design interconnection networks. The generalized k-connectivity is an extension of the traditional connectivity. In this paper, we computed the generalized 3-connectivity of the exchanged folded hypercube. The study of the generalized k-connectivity of the exchanged folded hypercube for is a meaningful and challenging problem.
Author Contributions
W.N.: writing—original draft; W.N. and H.L.: methodology, writing—review and editing. All authors have read and agreed to the published version of the manuscript.
Funding
The work is supported by the Natural Science Basic Research Program of Shaanxi (Program Nos. 2023-JC-YB-054, 2024JC-YBMS-034, and 2024JC-YBQN-0050) and the Fundamental Research Fund for the Central Universities (No. JB210716 ).
Data Availability Statement
Data are contained within the article.
Conflicts of Interest
The authors declare no conflict of interest.
References
- Bondy, J.A.; Murty, U.S.R. Graph Theory with Applications; Elsevier: New York, NY, USA, 1976. [Google Scholar]
- Whitney, H. Congruent graphs and the connectivity of graphs and the connectivity of graphs. Am. J. Math. 1932, 54, 150–168. [Google Scholar] [CrossRef]
- Chartrand, G.; Kapoor, S.F.; Lesniak, L.; Lick, D.R. Generalized connectivity in graphs. Bull. Bombay Math. Colloq. 1984, 2, 1–6. [Google Scholar]
- Du, D.; Hu, X. Steiner Tree Problem in Computer Communication Networks; World Scientific: Singapore, 2008. [Google Scholar]
- Sherwani, N.A. Algorithms for VLSI Physical Design Automation, 3rd ed.; Kluwer Academic Publication: London, UK, 1999. [Google Scholar]
- Li, S.; Li, X. Note on the hardness of generalized connectivity. J. Comb. Optim. 2012, 24, 389–396. [Google Scholar] [CrossRef]
- Wang, J. The generalized 3-connectivity of two kinds of regular networks. Theor. Comput. Sci. 2021, 893, 183–190. [Google Scholar] [CrossRef]
- Wei, C.; Hao, R.X.; Chang, J.M. Packing internally disjoint steiner trees to compute the κ3-connectivity in augmented cubes. J. Parallel Distrib. Comput. 2021, 154, 42–53. [Google Scholar] [CrossRef]
- Zhao, S.; Hao, R.; Wu, L. The generalized connectivity of (n, k)-bubble-sort graphs. Comput. J. 2019, 62, 1277–1283. [Google Scholar] [CrossRef]
- Lin, S.W.; Zhang, Q.H. The generalized 4-connectivity of hypercubes. Discret. Appl. Math. 2017, 220, 60–67. [Google Scholar] [CrossRef]
- Liu, H.Q.; Cheng, D.Q. The generalized 3-connectivity and 4-connectivity of crossed cube. Discuss. Math. Graph Theory 2024, 44, 791–811. [Google Scholar] [CrossRef]
- Zhao, S.; Hao, R. The generalized 4-connectivity of exchanged hypercubes. Appl. Math. Comput. 2019, 347, 342–353. [Google Scholar] [CrossRef]
- Zhao, S.; Hao, R.; Wu, J. The generalized 4-connectivity of hierarchical cubic networks. Discret. Appl. Math. 2021, 289, 194–206. [Google Scholar] [CrossRef]
- Amawy, A.E.; Latifi, S. Properties and performance of folded hypercubes. IEEE Trans. Parallel Distrib. Syst. 1991, 2, 31–42. [Google Scholar] [CrossRef]
- Lou, P.K.K.; Hsu, W.J.; Pan, Y. The exchanged hypercube. IEEE Trans. Parallel Distrib. Syst. 2005, 16, 866–874. [Google Scholar]
- Qi, H.; Li, Y.; Li, K.Q.; Stojmenovic, M. An exchanged folded hypercube–based topology structure for interconnection networks. Concurr. Comput. Pract. Exp. 2015, 27, 4194–4210. [Google Scholar] [CrossRef]
- Li, H.; Li, X.; Sun, Y. The generalized 3-connectivity of Cartesian product graphs. Discrete Math. Theor. Comput. Sci. 2012, 14, 43–54. [Google Scholar] [CrossRef]
- Li, S.S.; Li, X.L.; Zhou, W.L. Sharp bounds for the generalized connectivity κ3(G). Discret. Math. 2010, 310, 2147–2163. [Google Scholar] [CrossRef]
Disclaimer/Publisher’s Note: The statements, opinions and data contained in all publications are solely those of the individual author(s) and contributor(s) and not of MDPI and/or the editor(s). MDPI and/or the editor(s) disclaim responsibility for any injury to people or property resulting from any ideas, methods, instructions or products referred to in the content. |
© 2024 by the authors. Licensee MDPI, Basel, Switzerland. This article is an open access article distributed under the terms and conditions of the Creative Commons Attribution (CC BY) license (https://creativecommons.org/licenses/by/4.0/).









