Skip to Content
AxiomsAxioms
  • Article
  • Open Access

21 June 2023

Cut-Free Gentzen Sequent Calculi for Tense Logics

and
1
Department of Philosophy, Xiamen University, Xiamen 361000, China
2
Department of Philosophy, Institute of Logic and Cognition, Sun Yat-sen University, Guangzhou 510275, China
*
Authors to whom correspondence should be addressed.
These authors contributed equally to this work.
This article belongs to the Special Issue Modal Logic and Logical Geometry

Abstract

The cut-free single-succedent Gentzen sequent calculus GK t for the minimal tense logic K t is introduced. This sequent calculus satisfies the displaying property. The proof proceeds in terms of a Kolmogorov translation and three intermediate sequent systems. Finally, we show that tense logics axiomatized by strictly positive implication have cut-free Gentzen sequent calculi uniformly.
MSC:
03F03; 03B44; 03B45

1. Introduction

Basic tense logic is the extension of classical propositional logic with tense operators (cf. e.g., [1]). The minimal tense logic K t can be formulated as the minimal modal logic K with a past modality. Viewed as a kind of bimodal logic, tense logic is investigated mainly by using tools and techniques from modal logic (cf. e.g., [2,3]). As far as the proof theory of modal logic is concerned, some approaches have taken to consider cut-free sequent calculi for modal logics. Since Gentzen sequent calculus for classical logic was developed, it has been extended with rules for modal operators, and such sequent systems are explored in the literature (cf. e.g., [4]). In particular, some aspects of Gentzen sequent calculi for modal logics are explored by Poggiolesi [5]. Belnap’s display logic [6] provides an alternative to Gentzen-type sequent calculi for various non-classical logics (cf. e.g., [7,8]). Labelled sequent calculi are developed in terms of the relational semantics for modal logics (cf. e.g., [9,10,11]). Deep inference (cf. e.g., [12]) calculi are developed where nested sequents are used.
Proof theory for the basic tense logic K t and its extensions has also been investigated in the literature (cf. [13,14]). However, sequent calculi for tense logics in the sense of Gentzen have not been well-developed. A fundamental problem lies in the elimination of the cut rule. Inspired by the proof-theoretic study of Lambek calculus (cf. [15]), a cut-free Gentzen sequent calculus for intuitionistic modal logic has been provided in [16], and such a sequent calculus is also developed for intuitionistic tense logic in [17]. In these works, structural operators for ∧ (conjunction), ◊ (future possibility) and ⧫ (past possibility) are introduced such that formula structures instead of multisets of formulas are provided for defining sequents. Eventually cut-free Gentzen sequent calculi for intuitionistic modal and tense logics are developed. It is this road we take to provide cut-free sequent calculi for classical tense logics.
Gentzen’s sequent calculus for classical propositional logic is multi-succedent. One way of constructing a single-succedent sequent calculus is that the rule of excluded middle is added to the G3-style sequent calculus for intuitionistic propositional logic (cf. [18], p. 114). In the present paper, we take an alternative approach to this problem. The central point is that we can eliminate cut by considering appropriate rules for negation. Double negation rules and two particular rules for negation are provided. Eventually, the proof of cut elimination for GK t is not a direct induction on the cut height or the complexity of the cut formula but an indirect proof in terms of two additional auxiliary sequent systems. It is this machinery that allows uniform cut elimination for Gentzen sequent calculi for tense logics axiomatized by strictly positive axioms.
The structure of this paper is as follows. Section 2 provides some preliminaries on tense logics. Section 3 introduces a single-succedent sequent calculus GK t for the minimal tense logic K t . Section 4 provides a proof of the cut elimination for GK t . Section 5 proves that all tense logics axiomatized by strictly positive implications have a single-succedent sequent calculus obtained from GK t by adding structural rules, which are transformed from the strictly positive axioms. Section 6 offers some concluding remarks.

2. Preliminaries on Tense Logics

Let Var = { p i : i < ω } be a denumerable set of propositional variables. Primitive connectives are ⊥ (falsum), ¬ (negation) and ∧ (conjunction). We use four unary operators, which are ◊ (future possibility), ⧫ (past possibility), □ (future necessity) and ■ (past necessity). The formula algebra F is defined inductively as follows:
F α : : = p ¬ α ( α 1 α 2 ) α α α α
where p Var . We use abbreviations : = ¬ (true), α β : = ¬ ( ¬ α ¬ β ) (disjunction), α β : = ¬ ( α ¬ β ) (implication) and α β : = ( α β ) ( β α ) , which are defined as usual. The complexity c ( β ) of a formula β is defined inductively as follows:
c ( β ) = 0 , if β Var { } . c ( β γ ) = max { c ( β ) , c ( γ ) } + 1 . c ( β ) = c ( β ) + 1 , if { ¬ , , , , } .
A substitution is a homomorphism s : F F . Let α s be the substitution of α under s. For every formula α , let v a r ( α ) be the set of all variables appearing in α .
Let W and Q W × W . For every w W , let Q ( w ) = { u W : w Q u } . The inverse of Q is defined as Q 1 = { w , u : u R w } . For every X W , let Q ( X ) = w X Q ( w ) , [ Q ] X = { w W : Q ( w ) X } and Q X = Q 1 ( X ) . We use the Boolean operations , and ( . ) ¯ (complementation) on the power set P ( W ) .
Definition 1. 
A frame is a pair F = ( W , R ) where W (the set of possible worlds) and R W × W (the accessibility relation). A valuation in F = ( W , R ) is a function V : Var P ( W ) . For every formula α F , the truth set V ( α ) of α under a valuation V in F is defined inductively as follows:
V ( ) = V ( ¬ α ) = V ( α ) ¯ V ( α β ) = V ( α ) V ( β ) V ( α ) = R V ( α ) V ( α ) = [ R ] V ( α ) V ( α ) = R 1 V ( α ) V ( α ) = [ R 1 ] V ( α )
Note that V ( ) = W , V ( α β ) = V ( α ) V ( β ) and V ( α β ) = V ( α ) ¯ V ( β ) . A formula α is valid in a frame F (notation: F α ) if V ( α ) = W for all valuations V in F . A formula α is valid in a class of frames K (notation: K α ) if F α for all F K . The logic of K is defined as the set of formulas Th ( K ) = { α F : K α } . For a set of formulas Σ, we write F Σ if F α for all α Σ . The class of all frames for Σ is defined as Fr ( Σ ) = { F : F Σ } .
Definition 2. 
A tense logic is a set of formulas L such that the following conditions hold:
(1)
L contains the following formulas:
( A 1 )
p ( q p )
( A 2 )
( p ( q r ) ) ( ( p q ) ( p r ) )
( A 3 )
( ¬ q ¬ p ) ( p q )
( A 4 )
p
( A 5 )
p ¬ ¬ p
( A 6 )
p ¬ ¬ p
(2)
L is closed under the following rules:
α β α β ( M P ) α β α β ( Adj ) α β α β ( Adj )
(3)
L is closed under substitution, i.e., if β L , then β s L for every substitution s.
We write L β (β is a theorem of L) if β L .
Fact 1. 
For every tense logic L, the following hold:
(1)
if L α β , then L α β for every { , , , } .
(2)
L ; L ; L and L .
(3)
for every { , } , L ( α β ) α β .
(4)
for every { , } , L ( α β ) α β and ( α β ) ( α β ) .
(5)
L α α and L α α .
Let { L i : i I } be a collection of tense logics. It is obvious that i I L i is a tense logic. The minimal tense logic is denoted by K t = { L F : L is a tense logic } . Let L be a tense logic and Σ a set of formulas. The tense logic generated by Σ over L is defined as L Σ = { L : L Σ L and L is a tense logic } . If Σ = { α 1 , , α n } , we write L α 1 α n for L Σ . Let Ext ( L ) be the set of all tense logics containing L. Clearly, Ext ( L ) , , , L , F forms a bounded distributive lattice. The set of all tense logics is Ext ( K t ) .
A tense logic L is consistent if L . The only inconsistent tense logic is F . A tense logic L is Kripke-complete if L = Th ( Fr ( L ) ) . Using the standard method of canonical model, we obtain many results on the Kripke completeness (cf. e.g., [2]).
Theorem 1. 
K t is Kripke-complete, i.e., K t α iff Fr ( K t ) α .
Proof. 
See, e.g., ([2], Corollary 4.36). □

3. A Gentzen Sequent Calculus for K t

We introduce a single-succedent Gentzen sequent calculus GK t for the minimal tense logic K t . We follow the formulation of a sequent calculus for intuitionistic tense logic IK t given in [17], and use formula structures to define a sequent.
Definition 3. 
Let the comma, and be structural operators for , and , respectively. The set of all formula structures FS is defined inductively as follows:
FS Γ : : = α ( Γ 1 , Γ 2 ) Γ Γ , w h e r e α F .
Let FS * = FS { ϵ } , where ϵ stands for the empty. For each Δ FS , the formula Δ is defined inductively as follows:
β = β ( Δ 1 , Δ 2 ) = Δ 1 Δ 2 ( Δ ) = Δ ( Δ ) = Δ
In particular, let ε = . By d ( Δ ) , we denote the degree of a formula structure Γ, i.e., the number of occurrences of structural operators in Δ. A sequent is an expression Δ β , where Δ FS * and β F . We write β instead of ε β . We use s , t , etc., with or without subscripts to denote sequents. A sequent rule is a figure
s 1 s n s 0 ( R )
where s 1 , , s n are premises and s 0 is the conclusion of ( R ) .
Definition 4. 
Let − be the given symbol called the position. The set of all contexts C is defined recursively as follows:
C Γ [ ] : : = ( Γ 1 [ ] , Γ 2 ) ( Γ 1 , Γ 2 [ ] ) Γ [ ] Γ [ ]
where Γ 1 , Γ 2 FS . The set of all formula contexts FC is defined inductively as follows:
FC β [ ] : : = ¬ β [ ] ( β 1 [ ] β 2 ) ( β 1 β 2 [ ] ) β [ ] β [ ] β [ ] β [ ]
where β 1 , β 2 F . For every context Γ [ ] , we define Γ [ ] inductively as follows:
= ( Γ 1 [ ] , Γ 2 ) = Γ 1 [ ] Γ 2 ( Γ 1 , Γ 2 [ ] ) = Γ 1 Γ 2 [ ] ( Γ ) = Γ ( Γ ) = Γ
The degree of a context Γ [ ] , denoted by d ( Γ [ ] ) , is defined as the number of occurrences of structural operators appearing in Γ [ ] . For every context Γ [ ] and formula structure Δ FS , let Γ [ Δ ] be the formula structure obtained from Γ [ ] by replacing with Δ.
The degree of a formula context α [ ] , denoted by d ( α [ ] ) , is defined as the number of occurrences of logical operators appearing in α [ ] . For each α [ ] and β F , let α [ β ] be the formula obtained from α [ ] by replacing with β.
Obviously, Γ [ ] can be considered as a formula structure with a position, and Γ [ ] as a formula with a position. For each Δ , we have Γ [ Δ ] = Γ [ ] ( Δ / ) arising from Γ [ ] by replacing − with Δ .
Example 1. 
Let us provide examples of context and formula context. The expression Γ [ ] = ( ( , ¬ q ) , p q ) is a context. If we replace the formula structure Δ = ( p , ( q , q ) ) for the position − in Γ [ ] , we obtain the formula structure Γ [ Δ ] = ( ( ( p , ( q , q ) ) , ¬ q ) , p q ) . The expression α [ ] = ¬ ( p ) r is a formula context. If we replace the formula β = p q for the position − in α [ ] , we obtain the formula α [ β ] = ¬ ( p ( p q ) ) r .
Definition 5. 
The sequent calculus GK t is defined by the following axiom and inference rules:
(1)
Axiom:
( Id ) φ φ
(2)
Logical rules:
Θ Π [ Θ ] φ ( )
Π [ φ 1 , φ 2 ] ψ Π [ φ 1 φ 2 ] ψ ( L ) Π 1 φ 1 Π 2 φ 2 Π 1 , Π 2 φ 1 φ 2 ( R )
Π φ Π , ¬ φ ( ¬ L ) φ , Π Π ¬ φ ( ¬ R )
Π [ φ ] ψ Π [ ¬ ¬ φ ] ψ ( ¬ ¬ L ) Π φ Π ¬ ¬ φ ( ¬ ¬ R )
Π [ φ ] ψ Π [ φ ] ψ ( L ) Π φ Π φ ( R ) Π [ φ ] ψ Π [ φ ] ψ ( L ) Π φ Π φ ( R )
Π [ φ ] ψ Π [ φ ] ψ ( L ) Π φ Π φ ( R ) Π [ φ ] ψ Π [ φ ] ψ ( L ) Π φ Π φ ( R )
The derived formula in the below sequent of a logical rule is called principal.
(3)
Structural rules:
Π [ Θ , Θ ] ψ Π [ Θ ] ψ ( Ctr ) Π [ Θ i ] ψ Π [ Θ 1 , Θ 2 ] ψ ( Wek ) ( i = 1 , 2 )
Π 1 , Π 2 Π 1 , Π 2 ( Dual ) Π 1 , Π 2 Π 1 , Π 2 ( Dual )
(4)
Cut rule:
Θ φ Π [ φ ] ψ Π [ Θ ] φ ( Cut )
A derivation in GK t is a finite tree of sequents in which each node is either an axiom or derived from child node(s) by a sequent rule. Derivations are denoted by D , E , etc., with or without subscripts. The height of a derivation D , denoted by | D | , is defined as the maximal length of branches in D . A single node derivation has height 0. A sequent s is derivable in GK t , notation GK t s , if there exists a derivation in GK t with root node s. For every k 0 , we write GK t k s if there exists a derivation of s in GK t with height at most k. A sequent rule with premises s 1 , , s n and conclusion s 0 is admissible in GK t if GK t s 0 whenever GK t s i for all 1 i n . The prefix GK t is omitted if no confusion can arise.
Lemma 1. 
The following sequent rules are admissible in GK t :
Π [ Θ 1 , Θ 2 ] ψ Π [ Θ 2 , Θ 1 ] ψ ( Ex ) Π [ Θ 1 , ( Θ 2 , Θ 3 ) ] ψ Π [ ( Θ 1 , Θ 2 ) , Θ 3 ] ψ ( As 1 ) Π [ ( Θ 1 , Θ 2 ) , Θ 3 ] ψ Π [ Θ 1 , ( Θ 2 , Θ 3 ) ] ψ ( As 2 )
Proof. 
We have the following derivations:
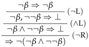
Axioms 12 00620 i001
The admissibility of ( As 2 ) can be shown similarly. □
Note that, in Lemma 1, (Ex) is the the rule of exchange, and ( As 1 ) and ( As 2 ) are rules of associativity with respect to the structural operator of comma. Henceforth, applications of these rules are so obvious that we skip them in derivations. A formula α is GK t -equivalent to β (notation: GK t α β ) if GK t α β and GK t β α .
Lemma 2.
The following hold in GK t :
( 1 )
β , Γ β .
( 2 )
β ¬ ¬ β and β ¬ β .
( 3 )
β α iff ¬ α ¬ β .
( 4 )
¬ β α iff ¬ α β .
( 5 )
β ¬ α iff α ¬ β .
( 6 )
β ¬ ¬ β and β ¬ ¬ β .
( 7 )
β ¬ ¬ β and β ¬ ¬ β .
( 8 )
β β and β β .
( 9 )
β β and β β .
( 10 )
if β α , then β α for every { , , , } .
Proof. 
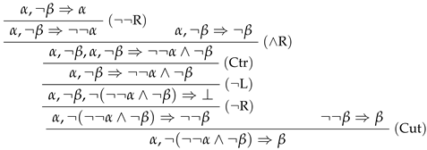
For (1), it is obtained by (Wek). For (2), from (Id) by ( ¬ ¬ L ) and ( ¬ ¬ R ) , we obtain β ¬ ¬ β . We also have the following derivation:
Axioms 12 00620 i002
For (3), we have the following derivations:
Axioms 12 00620 i003
By (3), (2) and (Cut), we obtain (4) and (5). For (6), we have the following derivations:
Axioms 12 00620 i004
The proof of (7) is similar. For (8) and (9), we have the following derivations:
Axioms 12 00620 i005
For (10), assume β α . By ( R ) , β α . By ( L ) , β α . By ( L ) , β α . By ( R ) , β α . The cases of ⧫ and ■ are similar. □
Lemma 3. 
If GK t α β , then GK t χ χ ( α / β ) , where χ ( α / β ) is obtained from χ by replacing one or more occurrences of α in χ by β.
Proof. 
The proof proceeds by induction on the complexity of χ . The case χ Var { } or χ = α is trivial. Let χ α . Suppose χ = χ 1 χ 2 . By induction hypothesis, χ 1 χ 1 ( α / β ) and χ 2 χ 2 ( α / β ) . It is easy to obtain χ χ ( α / β ) . Suppose χ = ¬ ξ . By induction hypothesis, ξ ξ ( α / β ) . By Lemma 2 (3), ¬ ξ ¬ ξ ( α / β ) . Suppose χ = ξ . By induction hypothesis, ξ ξ ( α / β ) . By Lemma 2 (10), ξ ξ ( α / β ) . The remaining cases for χ = ξ with { , , } can be shown similarly. □
Lemma 4. 
The following hold in GK t :
(1)
if α γ and β γ , then α β γ .
(2)
if α β 1 or α β 2 , then α β 1 β 2 .
(3)
α , ¬ α β β .
(4)
α β γ iff α ¬ β γ .
(5)
α ¬ β γ iff α β γ .
Proof. 
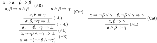
For ( 1 ) , we have the following derivation:
Axioms 12 00620 i006
For (2), by ¬ β 1 ¬ β 2 ¬ β i , where i = 1 , 2 and Lemma 2 (5), β i ¬ ( ¬ β 1 ¬ β 2 ) . Assume α β i . By (Cut), α ¬ ( ¬ β 1 ¬ β 2 ) . For (3), we have the derivation:
Axioms 12 00620 i007
For (4), we have the following derivations:
Axioms 12 00620 i008
Note that β , ¬ β γ γ by (3). For (5), by (4), α ¬ β γ iff α ¬ ¬ β γ . By Lemma 3, ¬ ¬ β γ β γ . Hence, α ¬ β γ iff α β γ . □
Remark 1. 
Every formula structure Θ can be replaced by a corresponding formula Θ . Clearly, GK t Π [ Θ ] α iff GK t Π [ Θ ] α . Then, by Lemma 4 (4), one obtains GK t α , Θ β iff GK t Θ ¬ α β .
Definition 6. 
We define the displaying formula F D ( Δ [ ] : α ) with respect to a formula context Δ [ ] and a formula α recursively as follows:
F D ( : α ) = α F D ( Δ 1 [ ] , Δ 2 : α ) = F D ( Δ 1 [ ] : ¬ Δ 2 α ) F D ( Δ 1 , Δ 2 [ ] : α ) = F D ( Δ 2 [ ] : ¬ Δ 1 α ) F D ( Δ [ ] : α ) = F D ( Δ [ ] : α ) F D ( Δ [ ] : α ) = F D ( Δ [ ] : α )
Theorem 2 (Displaying). 
GK t Γ [ Δ ] α iff GK t Δ F D ( Γ [ ] : α ) .
Proof. 
We proceed by the induction on d ( Γ [ ] ) . Basic cases for d ( Γ [ ] ) = 0 are trivial. We consider the following cases for the induction:
(1) Γ [ ] = ( Γ 1 [ ] , Γ 2 ) or ( Γ 1 , Γ 2 [ ] ) . We prove only the former one and the other can be treated similarly. Clearly, F D ( Γ [ ] : β ) = F D ( Γ 1 [ ] : ¬ Γ 2 β ) . By induction hypothesis, Γ 1 [ Δ ] ¬ Γ 2 β iff Δ F D ( Γ 1 [ ] : ¬ Γ 2 β ) . It needs only to show that Γ 1 [ Δ ] , Γ 2 β iff Γ 1 [ Δ ] ¬ Γ 2 β . Let Γ 1 [ Δ ] , Γ 2 β . Hence, Γ 1 [ Δ ] , Γ 2 β . Then, Γ 1 [ Δ ] ¬ Γ 2 β . Suppose Γ 1 [ Δ ] ¬ Γ 2 β . Clearly, Γ 1 [ Δ ] , Γ 2 β . Consequently, Γ 1 [ Δ ] , Γ 2 β .
(2) Γ [ ] = Σ [ ] or Σ [ ] . We prove only the former one and the other can be treated similarly. Clearly, F D ( Γ [ ] : β ) = D ( Σ [ ] : β ) . According to induction hypothesis, Σ [ Δ ] β iff Δ F D ( Σ [ ] : β ) . It needs only to show that Σ [ Δ ] β iff Σ [ Δ ] β . Let Σ [ Δ ] β . By ( R ) , Σ [ Δ ] β . Let Σ [ Δ ] β . By ( R ) , Σ [ Δ ] β . By Lemma 2 (8), β β . By (Cut), Σ [ Δ ] β . □
A sequent Γ β is valid in a frame F (notation: F Γ β ) if F ¬ Γ β . A sequent s is valid in a class of frames K (notation: K s ) if F s for all F K . An inference rule ( R ) preserves validity if the validity of premise(s) implies that of the conclusion. Now, we shall prove the soundness and completeness of GK t .
Lemma 5. 
For every frame F , F Γ [ Δ ] β iff F Δ F D ( Γ [ ] : β ) .
Proof. 
We proceed by induction on d ( Γ [ ] ) . The basic cases are trivial. Assume Γ [ ] = ( Γ 1 [ ] , Γ 2 ) or ( Γ 1 , Γ 2 [ ] ) . We prove only the former case. Obviously, F D ( Γ [ ] : β ) = F D ( Γ 1 [ ] : ¬ Γ 2 β ) . By induction hypothesis, F Γ 1 [ Δ ] ¬ Γ 2 β iff F Δ F D ( Γ 1 [ ] : ¬ Γ 2 β ) . Clearly, F Γ 1 [ Δ ] , Γ 2 β iff F Γ 1 [ Δ ] ¬ Γ 2 β . Let Γ [ ] = Σ [ ] or Σ [ ] . We prove only the former case. Obviously, F D ( Γ [ ] : β ) = F D ( Σ [ ] : β ) . By induction hypothesis, F Σ [ Δ ] β iff F Δ F D ( Σ [ ] : β ) . Clearly, F Σ [ Δ ] β iff F Σ [ Δ ] β . □
Theorem 3 (Soundness). 
If GK t Γ β , then Fr ( K t ) Γ β .
Proof. 
Assume k Γ β . The case k = 0 holds obviously. Suppose k > 0 and Γ β is derived by a rule ( R ) . Right rules for , ¬ , , , and preserve validity obviously. Other logical rules, (Ctr), (Wek) and (Cut) preserve validity by Lemma 5. For ( Dual ) , assume F Δ 1 , Δ 2 . Then, F Δ 1 Δ 2 . Let V be any valuation in F . Then, V ( Δ 1 Δ 2 ) = and so V ( Δ 1 ) = = V ( Δ 2 ) . Then, V ( Δ 1 ) = = V ( Δ 2 ) . Then, F Δ 1 , Δ 2 . The case for ( Dual ) is similar. □
Lemma 6. 
If K t α , then GK t α .
Proof. 
Assume K t α . By Lemma 2, Lemma 4 and Remark 1, for every instance χ of axioms (A1)–(A6), we have GK t χ . Assume GK t β and GK t ¬ β γ . By Lemma 4 (3), GK t β , ¬ β γ γ . By (Cut), GK t γ . Assume GK t ¬ α β . By Remark 1, GK t α β . By Lemma 2 (9) and (10), using (Cut), GK t α β . By Remark 1, GK t ¬ α β . The case for ( Adj ) is shown similarly. □
Theorem 4 (Completeness). 
If Fr ( K t ) Γ β , then GK t Γ β .
Proof. 
Assume Fr ( K t ) Γ β . Then, Fr ( K t ) ¬ Γ β . By Theorem 1, K t ¬ Γ β . By Lemma 6, GK t ¬ Γ β . Then, GK t Γ β and so GK t Γ β . □

4. Cut Elimination

In this section, we show the cut elimination of GK t . Let GK t * be the sequent calculus obtained from GK t by removing the rule (Cut) and replacing the rules ( ¬ L ) and ( ¬ R ) by the following four rules:
Γ ¬ α α , Γ ( ¬ L 1 ) Γ δ ¬ δ , Γ ( ¬ L 2 ) where δ ¬ δ for any formula δ
¬ α , Γ Γ α ( ¬ R 1 ) δ , Γ Γ ¬ δ ( ¬ R 2 ) where δ ¬ δ for any formula δ
The cut elimination of GK t is obtained by showing that GK t is equivalent to GK t * .
Lemma 7. 
If GK t * Γ β , then GK t Γ β .
Proof. 
Note that ( ¬ L 2 ) and ( ¬ R 2 ) are special cases of ( ¬ L ) and ( ¬ R ) , respectively. Assume GK t Γ ¬ α . Clearly, GK t ¬ α , α . By (Cut), GK t α , Γ . Hence, ( ¬ L 1 ) is admissible in GK t . Assume GK t ¬ α , Γ . By ( ¬ R ) , GK t Γ ¬ ¬ α . By GK t ¬ ¬ α α and (Cut), GK t Γ α . Hence, ( ¬ R 1 ) is admissible in GK t . □
The converse of Lemma 7 shall be shown in three steps. First, GK t is the sequent calculus obtained from GK t by removing the rules ( ¬ ¬ L ) and ( ¬ ¬ R ) . We shall define a translation k o such that, for every sequent s, GK t s iff GK t k o ( s ) . Second, we show the cut elimination of GK t and so obtain a sequent calculus GK t , which is obtained from GK t by removing the rule (Cut). Third, we show that GK t k o ( s ) implies GK t * s .
Axioms 12 00620 i009
Lemma 8. 
If GK t Γ 1 [ α ] , Γ 2 , then GK t Γ 1 [ ¬ ¬ α ] , Γ 2 .
Proof. 
Let GK t Γ 1 [ α ] , Γ 2 . We prove GK t Γ 1 [ ¬ ¬ α ] , Γ 2 by induction on d ( Γ 1 [ ] ) . Suppose Γ 1 [ α ] = α . Then, GK t α , Γ 2 . By ( ¬ R ) and ( ¬ L ) , GK t ¬ ¬ α , Γ 2 . Suppose Γ 1 [ ] = ( Σ 1 [ ] , Σ 2 ) or ( Σ 2 , Σ 1 [ ] ) . We prove only the former case. Clearly, GK t Σ 1 [ α ] , Σ 2 , Γ 2 . By induction hypothesis, GK t Σ 1 [ ¬ ¬ α ] , Σ 2 , Γ 2 . Suppose Γ 1 [ ] = Σ [ ] or Σ [ ] . We prove only the former cases. Clearly, GK t Σ [ α ] , Γ 2 . By ( Dual ), GK t Σ [ α ] , Γ 2 . By induction hypothesis, GK t Σ [ ¬ ¬ α ] , Γ 2 . By ( Dual ), GK t Σ [ ¬ ¬ α ] , Γ 2 . □
Lemma 9. 
For every formula α, GK t α ¬ ¬ α and GK t ¬ ¬ ¬ α ¬ α .
Proof. 
Apply (¬L) and (¬R) to α α . □
Lemma 10. 
If GK t Γ [ α ] ¬ β , then GK t Γ [ ¬ ¬ α ] ¬ β .
Proof. 
Assume GK t Γ [ α ] ¬ β . By (¬L) and Lemma 8, GK t Γ [ ¬ ¬ α ] , ¬ ¬ β . By ( ¬ R ) , GK t Γ [ ¬ ¬ α ] ¬ ¬ ¬ β . By Lemma 9, GK t ¬ ¬ ¬ β ¬ β . By (Cut), GK t Γ [ ¬ ¬ α ] ¬ β . □
Definition 7. 
The Kolmogorov translation k o l : F F is recursively defined as follows:
k o l ( p ) = ¬ ¬ p where p Var . k o l ( ) = ¬ ¬ k o l ( α β ) = ¬ ¬ ( k o l ( α ) k o l ( β ) ) k o l ( ¬ α ) = ¬ k o ( α ) k o l ( α ) = ¬ ¬ k o l ( α ) where { , , , } .
For every formula structure Γ, by k o l ( Γ ) , we denote the formula structure obtained from Γ by replacing each formula β in Γ by k o l ( β ) . For every context Γ [ ] , k o l ( Γ [ ] ) is defined natrually.
Lemma 11. 
For every formula α, GK t k o l ( ¬ ¬ α ) k o l ( α ) .
Proof. 
Clearly, k o l ( ¬ ¬ α ) = ¬ ¬ k o l ( α ) and k o l ( α ) = ¬ δ for some δ . By Lemma 9, GK t ¬ ¬ ¬ δ ¬ δ . Then, GK t k o l ( ¬ ¬ α ) k o l ( α ) . □
Theorem 5. 
GK t Γ β iff GK t k o l ( Γ ) k o l ( β ) .
Proof. 
Let GK t k o l ( Γ ) k o l ( β ) . Then, GK t k o l ( Γ ) k o l ( β ) . Obviously, GK t α k o l ( α ) for any α . Due to Lemma 3 and (Cut), GK t Γ β . The opposite direction is proved by induction on the derivation of Γ β . Let Γ β be obtained by rule (R). We provide only details of proof for the case ( R ) = ( Dual ) or ( Dual ) . Other cases are analogous to the proof of [17], Lemma 5.5. We prove only the former case. Let the premise and the conclusion of (R) be GK t k 1 Δ 1 , Δ 2 and GK t k Δ 1 , Δ 2 , respectively. By induction hypothesis, GK t k o l ( Δ 1 ) , k o l ( Δ 2 ) ¬ ¬ . By GK t ¬ ¬ and (Cut), GK t k o l ( Δ 1 ) , k o l ( Δ 2 ) . By ( Dual ) , GK t k o l ( Δ 1 ) , k o l ( Δ 2 ) . □
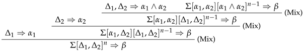
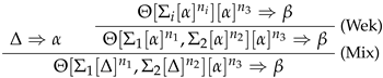
Now, we prove the cut elimination holds for GK t . For every n 0 , let Γ [ Δ ] n be the formula structure in which Δ appears at n places. In particular, if n = 0 , then Γ [ Δ ] n denotes a formula structure in which Δ does not appear. We introduce the following mix rule:
Δ α Γ [ α ] n β Γ [ Δ ] n β ( Mix )
Clearly, (Mix) is admissible in GK t , and (Cut) is a special case of (Mix). Thus, the cut elimination is equivalent to the mix elimination of GK t .
Theorem 6. 
If GK t Γ χ , then GK t Γ χ without any application of ( Mix ) .
Proof. 
Let D be a derivation of Γ χ in GK t . It suffices to show that (Mix) can be eliminated from D . Let an application of ( Mix ) in D be as follows:
k Δ α m Σ [ α ] n β Σ [ Δ ] n β ( Mix )
We prove the elimination of (Mix) by induction on c ( α ) and k + m . Let k = 0 or m = 0 . Then, Δ α or Σ [ α ] n β is an instance of (Id). Hence, Δ = α or Σ [ α ] = β . Therefore, the conclusion is just the right or left premise of (Mix). Suppose that k > 0 and m > 0 . Assume the last rules for deriving the left and right premises of (Mix) are ( R l ) and ( R r ) , respectively. We have the following cases:
(1) At least one of ( R l ) and ( R r ) is a structural rule. We have the following cases:
(1.1) ( R l ) is ( Ctr ) . Let the derivation end with
Axioms 12 00620 i010
By induction hypothesis, the above subtree can be transformed into
Axioms 12 00620 i011
where ( Ctr ) n means n times application of (Ctr).
(1.2) ( R l ) is ( Wek ) . Let the derivation end with
Axioms 12 00620 i012
By induction hypothesis, the above subtree can be transformed into
Axioms 12 00620 i013
where i = 1 , 2 and ( Wek ) n means n times application of (Wek).
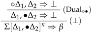
(1.3) ( R l ) is ( Dual ) . Let Δ = ( Δ 1 , Δ 2 ) , α = and the derivation end with
Axioms 12 00620 i014
The above subtree can be transformed into
Axioms 12 00620 i015
(1.4) ( R l ) is ( Dual ) . The proof is quite analogous to (1.3).
(1.5) ( R r ) is (Ctr). Let Σ [ α ] n = Θ [ Π [ α ] n 1 ] [ α ] n 2 and the derivation end with
Axioms 12 00620 i016
By induction hypothesis, the above subtree can be transformed into
Axioms 12 00620 i017
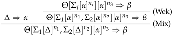
(1.6) ( R r ) is (Wek). Let Σ [ α ] n = Θ [ Σ 1 [ α ] n 1 , Σ 2 [ α ] n 2 ] [ α ] n 3 and the derivation end with
Axioms 12 00620 i018
By induction hypothesis, the above subtree can be transformed into
Axioms 12 00620 i019
(1.7) ( R r ) is ( Dual ) . Let the derivation end with
Axioms 12 00620 i020
By induction hypothesis, the above subtree can be transformed into
Axioms 12 00620 i021
(1.8) ( R r ) is ( Dual ) . The proof is quite analogous to (1.7).
(2) Both ( R l ) and ( R r ) are logical rules.
(2.1) α is not principal in ( R l ) . We have the following cases.
(2.1.1) ( R l ) is ( ) . Let the derivation end with
Axioms 12 00620 i022
The above subtree can be transformed into
Θ Σ [ Δ [ Θ ] ] n β ( )
(2.1.2) ( R l ) is a left logical rule. We apply (Mix) to the premise(s) of ( R l ) and Σ [ α ] n β , and then apply ( R l ) . Take ( R l ) = ( L ) as an example. Other cases are addressed similarly. Let the derivation end with
Axioms 12 00620 i023
By induction hypothesis, the above subtree can be transformed into
Axioms 12 00620 i024
where ( L ) n means n times application of ( L ) .
(2.2) α is not principal in ( R r ) . We have the following cases:
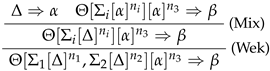
(2.2.1) ( R r ) is ( ) . Let the derivation end with
Axioms 12 00620 i025
If n 1 = 0 , then we obtain Σ [ Δ [ Θ ] ] n β from Θ by ( ) . Let n 1 > 0 . By induction hypothesis, the above subtree can be transformed into
Axioms 12 00620 i026
(2.2.2) ( R r ) is a right logical rule. Apply (Mix) to Δ α and the premise(s) of ( R r ) and then apply ( R r ) . Take ( R r ) = ( R ) as an example. Let the derivation end with
Axioms 12 00620 i027
By induction hypothesis, the above subtree can be transformed into
Axioms 12 00620 i028
(2.2.3) ( R r ) is a left logical rule. We apply (Mix) to Δ α and the premise(s) of ( R r ) , and then apply ( R r ) . Take ( R r ) = ( ¬ L ) as an example. Let the derivation end with
Axioms 12 00620 i029
By induction hypothesis, the above subtree can be transformed into
Axioms 12 00620 i030
(2.3) α is principal in both ( R l ) and ( R r ) . The proof proceeds by induction on the complexity of α . We have the following cases:
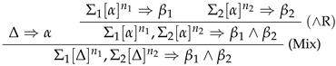
(2.3.1) α = α 1 α 2 . Let the derivation end with
Axioms 12 00620 i031
By induction hypothesis, the above subtree can be transformed into
Axioms 12 00620 i032
(2.3.2) α = ¬ ξ . Let the derivation end with
Axioms 12 00620 i033
By induction hypothesis, the above subtree can be transformed into
Axioms 12 00620 i034
(2.3.3) α = ξ . Let the derivation end with
Axioms 12 00620 i035
By induction hypothesis, the above subtree can be transformed into
Axioms 12 00620 i036
(2.3.4) α = ξ . The proof is quite analogous to (2.3.3).
(2.3.5) α = ξ . The derivation ends with
Axioms 12 00620 i037
By induction hypothesis, the above subtree can be transformed into
Axioms 12 00620 i038
(2.3.6) α = ξ . The proof is quite analogous to (2.3.5). □
Now, let GK t be GK t , eliminating (Cut). Next, we shall prove that GK t s implies GK t * s .
Remark 2. 
We clearly have GK t * ¬ ¬ α α . Furthermore, GK t * α β iff GK t * ¬ β ¬ α . The regular proof is omitted.
Lemma 12. 
GK t * α [ ¬ ¬ β ] α [ β ] , where α [ ] is a formula context.
Proof. 
Suppose d ( α [ ] ) = 0 . Then, ¬ ¬ β β . Suppose d ( α [ ] ) > 0 . Assume α [ ] = ¬ χ [ ] . By induction hypothesis, χ [ ¬ ¬ β ] χ [ β ] . By Remark 2, ¬ χ [ ¬ ¬ β ] ¬ χ [ β ] . Assume α [ ] = α 1 [ ] α 2 or α 1 α 2 [ ] . We prove only the former case. According to induction hypothesis, α 1 [ ¬ ¬ β ] α 1 [ β ] . By ( R ) and ( L ) , α 1 [ ¬ ¬ β ] α 2 α 1 [ β ] α 2 . Assume α [ ] = χ [ ] or χ [ ] .We prove only the former case. According to induction hypothesis, χ [ ¬ ¬ β ] χ [ β ] . By ( R ) and ( L ) , χ [ ¬ ¬ β ] χ [ β ] . Assume α [ ] = χ [ ] or χ [ ] . We prove only the former case. According to induction hypothesis, χ [ ¬ ¬ β ] χ [ β ] . By ( R ) and ( L ) , χ [ ¬ ¬ β ] χ [ β ] . □
Lemma 13. 
The following hold in GK t * :
(1)
if GK t * Γ [ α [ ¬ ¬ β ] ] χ , then GK t * Γ [ α [ β ] ] χ .
(2)
if GK t * Γ α [ ¬ ¬ β ] , then GK t * Γ α [ β ] .
Proof. 
Assume k Γ [ α { ¬ ¬ β } ] χ and k Γ α [ ¬ ¬ β ] . We prove (1) and (2) simultaneously by induction on k 0 . Suppose k = 0 . By Lemma 12, (1) and (2) hold. Suppose k > 0 . For (1), suppose Γ [ α [ ¬ ¬ β ] ] χ is derived by a rule ( R ) . We have the following cases:
(1.1) ( R ) is a structural rule. We have the following cases:
(1.1.1) ( R ) = ( Ctr ) . Let k 1 Σ [ Δ , Δ ] χ and k Σ [ Δ ] χ , where Σ [ Δ ] = Γ [ α [ ¬ ¬ β ] ] . Suppose α [ ¬ ¬ β ] does not occur in Δ . By (Ctr), Γ [ α [ ¬ ¬ β ] ] χ . Suppose Δ = Δ [ α [ ¬ ¬ β ] ] . By induction hypothesis, Σ [ Δ [ α [ β ] ] , Δ [ α [ β ] ] ] χ . By (Ctr), Γ [ α [ β ] ] χ .
(1.1.2) ( R ) = ( Wek ) . Let k 1 Σ [ Δ i ] χ and k Σ [ Δ 1 , Δ 2 ] χ , where Σ [ Δ 1 , Δ 2 ] = Γ [ α [ ¬ ¬ β ] ] . Suppose α [ ¬ ¬ β ] does not occur in Δ i . By (Ctr), Γ [ α [ ¬ ¬ β ] ] χ . Suppose Δ i = Δ i [ α [ ¬ ¬ β ] ] . According to induction hypothesis, Σ [ Δ i [ α [ β ] ] ] χ . By (Wek), Γ [ α [ β ] ] χ .
(1.1.3) ( R ) = ( Dual ) or ( Dual ) . We prove only the former. Let k 1 Δ 1 , Δ 2 χ and k Δ 1 , Δ 2 χ , where Δ 1 , Δ 2 = Γ [ α [ ¬ ¬ β ] ] . By induction hypothesis and ( Dual ) , Γ [ α [ β ] ] χ .
(1.2) ( R ) is a logical rule. If ( R ) is one of the rules ( ¬ R 1 ) , ( ¬ R 2 ) , ( ¬ ¬ R ) , ( R ) , ( R ) , ( R ) and ( R ) , we obtain immediately Γ [ α [ β ] ] χ by induction hypothesis and the rule ( R ) . We have the following remaining cases:
(1.2.1) ( R ) = ( ) . Let k 1 Δ and k Σ [ Δ ] χ , where Σ [ Δ ] = Γ [ α [ ¬ ¬ β ] ] . Suppose α [ ¬ ¬ β ] does not occur in Δ . By ( ) , Γ [ α [ ¬ ¬ β ] ] χ . Suppose Δ = Δ [ α [ ¬ ¬ β ] ] . By induction hypothesis, Δ [ α [ β ] ] . By ( ) , Γ [ α [ β ] ] χ .
(1.2.2) ( R ) = ( L ) . Let k 1 Σ [ ξ 1 , ξ 2 ] β and k 1 Σ [ ξ 1 ξ 2 ] β , where Σ [ ξ 1 ξ 2 ] = Γ [ α [ ¬ ¬ β ] ] . Suppose α [ ¬ ¬ β ] = ξ 1 ξ 2 , and then ξ 1 = ξ 1 [ ¬ ¬ β ] or ξ 2 = ξ 2 [ ¬ ¬ β ] . In each case, by induction hypothesis and ( L ) , we obtain Γ [ α [ β ] ] χ . If α [ ¬ ¬ β ] ξ 1 ξ 2 , then we obtain immediately Γ [ α [ β ] ] χ by induction hypothesis and ( L ) .
(1.2.3) ( R ) = ( ¬ L 1 ) . Let k 1 Σ ¬ ξ and k ξ , Σ , where Γ [ α [ ¬ ¬ β ] ] = ξ , Σ and χ = . Suppose ξ = α [ ¬ ¬ β ] . By k 1 Σ ¬ α [ ¬ ¬ β ] and induction hypothesis, Σ ¬ α [ β ] . By ( ¬ L 1 ) , α [ β ] , Σ . Suppose Σ = Σ [ α [ ¬ ¬ β ] ] . By k 1 Σ [ α [ ¬ ¬ β ] ] ¬ ξ and induction hypothesis, Σ [ α [ β ] ] ¬ ξ . By ( ¬ L 1 ) , ξ , Σ [ α [ β ] ] .
(1.2.4) ( R ) = ( ¬ L 2 ) . Let k 1 Σ ξ and k ¬ ξ , Σ , where Γ [ α [ ¬ ¬ β ] ] = ¬ ξ , Σ and ξ ¬ ζ for any formula ζ . Suppose α [ ¬ ¬ β ] = ¬ ξ . Suppose α [ ] = or α [ ] = ¬ [ ] . Then, ¬ ξ = ¬ ¬ β or ¬ ξ = ¬ ¬ ¬ β . Then, ξ = ¬ β or ξ = ¬ ¬ β , which is impossible. Hence, ξ = ξ [ ¬ ¬ β ] . By k 1 Σ ξ [ ¬ ¬ β ] and induction hypothesis, Σ ξ [ β ] . By ( ¬ L 2 ) , ¬ ξ [ β ] , Σ . Suppose Σ = Σ [ α [ ¬ ¬ β ] ] . By k 1 Σ [ α [ ¬ ¬ β ] ] ξ and induction hypothesis, Σ [ α [ β ] ] ξ . By ( ¬ L 2 ) , ¬ ξ , Σ [ α [ β ] ] .
(1.2.5) ( R ) = ( ¬ ¬ L ) . Let k 1 Σ [ ξ ] χ and k Σ [ ¬ ¬ ξ ] χ , where Γ [ α [ ¬ ¬ β ] ] = Σ [ ¬ ¬ ξ ] . Let ¬ ¬ ξ = α [ ¬ ¬ β ] . Assume α [ ] = or α [ ] = ¬ [ ] . Then, ¬ ¬ ξ = ¬ ¬ β or ¬ ¬ ξ = ¬ ¬ ¬ β . Then, ξ = β or ξ = ¬ β . Then, Σ [ β ] χ or Σ [ ¬ β ] χ . Assume ξ = ξ [ ¬ ¬ β ] . By k 1 Σ [ ξ [ ¬ ¬ β ] ] χ and induction hypothesis, Σ [ ξ [ β ] ] χ . By ( ¬ ¬ L ) , Σ [ ¬ ¬ ξ [ β ] ] χ . Let ¬ ¬ ξ α [ ¬ ¬ β ] . By induction hypothesis and ( ¬ ¬ L ) , Γ [ α [ β ] ] χ .
(1.2.6) ( R ) = ( L ) or ( L ) . We prove only the former. Let k 1 Σ [ ξ ] χ and k Σ [ ξ ] χ , where Γ [ α [ ¬ ¬ β ] ] = Σ [ ξ ] . Suppose α [ ¬ ¬ β ] = ξ . Then, ξ = ξ [ ¬ ¬ β ] . According to induction hypothesis, Σ [ ξ [ β ] ] χ . By ( L ) , Σ [ ξ [ β ] ] χ . Suppose α [ ¬ ¬ β ] ξ . According to induction hypothesis and ( L ) , Γ [ α [ β ] ] χ .
(1.2.7) ( R ) = ( L ) or ( L ) . We prove only the former. Let k 1 Σ [ ξ ] χ and k Σ [ ξ ] χ , where Γ [ α [ ¬ ¬ β ] ] = Σ [ ξ ] . Suppose α [ ¬ ¬ β ] = ξ . Then, ξ = ξ [ ¬ ¬ β ] . According to induction hypothesis, Σ [ ξ [ β ] ] χ . By ( L ) , Σ [ ξ [ β ] ] χ . Suppose α [ ¬ ¬ β ] ξ . According to induction hypothesis and ( L ) , Γ [ α [ β ] ] χ .
For (2), suppose Γ α [ ¬ ¬ β ] is derived by a rule ( R ) . We have the following cases:
(2.1) ( R ) is (Ctr) or (Wek). In each case, we obtain Γ α [ β ] by induction hypothesis and ( R ) .
(2.2) ( R ) is a logical rule. Note that α [ ¬ ¬ β ] . Then, ( R ) cannot be ( ¬ L 1 ) or ( ¬ L 2 ) . If ( R ) is one of the rules ( L ) , ( ¬ ¬ L ) , ( L ) , ( L ) , ( L ) and ( L ) , by induction hypothesis and ( R ) , we obtain Γ α [ β ] . We have the following remaning cases:
(2.2.1) ( R ) = ( ) . Let k 1 Δ and k Γ [ Δ ] α [ ¬ ¬ β ] . From Δ by ( ) , we have Γ [ Δ ] α [ β ] .
(2.2.2) ( R ) = ( R ) . Let k 1 Γ 1 χ 1 ; k 1 Γ 2 χ 2 and k Γ 1 , Γ 2 χ 1 χ 2 , where Γ = ( Γ 1 , Γ 2 ) and α [ ¬ ¬ β ] = χ 1 χ 2 . Then, χ 1 = χ 1 [ ¬ ¬ β ] or χ 2 = χ 2 [ ¬ ¬ β ] . Then, Γ 1 , Γ 2 α [ β ] .
(2.2.3) ( R ) = ( ¬ R 1 ) . Let k 1 ¬ α [ ¬ ¬ β ] , Γ and k Γ α [ ¬ ¬ β ] . By induction hypothesis, ¬ α [ β ] , Γ . By ( ¬ R 1 ) , Γ α [ β ] .
(2.2.4) ( R ) = ( ¬ R 2 ) . Let k 1 ξ , Γ and k Γ ¬ ξ , where α [ ¬ ¬ β ] = ¬ ξ and ξ ¬ δ for any formula δ . Clearly, α [ ] and α [ ] ¬ [ ] . Then, ξ = ξ [ ¬ ¬ β ] . By induction hypothesis, ξ [ β ] , Γ . By ( ¬ R 2 ) , Γ ¬ ξ [ β ] .
(2.2.5) ( R ) is one of the rules ( R ) , ( R ) , ( R ) and ( R ) . We prove only the case ( R ) = ( R ) . Let k 1 Σ ξ and k Σ ξ , where Γ = Σ and ξ = α [ ¬ ¬ β ] . Then, ξ = ξ [ ¬ ¬ β ] . According to induction hypothesis and ( R ) , Σ ξ [ β ] . □
Lemma 14. 
The following hold in GK t * :
(1)
if GK t * Γ α , then GK t * ¬ α , Γ .
(2)
if GK t * α , Γ , then GK t * Γ ¬ α .
Proof. 
(1) Assume GK t * Γ α . Suppose α = ¬ χ . By ( ¬ L 1 ) and ( ¬ ¬ L ) , GK t * ¬ ¬ χ , Γ . Suppose α ¬ χ for any formula χ . By ( ¬ L 2 ) , GK t * ¬ α , Γ .
(2) Assume GK t * α , Γ . Suppose α = ¬ χ . By ( ¬ R 1 ) and ( ¬ ¬ R ) , GK t * Γ ¬ ¬ χ . Suppose α ¬ χ for any formula χ . By ( ¬ R 2 ) , GK t * Γ ¬ α . □
Lemma 15. 
If GK t Γ α , then GK t * Γ α .
Proof. 
By Lemma 14, ( ¬ L ) and ( ¬ R ) are admissible in GK t * . □
Lemma 16. 
If GK t * k o l ( Γ ) k o l ( α ) , then GK t * Γ α .
Proof. 
Let GK t * k o l ( Γ ) k o l ( α ) . By Lemma 13, the double negation ¬ ¬ in k o l ( Γ ) k o l ( α ) are eliminable. Hence, GK t * Γ α . □
Theorem 7. 
If GK t Γ α , then GK t * Γ α .
Proof. 
Let GK t Γ α . By Theorem 5, GK t k o l ( Γ ) k o l ( α ) . By Theorem 6, GK t k o ( Γ ) k o ( α ) . By Lemma 15, GK t * k o l ( Γ ) k o l ( α ) . By Lemma 16, GK t * Γ α . □
By Theorem 7, every derivation in GK t can be transformed into a cut-free derivation in GK t * . This result provides the cut elimination of GK t .

5. Strictly Positive Formulas

In this section, as in [17], we introduce strictly positive formulas and show that tense logics axiomatized by a set of such formulas have cut-free sequent calculi. The fundamental idea is that each strictly positive formula can be transformed into a structural rule, which is added to GK t without affecting the cut elimination.
Definition 8 
(cf. [17]). The strictly positive formulas (‘sp-formulas’ for short) are defined recursivly as follows:
SP ψ : : = p ( ψ 1 ψ 2 ) ψ ψ
where p Var and SP are the set of sp-formulas. A sp-axiom is a formula φ ψ , where φ , ψ SP .
An expression Π [ 1 ] [ n ] is called a generalized context if it is built from n positions 1 , , n by only structural operators. For Θ 1 , , Θ n FS , Π [ Θ 1 ] [ Θ n ] is the formula structure arised from Π [ 1 ] [ n ] by replacing each i with Θ i for 1 i n .
Definition 9. 
For any sp-formula ψ SP and v a r ( ψ ) = { q 1 , , q n } , let Π ψ [ 1 ] [ n ] be the generalized context arised from ψ by (i) replacing each q i with i for 1 i n , and (ii) replacing each occurrence of , or by the comma, or , respectively. If v a r ( ψ ) = , we obtain Π ψ only by (ii).
Let φ χ be a sp-axiom, where v a r ( φ ) = { q 1 , , q n } and v a r ( χ ) = { p 1 , , p m } . We define the structural rule R φ , χ as follows:
Π [ Ξ χ [ Θ 1 ] [ Θ m ] ] γ Π [ Ξ φ [ Ψ 1 ] [ Ψ n ] ] γ ( R φ , β )
where Π [ ] is a context, Θ 1 , , Θ m , Ψ 1 , , Ψ n FS and γ F .
Many tense logics are axiomatizable by sp-axioms. Table 1 provides some examples of formulas, the corresponding sp-axioms and structural rules.
Table 1. Some sp-axioms and structural rules.
Let S be a set of sp-axioms and R ( S ) the set of all rules ( R φ , ψ ) , where φ ψ S . The tense logic S is K t S , and the sequent calculus GS is the extension of GK t with rules in R ( S ) . Every sp-axiom in S is a simple Sahlqvist formula (cf. e.g., [2]), and so S is characterized by the frame class Fr ( S ) .
Theorem 8. 
For any set of sp-axioms S, GS Γ α iff Fr ( S ) Γ α .
Proof. 
The left-to-right direction is obvious since all rules in R ( S ) preserve validity in Fr ( S ) . The other direction is shown as the proof of Theorem 4. Note that, if φ ψ S , then GS φ ψ by the structural rule ( R φ , ψ ) . □
Let GS * , GS and GS be extensions of GK t * , GK t and GK t with rules R ( S ) , respectively. Repeating the cut elimination proof provided in Section 4, it follows that these sequent calculi are equivalent.
Lemma 17. 
If GS * Γ α , then GS Γ α .
Proof. 
The proof is analogous to Lemma 7. □
Theorem 9. 
GS Γ α iff GS k o l ( Γ ) k o l ( α ) .
Proof. 
The proof is analogous to Theorem 5. Structural rules in R ( S ) pass the proof. □
Theorem 10. 
If GS Γ χ , then GS Γ χ without any applications of ( Mix ) .
Proof. 
The proof proceeds as the proof of Theorem 10 by adding cases of rules in R ( S ) . Suppose the derivation ends with
Axioms 12 00620 i039
By induction hypothesis, the above subtree can be transformed into
Axioms 12 00620 i040
where ( R χ 1 , χ 2 ) n means n times application of ( R χ 1 , χ 2 ) .
Suppose the derivation ends with
Axioms 12 00620 i041
By induction hypothesis, the above subtree can be transformed into
Axioms 12 00620 i042
This completes the proof. □
Lemma 18. 
The following hold in GS * :
(1)
if GS * Γ [ φ [ ¬ ¬ ψ ] ] χ , then GS * Γ [ φ [ ψ ] ] χ .
(2)
if GS * Γ φ [ ¬ ¬ ψ ] , then GS * Γ φ [ ψ ] .
Proof. 
The proof is analogous to Lemma 13. Note that rules in R ( S ) pass the proof. □
Lemma 19. 
The following hold:
(1)
if GS Γ α , then GS * Γ α .
(2)
if GS * k o l ( Γ ) k o l ( α ) , then GS * Γ α .
Proof. 
The proofs are quite similar to Lemmas 15 and 16. □
Theorem 11. 
If GS Γ α , then GS * Γ α .
Proof. 
Let GS Γ α . By Theorem 17, GS k o l ( Γ ) k o l ( α ) . By Theorem 10, GS k o l ( Γ ) k o l ( α ) . By Lemma 19, GS * k o l ( Γ ) k o l ( α ) , and so GS * Γ α . □
It follows that GS for each sp-axioms set S admits cut elimination. This provides a modular result in the study of proof theory for tense logic.

6. Concluding Remarks

The present work generalizes the Gentzen proof theory for intuitionistic tense logics provided in [17] to classical tense logics. We present a cut-free single-succedent Gentzen sequent calculus for the minimal tense logic K t . Then, we show that all sp-axioms can be transformed into structural rules, which allow obtaining cut-free sequent calculi uniformly. There are still some questions for further exploration. First, we may consider formulas that are equivalent to sp-axioms, and describe tense logics axiomatized by these sp-axioms. Second, we could consider the proof-theoretic approach to the decidability of these tense logics axiomatized by sp-axioms. Third, the approach provided in the present work can be explored further for the proof of some results on the finite model property in tense logics. Finally, the sequent calculi we have developed can be appropriately extended to multimodal logics.

Author Contributions

Conceptualization, Z.L. and M.M.; investigation, Z.L. and M.M.; writing—original draft preparation, Z.L. and M.M.; writing—review and editing, Z.L. and M.M.; funding acquisition, M.M. All authors have read and agreed to the published version of the manuscript.

Funding

This research was funded by China Funding of Social Sciences grant number 18ZDA033.

Conflicts of Interest

The authors declare no conflict of interest.

References

  1. Burgess, J. Basic tense logic. In Handbook of Philosophical Logic; Gabbay, D., Guenthner, F., Eds.; Springer: Dordrecht, The Netherlands, 1984; Volume II, pp. 89–133. [Google Scholar]
  2. Blackburn, P.; de Rijke, M.; Venema, Y. Modal Logic; Cambridge University Press: Cambridge, UK, 2001. [Google Scholar]
  3. Kracht, M. Tools and Techniques in Modal Logic; Elsevier: Amsterdam, The Netherlands, 1999. [Google Scholar]
  4. Wansing, H. Sequent systems for modal logics. In Handbook of Philosophical Logic; D’Agostino, M., Gabbay, D.M., Hähnle, R., Posegga, J., Eds.; Springer: Dordrecht, The Netherlands, 1999; Volume 8, pp. 297–396. [Google Scholar]
  5. Poggiolesi, F. Gentzen Calculi for Modal Propositional Logic; Springer: Dordrecht, The Netherlands, 2011. [Google Scholar]
  6. Belnap, N. Display logic. J. Philos. Log. 1982, 11, 375–417. [Google Scholar] [CrossRef]
  7. Kracht, M. Power and weakness of the modal display calculus. In Proof Theory of Modal Logic; Wansing, H., Ed.; Springer: Dordrecht, The Netherlands, 1996; pp. 93–121. [Google Scholar]
  8. Wansing, H. Displaying Modal Logic; Springer: North Holland, The Netherlands, 1998. [Google Scholar]
  9. Negri, S. Proof theory of modal logic. J. Philos. Log. 2005, 34, 507–544. [Google Scholar] [CrossRef]
  10. Stouppa, P. A deep inference system for the modal logic S5. Stud. Log. 2007, 85, 199–214. [Google Scholar] [CrossRef]
  11. Bonnette, N.; Goré, R. A labelled sequent system for tense logic Kt. In Advanced Topics in Artificial Intelligence, AI 1998, LNCS 1502; Springer: Berlin/Heidelberg, Germany, 2006; pp. 71–82. [Google Scholar]
  12. Brünnler, K. Deep Inference and Symmetry in Classical Proofs. Ph.D. Thesis, Technischen Universität Dresden, Dresden, Germany, 2003. [Google Scholar]
  13. Goré, R. Tableau methods for modal and temporal Logics. In Handbook of Tableau Methods; Gabbay, D., Guenthner, F., Eds.; Springer: Dordrecht, The Netherlands, 2002; pp. 61–145. [Google Scholar]
  14. Kashima, R. Cut-free sequent calculi for some tense logics. Stud. Log. 1994, 53, 119–135. [Google Scholar] [CrossRef]
  15. Moortgat, M. Multimodal linguistic inference. J. Log. Lang. Inf. 1996, 5, 349–385. [Google Scholar] [CrossRef]
  16. Lin, Z.; Ma, M. Gentzen sequent calculi for some intuitionistic modal logics. Log. J. IGPL 2019, 4, 596–623. [Google Scholar] [CrossRef]
  17. Lin, Z.; Ma, M. A proof-theoretic approach to negative translations in intuitionistic tense logics. Stud. Log. 2022, 110, 1225–1289. [Google Scholar] [CrossRef]
  18. Negri, S.; von Plato, J. Structural Proof Theory; Cambridge University Press: Cambridge, UK, 2001. [Google Scholar]
Disclaimer/Publisher’s Note: The statements, opinions and data contained in all publications are solely those of the individual author(s) and contributor(s) and not of MDPI and/or the editor(s). MDPI and/or the editor(s) disclaim responsibility for any injury to people or property resulting from any ideas, methods, instructions or products referred to in the content.

Article Metrics

Citations

Article Access Statistics

Multiple requests from the same IP address are counted as one view.