Detection of Internal Wire Broken in Mining Wire Ropes Based on WOA–VMD and PSO–LSSVM Algorithms
Abstract
:1. Introduction
2. Theoretical Basis
2.1. Principle of Wire Rope Damage Detection
2.2. WOA–VMD Algorithm
2.2.1. Principles of the WOA Algorithm
2.2.2. VMD Principle
2.2.3. WOA Optimization and VMD Principle
2.3. PSO–LSSVM Identification Principle
3. WOA–VMD–PSO–LSSVM Algorithms
| method | WOA–VMD and PSO–LSSVM method |
| Input | num = xlsread(‘x.xlsx’); % detection signal x |
| Output | ); % WOA–VMD denoising signal ); % PSO–LSSVM identification results |
| Loop | For (i = 1, i ≤ 30; i++); { is the number of optimal decomposition layers is the signal after noise reduction } For (j = 1, j ≤ 50; j++); { ; % PSO optimization ; % Recognizing Noise Reduction Signals with LSSVM, is the result of the identification } end |
4. Simulation Analysis
5. Experimental Results
5.1. Experimental Design
5.2. Damage Signal Data Analysis
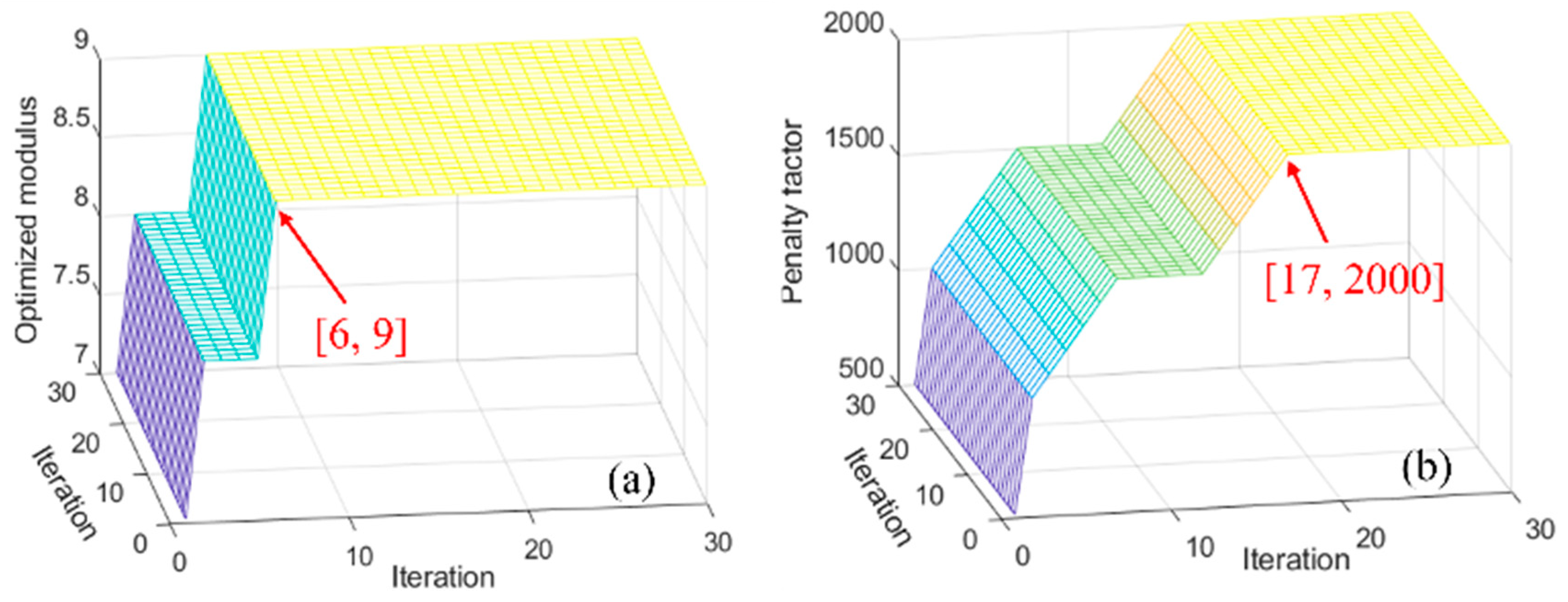
5.3. WOA–VMD Optimization Search Process
5.4. Damage Identification
5.5. Analysis of Results
6. Conclusions
Author Contributions
Funding
Data Availability Statement
Acknowledgments
Conflicts of Interest
Abbreviations
References
- Liu, S.; Sun, Y.; Jiang, X.; Kang, Y. A Review of Wire Rope Detection Methods, Sensors and Signal Processing Techniques. J. Nondestruct. Eval. 2020, 39, 85. [Google Scholar] [CrossRef]
- Ouyang, Y.; Wang, T.; Hong, T.; Sun, X. Calibration and Analysis of Mechanical Modeling for Traction Wire Rope of Mountainous Orchard Carrier. Math. Probl. Eng. 2021, 2021, 7391524. [Google Scholar] [CrossRef]
- Zhang, J.; Peng, F.; Chen, J. Quantitative Detection of Wire Rope Based on Three-Dimensional Magnetic Flux Leakage Color Imaging Technology. IEEE Access 2020, 8, 104165–104174. [Google Scholar] [CrossRef]
- Zhang, D.; Zhang, E.; Pan, S. A new signal processing method for the nondestructive testing of a steel wire rope using a small device. NDT E Int. 2020, 114, 102299. [Google Scholar] [CrossRef]
- Jomdecha, C.; Prateepasen, A. Design of modified electromagnetic main-flux for steel wire rope inspection. NDT E Int. 2009, 42, 77–83. [Google Scholar] [CrossRef]
- Wang, H.; Tian, J.; Li, X.; Lv, X. Inspection of Mine Wire Rope Using Magnetic Aggregation Bridge Based on Magnetic Resistance Sensor Array. IEEE Trans. Instrum. Meas. 2020, 69, 7437–7448. [Google Scholar] [CrossRef]
- Liu, S.; Sun, Y.; He, L.; Kang, Y. Weak Signal Processing Methods Based on Improved HHT and Filtering Techniques for Steel Wire Rope. Appl. Sci. 2022, 12, 6969. [Google Scholar] [CrossRef]
- Huang, S.; Wang, X.; Li, C.; Kang, C. Data decomposition method combining permutation entropy and spectral substitution with ensemble empirical mode decomposition. Measurement 2019, 139, 438–453. [Google Scholar] [CrossRef]
- Zhang, J.; Zheng, P.; Tan, X. Recognition of Broken Wire Rope Based on Remanence using EEMD and Wavelet Methods. Sensors 2018, 18, 1110. [Google Scholar] [CrossRef]
- Qiao, T.Z.; Li, Z.X.; Jin, B.Q. Identification of mining steel rope broken wires based on improved EEMD. Int. J. Min. Miner. Eng. 2016, 7, 224. [Google Scholar] [CrossRef]
- Wang, D.; Zhao, Y.; Yi, C.; Tsui, K.-L.; Lin, J. Sparsity guided empirical wavelet transform for fault diagnosis of rolling element bearings. Mech. Syst. Signal Process. 2018, 101, 292–308. [Google Scholar] [CrossRef]
- Peng, F.; Zhang, J. The Broken Wires Identification of Wire Rope Based on Multilevel Filtering Method Using EEMD and Wavelet Analysis. J. Fail. Anal. Prev. 2020, 21, 280–289. [Google Scholar] [CrossRef]
- Li, H.; Liu, T.; Wu, X.; Chen, Q. An optimized VMD method and its applications in bearing fault diagnosis. Measurement 2020, 166, 108185. [Google Scholar] [CrossRef]
- Wang, G.; Wang, X.; Wang, Z.; Ma, C.; Song, Z. A VMD–CISSA–LSSVM Based Electricity Load Forecasting Model. Mathematics 2021, 10, 28. [Google Scholar] [CrossRef]
- Lu, Q.; Shen, X.; Wang, X.; Li, M.; Li, J.; Zhang, M. Fault Diagnosis of Rolling Bearing Based on Improved VMD and KNN. Math. Probl. Eng. 2021, 2021, 2530315. [Google Scholar] [CrossRef]
- Yan, X.; Liu, Y.; Zhang, W.; Jia, M.; Wang, X. Research on a Novel Improved Adaptive Variational Mode Decomposition Method in Rotor Fault Diagnosis. Appl. Sci. 2020, 10, 1696. [Google Scholar] [CrossRef]
- Chen, Q.; Zhang, J.; Li, B. Research on 3D MFL testing of wire rope based on empirical wavelet transform and SRCNN. J. Vibroeng. 2022, 24, 779–792. [Google Scholar] [CrossRef]
- He, Y.; Song, K.; Meng, Q.; Yan, Y. An End-to-End Steel Surface Defect Detection Approach via Fusing Multiple Hierarchical Features. IEEE Trans. Instrum. Meas. 2020, 69, 1493–1504. [Google Scholar] [CrossRef]
- Zhang, Y.; Han, J.; Jing, L.; Wang, C.; Zhao, L. Intelligent Fault Diagnosis of Broken Wires for Steel Wire Ropes Based on Generative Adversarial Nets. Appl. Sci. 2022, 12, 11552. [Google Scholar] [CrossRef]
- Chen, M.R.; Zeng, G.Q.; Lu, K.D.; Weng, J. A Two-Layer Nonlinear Combination Method for Short-Term Wind Speed Prediction Based on ELM, ENN, and LSTM. IEEE Internet Things J. 2019, 6, 6997–7010. [Google Scholar] [CrossRef]
- Chen, Z.; Jiang, C.; Xie, L. A Novel Ensemble ELM for Human Activity Recognition Using Smartphone Sensors. IEEE Trans. Ind. Inform. 2019, 15, 2691–2699. [Google Scholar] [CrossRef]
- Cai, W.; Yang, J.; Yu, Y.; Song, Y.; Zhou, T.; Qin, J. PSO-ELM: A hybrid learning model for short-term traffic flow forecasting. IEEE Access 2020, 8, 6505–6514. [Google Scholar] [CrossRef]
- Alickovic, E.; Subasi, A. Ensemble SVM Method for Automatic Sleep Stage Classification. IEEE Trans. Instrum. Meas. 2018, 8, 6505–6514. [Google Scholar] [CrossRef]
- Zhou, P.; Zhou, G.; Li, Y.; He, Z.; Liu, Y. A Hybrid Data-Driven Method for Wire Rope Surface Defect Detection. IEEE Sens. J. 2020, 20, 8297–8306. [Google Scholar] [CrossRef]
- Suykens, J.A.K.; Vandewalle, J. Least Squares Support Vector Machine Classifiers. Neural Process. Lett. 1999, 9, 293–300. [Google Scholar] [CrossRef]
- Jia, Y.; Ying, L.; Wang, D.; Zhang, J. Defect Prediction of Relay Protection Systems Based on LSSVM-BNDT. IEEE Trans. Ind. Inform. 2020, 17, 710–719. [Google Scholar] [CrossRef]
- Yousefi, M.; Gholami, M.; Oskoei, V.; Mohammadi, A.A.; Baziar, M.; Esrafili, A. Comparison of LSSVM and RSM in simulating the removal of ciprofloxacin from aqueous solutions using magnetization of functionalized multi-walled carbon nanotubes: Process optimization using GA and RSM techniques. J. Environ. Chem. Eng. 2021, 9, 105677. [Google Scholar] [CrossRef]
- Zhang, K.; Su, J.; Sun, S.; Liu, Z.; Wang, J.; Du, M.; Liu, Z.; Zhang, Q. Compressor fault diagnosis system based on PCA-PSO-LSSVM algorithm. Sci. Prog. 2021, 104, 368504211026110. [Google Scholar] [CrossRef]
- Guan, S.; Huang, D.; Guo, S.; Zhao, L.; Chen, H. An Improved Fault Diagnosis Approach Using LSSVM for Complex Industrial Systems. Machines 2022, 10, 443. [Google Scholar] [CrossRef]
- Gao, S.; Li, T.; Zhang, Y. Rolling bearing fault diagnosis of PSO–LSSVM based on CEEMD entropy fusion. Trans. Can. Soc. Mech. Eng. 2019, 44, 405–418. [Google Scholar] [CrossRef]
- Mirjalili, S.; Lewis, A. The Whale Optimization Algorithm. Adv. Eng. Softw. 2016, 95, 51–67. [Google Scholar] [CrossRef]
- Wang, X.; Gao, S.; Zhou, S.; Guo, Y.; Duan, Y.; Wu, D. Prediction of House Price Index Based on Bagging Integrated WOA-SVR Model. Math. Probl. Eng. 2021, 2021, 3744320. [Google Scholar] [CrossRef]
- Li, C.; Liu, Y.; Liao, Y.; Wang, J. A VME method based on the convergent tendency of VMD and its application in multi-fault diagnosis of rolling bearings. Measurement 2022, 198, 111360. [Google Scholar] [CrossRef]
- Ouyang, M.; Shen, P. Prediction of Remaining Useful Life of Lithium Batteries Based on WOA-VMD and LSTM. Energies 2022, 15, 8918. [Google Scholar] [CrossRef]
- Li, Y.; Huang, D.; Qin, Z. A Classification Algorithm of Fault Modes-Integrated LSSVM and PSO with Parameters’ Optimization of VMD. Math. Probl. Eng. 2021, 2021, 6627367. [Google Scholar] [CrossRef]













| Noise Reduction Indicators | SNR (dB) | RMSE | R | C |
|---|---|---|---|---|
| Wavelet threshold | 23.06 | 0.071 | 0.95 | 0.94 |
| CEEMDAN | 25.43 | 0.065 | 0.91 | 0.89 |
| VMD | 26.19 | 0.061 | 0.98 | 0.92 |
| WOA–VMD | 29.29 | 0.041 | 0.99 | 0.96 |
| Type of Injury | Maximum Value (mm) | Minimum Value (mm) | Average Frequency Amplitude (dB) | Average Frequency (Hz) | Average Power (kw) | Envelope Entropy (J/K) |
|---|---|---|---|---|---|---|
| 15 mm | 0.042114 | −0.05336 | 5.997316 | 10.3104 | ||
| 13 mm | 0.04121 | −0.04628 | 5.164217 | 10.2658 | ||
| 11 mm | 0.038962 | −0.02937 | 5.046205 | 10.1983 | ||
| 9 mm | 0.037995 | −0.02879 | 4.943143 | 10.1916 | ||
| 7 mm | 0.033973 | −0.02678 | 4.84799 | 10.1212 | ||
| 5 mm | 0.023675 | −0.02493 | 4.553232 | 10.1166 | ||
| 3 mm | 0.018594 | −0.02341 | 4.077023 | 9.7736 |
| Feature Type | WOA–VMD-PSO–LSSVM Recognition Accuracy (%) | Average Recognition Accuracy (%) | ||||
|---|---|---|---|---|---|---|
| 1 | 2 | 3 | 4 | 5 | ||
| Time domain | 93.43 | 93.43 | 92.74 | 92.63 | 93.43 | 92.93 |
| Frequency domain | 91.37 | 92.19 | 91.37 | 91.37 | 91.37 | 91.54 |
| Minimum envelope entropy | 81.43 | 81.43 | 82.12 | 81.43 | 82.12 | 81.70 |
| Integration features | 99.29 | 99.29 | 99.48 | 99.29 | 99.29 | 99.32 |
| Serial Number | Damage Identification Methods | Recognition Accuracy (%) | Average Recognition Accuracy (%) | ||||
|---|---|---|---|---|---|---|---|
| 1 | 2 | 3 | 4 | 5 | |||
| 1 | WOAVMD-PSOLSSVM | 99.29 | 99.29 | 99.48 | 99.29 | 99.29 | 99.32 |
| 2 | VMD-PSOLSSVM | 81.4 | 81.4 | 82.06 | 81.4 | 81.4 | 81.83 |
| 3 | CEEMDAN-PSOLSSVM | 87.85 | 87.85 | 86.03 | 87.85 | 87.85 | 87.49 |
| 4 | AWT-PSOLSSVM | 93.65 | 91.21 | 93.65 | 92.97 | 93.65 | 93.02 |
Disclaimer/Publisher’s Note: The statements, opinions and data contained in all publications are solely those of the individual author(s) and contributor(s) and not of MDPI and/or the editor(s). MDPI and/or the editor(s) disclaim responsibility for any injury to people or property resulting from any ideas, methods, instructions or products referred to in the content. |
© 2023 by the authors. Licensee MDPI, Basel, Switzerland. This article is an open access article distributed under the terms and conditions of the Creative Commons Attribution (CC BY) license (https://creativecommons.org/licenses/by/4.0/).
Share and Cite
Li, P.; Tian, J.; Zhou, Z.; Wang, W. Detection of Internal Wire Broken in Mining Wire Ropes Based on WOA–VMD and PSO–LSSVM Algorithms. Axioms 2023, 12, 995. https://doi.org/10.3390/axioms12100995
Li P, Tian J, Zhou Z, Wang W. Detection of Internal Wire Broken in Mining Wire Ropes Based on WOA–VMD and PSO–LSSVM Algorithms. Axioms. 2023; 12(10):995. https://doi.org/10.3390/axioms12100995
Chicago/Turabian StyleLi, Pengbo, Jie Tian, Zeyang Zhou, and Wei Wang. 2023. "Detection of Internal Wire Broken in Mining Wire Ropes Based on WOA–VMD and PSO–LSSVM Algorithms" Axioms 12, no. 10: 995. https://doi.org/10.3390/axioms12100995
APA StyleLi, P., Tian, J., Zhou, Z., & Wang, W. (2023). Detection of Internal Wire Broken in Mining Wire Ropes Based on WOA–VMD and PSO–LSSVM Algorithms. Axioms, 12(10), 995. https://doi.org/10.3390/axioms12100995
