Next Article in Journal
Two Convergence Results for Inexact Infinite Products of Non-Expansive Mappings
Next Article in Special Issue
On Symbol-Pair Distance of a Class of Constacyclic Codes of Length 3ps over Fpm+uFpm
Previous Article in Journal
Centrally Extended Jordan (∗)-Derivations Centralizing Symmetric or Skew Elements
Previous Article in Special Issue
On the Algebraic Independence of the Values of Functions Associated with Hypergeometric Functions
 
 
Font Type:
Arial Georgia Verdana
Font Size:
Aa Aa Aa
Line Spacing:
Column Width:
Background:
Article

On the Left Properness of the Model Category of Permutative Categories

Department of Mathematical Sciences, Kent State University, Kent, OH 44242, USA
Axioms 2023, 12(1), 87; https://doi.org/10.3390/axioms12010087
Submission received: 13 October 2022 / Revised: 26 December 2022 / Accepted: 8 January 2023 / Published: 14 January 2023
(This article belongs to the Special Issue Advances in Applied Algebra, Combinatorics and Computation)

Abstract

In this paper, we introduce a notion of free cofibrations of permutative categories. We show that each cofibration of permutative categories is a retract of a free cofibration. The main goal of this paper is to show that the natural model category of permutative categories is a left proper model category.

1. Introduction

A permutative category is a symmetric monoidal category whose associativity and unit natural isomorphisms are identities. Permutative categories have generated significant interest in topology. An infinite loop space machine was constructed on permutative categories in [1]. A K-theory (multi-)functor from a multicategory of permutative categories into a symmetric monoidal category of symmetrical spectra, which preserves the multiplicative structure, was constructed in [2]. In [3], the K-theory of [2] was enhanced to a lax symmetric monoidal functor. It was shown in [4] that permutative categories model connective spectra.
Every symmetric monoidal category is equivalent (by a symmetric monoidal functor) to a permutative category. The category of symmetric monoidal categories SMCAT does NOT have a model category structure; however, its subcategory of permutative categories and strict symmetric monoidal functors Perm carries a model category structure. The category Perm is isomorphic to the category of algebras over the (categorical) Barrat–Eccles operad. Using this fact, the model category structure follows from [5] and ([6], Thm. 4.5). This model category structure is called the natural model category structure of permutative categories.
The main objective of this paper is to identify a class of cofibrations in the natural model category Perm called free cofibrations such that every cofibration in Perm is a retract of a free cofibration. A desirable property of free cofibrations is that cobase changes along a free cofibration preserve acyclic fibrations in the natural model category Perm . This property allows us to prove our main result that the natural model category Perm is left proper. Our primary motivation for proving the main result of this paper is the existence of left Bousfield localizations in combinatorial left-proper model categories ([7], Thm. 4.7). The main result of this paper has allowed us to construct two left Bousfield localizations of the natural model category Perm which are the model category of (permutative) compact closed categories Perm cc [8] and the model category of (permutative) Picard groupoids ( Perm , P ic ) [9].
Finally in Appendix A we present a construction of Gabriel Factorization of a unital symmetric monoidal functor between permutative categories. Our construction factors a unital symmetric monoidal functor into an essentially surjective strict symmetric monoidal functor followed by a fully faithful unital symmetric monoidal functor.
Remark 1.
Some proofs in this paper assume standard results in homotopical algebra. We would like to provide the uninformed reader a list of references to standard textbooks on the subject: [10,11,12].

2. Free Cofibrations in Perm

In this section, we define a class of maps called free cofibrations in the natural model category of permutative categories Perm . We show that a strict symmetric monoidal functor is a cofibration in Perm if and only if it is a retract of a free cofibration. A characterization of cofibrations in Perm was formulated purely in terms of object functions (which are monoid homomorphisms) of the underlying strict symmetric monoidal functor in [13]. In order to define free cofibrations, we will start by reviewing some basic notions of permutative categories:
Definition 1.
A symmetric monoidal category is called a permutative category or a strict symmetric monoidal category if it is strictly associative and strictly unital.
Remark 2.
A permutative category is an internal category in the category of monoids.
We recall that the forgetful functor U : Perm Cat has a left adjoint F : Cat Perm .
Definition 2.
A monoid M is called a free monoid if there exists a (dotted) lifting monoid homomorphism whenever we have the following (outer) commutative diagram of monoid homomorphisms:
Axioms 12 00087 i001
where p is a surjective monoid homomorphism, and * is a zero object in the category of monoids.
Definition 3.
A free cofibration of permutative categories is a (strict symmetric monoidal) functor i : A C whose object function is the inclusion O b ( i ) : O b ( A ) ( O b ( A ) M ) = O b ( C ) , where M is a free monoid and the coproduct is taken in the category of monoids.
The next proposition presents the desired characterization of cofibrations:
Proposition 1.
A strict symmetric monoidal functor F : C D is a cofibration in Perm if and only if it is a retract of a free cofibration by a map that fixes C.
Proof. 
Let us first assume that F is a retract of a free cofibration i : E M . We observe that the object function of a free cofibration has the left lifting property with respect to all surjective monoid homomorphisms; therefore, each free cofibration is a cofibration in Perm . A retract of a cofibration is again a cofibration. Thus, F is a cofibration in Perm .
Conversely, let us assume that F is a cofibration in Perm . We have the following (outer) commutative diagram in the category of monoids
Axioms 12 00087 i002
where F m ( O b ( D ) ) is the free monoid generated by the set O b ( D ) , i is the inclusion into the coproduct, and p = O b ( F ) ϵ . The summand ϵ : F m ( O b ( D ) ) O b ( D ) is the counit of the reflection:
F m : Set Mon : U
Since the right vertical homomorphism of monoids is surjective and F is a cofibration by assumption, there therefore exists a (dotted) lifting homomorphism L which makes the whole diagram commutative. Thus, O b ( F ) is a retract of the inclusion i in the category of monoids. We will construct a strict symmetric monoidal functor I : C E whose object function is the inclusion i and show that F is a retract of I. We begin by constructing the category E:
The object set of E is O b ( C ) F ( O b ( D ) ) . The morphism monoid of E is defined by the following pullback square in the category of monoids:
Axioms 12 00087 i003
We will denote the projection map p 2 in the above Cartesian square by ( s E , t E ) . This pair will be source and target maps for the proposed category E. The projection map p 1 in the above Cartesian diagram restricts to a map between the set of composable arrows in E and D:
p 1 c : M o r ( E ) × s E = t E M o r ( E ) M o r ( D ) × s D = t D M o r ( D ) .
Now, we observe the composite ( D ) p 1 c factors through M o r ( E ) as follows:
Axioms 12 00087 i004
The map E in the above commutative diagram provides the composition of category E. Finally, we define the symmetry natural transformation of E as follows:
γ z 1 , z 2 E : = γ p ( z 1 ) , p ( z 2 ) D
for each pair of objects z 1 , z 2 O b ( E ) . This defines a permutative category ( E , E , γ E ) , where the tensor product is uniquely determined by the monoid structures on O b ( E ) and M o r ( E ) .
The commutative diagrams (1) and (2) and the definition of the symmetry natural transformation (3) together imply that there is a strict symmetric monoidal functor P : E D whose object homomorphism is p and morphism homomorphism is p 1 . Further, P is surjective on objects and also fully faithful. This implies that P is an acyclic fibration in the natural model category Perm .
Now, we construct the free cofibration I : C E mentioned above. The object homomorphism of I is the inclusion i : O b ( C ) O b ( C ) F ( O b ( D ) ) . The morphism homomorphism of I is defined as follows:
M o r ( I ) : = M o r ( F ) .
In other words, I ( f ) = F ( f ) for each morphism f M o r ( C ) . Now, we have the following (outer) commutative diagram in Perm :
Axioms 12 00087 i005
Since F is a cofibration and P is an acyclic fibration in the natural model category Perm , there exists a (dotted) lifting arrow L which makes the entire diagram commutative. This implies that F is a retract of the free cofibration I in the natural model category Perm . □

3. Left Properness of the Natural Model Category Perm

In this section we show that the natural model category of permutative categories Perm is left proper. We recall that a model category is left proper if the cobase change of a weak-equivalence along a cofibration is again a weak-equivalence. We will first show that the cobase change of a weak-equivalence along a free cofibration is a weak-equivalence. Using this intermediate result, we will prove the left properness of Perm .
Let G : A B be an acyclic fibration in Perm and i A : A C be a free cofibration. Therefore, the object monoid of C can be written as a coproduct O b ( A ) V , where V is a free monoid. We observe that the following commutative square is co-Cartesian:
Axioms 12 00087 i006
We will construct the following pushout square in Perm :
Axioms 12 00087 i007
A strict symmetric monoidal functor G : A B is an acyclic fibration in Perm if and only if there exists a unital symmetric monoidal section ([13], Cor. 3.5(3)) S : B A such that G S = i d D and a monoidal natural isomorphism ϵ S : S G i d . Let us fix such a section S : B A and natural isomorphism ϵ S .
Remark 3.
The above characterization of acyclic fibrations implies that S : B A is a left-adjoint-right-inverse of G : A B . This means that ϵ S : S G i d A is a counit of an adjoint equivalence whose unit η : G S = i d B is the identity natural transformation. This further implies that G ϵ S · η G = i d G . In other words, for each a A , we have the following equality:
G ( ϵ S ( a ) ) η ( G ( a ) ) = i d G ( a ) .
Since it follows from ([13], Cor. 3.5(3)) that the unit natural transformation η is the identity, G ϵ S = G .
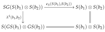
Remark 4.
Let b 1 , b 2 be a pair of objects in B. Since ϵ S is a monoidal natural transformation, we have the following commutative diagram:
Axioms 12 00087 i008
Thus, we have shown that
λ S = ϵ S S .
This further implies that
G λ S = G ϵ S S = G S = i d B .
The unital symmetric monoidal functor S gives us the following unital symmetric monoidal functor:
S F ( C ; V ) : B F ( C ; V ) A F ( C ; V ) ,
where F ( C ; V ) is the full permutative subcategory of C whose object set is the (free) monoid V, and the notation S F ( C ; V ) is an abbreviation for the coproduct of functors S i d F ( C ; V ) . We observe that S F ( C ; V ) is a section of the strict symmetric monoidal functor G F ( C ; V ) i.e., ( G F ( C ; V ) ) ( S F ( C ; V ) ) = i d . Moreover, we obtain a monoidal natural isomorphism
ϵ S F ( C ; V ) : ( S F ( C ; V ) ) ( G F ( C ; V ) ) i d
Hence, the functor G F ( C ; V ) is an acyclic fibration in the natural model category Perm by ([13], Cor. 3.5(3)).
We observe the free cofibration i A factors as follows:
Axioms 12 00087 i009
where ι A : A A F ( C ; V ) is the inclusion into the coproduct, and i A , V : A F ( C ; V ) C is the unique map induced by the inclusions i A : A C and i V : F ( C , V ) C
Remark 5.
The following commutative square is a co-Cartesian:
Axioms 12 00087 i010
We observe that the object monoid of C is the same as the object monoid of A F ( C ; V ) , namely the coproduct ( O b ( A ) ) V . This implies that for each c O b ( C ) there is the following isomorphism in C:
( i A , V ( ϵ S F ( C ; V ) ) ) ( c ) : ( S F ( C ; V ) ) ( G F ( C ; V ) ) ( c ) c ,
Now, it follows from ([13], Prop. 2.7) that there exists a (uniquely defined) functor S C : C C and a natural isomorphism δ C : i d C S C . The functor S C is defined on objects as follows:
S C ( c ) : = ( S F ( C ; V ) ) ( G F ( C ; V ) ) ( c ) .
The following lemma now tells us that S C is a unital symmetric monoidal functor, and δ C is a monoidal natural isomorphism:
Lemma 1.
Given a unital oplax symmetric monoidal functor ( F , λ F ) between two symmetric monoidal categories C and D, a functor G : C D and a unital natural isomorphism α : F G , there is a unique natural isomorphism λ G which enhances G to a unital oplax symmetric monoidal functor ( G , λ G ) such that α is a monoidal natural isomorphism. If ( F , λ F ) is unital symmetric monoidal, then so is ( G , λ G ) .
Proof. 
We consider the following diagram:
Axioms 12 00087 i011
This diagram helps us define a composite natural isomorphism λ G : G ( C ) ( D ) G × G as follows:
λ G : = ( i d D α × α ) · λ F · ( α 1 i d C ) .
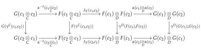
This composite natural isomorphism is the unique natural isomorphism which makes α a unital monoidal natural isomorphism. Now, we have to check that λ G is a unital monoidal natural isomorphism with respect to the above definition. Clearly, λ G is unital because both α and λ F are unital natural isomorphisms. We first check the symmetry condition ([13], Defn. 2.4 OL. 2). This condition is satisfied because the following composite diagram commutes
Axioms 12 00087 i012
The condition ([13], Defn. 2.4 OL. 3) follows from the following equalities
α D ( G ( c 1 ) , G ( c 2 ) , G ( c 3 ) ) λ G ( c 1 , c 2 ) D i d G ( c 3 ) λ G ( c 1 C c 2 , c 3 ) = ( α ( c 1 ) D α ( c 2 ) ) D α ( c 3 ) α D ( F ( c 1 ) , F ( c 2 ) , F ( c 3 ) ) λ F ( c 1 , c 2 ) D i d F ( c 3 ) λ F ( c 1 C c 2 , c 3 ) α 1 ( ( c 1 C c 2 ) C c 3 ) = ( α ( c 1 ) D α ( c 2 ) ) D α ( c 3 ) i d F ( c 1 ) D λ F ( c 1 , c 2 ) λ F ( c 1 , c 2 C c 3 ) F ( α C ( c 1 , c 2 , c 3 ) ) α 1 ( ( c 1 C c 2 ) C c 3 ) = i d G ( c 1 ) D λ G ( c 1 , c 2 ) λ G ( c 1 , c 2 C c 3 ) G ( α C ( c 1 , c 2 , c 3 ) ) .
If F = ( F , λ F ) is a symmetric monoidal functor, then so is G = ( G , λ G ) because (6) is a natural isomorphism. □
The section S F ( C ; V ) provides us with a unital symmetric monoidal functor i A , V ( S F ( C ; V ) ) : B F ( C ; V ) C which we denote by S F . The unital symmetric monoidal functor S F has the following Gabriel factorization:
Axioms 12 00087 i013
By Lemma A1, ( G ( S F ) , , γ ) is a permutative category structure. In addition, by the same lemma, Γ is a strict symmetric monoidal functor.
Remark 6.
The following diagram of unital symmetric monoidal functors is commutative:
Axioms 12 00087 i014
The above commutative diagram implies that for each object z G ( S F ) , λ S F ( z ) = λ S C ( z ) .
We claim that there exists a strict symmetric monoidal functor P : C G ( S F ) such that the following diagram, in Perm , is co-Cartesian:
Axioms 12 00087 i015
where Γ = Γ S F ι B . The object function of the functor P is the monoid homomorphism
O b ( G ) V : O b ( A ) V O b ( B ) V .
For any pair of objects c 1 , c 2 O b ( C ) , we observe the following equality:
G ( S F ) ( P ( c 1 ) , P ( c 2 ) ) = C ( S C ( c 1 ) , S C ( c 2 ) ) .
Now, we define the morphism function of P as follows:
P ( f ) : = S C ( f ) ,
where f is a morphism in C. The functoriality of P follows from that of S C .
The object function of P is a monoid homomorphism; therefore, P ( c 1 C c 2 ) = P ( c 1 ) P ( c 2 ) for each pair of objects c 1 , c 2 O b ( C ) . The following commutative diagram shows that P ( f 1 C f 2 ) = P ( f 1 ) P ( f 2 ) for each pair of maps ( f 1 , f 2 ) C ( c 1 , c 2 ) × C ( c 3 , c 4 ) :
Axioms 12 00087 i016
Thus, we have defined a strict symmetric monoidal functor P which is fully faithful. Further, each object of G ( S F ) is isomorphic to one in the image of P. Thus, P is an equivalence of categories.
Proposition 2.
The commutative square (7) is co-Cartesian.
Proof. 
In order to show that (7) is co-Cartesian, it is sufficient to show that the following commutative square is co-Cartesian in light of factorization (4) and Remark 5:
Axioms 12 00087 i017
We will show that whenever we have the following (outer) commutative diagram, there exists a unique dotted arrow L which makes the whole diagram commutative in Perm :
Axioms 12 00087 i018
Since O b ( Γ S F ) is the identity, the object homomorphism O b ( L ) has to be the same as O b ( T ) . In order to make the diagram commutative, we define O b ( L ) = O b ( T ) . The morphism function of L is defined as follows:
L z 1 , z 2 : = R S F ( z 1 ) , S F ( z 2 ) : G ( S F ) ( z 1 , z 2 ) = C ( S F ( z 1 ) , S F ( z 2 ) ) X ( L ( z 1 ) , L ( z 2 ) )
for each pair of objects z 1 , z 2 O b ( G ( S F ) ) . This defines a functor L which makes the diagram above commutative (in Cat ). In order to verify that L is a strict symmetric monoidal functor, it is sufficient to show that for each pair of maps f 1 : z 1 z 2 , f 2 : z 3 z 4 in G ( S F ) ,
L ( f 1 f 2 ) = L ( f 1 ) X L ( f 2 ) = R ( f 1 ) X R ( f 2 ) .
We recall that the map f 1 f 2 is defined by the following commutative diagram:
Axioms 12 00087 i019
Since R is a strict symmetric monoidal functor, R ( f 1 C f 2 ) = R ( f 1 ) X R ( f 2 ) . Now, it sufficient to show that R λ S F = i d in order to establish the equalities in (8). We observe that λ S F = i A , V ( λ S F ( C ; V ) ) . Since G F ( C , V ) is an acyclic fibration, it follows from Remark 4 that G F ( C , V ) λ S F ( C ; V ) = i d . Since T G F ( C , V ) = R i A , V , it follows that R ( λ S F ) = i d . The uniqueness of the object functor of L is obvious. The uniqueness of the morphism homomorphism of L can be easily checked. □
The main objective of this section is to show that the natural model category Perm is left proper. The next lemma serves as a first step in proving the main result. The lemma follows from the above discussion:
Lemma 2.
In the natural model category Perm , a pushout of a weak-equivalence along a free cofibration is a weak-equivalence.
Proof. 
In light of the facts that each weak equivalence in a model category can be factored as an acyclic cofibration followed by an acyclic fibration and acyclic cofibrations are closed under cobase change, it is sufficient to see that the cobase change of an acyclic fibration is a weak-equivalence. This follows from the discussion above. □
Now, we state and prove the main result of this paper:
Theorem 1.
The natural model category of permutative categories Perm is a left proper model category.
Proof. 
We will show that a pushout P ( F ; q ) of a weak equivalence F : A D in Perm along a cofibration q : A B in Perm is a weak-equivalence. We consider the following commutative diagram:
Axioms 12 00087 i020
Since F is a cofibration, by Proposition 1 there exists a free cofibration r : A C such that F is a retract of r by a map that fixes A. The top left commutative square in the above diagram is co-Cartesian. The map P ( F ; l ) is a pushout of F along the free cofibration r and therefore a weak-equivalence by Lemma 2. Now, the result follows from the observation that the diagonal composite P P s P in the above diagram is the identity map and the commutativity of the above diagram. □

4. Conclusions

In this paper, we identify a class of cofibrations between permutative categories which we call free cofibrations and show that every cofibration of permutative categories is a retract of a free cofibration. We go on to show that the natural model category of permutative categories is a left proper model category.

Funding

This paper received no external funding.

Data Availability Statement

Not applicable.

Acknowledgments

The author is thankful to Andre Joyal for proposing the idea of a free-cofibration and also for many insightful discussions regarding this paper.

Conflicts of Interest

The authors declare no conflict of interest.

Abbreviations

The following abbreviations are used in this manuscript:
Cat The category of (small) categories and functors
Perm The category of (small) permutative (or strict symmetric monoidal) categories and
strict symmetric monoidal functors.
Mon The category of monoids and monoid homomorphisms.
Set The category of sets and functions
SMCat The category of symmetric monoidal categories and symmetric monoidal functors.

Appendix A. Gabriel Factorization of Symmetric Monoidal Functors

In this appendix, we construct a Gabriel Factorization of a unital symmetric monoidal functor between permutative categories. Our construction factors a unital symmetric monoidal functor into an essentially surjective strict symmetric monoidal functor followed by a fully faithful unital symmetric monoidal functor.
Lemma A1.
Each unital symmetric monoidal functor F : C D between permutative categories can be factored as follows:
Axioms 12 00087 i021
where Γ F is a strict symmetric monoidal functor which is identity on objects, and Δ is fully faithful.
Proof. 
We begin by defining the permutative category G ( F ) . The object monoid of G ( F ) is the same as O b ( C ) . For a pair of objects c 1 , c 2 O b ( C ) , we define
G ( F ) ( c 1 , c 2 ) : = C ( F ( c 1 ) , F ( c 2 ) ) .
The Gabriel factorization of the underlying functor of F gives us the following factorization in Cat :
Axioms 12 00087 i022
We will show that the functor Γ F is strict symmetric monoidal, and Δ F is unital symmetric monoidal. We define a symmetric monoidal structure on G ( F ) which we denote by ( G ( F ) , , γ ) . For any pair of objects c 1 , c 2 O b ( G ( F ) ) , we define c 1 c 2 : = c 1 C c 2 . For a pair of maps f 1 : c 1 c 3 and f 2 : c 2 c 4 , we define f 1 f 2 to be the following arrow:
Axioms 12 00087 i023
It is easy to establish that is a bifunctor. Let f 3 : c 3 c 5 and f 4 : c 4 c 6 be another pair of arrows in G ( F ) . Now, we consider the following commutative diagram:
Axioms 12 00087 i024
The above diagram tells us that:
( f 3 f 4 ) ( f 1 f 2 ) = ( f 3 f 1 ) ( f 4 f 2 )
because the composite map in the bottom row of the above diagram, namely ( f 3 D f 4 ) ( f 1 D f 2 ) is the same as ( f 3 f 1 ) D ( f 4 f 2 ) . The tensor product on G ( F ) is strictly associative because the object set of G ( F ) is a monoid, and the tensor product of morphisms is associative because the tensor product of morphisms in G ( F ) is inherited from that in D which is strictly associative. The symmetry natural transformation γ is defined on objects as follows:
γ c 1 , c 2 : = F ( γ c 1 , c 2 C ) .
Let f 1 : c 1 c 3 and f 2 : c 2 c 4 be a pair of maps in G ( F ) . The following commutative diagram shows us that γ is a natural isomorphism:
Axioms 12 00087 i025
which shows that γ is a natural transformation. The following equalities verify the symmetry condition:
γ c 1 , c 2 γ c 2 , c 1 = F ( γ c 1 , c 2 C ) F ( γ c 2 , c 1 C ) = F ( γ c 1 , c 2 C γ c 2 , c 1 C ) = i d .
This defines a permutative category structure on the category G ( F ) . Using the definition of the symmetric monoidal structure on G ( F ) , one can easily check that Γ F is a strict symmetric monoidal functor. □

References

  1. May, J.P. The spectra associated to permutative categories. Topology 1978, 17, 225–228. [Google Scholar] [CrossRef]
  2. Elmendorf, A.; Mandell, M.A. Rings, modules, and algebras in infinite loop space theory. Adv. Math. 2006, 205, 163–228. [Google Scholar] [CrossRef]
  3. Elmendorf, A.D.; Mandell, M.A. Permutative categories, multicategories and algebraic K-theory. Alg. Geom. Top. 2006, 9, 163–228. [Google Scholar]
  4. Mandell, M.A. An inverse K-theory functor. Doc. Math. 2010, 15, 765–791. [Google Scholar] [CrossRef] [PubMed]
  5. Berger, C.; Moerdijk, I. Resolution of coloured operads and rectification of homotopy algebras. Contemp. Math. 2007, 431, 31–58. [Google Scholar]
  6. Lack, S. Homotopy-theoretic aspects of 2-monads. J. Homotopy Relat. Struct. 2007, 2, 229–260. [Google Scholar]
  7. Barwick, C. On (enriched) left bousfield localization of model categories. arXiv 2007, arXiv:0708.2067. [Google Scholar]
  8. Sharma, A. Compact closed categories and Γ-categories. Th. Appl. Categ. 2021, 37, 1222–1261. [Google Scholar]
  9. Sharma, A. Picard groupoids and Γ-categories. arXiv 2020, arXiv:2002.05811. [Google Scholar]
  10. Hirchhorn, P.S. Model Categories and Their Localizations; Mathematical Surveys and Monographs; American Mathematical Society: Providence, RI, USA, 2002; Volume 99. [Google Scholar]
  11. Quillen, D.G. Homotopical Algebra; Lecture Notes in Mathematics; Springer: Berlin, Germany, 1967. [Google Scholar]
  12. Hovey, M. Model Categories; Mathematical Surveys and Monographs; American Mathematical Society: Providence, RI, USA, 1999; Volume 63. [Google Scholar]
  13. Sharma, A. Symmetric monoidal categories and Γ-categories. Th. Appl. Categ. 2020, 35, 417–512. [Google Scholar]
Disclaimer/Publisher’s Note: The statements, opinions and data contained in all publications are solely those of the individual author(s) and contributor(s) and not of MDPI and/or the editor(s). MDPI and/or the editor(s) disclaim responsibility for any injury to people or property resulting from any ideas, methods, instructions or products referred to in the content.

Share and Cite

MDPI and ACS Style

Sharma, A. On the Left Properness of the Model Category of Permutative Categories. Axioms 2023, 12, 87. https://doi.org/10.3390/axioms12010087

AMA Style

Sharma A. On the Left Properness of the Model Category of Permutative Categories. Axioms. 2023; 12(1):87. https://doi.org/10.3390/axioms12010087

Chicago/Turabian Style

Sharma, Amit. 2023. "On the Left Properness of the Model Category of Permutative Categories" Axioms 12, no. 1: 87. https://doi.org/10.3390/axioms12010087

APA Style

Sharma, A. (2023). On the Left Properness of the Model Category of Permutative Categories. Axioms, 12(1), 87. https://doi.org/10.3390/axioms12010087

Note that from the first issue of 2016, this journal uses article numbers instead of page numbers. See further details here.

Article Metrics

Back to TopTop