A Fractional COVID-19 Model with Efficacy of Vaccination
Abstract
:1. Introduction
2. Mathematical Model
3. Model Analysis
3.1. Equilibria Points
3.2. Basic Reproduction Number
4. Stability of the System
5. A Fractional Approach
6. Numerical Simulation
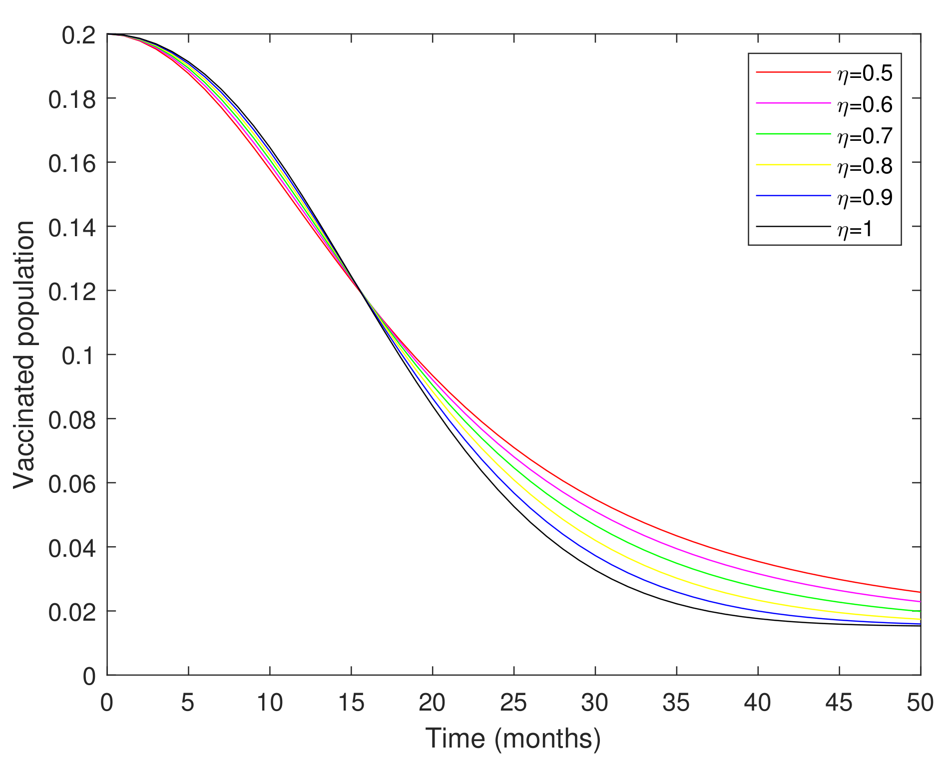
7. Graphical Discussion
8. Conclusions
Author Contributions
Funding
Institutional Review Board Statement
Informed Consent Statement
Data Availability Statement
Conflicts of Interest
References
- Huang, C. Clinical features of patients infected with 2019 novel coronavirus in Wuhan, China. Lancet 2020, 395, 497–506. [Google Scholar] [CrossRef]
- Li, Q. Early transmission dynamics in Wuhan, China of novel coronavirus-infected pneumonia. N. Engl. J. Med. 2020, 382, 1199–1207. [Google Scholar] [CrossRef] [PubMed]
- Laxminarayan, R.; Jameel, S. India’s Battle against COVID-19: Progress and Challenges. Am. Soc. Trop. Med. Hyg. 2020, 103, 1343–1347. [Google Scholar] [CrossRef] [PubMed]
- Vaccine Supply; Ministry of External Affairs, Government of India: New Delhi, India, 2021. Available online: https://www.mea.gov.in/vaccine-supply.htm (accessed on 28 May 2022).
- Sharma, J.; Varshney, S.K. India’s vaccine diplomacy aids global access to COVID-19 jabs. Nat. India 2021. Available online: https://www.nature.com/articles/nindia.2021.31 (accessed on 28 May 2022).
- Bhargava, R.; Jain, G. COVID-19 Vaccination drive: Impact on the acceptance of vaccine among the general population of India. J. Manag. Res. Anal. 2021, 8, 2, 61–69. [Google Scholar] [CrossRef]
- Das, B.; Padhye, A. Public Perception and Potential Acceptance of COVID-19 Vaccine in India. Public Health Rev.-Int. J. Public Health Res. 2021, 8, 2. [Google Scholar] [CrossRef]
- Baleanu, D.; Ghassabzade, F.A.; Nieto, J.J.; Jajarmi, A. On a new and generalized fractional model for a real cholera outbreak. Alex. Eng. J. 2022, 61, 9175–9186. [Google Scholar] [CrossRef]
- Ndairou, F.; Area, I.; Nieto, J.J.; Silva, C.J.; Torres, D.F.M. Fractional model of COVID-19 applied to Galicia, Spain and Portugal. Chaos Solitons Fractals 2021, 144, 110652. [Google Scholar] [CrossRef]
- Bushnaq, S.; Khan, S.A. Mathematical analysis of HIV/AIDS infection model with Caputo-Fabrizio fractional derivative. Cogent Math. Stat. 2018, 5, 1. [Google Scholar] [CrossRef]
- Saha, S.; Samanta, G.; Nieto, J.J. Impact of optimal vaccination and social distancing on COVID-19 pandemic. Math. Comput. Simul. 2022, 200, 285–314. [Google Scholar] [CrossRef]
- Couras, J.; Area, I.; Nieto, J.J.; Silva, C.J.; Torres, D.F.M. Optimal Control of Vaccination and Plasma Transfusion with Potential Usefulness for Covid-19. In Infosys Science Foundation Series in Mathematical Sciences; Springer: Singapore, 2021; pp. 509–525. [Google Scholar]
- Rosa, S.; Torres, D.F.M. Fractional Modelling and Optimal Control of COVID-19. Transm. Port. Axioms 2022, 11, 170. [Google Scholar] [CrossRef]
- Pandey, P.; Chu, Y. A novel fractional mathematical model of COVID-19 epidemic considering quarantine and latent time. Results Phys. 2021, 26, e104286. [Google Scholar] [CrossRef]
- Punj, V. COVID Vaccination Coverage Reaches 40.44 Cr in India; 46 Lakhs Doses Given Today; Mint: Mountain View, CA, USA, 2021. [Google Scholar]
- Xu, C.; Yu, Y.; Chen, Y.; Lu, Z. Forecast analysis of the epidemics trend of COVID-19 in the USA by a generalized fractional-order SEIR model. Nonlin. Dyn. 2020, 101, 1621–1634. [Google Scholar] [CrossRef]
- Samko, S.G.; Kilbas, A.A. Fractional Integrals and Derivatives: Theory and Applications; CRC Press: Boca Raton, FL, USA, 1993. [Google Scholar]
- Caputo, M.; Fabrizio, M. On the Singular Kernels for Fractional Derivative, Some applications to Partial Differential Equations. Prog. Fract. Differ. Appl. 2021, 7, 79–82. [Google Scholar]
- Caputo, M.; Fabrizio, M. A new definition of fractional derivative without singular kernel. Prog. Fract. Differ. Appl. 2015, 1, 73–85. [Google Scholar]
- Losada, J.; Nieto, J.J. Properties of a new fractional derivative without singular kernel. Prog. Fract. Differ. Appl. 2015, 1, 87–92. [Google Scholar]
- Losada, J.; Nieto, J.J. Fractional Integral Associated to Fractional Derivatives with Nonsingular Kernels. Prog. Fract. Differ. Appl. 2021, 7, 137–143. [Google Scholar]
- Driessche, P.V.; Watmough, J. Reproduction numbers and subthreshold endemic equilibria for compartmental models of disease transmission. Math Biosci. 2002, 180, 29–48. [Google Scholar] [CrossRef]
- Suheil, A.; Khuri, A. Laplace decomposition algorithm applied to a class of nonlinear differential equations. J. Appl. Math. 2001, 1, 141–155. [Google Scholar]
- Kiymaz, O. An algorithm for solving initial value problems using Laplace Adomian decomposition method. Appl. Math. Sci. 2009, 3, 30, 1453–1459. [Google Scholar]
- Yadav, R.P.; Verma, R. A numerical simulation of fractional order mathematical modeling of COVID-19 disease in case of Wuhan China. Chaos Solitons Fract. 2020, 140, 110124. [Google Scholar] [CrossRef]
- Mandal, M.; Jana, S. A model based study on the dynamics of COVID-19: Prediction and Control. Chaos Solitons Fractals 2020, 136, 109889. [Google Scholar] [CrossRef] [PubMed]
- Vekumar, L.M.; Pandi-Perumal, S.R. Strategy for COVID-19 vaccination in India: The country with the second highest population and number of cases. NPJ Vaccines 2021, 6, 60. [Google Scholar]
- Malhotra, V.; Basu, S. Outcomes among 10,314 hospitalized COVID-19 patients at a tertiary care government hospital in Delhi, India. J. Med. Virol. 2021, 93, 4553–4558. [Google Scholar] [CrossRef] [PubMed]
- Chances of Hospitalization Only 0.6 Percentage after COVID Vaccination, India Today. 2021. Available online: https://www.indiatoday.in/coronavirus-outbreak/story/chances-of-hospitalisation-covid-vaccination-study-1803108-2021-05-16 (accessed on 29 May 2022).
- Jacob Koshy, Coronavirus|One in Five Indians Have Been Exposed To Coronavirus, ICMR Survey Finds, The Hindu. 2021. Available online: https://www.thehindu.com/news/national/coronavirus-one-in-five-indians-have-been-exposed-to-coronavirus-icmr-survey-finds/article61755028.ece (accessed on 29 May 2022).
- Chatterjee, K.; Chatterjee, K. Healthcare impact of COVID-19 epidemic in India: A Stochastic Mathematical model. Med. J. Armed Forces India 2020, 76, 147–155. [Google Scholar] [CrossRef] [PubMed]
- Kaul, R. COVID-19:7.3 Percentage of Active Cases in ICU’s Are on Ventilators, Says Centre. Hindusthan Times. 2021. Available online: https://www.hindustantimes.com/india-news/73-of-active-cases-in-icus-or-on-ventilators-says-ministry-101617995175222.html (accessed on 29 May 2022).
- COVID-19 in India: ’Recovery down to 91.22 Percentage Fatality Rate at 1.28 Percentage Says Health Minister Harsh Vardhan, Times Now Digital. 2021. Available online: https://www.timesnownews.com/india/article/covid-19-in-india-recovery-down-to-91-22-percent-fatality-rate-at-1-28-percent-health-minister-harsh-vardhan/742980 (accessed on 29 May 2022).
- Nidhi Sharma. India’s Fatality Rate Rises to 1.2 Percentage from 1 Percentage in over 3 Weeks. The Economic Times. 2021. Available online: https://economictimes.indiatimes.com/news/india/fatality-rate-rises-to-1-2-from-1-in-over-3-weeks/articleshow/83125217.cms (accessed on 29 May 2022).






Publisher’s Note: MDPI stays neutral with regard to jurisdictional claims in published maps and institutional affiliations. |
© 2022 by the authors. Licensee MDPI, Basel, Switzerland. This article is an open access article distributed under the terms and conditions of the Creative Commons Attribution (CC BY) license (https://creativecommons.org/licenses/by/4.0/).
Share and Cite
Nandhini, M.; Lavanya, R.; Nieto, J.J. A Fractional COVID-19 Model with Efficacy of Vaccination. Axioms 2022, 11, 446. https://doi.org/10.3390/axioms11090446
Nandhini M, Lavanya R, Nieto JJ. A Fractional COVID-19 Model with Efficacy of Vaccination. Axioms. 2022; 11(9):446. https://doi.org/10.3390/axioms11090446
Chicago/Turabian StyleNandhini, M., R. Lavanya, and Juan J. Nieto. 2022. "A Fractional COVID-19 Model with Efficacy of Vaccination" Axioms 11, no. 9: 446. https://doi.org/10.3390/axioms11090446
APA StyleNandhini, M., Lavanya, R., & Nieto, J. J. (2022). A Fractional COVID-19 Model with Efficacy of Vaccination. Axioms, 11(9), 446. https://doi.org/10.3390/axioms11090446

