Approximating a Common Solution of Monotone Inclusion Problems and Fixed Point of Quasi-Pseudocontractive Mappings in CAT(0) Spaces
Abstract
1. Introduction
2. Preliminaries
- (i)
- ;
- (ii)
- or
- 1.
- A contraction, if there exists , such thatwhen , then T is said to be nonexpansive;
- 2.
- Firmly nonexpansive if
- 3.
- Quasi-nonexpansive, if and
- 4.
- k-strictly pseudocontractive, if there exists such that
- 5.
- k-demicontractive [30], if and there exists such that
- 6.
- Quasi-pseudocontractive if and
- (i)
- For and where is the range of ,
- (ii)
- If A is monotone then is a single valued and firmly nonexpansive mapping,
- (iii)
- If A is monotone and then
3. Main Results
- T is demiclosed at if and only if is demiclosed at 0;
- In addition, if T is quasi-pseudocontractive, then is quasi-nonexpansive.
- (C1)
- and
- (C2)
- ,
- (C3)
- (i)
- (ii)
- (iii)
- (iv)
- (i)
- and
- (ii)
- and
- (iii)
- (i)
- and
- (ii)
- and
- (iii)
4. Applications
4.1. Application to Minimization Problem
- (A1)
- and
- (A2)
- and
- (A3)
- where
4.2. Application to Variational Inequality Problem
- (A1)
- and
- (A2)
- and
- (A3)
- where
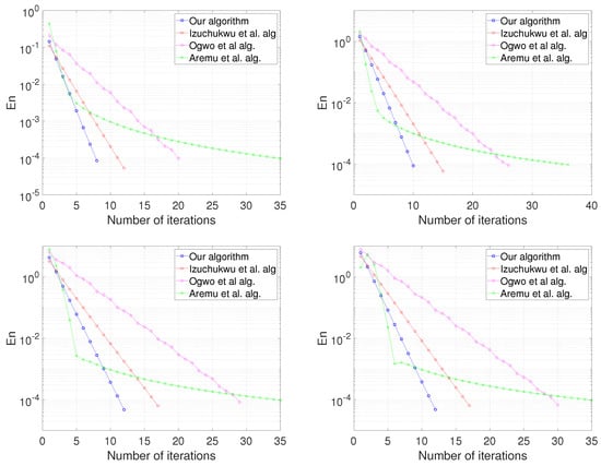
5. Numerical Examples
6. Conclusions
Author Contributions
Funding
Data Availability Statement
Conflicts of Interest
References
- Combettes, P.L. Monotone operator theory in convex optimization. Math. Program. Ser. B 2008, 170, 117–206. [Google Scholar] [CrossRef]
- Martinet, B. Regularization d’inequality varaiationnelles par approximations successive. Rev. Fr. Inform. Rec. Oper. 1970, 4, 154–158. [Google Scholar]
- Rockefeller, R.T. Monotone Operators and the proximal point algorithm. SIAM J. Control Optim. 1976, 14, 877–898. [Google Scholar] [CrossRef]
- Aremu, K.O.; Izuchukwu, C.; Ugwunnadi, G.C.; Mewomo, O.T. On the proximal point algorithm and demimetric mappings in CAT(0) spaces. Demonstr. Math. 2018, 51, 277–294. [Google Scholar] [CrossRef]
- Abass, H.; Okeke, C.C.; Mewomo, O.T. On split equality mixed equilibrium and fixed point problems of countable families of generalized k-strictly pseudocontractive mappings. Dym. Contin. Dscrete. Impul. Syst. Ser. B Appl. Algorithms 2018, 25, 369–395. [Google Scholar]
- Bačák, M. The proximal point algorithm in metric spaces. Isr. J. Math. 2013, 194, 689–701. [Google Scholar]
- Feragen, A.; Haudberg, S.; Nielsen, M.; Lauze, F. Means in spaces of tree-like shapes. In Proceedings of the IEEE International Conference on Computer Vision (ICCV), Barcelona, Spain, 6–13 November 2011; IEEE: Piscatway, NJ, USA, 2011; pp. 736–746. [Google Scholar]
- Bačák, M. Computing medians and means in Hadamard spaces. SIAM J. Optim. 2014, 24, 1542–1566. [Google Scholar]
- Izuchukwu, C.; Aremu, K.O.; Oyewole, O.K.; Mewomo, O.T.; Khan, S.H. Mixed equilibrium problems in Hadamard spaces. J. Math. 2019, 2019, 3210649. [Google Scholar] [CrossRef]
- Khatibzadeh, H.; Ranjbar, S. Monotone operators and the proximal point algorithm in CAT(0) spaces. J. Aust. Math. Soc. 2017, 103, 70–90. [Google Scholar] [CrossRef]
- Moudafi, A. Viscosity approximation methods for fixed-points problems. J. Math. Anal. Appl. 2000, 241, 46–55. [Google Scholar] [CrossRef]
- Aremu, K.O.; Jolaoso, L.O.; Aphane, M.; Oyewole, O. A parallel viscosity extragradient method for solving a system of pseudomonotone equilibrium problems and fixed point problems in Hadamard spaces. Ricerche Mat. 2021. [Google Scholar] [CrossRef]
- Jolaoso, L.O.; Aphane, M. An Efficient Parallel Extragradient Method for Systems of Variational Inequalities Involving Fixed Points of Demicontractive Mappings. Symmetry 2020, 12, 1915. [Google Scholar] [CrossRef]
- Jolaoso, L.O.; Aphane, M. Strong convergence inertial projection and contraction method with self adaptive stepsize for pseudomonotone variational inequalities and fixed point problems. J. Inequal. Appl. 2020, 2020, 261. [Google Scholar] [CrossRef]
- Aremu, K.O.; Abass, H.A.; Izuchukwu, C.; Mewomo, O.T. A viscosity-type algorithm for an infinitely countable family of (f,g)-generalized k-strictly pseudononspreading mappings in CAT(0) spaces. Analysis 2020, 40, 19–37. [Google Scholar] [CrossRef]
- Aremu, K.O.; Izuchukwu, C.; Abass, H.A.; Mewomo, O.T. On a viscosity iterative method for solving variational inequality problems in Hadamard spaces. Axioms 2020, 9, 143. [Google Scholar] [CrossRef]
- Ogwo, G.N.; Izuchukwu, C.; Aremu, K.O.; Mewomo, O.T. A viscosity iterative algorithm for a family of monotone inclusion problems in an Hadamard space. Bull. Belg. Math. Soc. Simon Stevin 2020, 27, 127–152. [Google Scholar] [CrossRef]
- Izuchukwu, C.; Mebawondu, A.A.; Aremu, K.O.; Abass, H.A.; Mewomo, O.T. Viscosity iterative techniques for approximating a common zero of monotone operators in an Hadamard space. Rendi. del Circ. Matem. di Palermo Ser. 2 2020, 69, 475–495. [Google Scholar] [CrossRef]
- Bruhat, F.; Tits, J. Groupes réductifs sur un corps local.I.Donéees radicielles valuées. Inst. Hautes E´tudes Sci. Publ. Math. 1972, 41, 5–251. [Google Scholar] [CrossRef]
- Bridson, M.; Haefliger, A. Metric Spaces of Nonspositive Cultvature; Springer: Berlin, Germany, 1999. [Google Scholar]
- Brown, K.S. Buildings; Springer: New York, NY, USA, 1989. [Google Scholar]
- Goebel, K.; Reich, S. Uniform convexity, Hyperbolic Geommetry, and Nonexpansive Mappings; Series of monotographs and Textbooks in pure and Applied Mathematics; Dekker: New York, NY, USA, 1984; Volume 83. [Google Scholar]
- Berg, I.D. Nikolaev, Quasilinearisatio and culvature of Alexandov spaces. Geom. Dedic. 2008, 133, 195–218. [Google Scholar] [CrossRef]
- Dehghan, H.; Rooin, J. Metric projection and convergence theorems for nonexapansive mappings in Hadamard spaces. arXiv 2014, arXiv:1410-1137. [Google Scholar]
- Dhompongsa, S.; Panyanaka, B. On Δ-convegence theorem in CAT(0) spaces. Comput. Math. Appl. 2008, 56, 2572–2579. [Google Scholar] [CrossRef]
- Kakavandi, B.A. Weak topologies in complete CAT(0) metric spaces. Proc. Am. Math. Soc. 2013, 141, 1029–1039. [Google Scholar] [CrossRef]
- Taiwo, A.; Alakoya, T.O.; Mewomo, O.T. Halpern-type iterative process for solving split common fixed point and monotone variational inclusion problem between Banach spaces. Numer. Algorithms 2021, 86, 1359–1389. [Google Scholar] [CrossRef]
- Xu, H.K. Iterative algorithms for nonlinear operators. J. Lond. Math. Soc. 2002, 66, 240–256. [Google Scholar] [CrossRef]
- Taiwo, A.; Jolaoso, L.O.; Mewomo, O.T.; Gibali, A. On generalized mixed equilibrium problem with α-β-μ bifunction and μ-τ monotone mapping. J. Nonlinear Convex Anal. 2020, 21, 1381–1401. [Google Scholar]
- Liu, X.D.; Chang, S. Convergence theorems on total asymptotically demicontractive hemicontractive mappings in CAT(0) spaces. J.Ineq. 2007, 8, 61–79. [Google Scholar] [CrossRef]
- Jost, J. Convex functionals and generalized harmonic maps into spaces of nonpositive curvature. Comment Math. Helv. 1995, 70, 659–673. [Google Scholar] [CrossRef]
- Kakavandi, B.A.; Amini, M. Duality and subdifferential for convex functions on complete CAT(0) metric spaces. Nonlinear Anal. 2010, 73, 3450–3455. [Google Scholar] [CrossRef]
- Fichera, G. Problemi elastostatici con vincoli unilaterali: il problema di Signorini con ambigue condizioni al contorno. Atti. Accad. Naz. Lincei Mem. Sez. 1964, 7, 71–140. [Google Scholar]
- Stampacchia, G. Formes bilineires coercitives sur les ensembles convexes. C.R. Acad. Sci. Paris 1964, 258, 4413–4416. [Google Scholar]
- Khatibzadeh, H.; Ranjbar, S. A variational inequality in complete CAT (0) spaces. J. Fixed Point Theory Appl. 2015, 17, 557–574. [Google Scholar] [CrossRef]


| Algorithm (48) | Izu et al. Alg. [18] | Ogwo et al. Alg [17] | Aremu et al. Alg. [16] | ||
|---|---|---|---|---|---|
| Case I | No of Iter. | 8 | 12 | 20 | 35 |
| CPU time (s) | 0.0034 | 0.0048 | 0.0122 | 0.0169 | |
| Case II | No of Iter. | 10 | 15 | 26 | 36 |
| CPU time (s) | 0.0046 | 0.0066 | 0.00197 | 0.0173 | |
| Case III | No of Iter. | 12 | 17 | 29 | 35 |
| CPU time (s) | 0.0095 | 0.0101 | 0.0150 | 0.0433 | |
| Case IV | No of Iter. | 12 | 17 | 30 | 35 |
| CPU time (s) | 0.0155 | 0.0170 | 0.0248 | 0.0481 |
| Algorithm (48) | Izu et al. Alg. [18] | Ogwo et al. Alg. [17] | Aremu et al. Alg. [16] | ||
|---|---|---|---|---|---|
| Choice (i) | No of Iter. | 7 | 12 | 20 | 15 |
| CPU time (s) | 0.0064 | 0.0096 | 0.0117 | 0.0075 | |
| Choice (ii) | No of Iter. | 9 | 15 | 28 | 15 |
| CPU time (s) | 0.0065 | 0.0099 | 0.0130 | 0.0076 | |
| Choice (iii) | No of Iter. | 8 | 13 | 25 | 15 |
| CPU time (s) | 0.0055 | 0.0077 | 0.0106 | 0.0089 | |
| Choice (iv) | No of Iter. | 10 | 18 | 37 | 15 |
| CPU time (s) | 0.0140 | 0.0356 | 0.0697 | 0.0378 |
Publisher’s Note: MDPI stays neutral with regard to jurisdictional claims in published maps and institutional affiliations. |
© 2022 by the authors. Licensee MDPI, Basel, Switzerland. This article is an open access article distributed under the terms and conditions of the Creative Commons Attribution (CC BY) license (https://creativecommons.org/licenses/by/4.0/).
Share and Cite
Ndlovu, P.V.; Jolaoso, L.O.; Aphane, M.; Khan, S.H. Approximating a Common Solution of Monotone Inclusion Problems and Fixed Point of Quasi-Pseudocontractive Mappings in CAT(0) Spaces. Axioms 2022, 11, 545. https://doi.org/10.3390/axioms11100545
Ndlovu PV, Jolaoso LO, Aphane M, Khan SH. Approximating a Common Solution of Monotone Inclusion Problems and Fixed Point of Quasi-Pseudocontractive Mappings in CAT(0) Spaces. Axioms. 2022; 11(10):545. https://doi.org/10.3390/axioms11100545
Chicago/Turabian StyleNdlovu, Professer Vogani, Lateef Olakunle Jolaoso, Maggie Aphane, and Safeer Hussein Khan. 2022. "Approximating a Common Solution of Monotone Inclusion Problems and Fixed Point of Quasi-Pseudocontractive Mappings in CAT(0) Spaces" Axioms 11, no. 10: 545. https://doi.org/10.3390/axioms11100545
APA StyleNdlovu, P. V., Jolaoso, L. O., Aphane, M., & Khan, S. H. (2022). Approximating a Common Solution of Monotone Inclusion Problems and Fixed Point of Quasi-Pseudocontractive Mappings in CAT(0) Spaces. Axioms, 11(10), 545. https://doi.org/10.3390/axioms11100545

