Next Article in Journal
Three-Way Fuzzy Sets and Their Applications (II)
Previous Article in Journal
Piecewise Fractional Jacobi Polynomial Approximations for Volterra Integro-Differential Equations with Weakly Singular Kernels
 
 
Font Type:
Arial Georgia Verdana
Font Size:
Aa Aa Aa
Line Spacing:
Column Width:
Background:
Article

A Discrete Linear-Exponential Model: Synthesis and Analysis with Inference to Model Extreme Count Data

by
Mahmoud El-Morshedy
1,2
1
Department of Mathematics, College of Science and Humanities in Al-Kharj, Prince Sattam bin Abdulaziz University, Al-Kharj 11942, Saudi Arabia
2
Department of Mathematics, Faculty of Science, Mansoura University, Mansoura 35516, Egypt
Axioms 2022, 11(10), 531; https://doi.org/10.3390/axioms11100531
Submission received: 2 September 2022 / Revised: 22 September 2022 / Accepted: 30 September 2022 / Published: 4 October 2022

Abstract

In this article, a novel probability discrete model is introduced for modeling overdispersed count data. Some relevant statistical and reliability properties including the probability mass function, hazard rate and its reversed function, moments, index of dispersion, mean active life, mean inactive life, and order statistics, are derived in-detail. These statistical properties are expressed in closed forms. The new model can be used to discuss right-skewed data with heavy tails. Moreover, its hazard rate function can be utilized to model the phenomena with a monotonically increasing failure rate shape. Different estimation approaches are listed to get the best estimator for modeling and reading the count data. A comprehensive comparison among techniques is performed in the case of simulated data. Finally, four real data sets are analyzed to prove the ability and notability of the new discrete model.

1. Introduction

Data modeling in recent years has been very complicated due to the huge number of data sets which have been generated from different fields over time, especially, in engineering, medical, ecology, and renewable energy. The principal problem is when the data are suffering from overdispersion with different kinds of kurtosis including leptokurtic- or platykurtic-shaped. Therefore, it is important to model and analyze such data by utilizing a flexible probability distribution. Thus, several continuous probability models have been introduced and discussed in the statistical literature for this purpose. In several cases, the data need to be recorded on a discrete scale rather than on a continuous analogue. Due to the previous reason, the discretization of existing continuous distributions has received a wide attention because of the count data generated from various areas becoming more complex day-by-day. So, for modeling these count data, we need discrete probability models that are best suited for analytical studies of this multidimensional and complex phenomena. Many discrete distributions have been proposed and studied in detail such as the discrete Rayleigh (see Roy [1]), discrete Pareto (see Krishna and Pundir [2]), discrete exponential generalized-G family (see Eliwa et al. [3]), discrete Lindley (see Gommez-Déniz and Calderin-Ojeda [4]), discrete generalized exponentiated type two (see Nekoukhou et al. [5]), discrete exponentiated Weibull (see Nekoukhou and Bidram [6]), discrete Lindley-II (DLi-II) (see Hussain et al. [7]), discrete Burr XII (see Para and Jan [8]), discrete Gompertz-G class (see Eliwa el al. [9]), discrete exponentiated Lindley (see El-morshedy et al. [10]), discrete generalized Burr-Hatke (see Yousof et al. [11]), discrete Rayleigh-G family (see Ibrahim et al. [12]), binomial new Poisson-weighted exponential model (see Al-Bossly and Eliwa [13]), among others. Although there are a number of discrete models in the literature, there is still a lot of space left to propose a new discretized model that is suitable under various conditions.
Recently, Sah [14] introduced a novel one-parameter linear-exponential (NLE) distribution. The NLE distribution was based on the product of a linear function x + ς 2 , and an exponential function exp ς x with a single parameter ς > 0 . The cumulative distribution function (CDF) of the NLE model could be expressed as
G ς x = 1 1 + ς x + ς 3 1 + ς 3 exp ς x ; x > 0 ,
where ς is a scale parameter. In this paper, a discrete analogue of the NLE model is presented under the abbreviation NDsLE. The nice feature of reporting the NDsLE model is that it stands with a single parameter which is to be listed so as to give a better alternative for some discrete distributions and to create another platform for researchers working on probability distribution theory. Other interesting features for the NDsLE model can be listed as follows:
  • Its distributional statistics can be expressed in explicit terms.
  • It can be used to model positively skewed count data.
  • It can be utilized to discuss overdispersed count data.
  • It can be applied to study count data which have a monotonically increasing hazard rate function (HRF).
  • It can be used as a statistical tool to model extreme count data.
The rest of the paper is organized as follows, In Section 2, we introduce the NDsLE distribution. Various distributional statistics are derived in Section 3. In Section 4, the NDsLE parameter is estimated by using various techniques including maximum likelihood, proportion, moments, least squares, weighted least squares, and Cramér–von Mises criterion to get the best estimator for modeling data. A simulation study is presented in Section 5. Four real data sets are analyzed to show the flexibility of the NDsLE distribution in Section 6. Finally, Section 7 provides some conclusions.

2. The NDsLE Distribution: Mathematical Synthesis

Starting with (1) and utilizing the discretization concepts, the CDF of the NDsLE distribution can be expressed as
F β ( x ) = 1 1 ( x + 1 ) ln ( β ) 1 ln ( β ) 3 β x + 1 ; x = 0 , 1 , 2 , 3 , . . . ,
where β = exp ς and 0 < β < 1 . The survival function corresponding to (2) can be proposed as
S β ( x ) = 1 ( x + 1 ) ln ( β ) 1 ln ( β ) 3 β x + 1 ; x = 0 , 1 , 2 , 3 , . . . .
The probability mass function (PMF) can be formulated as
f β ( x ) = 1 x ln ( β ) 1 ln ( β ) 3 β x 1 ( x + 1 ) ln ( β ) 1 ln ( β ) 3 β x + 1 ; x = 0 , 1 , 2 , 3 , . . . ,
where the PMF of any discrete random variable (RV) can be derived as
f ( x ; θ ) = S ( x ; θ ) S ( x + 1 ; θ ) ; x = 0 , 1 , 2 , 3 , . . .
where θ is a vector of parameters. The PMF in (4) is log-concave, where f β ( x + 1 ) f β ( x ) is a decreasing function in x for all values of the NDsLE parameter. Depending on (4) and (3), the HRF can be derived as
h β ( x ) = 1 1 ( x + 1 ) ln ( β ) 1 ln ( β ) 3 1 x ln ( β ) 1 ln ( β ) 3 1 β ; x = 0 , 1 , 2 , 3 , . . . ,
where h β ( x ) = f β ( x ) S β ( x 1 ) , whereas the reversed HRF (RHRF) can be presented as
r β ( x ) = 1 x ln ( β ) 1 ln ( β ) 3 β x 1 ( x + 1 ) ln ( β ) 1 ln ( β ) 3 β x + 1 1 1 ( x + 1 ) ln ( β ) 1 ln ( β ) 3 β x + 1 ; x = 0 , 1 , 2 , 3 , . . . ,
where r β ( x ) = f β ( x ) F β ( x ) . In Figure 1, we give some f β ( x ) , h β ( x ) and r β ( x ) plots of the NDsLE model under some selected parameter values.
Based on Figure 1, it is noted that the f β ( x ) of the NDsLE model is unimodal, and it can be used as a probability tool to model asymmetric data. Moreover, the NDsLE model is a proper approach for modeling some phenomena which have increasing HRF or decreasing RHRF. Suppose Y and Z are two independent NDsLE RVs with parameters β 1 and β 2 , respectively. Then, the HRF of T = min ( Y , Z ) can be formulated as
h T ( x ; β 1 , β 2 ) = Pr ( min ( Y , Z ) = x ) Pr ( min ( Y , Z ) x ) = Pr ( min ( Y , Z ) x ) Pr ( min ( Y , Z ) x + 1 ) Pr ( min ( Y , Z ) x ) = Pr ( Y x ) Pr ( Z x ) Pr ( Y x + 1 ) Pr ( Z x + 1 ) Pr ( Y x ) Pr ( Z x ) = Pr ( Y x ) Pr ( Z = x ) + Pr ( Y = x ) Pr ( Z x ) Pr ( Y = x ) Pr ( Z = x ) Pr ( Y x ) Pr ( Z x ) ,
then
h T ( x ; β 1 , β 2 ) = 1 1 ( x + 1 ) ln ( β 1 ) 1 ln ( β 1 ) 3 1 x ln ( β 1 ) 1 ln ( β 1 ) 3 1 β 1 + 1 1 ( x + 1 ) ln ( β 2 ) 1 ln ( β 2 ) 3 1 x ln ( β 2 ) 1 ln ( β 2 ) 3 1 β 2 1 1 ( x + 1 ) ln ( β 1 ) 1 ln ( β 1 ) 3 1 x ln ( β 1 ) 1 ln ( β 1 ) 3 1 β 1 × 1 1 ( x + 1 ) ln ( β 2 ) 1 ln ( β 2 ) 3 1 x ln ( β 2 ) 1 ln ( β 2 ) 3 1 β 2 .
The extra term h β 1 ( x ) h β 2 ( x ) arises because in the discrete form, Pr ( Y = x , Z = x ) 0 . Since the HRF of the two RVs Y and Z is increasing, then the HRF of T = min ( Y , Z ) is also increasing. Similarly, the HRF of H = max ( Y , Z ) can be expressed as
h H ( x ; β 1 , β 2 ) = 1 1 1 1 ( x + 1 ) ln ( β 1 ) 1 ln ( β 1 ) 3 β 1 x + 1 1 1 ( x + 1 ) ln ( β 2 ) 1 ln ( β 2 ) 3 β 2 x + 1 1 1 1 x ln ( β 1 ) 1 ln ( β 1 ) 3 β 1 x 1 1 x ln ( β 2 ) 1 ln ( β 2 ) 3 β 2 x .

3. Main Statistical and Reliability Properties

3.1. Ordinary Moments and Descriptive Statistics

Let X be a non-negative RV, where X∼NDsLE( β ), then the rth moments can be expressed as
E X r = x = 0 + x r 1 x ln ( β ) 1 ln ( β ) 3 β x 1 ( x + 1 ) ln ( β ) 1 ln ( β ) 3 β x + 1 . = 1 log β 3 1 { [ β 1 ] Hurwitzlerchphi [ β , 1 r , θ ] log β + Hurwitzlerchphi [ β , r , θ ] [ 1 + β β log β ( β 1 ) log β 3 ] } ,
where Hurwitzlerchphi represents the Hurwitz–Lerch transcendental function which can be proposed in the form Φ ( z , s , a ) = k = 0 z k ( k + a ) s . Setting r = 1 , 2 , 3 , 4 in (8), the first four moments of the RV X can be derived in closed forms as
E X = ( β 1 ) ln ( β ) 3 ln ( β ) β + 1 β 1 ln ( β ) 3 β 1 2 , E X 2 = ( β 2 1 ) ln ( β ) 3 3 β + 1 ln ( β ) β 2 + 1 β ln ( β ) 1 ln ( β ) 2 + ln ( β ) + 1 β 1 3 , E X 3 = ( β 3 + 3 β 2 3 β 1 ) ln ( β ) 3 1 7 β 2 + 10 β + 1 ln ( β ) β ln ( β ) 1 ln ( β ) 2 + ln ( β ) + 1 β 1 4 ,
and
E X 4 = ( β 4 + 10 β 3 10 β 1 ) ln ( β ) 3 1 15 β 3 + 55 β 2 + 25 β + 1 ln ( β ) β ln ( β ) 1 ln ( β ) 2 + ln ( β ) + 1 β 1 5 .
According to the previous four moments, the variance “ V ( X ) ”, skewness “ S ( X ) ”, and kurtosis “ K ( X ) ” can be expressed in closed forms where
V ( X ) = E ( X 2 ) E ( X ) 2 ,
S ( X ) = E ( X 3 ) 3 E ( X 2 ) E ( X ) + 2 E ( X ) 3 V ( X ) 3 / 2
and
K ( X ) = E ( X 4 ) 4 E ( X 2 ) E ( X ) + 6 E ( X 2 ) E ( X ) 2 3 E ( X ) 4 V ( X ) 2 .
The index of dispersion, say I ( X ) , is defined as the V ( X ) to E ( X ) ratio; it indicates whether a certain model is suitable for under or overdispersed data sets. If I ( X ) < ( > 1 ) , the model is under- (over)dispersed. Further, the coefficient of variation, say C ( X ) , is reported. The I ( X ) can be formulated in closed expression as
I ( X ) = ( β 1 ) 2 ( β 2 1 ) log β + β log β 2 + 2 ( β 1 ) 2 log β 3 + ( β 2 1 ) log β 4 ( β 1 ) 2 log β 6 ( β 1 ) 2 [ log β 3 1 ] [ 1 β log β + ( β 1 ) log β 3 ] .
Table 1 lists some numerical results of some descriptive statistics (DS) for the NDsLE model for different values of the parameter β .
From Table 1, the NDsLE model is appropriate for modeling overdispersed data sets where I ( X ) > 1 . Further, the NDsLE distribution is capable of modeling positively skewed data under various shapes of kurtosis. Figure 2 lists the results which are including in Table 1.

3.2. Mean Active and Inactive Life Measures

To study the aging behavior of a component, several reliability measures have been defined in the survival analysis (SA) literature. One of them is called the mean active life (MAL). The MAL is a helpful reliability tool to analyze the burn-in and maintenance policies. In the discrete setting, the MAL can be defined as Θ ( i ) = E X i | X i for i N 0 and N 0 = 0 , 1 , 2 , 3 , . . . . Assume the RV X∼NDsLE( β ), then the MAL can be formulated as
Θ β ( i ) = β i + 1 Ξ ( β , i ) ( β 1 ) ln ( β ) 3 + ( i β i 1 ) ln ( β ) β + 1 ,
where
Ξ ( β , i ) = 1 + i ln ( β ) ln ( β ) 3 1 β i ( ln ( β ) 3 1 ) ( β 1 ) 2 .
Another reliability concept of interest in SA is the mean inactive life (MIAL), which measures the time elapsed since the failure of X given that the component has failed some time before i. The MIAL, say Θ * ( i ) , is defined as Θ * ( i ) = E i X | X < i for i N 0 { 0 } and Θ * ( 0 ) = 0 . Let X∼NDsLE( β ), then the MIAL can be expressed as
Θ β * ( i ) = Ξ * ( β , i ) 1 1 + i ln ( β ) ln ( β ) 3 1 β i 1 ,
where
Ξ * ( β , i ) = i β i + 1 β β 1 β i + 1 ( i + 1 ) β i 1 β ln ( β ) + β ln ( β ) ( ln ( β ) 3 1 ) ( β 1 ) 2 .
For i N 0 , we get Θ * ( i ) i . Let X be a NDsLE RV, then the CDF can be proposed by the MIAL as
F β ( k ) = F β ( 0 ) Π i = 1 k Θ * ( i ) Θ * ( i + 1 ) 1 ; k N 0 { 0 } ,
where F β ( 0 ) = Π i = 1 d Θ * ( i ) Θ * ( i + 1 ) 1 1 and 0 < d < . The mean of the NDsLE distribution can be expressed as
Mean = i Θ * ( i ) F β ( i 1 ) + Θ ( i ) 1 F β ( i 1 ) ; i N 0 { 0 } .
The RHRF and the MIAL are related as
r β ( i ) = 1 Θ * ( i + 1 ) + Θ * ( i ) Θ * ( i ) ; i N 0 { 0 } .

3.3. Order Statistics (ORSS) and L-Moment (L-M) Statistics

Let X 1 , X 2 , . . . , X p be a random sample (RS) from the NDsLE distribution, and let X 1 : p , X 2 : p , . . . , X p : p be their corresponding ORSS. Then, the CDF of the ith ORSS is
F β , i : p ( x ) = k = i p p k F β , i ( x ) k 1 F β , i ( x ) p k = k = i p j = 0 p k Λ ( p ) ( k ) F β , i ( x , k + j ) ,
where Λ ( p ) ( k ) = ( 1 ) j p k p k j and F β , i ( x , k + j ) represents the CDF of the exponentiated NDsLE model with power parameter k + j . Further, the corresponding PMF of the ith ORSS can be expressed as
f β , i : p ( x ) = k = i p j = 0 p k Λ ( p ) ( k ) f β , i ( x , k + j ) ,
where f β , i : p ( x ) = F β , i : p ( x ) F β , i : p ( x 1 ) . The c t h moments of X i : p is
E ( X i : p c ) = x = 0 k = i p j = 0 p k Λ ( p ) ( k ) x i : p c f β , i ( x , k + j ) .
Based on (11), the L-Ms can be derived from the following relation
λ q = 1 q j = 0 q 1 Υ ( j , q ) E X q j : q ,
where Y ( j , q ) = ( 1 ) j q 1 j . Utilizing (12), we can introduce some statistical measures such as the L-M of the mean = λ 1 , the L-M coefficient of variation = λ 2 λ 1 , the L-M coefficient of skewness = λ 3 λ 2 and the L-M coefficient of kurtosis = λ 4 λ 2 .

4. Estimation Approaches

4.1. Maximum Likelihood Estimation (MLE)

In this section, we list the MLEs of the NDsLE parameter. Let X 1 , X 2 , . . . , X p be an RS of size p from the NDsLE model. The log-likelihood function (L) can be formulated as
L β ( x 1 , x 2 , . . . , x p ; β ) = ln ( β ) i = 1 p x i + i = 1 p ln ln ( β ) 3 ( 1 β ) + ln ( β ) x i β x i β + β 1 i = 1 p ln ln ( β 1 i = 1 p ln ln ( β ) 2 + ln ( β ) + 1 .
By differentiating (13) with respect to the parameter β , we get the normal nonlinear likelihood equation as follows
L β ( x 1 , x 2 , . . . , x p ; β ) β = 1 β i = 1 p x i 1 β i = 1 p β ln ( β ) 3 + 3 ( β 1 ) ln ( β ) 2 + β ( x i + 1 ) ln ( β ) x i + β x i + 2 β ln ( β ) 3 ( 1 β ) + ln ( β ) x i β x i β + β 1 1 β i = 1 p 1 ln ( β ) 1 1 β i = 1 p 2 ln ( β ) + 1 ln ( β ) 2 + ln ( β ) + 1 .
The resulted equation cannot be solved analytically. Thus, an iterative procedure such as the Newton–Raphson method is required to solve it numerically.

4.2. Proportion Estimation (ProE)

Assume X 1 , X 2 , . . . , X p is an RS of size p from the NDsLE model. We define an indicator as follows
Ω ( x i ) = 1 if x i = 0 0 if otherwise .
Let O = i = 1 p Ω ( x i ) stand for the number of zeros in the RS. Using the CDF of the NDsLE model as well as (14), we get Pr ( X 0 ) = O p . So, the parameter β is estimated by solving the following equation
1 β ^ + β ^ ln ( β ^ ) 1 ln ( β ^ ) 3 O p = 0 ,
where the β ^ of β is an unbiased and consistent estimator. In some cases, we could not get the zeros in the RS. Thus, we replace zeros by ones or by any observation inside the sample to get the estimator.

4.3. Moment’s Estimation (MoE)

Let X 1 , X 2 , . . . , X p be an RS of size p from the NDsLE distribution. Based on the approach of moments for estimating the parameter β , we can derive the estimator β ^ by solving the following equation
( β ^ 1 ) ln ( β ^ ) 3 ln ( β ^ ) β ^ + 1 β ^ 1 ln ( β ^ ) 3 β ^ 1 2 1 p i = 1 p x i = 0 ,
with respect to β . A symbolic program should be utilized to solve (15) numerically according to data observations x i ; i = 1 , 2 , 3 , . . . , p .

4.4. Least Squares and Weighted Least Squares Estimations

Let X ( 1 ) , X ( 2 ) , , X ( p ) be the ORSS of the RS of size p from the NDsLE model. The least squares estimator, say LSE, of the NDsLE parameter can be derived by minimizing
B β x ( 1 ) , x ( 2 ) , . . . , x ( p ) = i = 1 p F β ( x ( i ) ) i p + 1 2 ,
with respect to β , while the weighted LSE, say WLSE, of the NDsLE parameter can be proposed by minimizing
B β * x ( 1 ) , x ( 2 ) , . . . , x ( p ) = i = 1 p p + 1 2 p + 2 i p i + 1 F β ( x ( i ) ) i p + 1 2 ,
also with respect to β .

4.5. Cramér–Von Mises Minimum Distance (MD) Estimation

Cramér–von Mises estimator, say CVME, is a type of MD estimator and has less bias than the other MD estimators. Assume X ( 1 ) , X ( 2 ) , , X ( p ) is the ORSS of the RS of size p from the NDsLE distribution. Then, the CVME of the NDsLE parameter is listed by minimizing
M β x ( 1 ) , x ( 2 ) , . . . , x ( p ) = 1 12 p + i = 1 p F β ( x ( i ) ) 2 i 1 2 p 2 ,
with respect to β .

5. Simulations: Comparing Various Estimators (CVE)

A general form to generate an RV X from the NDsLE model is to first generate the value Z from the NLE distribution, and then to discretize this value to get X , where X = [ Z ] is the largest integer less than or equal to Z . In this section, we assess the performance of the MLE, MoE, ProE, LSE, WLSE, and CVME estimators with respect to sample size p using R software. For CVE, Markov chain Monte Carlo simulations were performed based on various schemes. The assessment was based on a simulation study:
1
Generate P = 10 , 000 samples of different sizes “ p i ; i = 1 , 2 , 3 , 4 ” from the NDsLE model as follows
  • scheme I: β = 0.1 | p 1 = 20 , p 2 = 50 , p 3 = 150 , p 4 = 300 , p 5 = 500 , p 6 = 700 .
  • scheme II: β = 0.6 | p 1 = 20 , p 2 = 50 , p 3 = 150 , p 4 = 300 , p 5 = 500 , p 6 = 700 .
  • scheme III: β = 0.9 | p 1 = 20 , p 2 = 50 , p 3 = 150 , p 4 = 300 , p 5 = 500 , p 6 = 700 .
2
Compute the MLE, MoE, ProE, LSE, WLSE, and CVME for the 10,000 samples, say β ^ j for j = 1 , 2 , . . . , 10,000 .
We calculated the bias “BS”, mean squared errors (NDS), mean relative errors (NES) for P = 10,000 samples as
B S ( β ^ ) = 1 P j = 1 P β j ^ β j , N D S ( β ) = 1 P j = 1 P ( β j ^ β j ) 2 , N E S ( β ) = 1 P j = 1 P β j ^ β j β j .
The results of the simulations are listed in Table 2, Table 3 and Table 4 and provided via Figure 3, Figure 4 and Figure 5. Based on the reported tables and figures, the BS approached to zero when the sample size p increased. Similarly, the NDS and NES of the parameter approached zero when p increased. These results revealed the unbiasedness, efficiency, consistency properties of the MLE, MoE, ProE, LSE, WLSE, and CVME estimators. Thus, we can conclude that all estimation techniques worked quite well under different sizes of samples.

6. A Comparative Study to Model Extreme and Outliers Observations

In this Section, we test the fitting capability of the NDsLE distribution. The fitting of the distributions were compared utilizing some well-known statistical measures, namely, L , the Akaike information criterion (A * ), the correct Akaike information criterion (CA * ), the Hannan–Quinn information criterion (H * ), and the Kolmogorov–Smirnov (K–S) test as well as the chi-square ( χ 2 ) test with its degree of freedom (DF), and the associated p-value (PV). The competitive models (CMs) are provided in Table 5.

6.1. Data Set I

This data set represents the number of European red mites on apple leaves (see Chakraborty and Chakravarty [20]). The initial mass shape is reported using nonparametric approaches such as strip, box, violin, and QQ plots in Figure 6. It is noted that the data are asymmetric and some extreme observations are found. Table 4 reports the MLEs with its standard errors (Std-er), and confidence interval (C.I) for the NDsLE parameter and other CMs. Further, the goodness-of-fit (GOF) measures as well as expected (observed) frequency, say EF (OF), have been listed in the same Table.
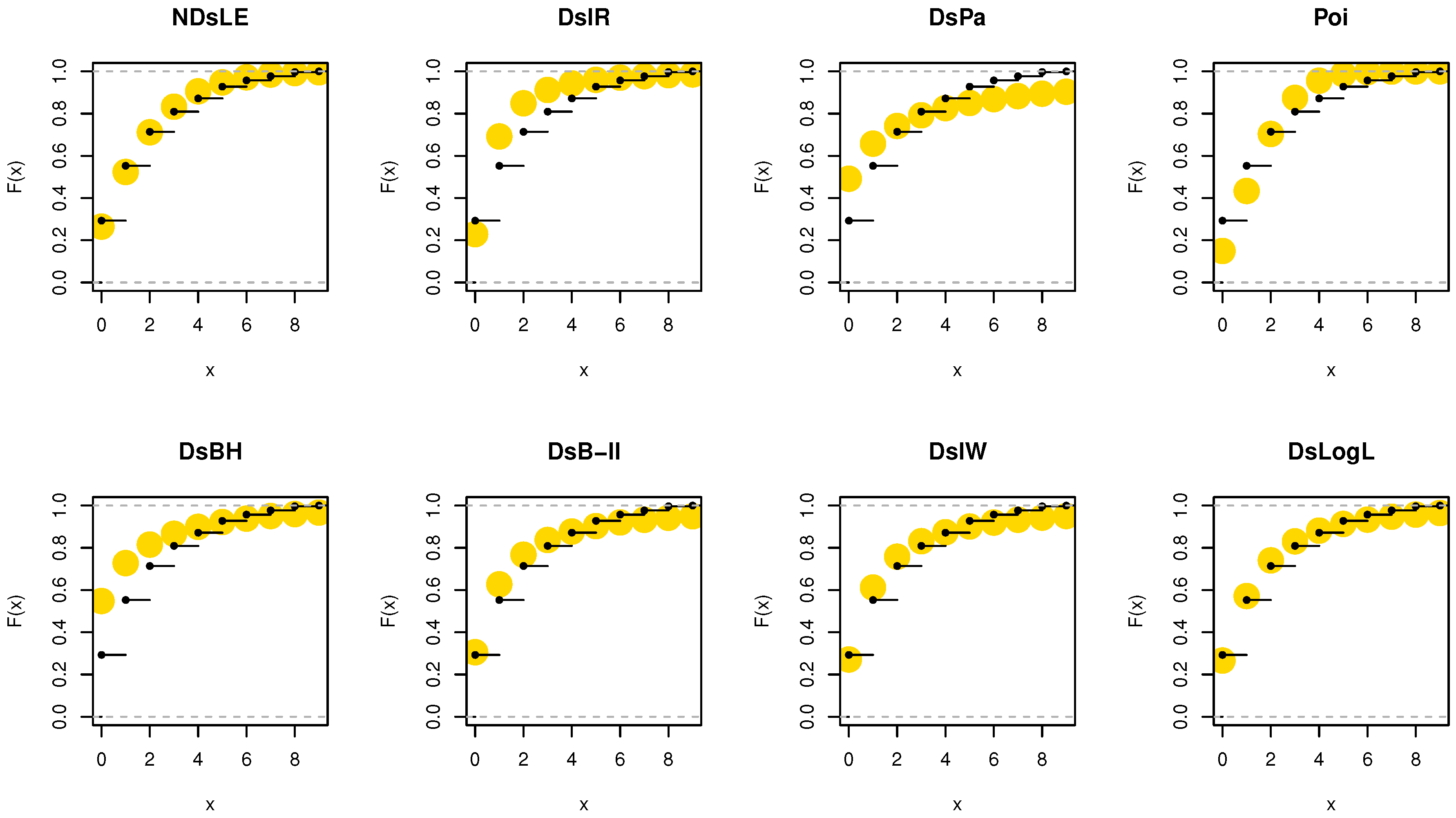
From Table 6, the NDsLE model provides the best fit among all CMs because it has the smallest value among L L , A * , CA * , B * , H * , and χ 2 as well as the highest PV. The empirical PMF, PP, and CDF plots for data set I are displayed in Figure 7, Figure 8, and Figure 9, respectively, which indicates that the data set I plausibly came from the NDsLE model.
Table 7 lists different estimators for data set I, and it was found that the MLE and MoE techniques worked quite well for modeling data set I.
Table 8 lists some numerical accounts of empirical and theoretical descriptive statistics. It is noted that all scales were approximately equal.

6.2. Data Set II

This data set was given by Karlis and Xekalaki ([21]) and represents the numbers of fires in Greece for the period from 1 July 1998 to 31 August 1998. The strip, box, violin, and QQ plots are displayed in Figure 10, and we can see that data set II is asymmetric and has some outlier observations. Table 9 introduces the MLEs with its Std-er, and C.I for the model parameter and other CMs. Moreover, the GOF measures are shown in the same Table.
From Table 6, the NDsLE model provided the best fit among all CMs. The empirical PP and CDF plots for data set II are displayed in Figure 11 and Figure 12, respectively.
Table 10 reports various estimators for data set II, and it was found that the MLE, MoE, LSE, WLSE, and CVME methods worked quite well for modeling data set II, but the MoE approach was the best.
Table 11 reports some numerical accounts of empirical and theoretical descriptive statistics. It was found that all scales were approximately equal except that of the ProE approach.

6.3. Data Set III

The data were reported in https://www.worldometers.info/coronavirus/country/south-korea/ (accessed on 14 February 2022) and represent the daily new deaths in South Korea for COVID-19 from 15 February to 12 December 2020. In Figure 13, we can see the data are asymmetric, and some extreme observations are present. Table 12 lists the MLEs with its Std-er, GOF, and C.I for the NDsLE parameter and other CMs.
From Table 12, the NDsLE model provides the best fit among all CMs. The empirical PMF, PP, and CDF plots for data set III are displayed in Figure 14, Figure 15, and Figure 16, respectively.
Table 13 lists various estimators for data set III; it was found that the MLE and MoE techniques worked quite well for modeling data set III, but the MLE method was the best.
Table 14 listed some numerical accounts of empirical and theoretical descriptive statistics. It is clear that all scales were approximately equal.

6.4. Data Set IV

The data set represents the leukemia remission times (in weeks) for 20 patients (see Damien and Walker, [22]). The data are asymmetric-shaped and contain some extreme values (see Figure 17).
Table 15 introduces the MLEs with its Std-er, GOF, and C.I for the NDsLE parameter and other CMs.
From Table 15, the NDsLE model provided the best fit among all tested models. The empirical PPs and CDFs plots for data set IV are displayed in Figure 18 and Figure 19, respectively.
Table 16 lists different estimators for data set IV; it was found that the MLE, MoE, ProE, LSE, WLSE and CVME methods worked quite well for modeling data set IV, but the MLE approach was the best.
Table 17 report some numerical accounts of empirical and theoretical descriptive statistics. It is noted that all scales are approximately equal.
The profiles of L functions for data sets I, II, III and IV are displayed in Figure 20; it was found that the estimator was a unique “unimodal function”.

7. Conclusions

In this paper, a novel discrete model with one parameter called the discrete linear-exponential (NDsLE) model, was introduced. Its various statistical features were derived in detail. It was found that the NDsLE model was a proper model for right-skewed data sets, especially those having extreme observations. Moreover, the NDsLE model provided a wide variation in the shape of the kurtosis, and consequently it could be utilized for modeling different kinds of data. The NDsLE parameter was estimated using different estimation techniques, namely, MLE, MoE, ProE, LSE, WLSE, and CVME. Simulation studies were performed based on different sample sizes, and it was found that the six methods worked quite effectively in estimating the NDsLE parameter. Four data sets were analyzed to illustrate and prove the notability of the NDsLE model. Finally, the NDsLE model would be a better alternative to other lifetime models available in the existing literature, especially, in extreme values fields.

Funding

The author extends their appreciation to the Deputyship for Research & Innovation, Ministry of Education in Saudi Arabia for funding this research work through the project number IF-PSAU-2021/01/18291.

Data Availability Statement

The four data sets are available in the paper.

Conflicts of Interest

The author declares no conflict of interest.

References

  1. Roy, D. Discrete Rayleigh distribution. IEEE Trans. Reliab. 2004, 53, 255–260. [Google Scholar] [CrossRef]
  2. Krishna, H.; Pundir, P.S. Discrete Burr and discrete Pareto distributions. Stat. Methodol. 2009, 6, 177–188. [Google Scholar] [CrossRef]
  3. Eliwa, M.S.; El-Morshedy, M.; Yousof, H.M. A discrete exponential generalized-G family of distributions: Properties, with Bayesian and Non-Bayesian estimators to model medical, engineering, and agriculture data. Mathematics 2022, 10, 3348. [Google Scholar] [CrossRef]
  4. Gómez-Déniz, E.; Calderín-Ojeda, E. The discrete Lindley distribution: Properties and applications. J. Stat. Comput. Simul. 2011, 81, 1405–1416. [Google Scholar] [CrossRef]
  5. Nekoukhou, V.; Alamatsaz, M.H.; Bidram, H. Discrete generalized exponential distribution of a second type. Statistics 2013, 47, 876–887. [Google Scholar] [CrossRef]
  6. Nekoukhou, V.; Bidram, H. The exponentiated discrete Weibull distribution. Sort 2015, 39, 127–146. [Google Scholar]
  7. Hussain, T.; Aslam, M.; Ahmad, M. A two-parameter discrete Lindley distribution. Rev. Colomb. Estad. 2016, 39, 45–61. [Google Scholar] [CrossRef]
  8. Para, B.A.; Jan, T.R. On discrete three-parameter Burr type XII and discrete Lomax distributions and their applications to model count data from medical science. Biom. Biostat. J. 2016, 4, 1–15. [Google Scholar]
  9. Eliwa, M.S.; Alhussain, Z.A.; El-Morshedy, M. Discrete Gompertz-G family of distributions for over-and under-dispersed data with properties, estimation, and applications. Mathematics 2020, 8, 358. [Google Scholar] [CrossRef]
  10. El-Morshedy, M.; Eliwa, M.S.; Nagy, H. A new two-parameter exponentiated discrete Lindley distribution: Properties, estimation and applications. J. Appl. Stat. 2020, 47, 354–375. [Google Scholar] [CrossRef] [PubMed]
  11. Yousof, H.M.; Chesneau, C.; Hamedani, G.G.; Ibrahim, M. A new discrete distribution: Properties, characterizations, modeling real count data, Bayesian and non-Bayesian estimations. Statistica 2021. forthcoming. [Google Scholar]
  12. Ibrahim, M.; Ali, M.M.; Yousof, H.M. The discrete analogue of the Weibull G family: Properties, different applications, Bayesian and non-Bayesian estimation methods. Ann. Data Sci. 2021, 1–38. [Google Scholar] [CrossRef]
  13. Al-Bossly, A.; Eliwa, M.S. Asymmetric probability mass function for count data based on the binomial technique: Synthesis and analysis with inference. Symmetry 2022, 14, 826. [Google Scholar] [CrossRef]
  14. Sah, B.K. One-parameter linear-exponential distribution. Maths 2021, 6, 6–15. [Google Scholar] [CrossRef]
  15. Hussain, T.; Ahmad, M. Discrete inverse Rayleigh distribution. Pak. J. Stat. 2014, 30, 203–222. [Google Scholar]
  16. Poisson, S.D. Probabilité des Jugements en Matière Criminelle et en Matière Civile, Précédées Des règles Générales du Calcul des Probabilitiés; Bachelier: Paris, France, 1837; Volume 1, p. 1837. [Google Scholar]
  17. El-Morshedy, M.; Eliwa, M.S.; Altun, E. Discrete Burr-Hatke distribution with properties, estimation methods and regression model. IEEE Access 2020, 8, 74359–74370. [Google Scholar] [CrossRef]
  18. Jazi, M.A.; Lai, C.D.; Alamatsaz, M.H. A discrete inverse Weibull distribution and estimation of its parameters. Stat. Methodol. 2010, 7, 121–132. [Google Scholar] [CrossRef]
  19. Para, B.A.; Jan, T.R. Discrete version of log-logistic distribution and its applications in genetics. Int. Mod. Math. Sci. 2016, 14, 407–422. [Google Scholar]
  20. Chakraborty, S.; Chakravarty, D. Discrete gamma distributions: Properties and parameter estimations. Commun. Stat. Theory Methods 2012, 41, 3301–3324. [Google Scholar] [CrossRef]
  21. Karlis, D.; Xekalaki, E.; Lipitakis, E.A. On some discrete valued time series models based on mixtures and thinning. In Proceedings of the Fifth Hellenic-European Conference on Computer Mathematics and Its Applications, Athens, Greece, 20–22 September 2001; pp. 872–877. [Google Scholar]
  22. Damien, P.; Walker, S. A Bayesian non-parametric comparison of two treatments. Scand. J. Stat. 2002, 29, 51–56. [Google Scholar] [CrossRef]
Figure 1. The PMF, HRF and RHRF plots of the NDsLE model.
Figure 1. The PMF, HRF and RHRF plots of the NDsLE model.
Axioms 11 00531 g001
Figure 2. Some DS plots for the NDsLE model.
Figure 2. Some DS plots for the NDsLE model.
Axioms 11 00531 g002
Figure 3. Simulation results for β = 0.1 under various estimation techniques.
Figure 3. Simulation results for β = 0.1 under various estimation techniques.
Axioms 11 00531 g003
Figure 4. Simulation results for β = 0.6 under various estimation techniques.
Figure 4. Simulation results for β = 0.6 under various estimation techniques.
Axioms 11 00531 g004
Figure 5. Simulation results for β = 0.9 under various estimation techniques.
Figure 5. Simulation results for β = 0.9 under various estimation techniques.
Axioms 11 00531 g005
Figure 6. Nonparametric plots for data set I.
Figure 6. Nonparametric plots for data set I.
Axioms 11 00531 g006
Figure 7. The empirical PMFs plots for data set I.
Figure 7. The empirical PMFs plots for data set I.
Axioms 11 00531 g007
Figure 8. The empirical PPs plots for data set I.
Figure 8. The empirical PPs plots for data set I.
Axioms 11 00531 g008
Figure 9. The empirical CDFs plots for data set I.
Figure 9. The empirical CDFs plots for data set I.
Axioms 11 00531 g009
Figure 10. Nonparametric plots for data set II.
Figure 10. Nonparametric plots for data set II.
Axioms 11 00531 g010
Figure 11. The empirical PPs plots for data set II.
Figure 11. The empirical PPs plots for data set II.
Axioms 11 00531 g011
Figure 12. The empirical CDFs plots for data set II.
Figure 12. The empirical CDFs plots for data set II.
Axioms 11 00531 g012
Figure 13. Nonparametric plots for data set III.
Figure 13. Nonparametric plots for data set III.
Axioms 11 00531 g013
Figure 14. The empirical PMFs plots for data set III.
Figure 14. The empirical PMFs plots for data set III.
Axioms 11 00531 g014
Figure 15. The empirical PPs plots for data set III.
Figure 15. The empirical PPs plots for data set III.
Axioms 11 00531 g015
Figure 16. The empirical CDFs plots for data set III.
Figure 16. The empirical CDFs plots for data set III.
Axioms 11 00531 g016
Figure 17. Nonparametric plots for data set IV.
Figure 17. Nonparametric plots for data set IV.
Axioms 11 00531 g017
Figure 18. The empirical PPs plots for data set IV.
Figure 18. The empirical PPs plots for data set IV.
Axioms 11 00531 g018
Figure 19. The empirical CDFs plots for data set IV.
Figure 19. The empirical CDFs plots for data set IV.
Axioms 11 00531 g019
Figure 20. The profiles of L functions for data sets I, II, III and IV.
Figure 20. The profiles of L functions for data sets I, II, III and IV.
Axioms 11 00531 g020
Table 1. Some DS for the NDsLE model under various values of β .
Table 1. Some DS for the NDsLE model under various values of β .
β E ( X ) V ( X ) S ( X ) K ( X ) I ( X ) C ( X )
0.05 0.058583 0.061944 4.478550 25.910824 1.057374 4.248412
0.1 0.132634 0.149298 3.236004 17.278912 1.125648 2.913229
0.2 0.347302 0.448986 2.352445 14.582675 1.292781 1.929338
0.3 0.697084 1.038812 1.916297 15.730504 1.490225 1.462121
0.4 1.242090 2.122653 1.638590 19.126849 1.708937 1.172969
0.5 2.039962 4.038364 1.483025 24.722690 1.979628 0.985101
0.6 3.190287 7.654077 1.421220 31.709619 2.399182 0.867195
0.7 4.987059 15.773291 1.408363 38.660981 3.162846 0.796373
0.8 8.413829 40.242572 1.410342 44.651470 4.782909 0.753962
0.9 18.47137 180.249242 1.413247 49.635682 9.758301 0.726838
0.95 38.48882 760.249742 1.413981 51.867544 19.752485 0.716380
0.99 198.498224 19 , 800.249960 1.414205 53.578961 99.750262 0.708889
Table 2. The performance of different estimators.
Table 2. The performance of different estimators.
pCriteriaMLEMoEProELSEWLSECVME
β = 0 . 1
20 BS 0.137251500.139015810.14074285 0.16108567 0.14705658 0.17605784
NDS 0.01902380 0.01890457 0.01986388 0.02667562 0.02235636 0.03025188
NES 0.27358819 0.27527452 0.28235828 0.32115804 0.29125118 0.35453818
50 BS 0.08171928 0.09025780 0.09645521 0.10278538 0.08905878 0.12285608
NDS 0.00702353 0.00812688 0.00914528 0.01125328 0.00789680 0.01506367
NES 0.16055877 0.18026840 0.19147852 0.20177478 0.17886973 0.24406986
150 BS 0.05062535 0.05194580 0.05474531 0.05834522 0.05112831 0.06955535
NDS 0.00236687 0.00295055 0.00378943 0.00312597 0.00298364 0.00586742
NES 0.09963255 0.10575505 0.11091282 0.11386744 0.10456843 0.14020875
300 BS 0.03456352 0.03577827 0.04237865 0.04452802 0.03756683 0.05192556
NDS 0.00101222 0.00131788 0.00186584 0.00205870 0.00147848 0.00298087
NES 0.06685143 0.07125485 0.07974215 0.08128451 0.07428947 0.10697707
500 BS 0.00563654 0.00572998 0.00745885 0.00936984 0.00652036 0.02363264
NDS 0.00045415 0.00048236 0.00069854 0.00091994 0.00062365 0.00079102
NES 0.00397664 0.00413697 0.00748885 0.00896674 0.00513036 0.00972369
700 BS 0.00023611 0.00029699 0.00042369 0.00082366 0.00040236 0.00093698
NDS 0.00008835 0.00012631 0.00042835 0.00075526 0.00063697 0.00091236
NES 0.00011447 0.00033695 0.00091023 0.00302587 0.00056369 0.00503667
Table 3. The performance of different estimators.
Table 3. The performance of different estimators.
pCriteriaMLEMoEProELSEWLSECVME
β = 0 . 6
20 BS 0.16739517 0.19123657 0.19256701 0.21455452 0.21103266 0.22795025
NDS 0.02896965 0.03569438 0.03787250 0.04565745 0.04434692 0.05116176
NES 0.33136947 0.38294372 0.38442251 0.42756685 0.42136644 0.44823182
50 BS 0.10426959 0.11701633 0.11922424 0.12896521 0.12836432 0.14841683
NDS 0.01696430 0.01731907 0.01795875 0.01775027 0.01736494 0.02125485
NES 0.21236497 0.23410265 0.23745930 0.25856052 0.25736642 0.29865753
150 BS 0.05763954 0.06421943 0.06665305 0.07428507 0.07465820 0.08778526
NDS 0.00436199 0.00549613 0.00570231 0.00754276 0.00634669 0.00855237
NES 0.11436947 0.12734927 0.13425205 0.14827045 0.14871807 0.17554575
300 BS 0.04236943 0.04436940 0.04802549 0.04982567 0.04845854 0.06448586
NDS 0.00236497 0.00231961 0.00362864 0.00245550 0.00341525 0.00493678
NES 0.08369456 0.08731057 0.09415758 0.09892364 0.09929757 0.12796238
500 BS 0.01236686 0.01412569 0.01523694 0.02136951 0.01632554 0.02853226
NDS 0.00096544 0.00123999 0.00250255 0.00336951 0.00273036 0.00412559
NES 0.00366941 0.00413254 0.00441293 0.00604412 0.00463351 0.00715669
700 BS 0.00083258 0.00093105 0.00099649 0.00203697 0.00102369 0.00234170
NDS 0.00001556 0.00007301 0.00009641 0.00085994 0.00009923 0.00091025
NES 0.00013697 0.00053087 0.00074694 0.00421588 0.00079652 0.00472698
Table 4. The performance of different estimators.
Table 4. The performance of different estimators.
pCriteriaMLEMoEProELSEWLSECVME
β = 0 . 9
20 BS 0.55453838 0.55688935 0.57945845 0.68858486 0.60385178 0.71258585
NDS 0.30771875 0.30893134 0.33786846 0.47102581 0.36361889 0.53195785
NES 0.36985850 0.37569634 0.38686858 0.45938674 0.40222177 0.48563588
50 BS 0.34567787 0.36515095 0.36688197 0.42327560 0.39353507 0.49595470
NDS 0.12122575 0.13123588 0.13453566 0.17963740 0.15409750 0.24712803
NES 0.23215873 0.24102733 0.24454586 0.28255808 0.26235343 0.33013842
150 BS 0.19361808 0.21388834 0.20184873 0.24152838 0.22387776 0.31747785
NDS 0.03868834 0.04653909 0.04151596 0.05877181 0.04958287 0.09896941
NES 0.13014480 0.14287981 0.13786848 0.16112668 0.14905561 0.20913451
300 BS 0.13589894 0.15115909 0.14515782 0.18074655 0.14912518 0.22012085
NDS 0.01903822 0.02358783 0.02486380 0.03357548 0.02298567 0.04784828
NES 0.08989239 0.10083913 0.09718184 0.12161379 0.09790818 0.14589624
500 BS 0.02369435 0.05362884 0.05012889 0.07412699 0.05369966 0.09102589
NDS 0.00236898 0.00363669 0.00389025 0.00441258 0.00341025 0.00992369
NES 0.00985754 0.02155836 0.01023369 0.02410398 0.01127036 0.04036955
700 BS 0.00412583 0.00720369 0.00623697 0.00922547 0.00710255 0.01230358
NDS 0.00044584 0.00062690 0.00066302 0.00070369 0.00059366 0.00088603
NES 0.00054863 0.00080369 0.00063694 0.00094780 0.00071458 0.00203669
Table 5. The CMs of the NDsLE model.
Table 5. The CMs of the NDsLE model.
DistributionAbbreviation              Author(s)
Discrete inverse Rayleigh                     DsIRHussain and Ahmad [15]
Discrete ParetoDsPaKrishna and Pundir [2]
PoissonPoiPoisson [16]
Discrete Burr-HatkeDsBHEl-Morshedy et al. [17]
Discrete Burr type IIDsB-IIPara and Jan [8]
Discrete inverse WeibullDsIWJazi et al. [18]
Discrete log-logisticDsLog-LPara and Jan [19]
Table 6. The MLEs, Std-er, C.I, and GOF measures for data set I.
Table 6. The MLEs, Std-er, C.I, and GOF measures for data set I.
No. EF
XOFNDsLEDsIRDsPaPoiDsBHDsB-IIDsIWDsLogL
0 70 63.608 65.658 88.308 47.654 88.938 70.469 68.411 67.527
1 38 42.291 56.351 25.005 54.643 27.919 43.053 45.814 44.099
2 17 23.019 14.835 11.314 31.329 12.905 16.214 15.307 17.266
3 10 11.412 5.608 6.312 11.975 7.056 7.364 6.935 7.874
4 9 5.359 2.673 3.972 3.433 4.238 3.924 3.777 4.167
5 3 2.428 1.473 2.705 0.787 2.702 2.338 2.311 2.458
6 2 1.073 0.895 1.948 0.150 1.795 1.509 1.530 1.569
7 1 0.810 2.507 10.436 0.029 4.447 5.129 5.915 5.040
Total 150 150 150 150 150 150 150 150 150
MLE for β 0.382 0.438 0.278 1.147 0.814 0.400 0.456 1.116
Std-er 0.018 0.041 0.029 0.087 0.040 0.044 0.041 0.096
95% C.I Lower Upper 0.347 0.417 0.358 0.518 0.219 0.336 0.975 1.318 0.735 0.893 0.315 0.486 0.376 0.536 0.927 1.304
MLE for α 1.882 1.527 1.829
Std-er 0.251 0.157 0.177
95% C.I Lower Upper 1.391 2.373 1.219 1.834 1.482 2.176
L 223.799 233.142 238.832 242.809 230.552 227.727 229.333 227.265
A * 449.597 468.284 479.663 487.619 463.103 459.454 462.666 458.531
CA * 449.624 468.311 479.690 487.647 463.130 459.536 462.747 458.613
B * 452.608 471.295 482.674 490.631 466.114 465.476 468.687 464.552
H * 450.820 469.507 480.886 488.843 464.326 461.901 465.112 460.977
χ 2 5.764 17.376 26.916 26.646 15.573 8.829 11.306 7.843
DV33424232
PV 0.124 ≤0.001≤0.001≤0.001 0.004 0.0121 0.010 0.019
Table 7. CVE for data set I.
Table 7. CVE for data set I.
No. EF
XOFMLEMoEProELSEWLSECVME
0 70 63.608 62.767 70.094 42.507 46.324 42.507
1 38 42.291 42.297 41.970 39.659 40.598 39.659
2 17 23.019 23.265 21.034 27.850 27.237 27.850
3 10 11.412 11.645 9.669 17.399 16.328 17.399
4 9 5.359 5.518 4.223 10.195 9.196 10.195
5 3 2.428 2.523 1.783 5.736 4.977 5.736
6 2 1.073 1.125 0.735 3.138 2.620 3.138
7 1 0.810 0.86 0.492 3.516 2.720 3.516
Total 150 150 150 150 150 150 150
β 0.382 0.385 0.357 0.469 0.452 0.469
χ 2 5.764 5.657 9.501 28.677 20.378 28.677
DF333545
PV 0.124 0.130 0.023 <0.001<0.001<0.001
Table 8. Descriptive statistics for data set I.
Table 8. Descriptive statistics for data set I.
E ( X ) V ( X ) I ( X ) C ( X ) S ( X )
Data 1.146667 2.273647 1.982831 1.314996 1.544539
MLE 1.127071 1.879304 1.667423 1.216318 1.679096
MoE 1.145691 1.918175 1.674252 1.208862 1.672065
ProE 0.980188 1.579744 1.611674 1.282283 1.742105
LSE 1.761452 3.321649 1.885745 1.034680 1.519391
WLSE 1.621238 2.981079 1.838767 1.064976 1.543652
CVME 1.761452 3.321649 1.885745 1.034680 1.519391
Table 9. The MLEs, Std-er, C.I, and GOF measures for data set II.
Table 9. The MLEs, Std-er, C.I, and GOF measures for data set II.
NDsLEDsIRDsPaPoiDsBHDsB-IIDsIWDsLogL
MLE for β 0.714 0.018 0.546 5.398 0.984 0.761 0.079 4.226
Std-er 0.015 0.007 0.029 0.209 0.013 0.043 0.022 0.389
95% C.I Lower Upper 0.685 0.743 0.004 0.033 0.488 0.605 4.988 5.809 0.959 1 0.677 0.845 0.035 0.123 3.462 4.989
MLE for α 2.503 1.035 1.717
Std-er 0.487 0.079 0.138
95% C.I Lower Upper 1.548 3.457 0.881 1.189 1.446 1.988
L 346.003 412.72 389.635 467.827 407.155 373.393 361.155 346.890
A * 694.005 827.440 781.271 937.655 816.311 750.786 726.310 697.780
CA * 694.038 827.473 781.304 937.688 816.344 750.886 726.410 697.880
B * 696.817 830.252 784.083 940.467 819.123 756.410 731.934 703.405
H * 695.148 828.582 782.413 938.797 817.453 753.071 728.595 700.065
K–S0.089 0.429 0.355 0.2547 0.547 0.299 0.208 0.149
PV0.281 0 0.001 0 0.001 ≤0.001 0 0.001 ≤0.0010≤0.0010 0.009
Table 10. CVE for data set II.
Table 10. CVE for data set II.
MLEMoEProELSEWLSECVME
β 0.714 0.717 0.599 0.729 0.733 0.729
K–S 0.089 0.082 0.318 0.093 0.099 0.093
PV 0.281 0.376 ≤0.001 0.236 0.173 0.236
Table 11. Descriptive statistics for data set II.
Table 11. Descriptive statistics for data set II.
E ( X ) V ( X ) I ( X ) C ( X ) S ( X )
Data 5.398373 30.044915 5.565550 1.015366 3.028614
MLE 5.328796 17.681101 3.318029 0.789088 1.408254
MoE 5.406128 18.129156 3.353445 0.787594 1.408258
ProE 3.176367 7.603379 2.393734 0.868106 1.421522
LSE 5.731521 20.080603 3.503538 0.781841 1.408353
WLSE 5.846112 20.793291 3.556773 0.779999 1.408410
CVME 5.731521 20.080603 3.503538 0.781841 1.408353
Table 12. The MLEs, Std-er, C.I, and GOF measures for data set III.
Table 12. The MLEs, Std-er, C.I, and GOF measures for data set III.
No. EF
XOFNDsLEDsIRDsPaPoiDsBHDsB-IIDsIWDsLogL
0 89 80.319 69.890 149.356 45.408 166.600 92.887 82.351 80.931
1 79 78.626 140.613 50.500 86.336 54.598 97.788 103.702 92.775
2 49 57.163 47.685 25.478 82.074 26.667 42.676 44.390 51.431
3 29 36.851 19.125 15.379 52.014 15.540 21.174 22.317 27.336
4 19 22.251 9.333 10.312 24.725 10.017 12.172 12.926 15.559
5 17 12.891 5.198 7.387 9.402 6.885 7.754 8.248 9.518
6 9 7.259 3.162 5.533 2.979 4.953 5.308 5.636 6.193
7 6 4.004 2.098 4.408 0.809 3.682 3.831 4.052 4.247
8 6 2.173 1.429 3.466 0.192 2.808 2.879 3.031 3.061
9 1 2.463 5.467 32.181 0.061 12.25 17.531 17.347 12.949
Total 304 304 304 304 304 304 304 304 304
MLE for β 0.482 0.229 0.377 1.901 0.904 0.591 0.271 1.716
Std-er 0.012 0.023 0.021 0.079 0.020 0.031 0.025 0.095
95% C.I Lower Upper 0.459 0.506 0.184 0.276 0.335 0.419 1.746 2.056 0.864 0.944 0.529 0.653 0.221 0.321 1.529 1.902
MLE for α 2.466 1.411 1.878
Std-er 0.248 0.083 0.107
95% C.I Lower Upper 1.979 2.953 1.248 1.575 1.668 2.087
L 566.579 606.870 633.531 621.098 620.466 587.652 586.855 577.011
A * 1135.157 1215.740 1269.061 1244.195 1242.932 1179.304 1177.711 1158.023
CA * 1135.171 1215.754 1269.075 1244.208 1242.945 1179.344 1177.751 1158.063
B * 1138.874 1219.457 1272.778 1247.912 1246.649 1186.738 1185.145 1165.457
H * 1136.644 1217.227 1270.548 1245.682 1244.419 1182.278 1180.684 1160.997
χ 2 8.181 92.204 128.631 115.896 109.333 44.784 41.868 25.019
DV66746666
PV 0.225 ≤0.001≤0.001≤0.001≤0.001≤0.001≤0.001≤0.001
Table 13. CVE for data set III.
Table 13. CVE for data set III.
No. EF
XOFMLEMoEProELSEWLSECVME
0 89 80.319 80.467 88.839 57.517 60.347 57.517
1 79 78.626 78.674 81.090 68.763 70.282 68.763
2 49 57.163 57.147 56.045 57.568 57.777 57.568
3 29 36.851 36.812 34.515 42.163 41.624 42.163
4 19 22.251 22.210 19.946 28.771 27.957 28.771
5 17 12.891 12.858 11.071 18.790 17.977 18.790
6 9 7.259 7.235 5.976 11.910 11.222 11.910
7 6 4.004 3.988 3.161 7.387 6.855 7.387
8 6 2.173 2.163 1.646 4.507 4.119 4.507
9 1 2.463 2.446 1.711 6.624 5.840 6.624
Total 304 304 304 304 304 304 304
β 0.482 0.485 0.463 0.541 0.533 0.541
χ 2 8.181 8.209 13.017 30.135 24.197 30.135
DV666777
PV 0.225 0.223 0.042 ≤0.001 0.001 ≤0.001
Table 14. Descriptive statistics for data set III.
Table 14. Descriptive statistics for data set III.
E ( X ) V ( X ) I ( X ) C ( X ) S ( X )
Data 1.901316 4.122242 2.168099 1.067856 1.263883
MLE 1.874529 3.606015 1.923690 1.013028 1.502944
MoE 1.901373 3.674830 1.932725 1.008211 1.499399
ProE 1.710994 3.197583 1.868845 1.045110 1.527590
LSE 2.459262 5.227293 2.125553 0.929680 1.448801
WLSE 2.372434 4.969632 2.094739 0.939653 1.454364
CVME 2.459263 5.227294 2.125553 0.929680 1.448801
Table 15. The MLEs, Std-er, C.I, and GOF measures for data set IV.
Table 15. The MLEs, Std-er, C.I, and GOF measures for data set IV.
NDsLEDsIRDsPaPoiDsBHDsB-IIDsIWDsLogL
MLE for β 0.869 3.374 × 10 7 0.655 13.750 0.997 0.996 0.004 9.602
Std-er 0.019 0.035 0.0619 0.829 0.012 0.098 0.007 2.326
95% C.I Lower Upper 0.831 0.907 0.000 0.069 0.534 0.777 12.125 15.375 0.973 1.000 0.804 1.000 0.000 0.018 5.043 14.160
MLE for α 103.479 1.007 1.639
Std-er 1.516 0.175 0.302
95% C.I Lower Upper 100.507 106.451 0.664 1.351 1.047 2.231
L 74.276 85.086 84.582 145.432 94.635 79.973 74.797 74.269
A * 150.551 172.171 171.165 292.865 191.269 163.947 153.593 152.538
CA * 150.773 172.394 171.387 293.087 191.492 164.653 154.299 153.244
B * 151.547 173.167 172.161 293.861 192.265 165.938 155.585 154.529
H * 150.745 172.366 171.359 293.059 191.464 164.335 153.982 152.927
K–S 0.143 0.482 0.372 0.379 0.669 0.334 0.197 0.189
PV 0.809 <0.001 0.008 0.006 <0.001 0.013 0.402 0.498
Table 16. CVE for data set IV.
Table 16. CVE for data set IV.
MLEMoEProELSEWLSECVM
β 0.869 0.849 0.773 0.844 0.856 0.843
K–S 0.143 0.161 0.227 0.156 0.169 0.155
PV 0.809 0.676 0.253 0.718 0.613 0.726
Table 17. Descriptive statistics for data set IV.
Table 17. Descriptive statistics for data set IV.
E ( X ) V ( X ) I ( X ) C ( X ) S ( X )
Data 1.901316 4.122242 2.168099 1.067856 1.263883
MLE 1.874529 3.606015 1.923690 1.013028 1.502944
MoE 1.901373 3.674830 1.932725 1.008211 1.499399
ProE 1.710994 3.197583 1.868845 1.045110 1.527590
LSE 2.459262 5.227293 2.125553 0.929680 1.448801
WLSE 2.372434 4.969632 2.094739 0.939653 1.454364
CVME 2.459263 5.227294 2.125553 0.929680 1.448801
Publisher’s Note: MDPI stays neutral with regard to jurisdictional claims in published maps and institutional affiliations.

Share and Cite

MDPI and ACS Style

El-Morshedy, M. A Discrete Linear-Exponential Model: Synthesis and Analysis with Inference to Model Extreme Count Data. Axioms 2022, 11, 531. https://doi.org/10.3390/axioms11100531

AMA Style

El-Morshedy M. A Discrete Linear-Exponential Model: Synthesis and Analysis with Inference to Model Extreme Count Data. Axioms. 2022; 11(10):531. https://doi.org/10.3390/axioms11100531

Chicago/Turabian Style

El-Morshedy, Mahmoud. 2022. "A Discrete Linear-Exponential Model: Synthesis and Analysis with Inference to Model Extreme Count Data" Axioms 11, no. 10: 531. https://doi.org/10.3390/axioms11100531

APA Style

El-Morshedy, M. (2022). A Discrete Linear-Exponential Model: Synthesis and Analysis with Inference to Model Extreme Count Data. Axioms, 11(10), 531. https://doi.org/10.3390/axioms11100531

Note that from the first issue of 2016, this journal uses article numbers instead of page numbers. See further details here.

Article Metrics

Back to TopTop