Forecasting Economic Growth of the Group of Seven via Fractional-Order Gradient Descent Approach
Abstract
:1. Introduction
The Group of Seven (G7)
2. Model Describes
- : land area (km)
- : arable land (hm)
- : population
- : school attendance (years)
- : gross capital formation (in 2010 US$)
- : exports of goods and services (in 2010 US$)
- : general government final consumer spending (in 2010 US$)
- : broad money (in 2010 US$)
3. Fractional-Order Derivative
4. Gradient Descent Method
4.1. The Cost Function
4.2. The Integer-Order Gradient Descent
4.3. The Fractional-Order Gradient Descent
5. Model Evaluation Indexes
6. Main Results
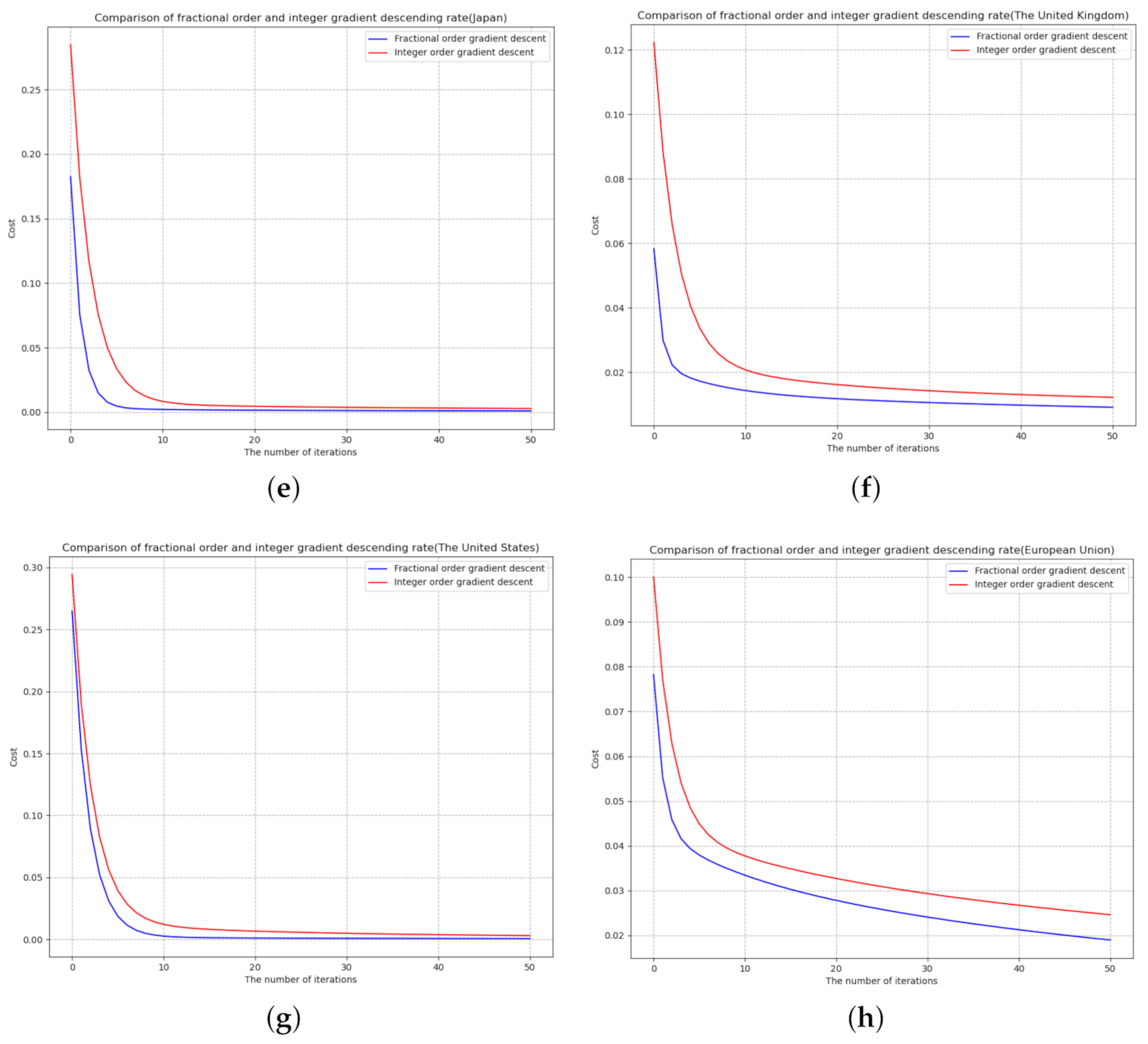
6.1. Comparison of Convergence Rate of Fractional and Integer Order Gradient Descent
6.2. Fitting Result
6.3. Predicted Results
7. Conclusions
Author Contributions
Funding
Institutional Review Board Statement
Informed Consent Statement
Data Availability Statement
Acknowledgments
Conflicts of Interest
References
- Wang, J.; Ahmed, G.; O’Regan, D. Topological structure of the solution set for fractional non-instantaneous impulsive evolution inclusions. J. Fixed Point Theory Appl. 2018, 20, 1–25. [Google Scholar] [CrossRef]
- Li, M.; Wang, J. Representation of solution of a Riemann-Liouville fractional differential equation with pure delay. Appl. Math. Lett. 2018, 85, 118–124. [Google Scholar] [CrossRef]
- Yang, D.; Wang, J.; O’Regan, D. On the orbital Hausdorff dependence of differential equations with non-instantaneous impulses. C. R. Acad. Sci. Paris, Ser. I 2018, 356, 150–171. [Google Scholar] [CrossRef]
- You, Z.; Fečkan, M.; Wang, J. Relative controllability of fractional-order differential equations with delay. J. Comput Appl. Math. 2020, 378, 112939. [Google Scholar] [CrossRef]
- Wang, J.; Fečkan, M.; Zhou, Y. A Survey on impulsive fractional differential equations. Frac. Calc. Appl. Anal. 2016, 19, 806–831. [Google Scholar] [CrossRef]
- Victor, S.; Malti, R.; Garnier, H.; Outstaloup, A. Parameter and differentiation order estimation in fractional models. Automatica 2013, 49, 926–935. [Google Scholar] [CrossRef]
- Tang, Y.; Zhen, Y.; Fang, B. Nonlinear vibration analysis of a fractional dynamic model for the viscoelastic pipe conveying fluid. Appl. Math. Model. 2018, 56, 123–136. [Google Scholar] [CrossRef]
- Li, W.; Ning, J.; Zhao, G.; Du, B. Ship course keeping control based on fractional order sliding mode. J. Shanghai Marit. Univ. 2020, 41, 25–30. [Google Scholar]
- Yasin, F.; Ali, A.; Kiavash, F.; Rohollah, M.; Ami, R. A fractional-order model for chronic lymphocytic leukemia and immune system interactions. Math. Methods Appl. Sci. 2020, 44, 391–406. [Google Scholar]
- Chen, L.; Altaf, M.; Abdon, A.; Sunil, K. A new financial chaotic model in Atangana-Baleanu stochastic fractional differential equations. Alex. Eng. 2021, 60, 5193–5204. [Google Scholar]
- Pu, Y.; Zhang, N.; Zhang, Y.; Zhou, J. A texture image denoising approach based on fractional developmental mathematics. Pattern Anal. Appl. 2016, 19, 427–445. [Google Scholar] [CrossRef]
- Cui, R.; Wei, Y.; Chen, Y. An innovative parameter estimation for fractional-order systems in the presence of outliers. Nonlinear Dyn. 2017, 89, 453–463. [Google Scholar] [CrossRef]
- Wang, J.; Wen, Y.; Gou, Y.; Ye, Z.; Chen, H. Fractional-order gradient descent learning of BP neural networks with Caputo derivative. Neural Netw. 2017, 89, 19–30. [Google Scholar] [CrossRef] [PubMed]
- Guo, J.; Dong, B. International rice price forecast based on SARIMA model. Price Theory Pract. 2019, 1, 79–82. [Google Scholar]
- Xu, Y.; Chen, Y. Comparison between seasonal ARIMA model and LSTM neural network forecast. Stat. Decis. 2021, 2, 46–50. [Google Scholar]
- Wang, X.; Wang, J.; Fečkan, M. BP neural network calculus in economic growth modeling of the Group of Seven. Mathematics 2020, 8, 37. [Google Scholar] [CrossRef] [Green Version]
- Boroomand, A.; Menhaj, M. Fractional-order Hopfield neural networks. In Advances in Neuro-Information Processing, ICONIP 2008; Lecture Notes in Computer Science; Springer: Berlin/Heidelberg, Germany, 2009; Volume 5506, pp. 883–890. [Google Scholar]
- Tejado, I.; Pérez, E.; Valério, D. Fractional calculus in economics growth modeling of the Group of Seven. Fract. Calc. Appl. Anal. 2019, 22, 139–157. [Google Scholar] [CrossRef]
- Ming, H.; Wang, J.; Fečkan, M. The application of fractional calculus in Chinese economic growth models. Mathematics 2019, 7, 665. [Google Scholar] [CrossRef] [Green Version]



| Country | Learning Rate | Initial Interval | |
|---|---|---|---|
| Canada | 0.8 | 0.03 | |
| France | 0.8 | 0.03 | |
| Germany | 0.8 | 0.03 | |
| Italy | 0.8 | 0.03 | |
| Japan | 0.8 | 0.03 | |
| The United Kingdom | 0.8 | 0.03 | |
| The United States | 0.8 | 0.03 | |
| European Union | 0.8 | 0.03 |
| Canada | France | Germany | Italy | |||||
| Index | Integer (4) | Fractional (6) | Integer (4) | Fractional (6) | Integer (4) | Fractional (6) | Integer (4) | Fractional (6) |
| () | 2.2548 | 1.5689 | 7.3396 | 4.3851 | 7.6262 | 6.8976 | 3.2521 | 2.701 |
| 0.9984 | 0.9989 | 0.9971 | 0.9983 | 0.9981 | 0.9983 | 0.9974 | 0.9978 | |
| () | 1.1015 | 0.9066 | 2.2076 | 1.68 | 2.2824 | 2.0203 | 1.4947 | 1.3146 |
| Japan | The United Kingdom | The United States | European Union | |||||
| Index | Integer (4) | Fractional (6) | Integer (4) | Fractional (6) | Integer (4) | Fractional (6) | Integer (4) | Fractional (6) |
| () | 19.9103 | 16.6656 | 15.2421 | 13.7876 | 98.4201 | 60.7402 | 197.9143 | 90.5717 |
| 0.9986 | 0.9989 | 0.9946 | 0.9951 | 0.9993 | 0.9995 | 0.9983 | 0.9992 | |
| () | 3.8663 | 3.2745 | 3.1182 | 2.9489 | 7.8593 | 5.714 | 11.8393 | 7.2684 |
| Country | Year | Actual Value | Predicted Value | |||
|---|---|---|---|---|---|---|
| Integer | Fractional | Integer | Fractional | |||
| 2017 | 1869939124387.55 | 1851176120948 | 1865471720455.36 | 0.01003 | 0.00239 | |
| Canada | 2018 | 1907592951375.51 | 1885635961969.18 | 1897212921116.78 | 0.01151 | 0.00544 |
| 2019 | 1939183469806.34 | 1913183323405.81 | 1924536620147.11 | 0.01341 | 0.00755 | |
| 2017 | 2876185347152.35 | 2945583296625 | 2913853765393.87 | 0.02313 | 0.01211 | |
| France | 2018 | 2927751436718.37 | 2987173241226.19 | 2955215192748.21 | 0.0193 | 0.0084 |
| 2019 | 2971919320115.83 | 3052414282679.98 | 3007640733954.07 | 0.02608 | 0.01103 | |
| 2017 | 3873475897139.37 | 3992089822476.93 | 3987473981388.45 | 0.03062 | 0.02943 | |
| Germany | 2018 | 3922591386837.48 | 4035516755191.92 | 4019973502352.35 | 0.02879 | 0.02483 |
| 2019 | 3944379455526.15 | 4007551577032.44 | 3942199462068.09 | 0.01602 | 0.00055 | |
| 2017 | 2124019926800.66 | 2152553322306.66 | 2148504123256.22 | 0.01343 | 0.01053 | |
| Italy | 2018 | 2144072575240.17 | 2184791916115.44 | 2178336024841.51 | 0.01899 | 0.01598 |
| 2019 | 2151420719257.08 | 1694388219398.54 | 1946816137097.53 | 0.21243 | 0.0951 | |
| 2017 | 6150456276847.65 | 6246751221623.44 | 6217262375879.73 | 0.01566 | 0.01086 | |
| Japan | 2018 | 6170335002849.18 | 6302599251651.13 | 6266099914852.53 | 0.02144 | 0.01552 |
| 2019 | 6210698351093.34 | 6274298653661.42 | 6272342082178.18 | 0.01411 | 0.01379 | |
| 2017 | 2841238185971.41 | 2714332507299.13 | 2737032647202.61 | 0.04467 | 0.03668 | |
| The United Kingdom | 2018 | 2879331251695.23 | 2735833239476.11 | 2760916583838.65 | 0.04984 | 0.041126 |
| 2019 | 2921446026408.24 | 2784137398857.08 | 2812534141119.14 | 0.047 | 0.03728 | |
| 2017 | 17403783207186.7 | 17154216039682.2 | 17344565695242.3 | 0.01434 | 0.0034 | |
| The United States | 2018 | 17913248631409.5 | 17681187933498.6 | 17835485270334.4 | 0.01725 | 0.00434 |
| 2019 | 18300385513295.6 | 18004286468803.1 | 18168502346487.9 | 0.01618 | 0.00721 | |
| 2017 | 16012037378199.3 | 17983491434848.4 | 18072460558164 | 0.04479 | 0.04006 | |
| European Union | 2018 | 16351210756244.2 | 18105516308926.6 | 18296349316535.8 | 0.05715 | 0.04272 |
| 2019 | 16605351894524 | 18828265531889.1 | 19241290506759 | 0.03446 | 0.01328 | |
Publisher’s Note: MDPI stays neutral with regard to jurisdictional claims in published maps and institutional affiliations. |
© 2021 by the authors. Licensee MDPI, Basel, Switzerland. This article is an open access article distributed under the terms and conditions of the Creative Commons Attribution (CC BY) license (https://creativecommons.org/licenses/by/4.0/).
Share and Cite
Wang, X.; Fečkan, M.; Wang, J. Forecasting Economic Growth of the Group of Seven via Fractional-Order Gradient Descent Approach. Axioms 2021, 10, 257. https://doi.org/10.3390/axioms10040257
Wang X, Fečkan M, Wang J. Forecasting Economic Growth of the Group of Seven via Fractional-Order Gradient Descent Approach. Axioms. 2021; 10(4):257. https://doi.org/10.3390/axioms10040257
Chicago/Turabian StyleWang, Xiaoling, Michal Fečkan, and JinRong Wang. 2021. "Forecasting Economic Growth of the Group of Seven via Fractional-Order Gradient Descent Approach" Axioms 10, no. 4: 257. https://doi.org/10.3390/axioms10040257
APA StyleWang, X., Fečkan, M., & Wang, J. (2021). Forecasting Economic Growth of the Group of Seven via Fractional-Order Gradient Descent Approach. Axioms, 10(4), 257. https://doi.org/10.3390/axioms10040257

