Bundles over Quantum RealWeighted Projective Spaces
Abstract
:1. Introduction
-grading of this coordinate algebra. A typical
-grading assigns degree ±1 to every generator of this algebra (different from the identity). The degree zero part forms a subalgebra which in particular cases corresponds to quantum complex or real projective spaces (grading of coordinate algebras of quantum spheres [1] or prolonged quantum spheres [2]). Often this grading is strong, meaning that the product of
-graded parts is equal to the
-part of the total algebra. In geometric terms this reflects the freeness of the circle action.
(
a positive integer) and
(
an odd positive integer) identified in [3] as fixed points of weighted circle actions on the coordinate algebra
of a non-orientable quantum Seifert manifold described in [2]. Our aim is to construct quantum
-principal bundles over the corresponding quantum spaces
and describe associated line bundles. Recently, the importance of such bundles in non-commutative geometry was once again brought to the fore in [5], where the non-commutative Thom construction was outlined. As a further consequence of the principality of
-coactions we also deduce that
can be understood as quotients of
by almost free
-actions.
in Section 3. Section 4 contains main results including construction of principal comodule algebras over
. We observe that constructions albeit very similar in each case yield significantly different results. The principal comodule algebra over
is non-trivial while that over
turns out to be trivial (this means that all associated bundles are trivial, hence we do not mention them in the text). Whether it is a consequence of our particular construction or there is a deeper (topological or geometric) obstruction to constructing non-trivial principal circle bundles over
remains an interesting open question.2. Review of Bundles in Non-Commutative Geometry
2.1. Topological Aspects of Bundles
where
and
are topological spaces and
is a continuous surjective map. Here
is called the base space,
the total space and
the projection of the bundle.
, the fibre over
is the topological space
, i.e., the points on the total space which are projected, under
, onto the point
in the base space. A bundle whose fibres are homeomorphic which satisfies a condition known as local triviality are known as fibre bundles. This is formally expressed in the next definition.
where
is bundle and
is a topological space such that
are homeomorphic to
for each
. Furthermore,
satisfies the local triviality condition.
, there is an open neighourhood
such that
is homeomorphic to the product space
, in such a way that
carries over to the projection onto the first factor. That is the following diagram commutes:
is the natural projection
and
is a homeomorphism.
is homeomorphic to
and the Mobius strip is a fibre bundle.
be a topological space which is compact and satisfies the Hausdorff property and G a compact topological group. Suppose there is a right action
of
on
and write
.
on
is said to be free if
for any
implies that
, the group identity.
is defined as
.
acts freely on
if and only if
is injective.
" Suppose the action is free, hence
implies that
. If
, then
and
. Applying the action of
to both sides of
we get
, which implies
by the freeness property, concluding
and
is injective as required.
" Suppose
is injective, so
or
implies
and
. Since
from the properties of the action, if
then
from the injectivity property.
acts on
we can define the quotient space
,
are called the orbits of the points
. They are defined as the set of elements in
to which
can be moved by the action of elements of
. The set of orbits of
under the action of
forms a partition of
, hence we can define the equivalence relation on
as,
and
are in the same orbit, i.e.,
. Given any quotient space, then there is a canonical surjective map
to their orbits. We define the pull-back along this map
to be the set
contains elements of
in the first leg and the action of
on
in the second leg. To put it another way, the image records elements of
in the first leg and all the elements in the same orbit as this
in the second leg. Hence we can identify the image of the canonical map as the pull back along
, namely
. This is formally proved as a part of the following proposition.
acts freely on
if and only if the map
is well-defined since the elements
and
are in the same orbit and hence map to the same equivalence class under
. Using Proposition 2.5 we can deduce that the injectivity of
is equivalent to the freeness of the action. Hence if we can show that
is surjective the proof is complete.
. This means
, which implies
and
are in the same equivalence class, which in turn means they are in the same orbit. We can therefore deduce that
for some
. So,
implying
. Hence
completing the proof.
on
is said to be principal if the map
is both injective and continuous (and such that the inverse image of a compact subset is compact in a case of locally compact spaces).
from
onto the space
. Principal actions lead to the concept of topological principle bundles.
such that- (a)
is a bundle and
is a topological group acting continuously on
with action
,
;
- (b) the action
is principal;
- (c)
such that
;
- (d) the induced map
is a homeomorphism.
on the total space
, i.e., principal bundles correspond to principal actions. By Definition
, principal actions occur when the principal map is both injective and continuous, or equivalently, when the action is free and continuous. The third property ensures that the fibres of the bundle correspond to the orbits coming from the action and the final property implies that the quotient space can topologically be viewed as the base space of the bundle.
is a topological space and
a topological group which acts on
from the right. The triple
where
is the orbit space and
the natural projection is a bundle. A principal action of
on
makes the quadruple
a principal bundle.
as a
-principal bundle over
, or
as a
-principal bundle over
.
where each fibre
is endowed with a vector space structure such that addition and scalar multiplication are continuous maps.
-principal bundle
and let
be a representation space of
, i.e., a (topological) vector space with a (continuous) left
-action
,
. Then
acts from the right on
by
and a surjective (continuous map)
,
and thus have a fibre bundle
. In the case where
is a vector space, we assume that
acts linearly on
.
is a continuous map
such that, for all
,
. The set of sections of
is denoted by
.
associated to a principal
-bundle
are in bijective correspondence with (continuous) maps
such that
-equivariant maps are denoted by
.
. Given a map
, define the section
, 
, define
by assigning to
a unique
such that
. Note that
is unique, since if
, then
and
. Freeness implies that
, hence
. The map
has the required equivariance property, since the element of
corresponding to
is
. 2.2. Non-Commutative Principal and Associated Bundles
is a complex affine variety with an action of an affine algebraic group
and set
(all with the usual Euclidean topology). Let
,
and
be the corresponding coordinate rings. Put
and
and note the identification
. Through this identification,
is a Hopf algebra with comultiplication:
, counit
,
, and the antipode
,
.
acts on
we can construct a right coaction of
on
by
,
. This coaction is an algebra map due to the commutativity of the algebras of functions involved.
and
, next we view the space of functions on Y,
, where
.
is a subalgebra of
by
is the canonical surjection defined above. The map
is injective, since
in
means there exists at least one orbit
such that
, but
, so
which implies
. Therefore, we can identify
with
. Furthermore,
if and only if
,
. This is the same as
,
, where
is the unit function
(the identity element of
). Thus we can identify
with the coinvariants of the coaction
:
is a subalgebra of
, it acts on
via the inclusion map
,
. We can identify
with
by the map
is well defined because
. Proposition 2.6 immediately yields
on
is free if and only if
,
is bijective.
on
, we can identify
with the canonical map
on
is free if and only if this purely algebraic map is bijective. In the classical geometry case we take
,
and
, but in general there is no need to restrict oneself to commutative algebras (of functions on topological spaces). In full generality this leads to the following definition.
be a Hopf algebra and
a right
-comodule algebra with coaction
. Let
, the coinvariant subalgebra of
. We say that
is a Hopf–Galois extension if the left
-module, right
-comodule map
be a Hopf algebra with bijective antipode and let
be a right
-comodule algebra with coaction
. Let
denote the coinvariant subalgebra of
. We say that
is a principal
-comodule algebra if:- (a)
is a Hopf–Galois extension;
- (b) the multiplication map
,
, splits as a left
-module and right
-comodule map (the equivariant projectivity condition).
is the Hopf algebra associated to a
-algebra of functions on a quantum group [10], then the existence of the Haar measure together with the results of [8] mean that condition (a) in Definition 2.15 implies condition (b) (i.e., the freeness of the coaction implies its principality).
-comodule algebra
with coaction
is principal if and only if it admits a strong connection form, that is if there exists a map
such that
denotes the multiplication map,
is the unit map,
is the comultiplication,
counit and
the (bijective) antipode of the Hopf algebra
, and
is the flip.
exists, then the inverse of the canonical map
(see Definition 2.14 ) is the composite
is a principal comodule algebra, then
is the composite
is the left
-linear right
-colinear splitting of the multiplication
.
be a right
-comodule algebra. The space of
-linear maps
is an algebra with the convolution product
.
is said to be cleft if there exists a right
-colinear map
that has an inverse in the convolution algebra
and is normalised so that
. Writing
for the convolution inverse of
, one easily observes that
is called a cleaving map or a normalised total integral.
is an
-colinear algebra map, then it is automatically convolution invertible (as
) and normalised. A comodule algebra
admitting such a map is termed a trivial principal comodule algebra.
be a Hopf algebra of the compact quantum group. By the Woronowicz theorem [10],
admits an invariant Haar measure, i.e., a linear map
such that, for all
,
is the Sweedler notation for the comultiplication. Next, assume that the lifted canonical map:
-linear map such that
, for all
. Then, by the Schneider theorem [8],
is a principal
-comodule algebra. Explicitly, a strong connection form is
; see [13].
associated to a principal
-bundle
. Since
is a vector representation space of
, also the set
is a vector space. Consequently
is a vector space. Furthermore,
is a left module of
with the action
To understand better the way in which
-module
is associated to the principal comodule algebra
we recall the notion of the cotensor product.
, right
-comodule
with coaction
and left
-comodule
with coaction
, the cotensor product is defined as an equaliser:
is an
-comodule algebra, and
, the
is a left
-module with the action
In particular, in the case of a principal
-bundle
over
, for any left
-comodule
the cotensor product
is a left
-module.
of a vector bundle
associated to a principal
-bundle
is finite dimensional. View
as a left comodule of
with the coaction
(summation implicit) determined by
Then the left
-module of sections
is isomorphic to the left
-module
.
with
. Let
be a (finite) dual basis. Take
, and define
.
-module map
be a principal
-comodule algebra. Set
and let
be a left
-comodule. The left
-module
is called a module associated to the principal comodule algebra
.
is a projective left
-module, and if
is a finite dimensional vector space, then
is a finitely generated projective left
-module. In this case it has the meaning of a module of sections over a non-commutative vector bundle. Furthermore, its class gives an element in the
-group of
. If
is a cleft principal comodule algebra, then every associated module is free, since
as a left
-module and right
-comodule, so that
3. Weighted Circle Actions on Prolonged Spheres.
3.1. Circle Actions and
-Gradings.
,
can be identified with the
-algebra
of Laurent polynomials in a unitary variable
(unitary means
). As a Hopf
-algebra
, is generated by the grouplike element
, i.e.,
. As a consequence of this interpretation of
, an algebra
is a
-comodule algebra if and only if
is a
-graded algebra,
is the coinvariant subalgebra of
. Since
is spanned by grouplike elements, any convolution invertible map
must assign a unit (invertible element) of
to
. Furthermore, colinear maps are simply the
-degree preserving maps, where
. Put together, convolution invertible colinear maps
are in one-to-one correspondence with sequences
3.2. The
and
Coordinate Algebras
be a real number,
. The coordinate algebra
of the even-dimensional quantum sphere is the unital complex
-algebra with generators
, subject to the following relations:
is a
-graded algebra with
and so is
(with
). In other words,
is a right
-comodule algebra and
is a left
-comodule algebra, hence one can consider the cotensor product algebra
. It was shown in [2] that, as a unital
-algebra,
has generators
and a central unitary
which are related in the following way:
pairwise coprime numbers
one can define the coaction of the Hopf algebra
on
as
. This coaction is then extended to the whole of
so that
is a right
-comodule algebra.
containing all coinvariant elements, i.e.,
3.3. The 2D Quantum Real Projective Space ![Axioms 01 00201 i365]()
which is generated by
and central unitary
such that
is
of coprime positive integers, the coaction
is given on generators by
so that the coaction is a
-algebra map. We denote the comodule algebra
with coaction
by
.
but instead whether
is either even or odd, and hence only cases
and
need to be considered [3]. We describe these cases presently.3.3.1. The Odd or Negative Case
,
is a polynomial
-algebra generated by
,
,
which satisfy the relations:
into
or the isomorphism of
with the coinvariants of
is provided by
has the following irreducible
-representations. There is a family of one-dimensional representations labelled by
and given by
, and given by
,
, is an orthonormal basis for the representation space
.
-algebra of continuous functions on
, obtained as the completion of these bounded representations, can be identified with the pullback of
-copies of the quantum real projective plane
introduced in [14].3.3.2. The Even or Positive Case
and hence
odd,
is a polynomial
-algebra generated by
,
which satisfy the relations:
into
or the isomorphism of
with the coinvariants of
is provided by
case, there is a family of one-dimensional representations of
labelled by
and given by
, and given by
,
is an orthonormal basis for the representation space
.
-algebra
of continuous functions on
, obtained as the completion of these bounded representations, can be identified with the pullback of
-copies of the quantum disk
introduced in [15]. Furthermore,
can also be understood as the quantum double suspension of
points in the sense of [16, Definition 6.1].4. Quantum Real Weighted Projective Spaces and Quantum Principal Bundles
and fibre structures given by the circle Hopf algebra
. The question arises as to which quantum space (i.e., a
-comodule algebra with coinvariants isomorphic to
) we should consider as the total space within this construction. We look first at the coactions of
on
that define
, i.e., at the comodule algebras
. 4.1. The (Non-)Principality of ![Axioms 01 00201 i439]()
is a principal comodule algebra if and only if
.
is a prolongation of the
-comodule algebra
. The latter is a principal comodule algebra (over the quantum real projective plane
[14]) and since a prolongation of a principal comodule algebra is a principal comodule algebra [8, Remark 3.11], the coaction
is principal as stated.
, i.e., it cannot be surjective since we know
is in the codomain. We begin by identifying a basis for the algebra
; observing the relations in Equations (6a) and (6b) it is clear that a basis for
is given by elements of the form
is given by elements of the form
, where
. Applying the canonial map gives
means
for simplicity of notation. The next stage is to construct all possible elements in
which map to
. To obtain the identity in the first leg we must use one of the following relations:
and
to be equal. We now construct all possible elements of the domain which map to
after applying the canonical map.
(
); this can be done in fours ways. First, using
,
,
and
. Now,
cannot be obtained as an element of the image of the canonical map in this case.
(
); this can be done in four ways
,
,
and
. Now,
is not a problem provided
is not equal to
. This is reviewed at the next stage of the proof. The same conclusion is reached in all four cases.
appears only when
, in which case the relation simplifies to
, so the next stage involves constructing elements in the domain which map to
. There are eight possibilities altogether to be checked:
,
,
,
,
,
,
and
. The first case gives:
cannot be obtained as an element in the image in this case. Similar calculations for the remaining possibilities show that either
is not in the image of the canonical map, or that if
is in the image then
.
, using the third relation, could be in the image of the canonical map. All possible elements in the domain which could potentially map to this element are constructed and investigated. There are eight possibilities:
,
,
,
,
,
,
and
. The first possibility comes out as
, which is contained in
, is not in the image of the canonical map, proving that this map is not surjective and ultimately not an isomorphism when
and
are both not simultaneously equal to
, completing the proof that
is not a principal comodule algebra in this case.
as our total space, then we are forced to put
to ensure that the required Hopf–Galois condition does not fail. A consequence of this would be the generators
and
would have
-degree
. This suggests that the comodule algebra
is too restrictive as there is no freedom with the weights
or
, and that we should in fact consider a subalgebra of
which admits a
-coaction that would offer some choice. Theorem 4.1 indicates that the desired subalgebra should have generators with grades
to ensure the Hopf–Galois condition is satisfied. This process is similar to that followed in [4], where the bundles over the quantum teardrops
have the total spaces provided by the quantum lens spaces and structure groups provided by the circle group
. We follow a similar approach in the sense that we view
as a right
-comodule algebra, where
is the Hopf algebra of a suitable cyclic group. 4.2. The Negative Case ![Axioms 01 00201 i523]()
4.2.1. The Principal
-Comodule Algebra over ![Axioms 01 00201 i381]()
-algebra
which is generated by unitary grouplike element
and satisfies the relation
. The algebra
is a right
-comodule
-algebra with coaction
-degree of the generator
is determined by the degree of
: the relation
and that the coaction must be compatible with all relations imply that
. Since
has degree zero,
must also have degree zero.
given the coaction defined above.
, generated by
,
and
subject to the following relations
is central unitary. The embedding of
into
is given by
,
and 
,
,
and
are coinvariant elements of
. Apply the coaction to the basis (7) to obtain
. Hence every coinvariant element is a polynomial in
,
,
and
. Equations (20) are now easily derived from Equations (6) and (18).
is a right
-comodule coalgebra with coaction defined as
must be double the grade of
since
and
have degree zero, and so
of invariant elements under the coaction
is isomorphic to the
.
-subalgebra of
of elements which are invariant under the coaction is generated by
,
and
. The isomorphism of
with
is then obtained by using the embedding of
in
described in Proposition 4.2, i.e.,
,
and
.
is spanned by elements of the type
,
, where
and
. Applying the coaction
to these basis elements gives
Hence
is
-invariant if and only if
. If
is even, then
is even and
is odd, then so is
and
is dealt with similarly, thus proving that all coinvariants of
are polynomials in
,
,
and their
-conjugates.
is a non-cleft principal
-comodule algebra over
via the coaction
.
is a principal
-comodule algebra over
we employ Proposition 2.16 and construct a strong connection form as follows.
recursively as follows.
and, for all
, the deformed or q-binomial coefficients
are defined by the following polynomial equality in indeterminate 
has been designed such that normalisation property, Equation (1a), is automatically satisfied. To check Equation (1b) for
given by Equation (22b) and (22c) takes a bit more work. We use proof by induction, but first have to derive an identity to assist with the calculation. Set
,
in Equation (23) to arrive at
. By Equation (24)
providing the basis. Next, we assume that the relation holds for
, that is
, and consider the case
,
, where
. To show this property holds for each
we adopt the same strategy; this is omitted from the proof as it does not provide further insight, instead repetition of similar arguments.
to
gives
given by Equation (22b) when
. We now assume the property holds for
, hence
, and consider the case
.
where
. The case for
is proved in a similar manner, as is Equation (1d). Again, the details are omitted as the process is identical. This completes the proof that
is a strong connection form, hence
is a principal comodule algebra.
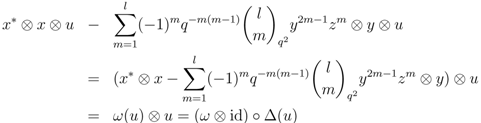
. Since
are scalar multiples of
for
, we can conclude that the only invertible elements in
are the elements of the form
. These elements correspond to the elements
in
, which in turn correspond to
in
.
is the cleaving map; to ensure the map is convolution invertible we are forced to put
. Since
has degree
in
and
has degree
in
, the map
fails to preserve the degrees, hence it is not colinear. Therefore,
is a non-cleft principal comodule algebra. 4.2.2. Almost Freeness of the Coaction ![Axioms 01 00201 i647]()
, the algebras
represent singular manifolds or orbifolds. It is known that every orbifold can be obtained as a quotient of a manifold by an almost free action. The latter means that the action has finite (rather than trivial as in the free case) stabiliser groups. As explained in Section 2, on the algebraic level, freeness is encoded in the bijectivity of the canonical map
, or, more precisely, in the surjectivity of the lifted canonical map
(Equation (2)). The surjectivity of
means the triviality of the cokernel of
, thus the size of the cokernel of
can be treated as a measure of the size of the stabiliser groups. This leads to the following notion proposed in [4].
be a Hopf algebra and let
be a right
-comodule algebra with coaction
. We say that the coaction is almost free if the cokernel of the (lifted) canonical map
-module.
defined in the preceding section is free, at the classical limit
represents a singular manifold or an orbifold. On the other hand, at the same limit,
corresponds to a genuine manifold, one of the Seifert three-dimensional non-orientable manifolds; see [17]. It is therefore natural to ask, whether the coaction
of
on
which has
as fixed points is almost free in the sense of Definition 4.5.
is almost free.
, the
-algebra embedding described in Proposition 4.2. One easily checks that the following diagram
, is commutative. The principality or freeness of
proven in Theorem 4.4 implies that
,
, where
is the (lifted) canonical map corresponding to coaction
. This means that
. Therefore, there is a short exact sequence of left
-modules
-module
is finitely generated, hence so is
. 4.2.3. Associated Modules or Sections of Line Bundles
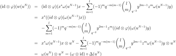
following the procedure outlined at the end of Section 2.2; see Definition 2.21.
is determined by the grading of a basis element of
, say
. More precisely, for any integer
,
is a left
-comodule with the coaction
with
we thus obtain, for each coaction 
consists of all elements of
of
-degree
. In particular
. Each of the
is a finitely generated projective left
-module, i.e., it represents the module of sections of the non-commutative line bundle over
. The idempotent matrix
defining
can be computed explicitly from a strong connection form
(see Equations (22) in the proof of Theorem 4.4) following the procedure described in [11]. Write
. Then
and
, using Equations (22b) and (22a) as well as redistributing numerical coefficients we obtain
is not hermitian, the left-upper
block is hermitian. On the other hand, once
is completed to the
-algebra
of continuous functions on
(and then identified with the suitable pullback of two algebras of continuous functions over the quantum real projective space; see [3]), then a hermitian projector can be produced out of
by using the Kaplansky formula; see [18, page 88].
make up a cycle in the cyclic complex of
, whose corresponding class in the cyclic homology
is known as the Chern character of
. Again, as an illustration of the usage of an explicit form of a strong connection form, we compute the traces of
for general
.
is the class of the polynomial
in generator
of
, given by the following recursive formula. First,
, and then, for all positive
,
. By normalisation (22a) of the strong connection
, obviously
. In view of Equation (22b) we obtain the following recursive formula
could be a polynomial in
and
. However, the third of Equations (20) together with Equation (24) and identification of
as
yield
only. As commuting
and
through a polynomial in
in Equation (28) will produce a polynomial in
again, we conclude that each of the
is a polynomial in
. The second of Equations (20), the centrality of
and the identification of
as
imply that
4.3. The Positive Case ![Axioms 01 00201 i717]()
4.3.1. The Principal
-Comodule Algebra over ![Axioms 01 00201 i417]()
, and proceed by viewing
as a right
-comodule algebra, where
is a Hopf-algebra of a finite cyclic group. The aim is to construct the total space
of the bundle over
as the coinvariant subalgebra of
.
must contain generators
and
of
. Suppose
and
is a coaction. We require
to be compatible with the algebraic relations and to give zero
-degree to
and
are zero. These requirements yield
is odd, the simplest solution to these requirements is provided by
,
,
,
. This yields the coaction
(
) is the unitary generator of
.
is extended to the whole of
so that
is an algebra map, making
a right
-comodule algebra.
is isomorphic to the
-algebra
generated by
and central unitary
subject to the following relations:
and the coinvariant subalgebra of
is given by
,
and
.
,
,
and
are coinvariant elements of
. Apply the coaction
to the basis (7) to obtain
in the first case or
in the second. Since
is odd,
must be even and then
, hence the invariant elements must be of the form
is a right
-comodule with coaction defined as,
, however the second relation in Equations (30a) tells us that the grade of
must be the same as that of
since,
and
, have degree zero, as do the right had sides,
is defined setting the grades of
and
as 1, and putting the grade of
as
to ensure the coaction is compatible with the relations of the algebra
.
-comodule algebra
has
as its subalgebra of coinvariant elements under the coaction
.
under the coaction
are found using the same method as in the odd
case. A basis for the algebra
is given by
,
, where
and
.
to the first of these basis elements gives,
is equivalent to
. Simple substitution and re-arranging gives,
is a polynomial in
and
. Repeating the process for the second type of basis element gives the
-conjugates of
and
. Using Proposition 4.8 we can see that
and
.
case, although
is a principal comodule algebra it yields trivial principal bundle over
.
-comodule algebra
is trivial.
is central unitary in
, hence must be convolution invertible. Also,
is a right
-comodule map since,
is a trivial principal comodule algebra, all associated
-modules are free. 4.3.2. Almost Freeness of the Coaction ![Axioms 01 00201 i793]()
, the principality of
can be used to determine that the
-coaction
on
that defines
is almost free.
is almost free.
the
-algebra embedding described in Proposition 4.8. One easily checks that the following diagram
is commutative. By the arguments analogous to those in the proof of Proposition 4.6 one concludes that there is a short exact sequence of left
-modules
is the lifted canonical map corresponding to coaction
. The left
-module
is finitely generated, hence so is
. 5. Conclusions
-coactions on the coordinate algebra of the quantum Seifert manifold
weighted by coprime integers
and
. We concluded that the coaction is principal if and only if
, which corresponds to the case of a
-bundle over the quantum real projective plane. In all other cases the coactions are almost free. We identified subalgebras of
which admit principal
-coactions, whose invariants are isomorphic to coordinate algebras
of quantum real weighted projective spaces. The structure of these subalgebras depends on the parity of
. For the odd
case, the constructed principal comodule algebra
is non-trivial, while for the even case, the corresponding principal comodule algebra
turns out to be trivial. The triviality of
is a disappointment. Whether a different nontrivial principal
-comodule algebra over
can be constructed or whether such a possibility is ruled out by deeper geometric, topological or algebraic reasons remains to be seen. References
- Soibel’man, Y.S.; Vaksman, L.L. Algebra of functions on the quantum group SU(n + 1), and odd-dimensional quantum spheres. Algebra i Analiz 1990, 2, 101–120. [Google Scholar]
- Brzeziński, T.; Zieliński, B. Quantum principal bundles over quantum real projective spaces. J. Geom. Phys. 2012, 62, 1097–1107. [Google Scholar] [CrossRef]
- Brzeziński, T. Circle actions on a quantum Seifert manifold. In Proceedings of the Corfu Summer Institute 2011 School and Workshops on Elementary Particle Physics and Gravity, Corfu, Greece, 4-18 September 2011.
- Brzeziński, T.; Fairfax, S.A. Quantum teardrops. Comm. Math. Phys. in press.
- Beggs, E.J.; Brzeziński, T. Line bundles and the Thom construction in noncommutative geometry. J. Noncommut. Geom. in press.
- Baum, P.F.; Hajac, P.M.; Matthes, R.; Szymański, W. Noncommutative geometry approach to principal and associated bundles. 2007,arXiv:math/0701033. Available online: http://arxiv.org/abs/math/0701033 (accessed on 10 September 2012).
- Brzeziński, T.; Majid, S. Quantum group gauge theory on quantum spaces. Comm. Math. Phys. 1993, 157, 591–638. [Google Scholar] [CrossRef]
- Schneider, H.-J. Principal homogeneous spaces for arbitrary Hopf algebras. Israel J. Math. 1990, 72, 167–195. [Google Scholar] [CrossRef]
- Hajac, P.M. Strong connections on quantum principal bundles. Comm. Math. Phys. 1996, 182, 579–617. [Google Scholar] [CrossRef]
- Woronowicz, S.L. Compact matrix pseudogroups. Comm. Math. Phys. 1987, 111, 613–665. [Google Scholar] [CrossRef]
- Brzeziński, T.; Hajac, P.M. The Chern-Galois character. Comptes Rendus Math. (Acad. Sci. Paris Ser. I) 2004, 338, 113–116. [Google Scholar]
- Dąbrowski, L.; Grosse, H.; Hajac, P.M. Strong connections and Chern-Connes pairing in the Hopf–Galois theory. Comm. Math. Phys. 2001, 220, 301–331. [Google Scholar] [CrossRef]
- Beggs, E.J.; Brzeziński, T. An explicit formula for a strong connection. Appl. Categor. Str. 2008, 16, 57–63. [Google Scholar] [CrossRef]
- Hajac, P.M.; Matthes, R.; Szymański, W. Quantum real projective space, disc and spheres. Algebr. Represent. Theory 2003, 6, 169–192. [Google Scholar] [CrossRef]
- Klimek, S.; Leśniewski, A. A two-parameter quantum deformation of the unit disc. J. Funct. Anal. 1993, 115, 1–23. [Google Scholar] [CrossRef]
- Hong, J.H.; Szymański, W. Quantum spheres and projective spaces as graph algebras. Comm. Math. Phys. 2002, 232, 157–188. [Google Scholar] [CrossRef]
- Scott, P. The geometries of 3-manifolds. Bull. Lond. Math. Soc. 1983, 15, 401–487. [Google Scholar] [CrossRef]
- Gracia-Bondia, J.M.; Várilly, J.C.; Figueroa, H. Elements of Noncommutative Geometry; Birkhäusäer: Boston, MA, USA, 2001. [Google Scholar]
© 2012 by the authors; licensee MDPI, Basel, Switzerland. This article is an open access article distributed under the terms and conditions of the Creative Commons Attribution license (http://creativecommons.org/licenses/by/3.0/).
Share and Cite
Brzeziński, T.; Fairfax, S.A. Bundles over Quantum RealWeighted Projective Spaces. Axioms 2012, 1, 201-225. https://doi.org/10.3390/axioms1020201
Brzeziński T, Fairfax SA. Bundles over Quantum RealWeighted Projective Spaces. Axioms. 2012; 1(2):201-225. https://doi.org/10.3390/axioms1020201
Chicago/Turabian StyleBrzeziński, Tomasz, and Simon A. Fairfax. 2012. "Bundles over Quantum RealWeighted Projective Spaces" Axioms 1, no. 2: 201-225. https://doi.org/10.3390/axioms1020201
APA StyleBrzeziński, T., & Fairfax, S. A. (2012). Bundles over Quantum RealWeighted Projective Spaces. Axioms, 1(2), 201-225. https://doi.org/10.3390/axioms1020201

















