A Method for Stabilizing the Vibration Amplitude of a Flip-Flow Vibrating Screen Using Piecewise Linear Springs
Abstract
1. Introduction
2. Dynamic Analysis of FFVSs
2.1. Structure and Working Principle of FFVSs
2.2. Reasonable Operating Frequency Region for FFVSs
2.3. Loading Dynamics of FFVSs
3. A Nonlinear Stiffness-Based Method for Stabilizing Amplitude of FFVSs
4. Dynamic Analysis of NFFVSs
4.1. Operating Frequency Region for NFFVSs
4.2. Loading Dynamics of NFFVSs
5. Experimental Verification
5.1. Test-Rig and Experimental System
5.2. Experimental Study on Dynamics of NFFVSs
5.3. Jump Phenomenon in Multi-Solution Zone of NFFVSs
6. Results and Discussion
6.1. Effect of Clearance, Stiffness, and Damping of Piecewise Linear Springs on Dynamics of NFFVSs
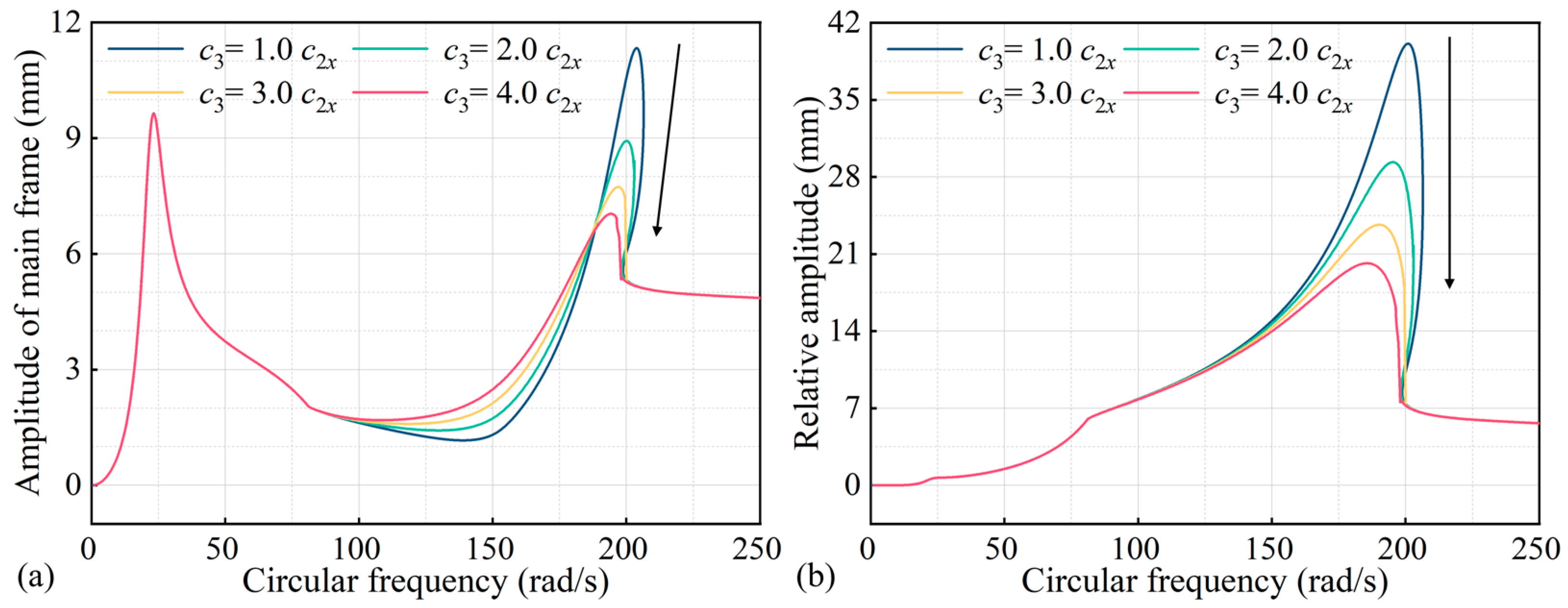
6.2. Effect of Shear Spring Stiffness and Damping on Dynamics of NFFVSs
6.3. Effect of Eccentric Mass Moment, Stiffness, and Damping of Isolation Spring on Dynamics of NFFVSs
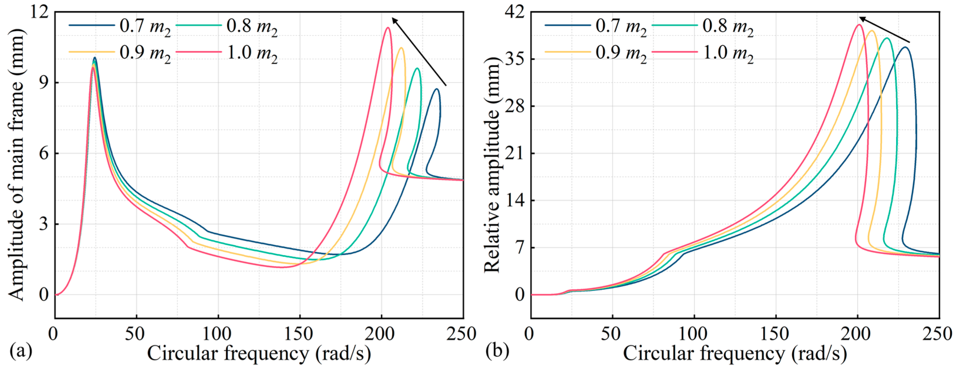
6.4. Effect of Mass of Main and Floating Frames on Dynamics of NFFVSs
7. Conclusions
Author Contributions
Funding
Data Availability Statement
Acknowledgments
Conflicts of Interest
References
- Zhang, K.; Chen, T.N.; He, L. Damping behaviors of granular particles in a vertically vibrated closed container. Powder Technol. 2017, 321, 173–179. [Google Scholar] [CrossRef]
- Guo, H.H.; Ichikawa, K.; Sakai, H.; Zhang, H.; Zhang, X.P.; Tsuruta, K.; Makihara, K.; Takezawa, A. Numerical and experimental analysis of additively manufactured particle dampers at low frequencies. Powder Technol. 2022, 396, 696–709. [Google Scholar] [CrossRef]
- Dong, K.J.; Shinohara, K.; Ohyama, Y.; Yu, A.B. Particle dispersion in a horizontally vibrating vessel under microgravity. Powder Technol. 2015, 269, 55–65. [Google Scholar] [CrossRef]
- Yu, S.J.; Li, S.J.; Guo, P.; Zhang, Y.L.; Li, W.H.; Wang, H.; Shi, W.; Jiang, H.S.; Duan, C.L. Research on highly efficient quality improvement process and product blending scheme for fine coal. Powder Technol. 2023, 430, 119011. [Google Scholar] [CrossRef]
- Liu, X.Y.; Zheng, Q.J.; Yang, L.; Cai, M.Y.; Cheng, G.J.; Yu, A.B. The segregation of cement clinker particles in a mill-feeding hopper: PIV experiment and FEM modelling. Powder Technol. 2023, 426, 118656. [Google Scholar] [CrossRef]
- Bak, L.; Noga, S.; Skrzat, A.; Stachowicz, F. Dynamic analysis of vibrating screener system. In Proceedings of the International Symposium on Dynamic Deformation and Fracture of Advanced Materials, Loughborough, UK, 9–11 September 2013. [Google Scholar]
- Soni, R.K.; Jaiswal, S.; Dash, S.; Eswaraiah, C. CFD and DEM numerical modelling of industrial vibrating desliming screen for performance optimization and minimal misplacement. Powder Technol. 2023, 426, 118630. [Google Scholar] [CrossRef]
- Moraes, M.N.; Galery, R.; Mazzinghy, D.B. A review of process models for wet fine classification with high frequency screens. Powder Technol. 2021, 394, 525–532. [Google Scholar] [CrossRef]
- Bak, L.; Noga, S.; Stachowicz, F. The experimental investigation of the screen operation in the parametric resonance conditions. Acta Mech. Autom. 2015, 9, 191–194. [Google Scholar]
- Bak, L.; Noga, S.; Stachowicz, F. Modelling and numerical simulation of parametric resonance phenomenon in vibrating screen. Vib. Phys. Syst. 2016, 27, 35–40. [Google Scholar]
- Arifuzzaman, S.M.; Dong, K.J.; Yu, A.B. Process model of vibrating screen based on DEM and physics-informed machine learning. Powder Technol. 2022, 410, 117869. [Google Scholar] [CrossRef]
- Yu, C.; Pu, K.W.; Geng, R.H.; Qiao, D.Z.; Lin, D.D.; Xu, N.N.; Wang, X.W.; Li, J.W.; Gong, S.P.; Zhou, Q. Comparison of flip-flow screen and circular vibrating screen vibratory sieving processes for sticky fine particles. Miner. Eng. 2022, 87, 107791. [Google Scholar] [CrossRef]
- Zhao, G.F.; Pu, K.W.; Xu, N.N.; Gong, S.P.; Wang, X.W. Simulation of particles motion on a double vibrating flip-flow screen surface based on FEM and DEM coupling. Powder Technol. 2023, 421, 118422. [Google Scholar] [CrossRef]
- Li, H.X.; Liu, C.S.; Shen, L.; Zhao, L.L.; Li, S. Kinematics characteristics of the flip-flow screen with a crankshaft-link structure and screening analysis for moist coal. Powder Technol. 2021, 394, 326–335. [Google Scholar] [CrossRef]
- Duan, C.L.; Yuan, J.L.; Pan, M.; Huang, T.; Jiang, H.S.; Zhao, Y.M.; Qiao, J.P.; Wang, W.N.; Yu, S.J.; Lu, J.W. Variable elliptical vibrating screen: Particles kinematics and industrial application. Int. J. Min. Sci. Technol. 2021, 31, 1013–1022. [Google Scholar] [CrossRef]
- Xiong, X.Y.; Niu, L.K.; Gu, C.X.; Wang, Y.H. Vibration characteristics of an inclined flip-flow screen panel in banana flip-flow screen panel in banana flip-flow screens. J. Sound Vib. 2017, 411, 108–128. [Google Scholar] [CrossRef]
- Lin, D.D.; Ji, J.C.; Yu, C.; Wang, X.W.; Xu, N.N. A non-linear model of screen panel for dynamics analysis of a flip-flow vi-brating screen. Powder Technol. 2023, 418, 118312. [Google Scholar] [CrossRef]
- Yu, C.; Wang, X.W.; Gong, S.P.; Pang, K.F.; Zhao, G.F.; Zhou, Q.; Lin, D.D.; Xu, N.N. Stability analysis of the screening process of a vibrating flip-flow screen. Miner. Eng. 2021, 163, 106794. [Google Scholar] [CrossRef]
- Lin, D.D.; Ji, J.C.; Wang, X.W.; Wang, Y.X.; Xu, N.N.; Ni, Q.; Zhao, G.F.; Feng, K. A rigid-flexible coupled dynamic model of a flip-flow vibrating screen considering the effects of processed materials. Powder Technol. 2023, 427, 118753. [Google Scholar] [CrossRef]
- Fazekas, B.; Goda, T.J. Constitutive modelling of rubbers: Mullins effect, residual strain, time-temperature dependence. Int. J. Mech. Sci. 2021, 210, 106735. [Google Scholar] [CrossRef]
- Luo, R.; Shi, H.L.; Guo, J.Y.; Huang, L.; Wang, J. A nonlinear rubber spring model for the dynamic simulation of a high-speed train. Veh. Syst. Dyn. 2020, 58, 1367–1384. [Google Scholar] [CrossRef]
- Nayek, R.; Abdessalem, A.B.; Dervilis, N.; Cross, E.J.; Worden, K. Identification of piecewise-linear mechanical oscillators via Bayesian model selection and parameter estimation. Mech. Syst. Signal Process. 2023, 196, 110300. [Google Scholar] [CrossRef]
- Wang, S.; Hua, L.; Yang, C.; Zhang, Y.O.; Tan, X.D. Nonlinear vibrations of a piecewise-linear quarter-car truck model by incremental harmonic balance method. Nonlinear Dynam. 2018, 92, 1719–1732. [Google Scholar] [CrossRef]
- Alzubaidi, B.; Nemeth, R.K. Modal analysis-based calculation of periodic nonlinear responses of harmonically forced piecewise linear elastic systems. J. Sound Vib. 2023, 549, 117576. [Google Scholar] [CrossRef]
- Ranjbarzadeh, H.; Kakavand, F. Determination of nonlinear vibration of 2DOF system with an asymmetric piecewise-linear compression spring using incremental harmonic balance method. Eur. J. Mech. A-Solid. 2019, 73, 161–168. [Google Scholar] [CrossRef]
- Wang, X.; Geng, X.F.; Mao, X.Y.; Ding, H.; Jing, X.J.; Chen, L.Q. Theoretical and experimental analysis of vibration reduction for piecewise linear system by nonlinear energy sink. Mech. Syst. Signal Process. 2022, 172, 109001. [Google Scholar] [CrossRef]
- Yao, H.L.; Cao, Y.B.; Ding, Z.Y.; Wen, B.C. Using grounded nonlinear energy sinks to suppress lateral vibration in rotor systems. Mech. Syst. Signal Process. 2019, 124, 237–253. [Google Scholar] [CrossRef]
- Geng, X.F.; Ding, H.; Mao, X.Y.; Chen, L.Q. Nonlinear energy sink with limited vibration amplitude. Mech. Syst. Signal Process. 2021, 156, 107625. [Google Scholar] [CrossRef]
- Londono, J.M.; Cooper, J.E.; Neild, S.A. Identification of systems containing nonlinear stiffnesses using backbone curves. Mech. Syst. Signal Process. 2017, 84, 116–135. [Google Scholar] [CrossRef]
- Wang, J.D.; Liu, X.T.; Zhou, X.B.; Lu, G.P.; Zhang, Z.Y. Performance of a launch isolator: Theoretical and experimental study. J. Sound Vib. 2020, 483, 115487. [Google Scholar] [CrossRef]





















| Variables | Mean | Minimum | Maximum |
|---|---|---|---|
| m1 (kg) | 916.000 | 870.200 | 961.800 |
| m2 (kg) | 310.000 | 294.500 | 325.500 |
| m0r (kg·mm) | 4168.251 | 3959.838 | 4376.664 |
| k1x (kN/m) | 630.000 | 598.500 | 661.500 |
| c1x (kN·s/m) | 9.866 | 9.373 | 10.359 |
| k2x (kN/m) | 2700.000 | 2565.000 | 2835.000 |
| c2x (kN·s/m) | 2.605 | 2.475 | 2.735 |
Disclaimer/Publisher’s Note: The statements, opinions and data contained in all publications are solely those of the individual author(s) and contributor(s) and not of MDPI and/or the editor(s). MDPI and/or the editor(s) disclaim responsibility for any injury to people or property resulting from any ideas, methods, instructions or products referred to in the content. |
© 2024 by the authors. Licensee MDPI, Basel, Switzerland. This article is an open access article distributed under the terms and conditions of the Creative Commons Attribution (CC BY) license (https://creativecommons.org/licenses/by/4.0/).
Share and Cite
Lin, D.; Wang, X.; Xu, N.; Zuo, W.; Liang, Z. A Method for Stabilizing the Vibration Amplitude of a Flip-Flow Vibrating Screen Using Piecewise Linear Springs. Minerals 2024, 14, 406. https://doi.org/10.3390/min14040406
Lin D, Wang X, Xu N, Zuo W, Liang Z. A Method for Stabilizing the Vibration Amplitude of a Flip-Flow Vibrating Screen Using Piecewise Linear Springs. Minerals. 2024; 14(4):406. https://doi.org/10.3390/min14040406
Chicago/Turabian StyleLin, Dongdong, Xinwen Wang, Ningning Xu, Weiran Zuo, and Zhian Liang. 2024. "A Method for Stabilizing the Vibration Amplitude of a Flip-Flow Vibrating Screen Using Piecewise Linear Springs" Minerals 14, no. 4: 406. https://doi.org/10.3390/min14040406
APA StyleLin, D., Wang, X., Xu, N., Zuo, W., & Liang, Z. (2024). A Method for Stabilizing the Vibration Amplitude of a Flip-Flow Vibrating Screen Using Piecewise Linear Springs. Minerals, 14(4), 406. https://doi.org/10.3390/min14040406

