Petrological Characteristics and Hydrocarbon Generation of Carbonate Source Rocks of the Permian Taiyuan Formation in Central and Eastern Ordos Basin, China
Abstract
1. Introduction
2. Geological Setting
3. Samples and Methods
4. Results and Discussion
4.1. Geochemical Characteristics of Source Rocks
4.2. Lithofacies Characteristics of Source Rocks
4.3. Hydrous Pyrolysis of Gold Tube
| T | HR | Ro | C1 | C2 | C3 | CO2 | C6–14 | C14+ | C6+ | δ13C1 | δ13C2 | δ13C3 |
|---|---|---|---|---|---|---|---|---|---|---|---|---|
| °C | °C/h | % | mL/g | mg/g | ‰, PDB | |||||||
| Well Q71 | ||||||||||||
| 336.4 | 20 | 0.57 | 0.06 | 0.002 | 0.001 | 2.72 | 0.72 | 1.25 | 1.97 | −38.21 | / | / |
| 360 | 20 | 0.68 | 0.07 | 0.004 | 0.001 | 4.44 | 0.96 | 1.38 | 2.34 | −37.69 | / | / |
| 384 | 20 | 0.79 | 0.15 | 0.013 | 0.001 | 5.08 | 1.24 | 1.58 | 2.82 | −36.52 | −23.42 | / |
| 408 | 20 | 0.96 | 0.40 | 0.036 | 0.002 | 6.98 | 1.56 | 1.86 | 3.42 | −36.01 | −23.42 | −21.47 |
| 432 | 20 | 1.19 | 1.49 | 0.125 | 0.004 | 8.10 | 2.19 | 2.54 | 4.73 | −35.91 | −22.24 | −21.28 |
| 456 | 20 | 1.47 | 6.01 | 0.357 | 0.009 | 9.16 | 3.38 | 2.88 | 6.26 | −35.66 | −20.67 | / |
| 480 | 20 | 1.81 | 18.24 | 0.608 | 0.012 | 13.66 | 4.35 | 2.84 | 7.19 | −32.95 | −17.32 | / |
| 504 | 20 | 2.19 | 35.38 | 0.467 | 0.007 | 19.59 | 4.10 | 1.91 | 6.01 | −29.37 | −9.91 | / |
| 528 | 20 | 2.62 | 51.98 | 0.357 | 0.006 | 29.39 | 3.18 | 0.93 | 4.11 | −25.99 | / | / |
| 552 | 20 | 3.10 | 69.92 | 0.247 | 0.009 | 41.06 | 1.87 | 0.29 | 2.16 | −24.67 | / | / |
| 576 | 20 | 3.53 | 84.79 | 0.168 | 0.005 | 48.16 | 1.04 | 0.09 | 1.13 | −25.50 | / | / |
| 600 | 20 | 3.87 | 99.46 | 0.178 | 0.002 | 53.08 | 0.70 | 0.02 | 0.72 | −26.48 | / | / |
| 336 | 2 | 0.73 | 0.09 | 0.005 | 0.001 | 4.91 | 1.07 | 1.42 | 2.49 | −38.33 | / | / |
| 360.1 | 2 | 0.86 | 0.23 | 0.019 | 0.001 | 7.28 | 1.32 | 1.57 | 2.89 | −36.78 | −22.57 | / |
| 384 | 2 | 1.08 | 1.23 | 0.098 | 0.003 | 9.29 | 2.11 | 2.13 | 4.24 | −37.00 | −23.37 | −19.18 |
| 408 | 2 | 1.36 | 5.28 | 0.301 | 0.006 | 10.87 | 3.16 | 2.79 | 5.95 | −36.87 | −20.16 | −19.23 |
| 432 | 2 | 1.69 | 17.22 | 0.566 | 0.009 | 12.84 | 4.14 | 2.93 | 7.06 | −33.70 | −16.50 | / |
| 456 | 2 | 2.09 | 35.41 | 0.462 | 0.005 | 17.04 | 4.29 | 2.02 | 6.31 | −29.99 | −14.30 | / |
| 480.1 | 2 | 2.52 | 51.60 | 0.364 | 0.005 | 25.59 | 3.47 | 1.06 | 4.53 | −26.24 | / | / |
| 503.8 | 2 | 2.99 | 68.30 | 0.268 | 0.006 | 37.16 | 2.15 | 0.38 | 2.52 | −25.53 | / | / |
| 528.2 | 2 | 3.46 | 84.27 | 0.164 | 0.004 | 50.32 | 0.97 | 0.10 | 1.07 | −25.49 | / | / |
| 552.2 | 2 | 3.89 | 99.31 | 0.134 | 0.001 | 55.91 | 0.47 | 0.08 | 0.55 | −28.09 | / | / |
| 576.3 | 2 | 4.21 | 110.81 | 0.123 | 0.001 | 58.83 | 0.31 | 0.07 | 0.38 | −26.72 | / | / |
| 600 | 2 | 4.45 | 114.91 | 0.133 | 0.001 | 61.49 | 0.16 | / | 0.16 | −24.63 | / | / |
| Well Y16 | ||||||||||||
| 336.4 | 20 | 0.57 | 0.45 | 0.023 | 0.002 | 7.93 | 1.78 | 0.73 | 2.52 | −40.64 | −24.08 | / |
| 360 | 20 | 0.68 | 0.54 | 0.038 | 0.006 | 10.89 | 2.26 | 1.18 | 3.44 | −39.55 | −24.45 | −23.73 |
| 384 | 20 | 0.79 | 0.82 | 0.081 | 0.011 | 10.31 | 2.99 | 1.62 | 4.62 | −38.35 | −25.90 | −24.66 |
| 408 | 20 | 0.96 | 1.53 | 0.227 | 0.033 | 15.14 | 4.01 | 2.01 | 6.03 | −38.10 | −25.70 | −24.75 |
| 432 | 20 | 1.19 | 4.38 | 0.687 | 0.085 | 14.32 | 5.80 | 2.46 | 8.25 | −37.25 | −25.10 | −23.90 |
| 456 | 20 | 1.47 | 10.64 | 1.723 | 0.173 | 19.79 | 7.53 | 2.91 | 10.45 | −37.12 | −24.77 | −22.72 |
| 480 | 20 | 1.81 | 24.08 | 2.553 | 0.175 | 19.16 | 7.64 | 2.87 | 10.51 | −36.06 | −22.15 | −18.29 |
| 504 | 20 | 2.19 | 42.01 | 1.761 | 0.080 | 30.08 | 7.80 | 2.64 | 10.44 | −33.32 | −17.23 | / |
| 528 | 20 | 2.62 | 52.28 | 0.542 | 0.017 | 40.77 | 6.77 | 1.52 | 8.29 | −29.81 | −5.36 | / |
| 552 | 20 | 3.10 | 56.91 | 0.161 | 0.008 | 67.00 | 4.41 | 1.00 | 5.41 | −26.34 | / | / |
| 576 | 20 | 3.53 | 60.54 | 0.116 | 0.004 | 99.66 | 3.08 | 0.91 | 3.99 | −23.81 | / | / |
| 600 | 20 | 3.87 | 64.23 | 0.064 | 0.003 | 103.52 | 1.40 | 0.32 | 1.73 | −29.28 | / | / |
| 336 | 2 | 0.73 | 0.64 | 0.038 | 0.005 | 12.16 | 2.24 | 1.24 | 3.48 | −39.27 | −25.09 | −24.37 |
| 360.1 | 2 | 0.86 | 1.19 | 0.144 | 0.019 | 13.40 | 3.48 | 1.97 | 5.45 | −39.17 | −26.45 | −24.32 |
| 384 | 2 | 1.08 | 3.76 | 0.538 | 0.048 | 20.02 | 5.23 | 2.39 | 7.61 | −37.97 | −27.01 | −24.37 |
| 408 | 2 | 1.36 | 10.92 | 1.536 | 0.133 | 22.19 | 6.90 | 2.76 | 9.65 | −37.77 | −25.40 | −22.59 |
| 432 | 2 | 1.69 | 23.97 | 2.481 | 0.151 | 23.76 | 8.33 | 2.96 | 11.30 | −36.44 | −22.01 | −18.71 |
| 456 | 2 | 2.09 | 42.75 | 2.102 | 0.058 | 32.20 | 8.30 | 2.24 | 10.54 | −32.86 | −13.17 | / |
| 480.1 | 2 | 2.52 | 63.32 | 0.825 | 0.023 | 37.99 | 7.25 | 1.11 | 8.36 | −30.18 | −8.02 | / |
| 503.8 | 2 | 2.99 | 77.63 | 0.352 | 0.013 | 55.14 | 4.86 | 0.53 | 5.39 | −28.46 | / | / |
| 528.2 | 2 | 3.46 | 83.62 | 0.160 | 0.007 | 77.98 | 2.96 | 0.34 | 3.30 | −27.39 | / | / |
| 552.2 | 2 | 3.89 | 93.88 | 0.089 | 0.002 | 99.05 | 1.54 | 0.33 | 1.87 | −31.47 | / | / |
| 576.3 | 2 | 4.21 | 99.59 | 0.083 | / | 111.12 | 1.00 | / | 1.00 | −33.31 | / | / |
| 600 | 2 | 4.45 | 101.32 | 0.077 | / | 111.07 | 0.67 | / | 0.67 | −31.20 | / | / |
4.4. Lithofacies Types and Organic Matter Enrichment
4.5. Hydrocarbon Generation Potential of the Taiyuan Formation
5. Conclusions
- (1)
- Based on the core characteristics, mineral components, and primary sedimentary structure, the carbonate rocks of the Taiyuan Formation in the central and eastern Ordos Basin can be divided into four lithofacies types: laminar argillaceous micritic limestone, massive micrite, massive bioclastic micritic limestone, and massive algae-clotted limestone.
- (2)
- Samples of these four lithofacies types displayed characteristics of higher maturity and kerogen composition dominated by amoprhinite. Laminar argillaceous micritic limestone with stripes of enriched organic matter and massive micrite with dispersed organic matter are favorable lithofacies for source rock development. The organic matter content of massive algae-clotted limestone lithofacies is the lowest, and most of the samples do not meet the standard of effective carbonate source rocks.
- (3)
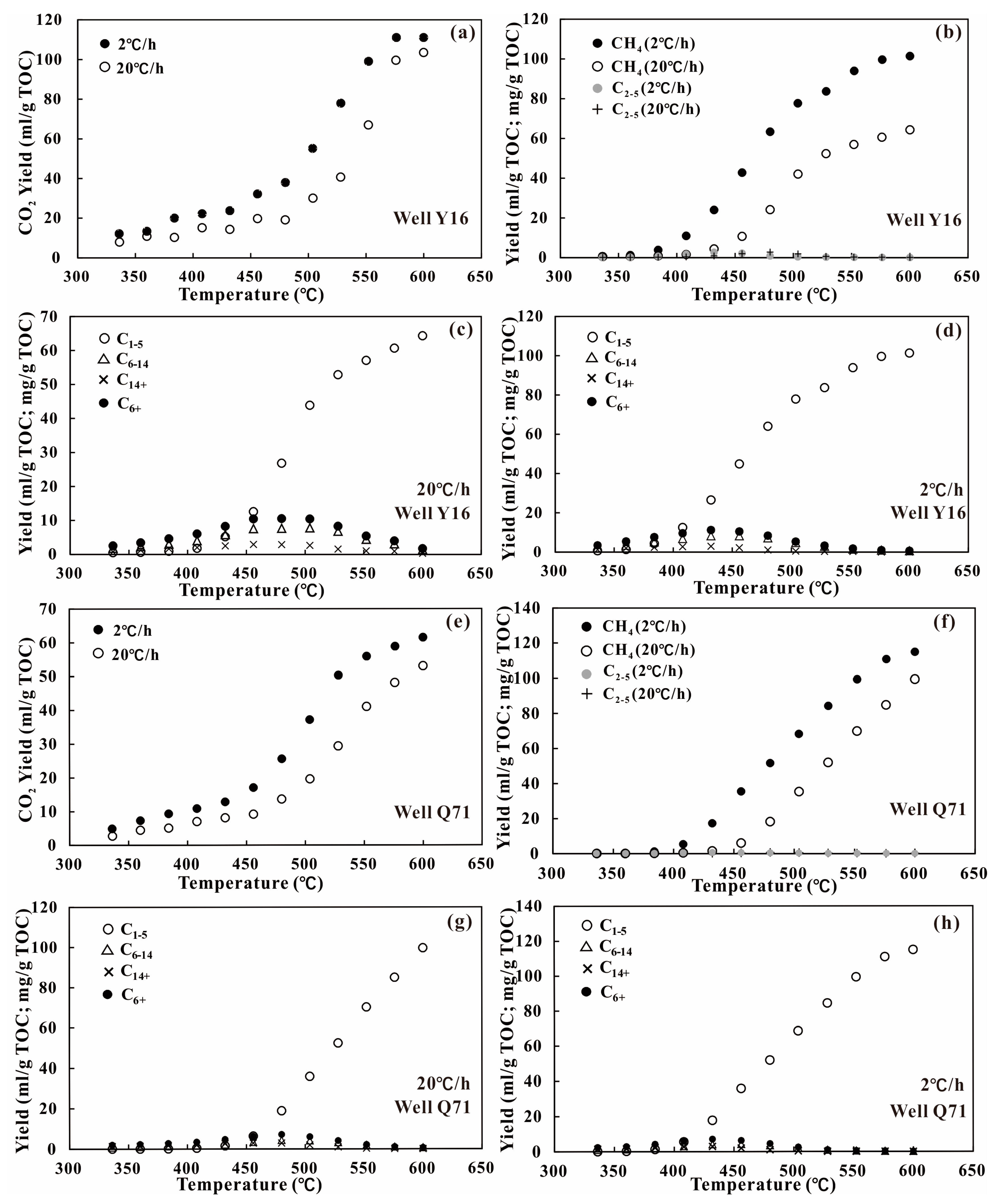
- Based on our gold tube pyrolysis, the carbonate source rocks of the Taiyuan Formation displayed low liquid hydrocarbon (C6+) yield, and maturity corresponding to peak C6+ yield lagged significantly, which was caused by the high maturity of the samples. However, the peak C1–5 yield reached 101.4 mL/g TOC (heating rate of 2 °C/h) for the massive micrite lithofacies sample and reached 115.0 mL/g TOC (heating rate of 2 °C/h) for the laminar argillaceous micritic limestone lithofacies sample. The carbonate source rocks of the Taiyuan Formation have significant hydrocarbon gas-generation ability from residual kerogen without the support of liquid hydrocarbon cracking gas. Consequently, the limestone of the Taiyuan Formation in the central and eastern Ordos Basin could form economic natural gas fields if gas reservoir formation and preservation conditions permit an effective gas source rock of 0.2 mL/g rock and low methane-adsorption capacity.
Author Contributions
Funding
Data Availability Statement
Conflicts of Interest
References
- Chen, J.P.; Liang, D.G.; Zhang, S.C.; Deng, C.P.; Zhao, Z.; Zhang, D.J. Evaluation criterion and methods of the hydrocarbon generation potential for China’s Paleozoic marine source rocks. Acta Geol. Sin. 2012, 101, 1229–1252. [Google Scholar]
- Huo, Z.P.; Jiang, T.; Pang, X.Q.; Wang, W.Y.; Chen, J.Q.; Song, J.Y.; Shen, W.B.; Pan, Z.H. Evaluation of Deep Carbonate Source Rocks with Low TOC and Contribution to Oil-Gas Accumulation in Tazhong Area, Tarim Basin. Earth Sci. 2016, 41, 2061–2074. [Google Scholar]
- Yao, J.L.; Wang, C.C.; Chen, J.P.; Gao, G.; Wang, F.Y.; Li, X.F.; Li, J.Y.; Liu, Y. Distribution characteristics of sub-salt carbonate source rocks in Majiagou Formation, Ordos Basin. Nat. Gas Geosci. 2016, 27, 2115–2126. [Google Scholar]
- Ma, Y.S.; He, D.F.; Cai, X.Y.; Liu, B. Distribution and fundamental science questions for petroleum geology of marine carbonate in China. Acta Petrol. Sin. 2017, 33, 1007–1020. [Google Scholar]
- Li, J.C.; Ma, Y.S.; Zhang, D.J.; Huang, D.F.; Zhang, S.C.; Cheng, K.M.; Xu, Z.C.; Li, X.D. Some important scientific problems on petroleum exploration in marine formations of China. Pet. Explor. Dev. 1998, 25, 1–2. [Google Scholar]
- Qin, J.Z. Source Rocks of China; Science Press: Beijing, China, 2005; pp. 138–174. [Google Scholar]
- Huo, Z.P.; Pang, X.Q.; Chen, J.F.; Zhang, B.S.; Fan, B.J.; Li, S.M. Evidences on Effective Carbonate Source Rock of Low Organic Matter Abundance and its Lower Limit of TOC. Geol. Rev. 2013, 59, 1165–1176. [Google Scholar]
- Liu, W.H.; Tenger; Wang, X.F.; Li, M.W.; Hu, G.; Wang, J.; Lu, L.F.; Zhao, H.; Chen, Q.L.; Luo, H.Y. New knowledge of hydrocarbon generating theory of organic matter in Chinese marine carbonates. Pet. Explor. Dev. 2017, 41, 155–164. [Google Scholar] [CrossRef]
- Zhang, W.Z.; Yang, H.; Li, S.P. Hydrocarbon accumulation significance of Chang 91 high-quality lacustrine source rocks of Yanchang Formation, Ordos Basin. Pet. Explor. Dev. 2008, 35, 557–568. [Google Scholar] [CrossRef]
- Zhang, W.Z.; Yang, H.; Yang, W.W.; Wu, K.; Liu, F. Assessment of geological characteristics of lacustrine shale oil reservoir in Chang7 Member of Yanchang Formation, Ordos Basin. Geochimica 2015, 44, 505–515. [Google Scholar]
- Wang, X.L.; Zhang, X.L.; Wang, X.; Cao, C. Source Rocks Evaluation and Resource Potential Analysis of Chang 7 Member and Chang 9 Member of Yanchang Formation in Zaoyang Exploration Area, Ordos Basin. J. Jilin Univ. (Earth Sci. Ed.) 2022, 52, 840–854. [Google Scholar]
- Zhang, Y.X. Source rock characterization: The dark mudstone in Chang 7 Member of Triassic, central Ordos Basin. Oil Gas Geol. 2021, 42, 1089–1097. [Google Scholar]
- Liu, W.H.; Wang, X.F.; Cai, L.G.; Zhang, D.D.; Luo, H.Y.; Wang, F.F. Thoughts on the Development of Geological Foundation for Fossil Energy Exploration in Marine Strata. Bull. Mineral. Petrol. Geochem. 2019, 38, 881–884. [Google Scholar]
- Sun, X.; Wang, J.; Tao, C.; Zhang, Y.; Jia, H.C.; Jiang, H.J.; Ma, L.B.; Wang, F.B. Evaluation of geochemical characteristics and source of natural gas in Lower Paleozoic, Daniudi area, Ordos Basin. Pet. Geol. Exp. 2021, 43, 307–314. [Google Scholar]
- Chen, Y.C.; Yang, Z.M.; Wang, S.H.; Zhen, H.Q.; Tong, X.J.; Hu, R.; Ren, J.F.; Bao, H.P. Discussion on the lower limit of organic abundance of effective hydrocarbon expulsion for the source rock from Majiagou Formation in Ordos Basin: Taking the well Longtan 1 as an example. Nat. Gas Geosci. 2014, 25, 1718–1726. [Google Scholar]
- Wu, D.X.; Yu, J.; Gao, J.G.; Wu, X.N.; Yu, Z.; Ding, Z.C.; Wang, S.Y.; Li, W.L.; Cai, J. Sedimentary characteristics and reservoir controlling effect of the Member 4 of Ordovician Majiagou Formation in Ordos Basin. J. Palaeogeogr. (Chin. Ed.) 2021, 23, 1140–1157. [Google Scholar]
- Wei, X.S.; Wang, F.Y.; Wang, H.C.; Li, X.M. Characteristics of Taiyuan Formation limestone reservoir of Permian in East Ordos Basin. Nat. Gas Ind. 2005, 04, 16–18. [Google Scholar]
- Cao, G.S.; Liu, H.H.; Xing, Z.; Xu, G.M. Geochemical characteristics of carbonate source rocks of Taiyuan Formation in Southern North China Basin. J. Henan Polytech. Univ. (Nat. Sci.) 2017, 36, 41–47. [Google Scholar]
- Yang, H.; Liu, X.S.; Yan, X.X.; Zhang, H. The Shenmu Gas Field in the Ordos Basin: Its discovery and reservoir-forming geological characteristics. Nat. Gas Ind. 2015, 35, 1–13. [Google Scholar] [CrossRef]
- Fu, J.H. Accumulation characteristics and exploration potential of tight limestone gas in the Taiyuan Formation of the Ordos Basin. Earth Sci. Front. 2023, 30, 20–29. [Google Scholar]
- Guo, Y.Q.; Zhao, L.S.; Guo, B.C.; Fei, S.X.; Li, W.H.; Zhang, Q.; Yuan, Z.; Ma, Y.; He, Z.Q.; Li, B.Q. Sedimentary characteristics of the lower Permian in Ordos Basin and its adjacent areas. J. Palaeogeogr. (Chin. Ed.) 2021, 23, 65–79. [Google Scholar]
- SY/T 5125-1996; Identification and Classification of Microfractions of Kerogen. China National Petroleum Corporation: Daqing, China, 1996.
- Fan, W.T.; Hu, G.H.; Wang, T. A simulation of thermal evolution history in southeastern margin of Ordos basin. China Sci. 2019, 14, 492–505. [Google Scholar]
- Gehman, H.M. Organic matter in limestones. Geochim. Cosmochim. Acta 1962, 26, 885–897. [Google Scholar] [CrossRef]
- Qin, J.Z.; Liu, B.Q.; Guo, J.Y.; Liu, J.W.; Yu, G.Y.; Guo, S.Z. Discussion on the evaluation standards of carbonate source rocks. Pet. Geol. Exp. 2004, 26, 281–286. [Google Scholar]
- Tenger. Comprehensive geochemical identification of highly evolved marine carbonate rocks as hydrocarbon-source rocks as exemplified by the Ordos Basin. Sci. China (Ser. D Earth Sci.) 2006, 4, 384–396. [Google Scholar] [CrossRef]
- Wang, N.; Li, R.X.; Wang, X.Z.; Zhao, B.S. Generation kinetics and generation process of transitional facies shale gas for Shanxi Formation in Ordos Basin. Geochimica 2019, 48, 75–83. [Google Scholar]
- Chen, X.Y.; Liu, W.H.; Cao, Y.J.; Yin, J.; Guo, L.X.; Wang, X.F.; Zhang, D.D.; Zhang, J.; Luo, H.Y. Natural gas origin of Langgu Sag in Jizhong Depression, Bohai Bay Basin: Insight from hydrous pyrolysis experiments of gold tube. J. Nat. Gas Sci. Eng. 2022, 103, 104610. [Google Scholar] [CrossRef]
- Hill, R.J.; Tang, Y.; Kaplan, I.R. Insights into oil cracking based on laboratory experiments. Org. Geochem. 2003, 34, 1651–1672. [Google Scholar] [CrossRef]
- Gao, J.; Liu, J.; Ni, Y. Gas generation and its isotope composition during coal pyrolysis: The catalytic effect of nickel and magnetite. Fuel 2018, 222, 74–82. [Google Scholar] [CrossRef]
- Burruss, R.C.; Laughrey, C.D. Carbon and hydrogen isotopic reversals in deep basin gas: Evidence for limits to the stability of hydrocarbons. Org. Geochem. 2010, 41, 1285–1296. [Google Scholar] [CrossRef]
- Zumberge, J.; Ferworn, K.; Brown, S. Isotopic reversal (‘rollover’) in shale gases produced from the Mississippian Barnett and Fayetteville formations. Mar. Pet. Geol. 2012, 31, 43–52. [Google Scholar] [CrossRef]
- Peng, W.; Liu, Q.; Hu, G.; Lv, Y.; Zhu, D.; Meng, Q.; Guo, F.; Wang, R. Mechanisms of carbon isotope fractionation in the process of natural gas generation: Geochemical evidence from thermal simulation experiment. Pet. Explor. Dev. 2020, 47, 972–983. [Google Scholar]
- Sweeney, J.J.; Burnham, A.K. Evaluation of a simple model of vitrinite reflectance based on chemical kinetics. AAPG Bull. 1990, 74, 1559–1570. [Google Scholar]
- Grosjean, E.; Love, G.D.; Stalvies, C.; Fike, D.A.; Summons, R.E. Origin of petroleum in the Neoproterozoic-Cambrian South Oman Salt Basin. Org. Geochem. 2009, 40, 87–110. [Google Scholar] [CrossRef]
- Sassen, R.; Moore, C.H.; Meendsen, F.C. Distribution of hydrocarbon source potential in the Jurassic Smackover formation. Org. Geochem. 1987, 11, 379–383. [Google Scholar] [CrossRef]
- Kosakowski, P.; Krajewski, M. Hydrocarbon potential of the Zechstein Main Dolomite in the western part of the Wielkopolska platform, SW Poland: New sedimentological and geochemical data. Mar. Pet. Geol. 2014, 49, 99–120. [Google Scholar]
- Oehler, J.H. Carbonate source rocks in the Jurassic Smackover trend of Mississippi, Alabama, and Florida. Petroleum Geochemistry and Source Rock Potential of Carbonate Rocks. AAPG Bull. 1984, 63–69. [Google Scholar]
- Cordell, R.J. Carbonates as hydrocarbon source rocks. Dev. Pet. Sci. 1992, 30, 271–329. [Google Scholar]
- Xia, L.W.; Cao, J.; Wang, M.; Mi, J.L.; Wang, T.T. A review of carbonates as hydrocarbon source rocks: Basic geochemistry and oil-gas generation. Pet. Sci. 2019, 16, 3–18. [Google Scholar]
- Dieckmann, V.; Horsfield, B.; Schenk, H.J. Heating rate dependency of petroleum-forming reactions: Implications for compositional kinetic predictions. Org. Geochem. 2000, 31, 1333–1348. [Google Scholar]
- Behar, F.; Kressmann, S.; Rudkiewicz, J.L.; Vandenbroucke, M. Experimental simulation in a confined system and kinetic modelling of kerogen and oil cracking. Org. Geochem. 1992, 19, 173–189. [Google Scholar] [CrossRef]
- Schenk, H.J.; Di Primio, R.; Horsfield, B. The conversion of oil into gas in petroleum reservoirs. Part 1: Comparative kinetic investigation of gas generation from crude oils of lacustrine, marine and fluviodeltaic origin by programmed-temperature closed-system pyrolysis. Org. Geochem. 1997, 26, 467–481. [Google Scholar]
- Gao, D.C.; Guo, C.; Jiang, C.F.; Zhang, L.X.; Wang, H.; Shi, P.; Chen, Y.Y. Hydrocarbon generation simulation of low-maturity shale in Shanxi Formation, Ordos Basin. Pet. Geol. Exp. 2018, 40, 454–460. [Google Scholar]
- Deng, C.S.; Zhang, Y.; Xie, X.F.; Mi, W.W.; Qiang, J.; Song, J.X. Comprehensive prediction model of total gas content in the shale of Yanchang Formation in Yanchang petroleum exploration area. Xinjiang Pet. Geol. 2020, 41, 269–277. [Google Scholar]












| Well | Depth (m) | Member | Sample Type | TOC (%) | S1 | S2 | S1 + S2 | Tmax (°C) | Ro (%) |
|---|---|---|---|---|---|---|---|---|---|
| (mg/g) | |||||||||
| Q71 | 2849.1 | Dongdayao | Core | 0.18 | 0.01 | 0.02 | 0.03 | 479 | |
| Q71 | 2850.3 | Dongdayao | Core | 0.10 | 0.01 | 0.02 | 0.03 | 412 | |
| Q71 | 2851.3 | Dongdayao | Core | 0.09 | 0.01 | 0.02 | 0.03 | 413 | |
| Q71 | 2852.2 | Dongdayao | Core | 0.06 | 0.01 | 0.02 | 0.03 | 420 | |
| Q71 | 2853.3 | Dongdayao | Core | 0.07 | 0.01 | 0.03 | 0.04 | 428 | |
| Q71 | 2854.2 | Dongdayao | Core | 0.12 | 0.01 | 0.03 | 0.04 | 474 | |
| Q71 | 2854.9 | Dongdayao | Core | 0.12 | 0.01 | 0.03 | 0.04 | 359 | |
| Q71 | 2856.1 | Xiedao | Core | 0.12 | 0.01 | 0.03 | 0.04 | 475 | |
| Q71 | 2857.0 | Xiedao | Core | 6.07 | 0.33 | 1.81 | 2.14 | 445 | 1.20 |
| Q71 | 2858.9 | Xiedao | Core | 2.56 | 0.07 | 2.35 | 2.42 | 487 | |
| Q71 | 2859.5 | Xiedao | Core | 1.95 | 0.24 | 2.07 | 2.31 | 448 | 1.44 |
| Q71 | 2860.1 | Xiedao | Core | 0.13 | 0.03 | 0.06 | 0.09 | 467 | |
| Q71 | 2861.0 | Xiedao | Core | 0.33 | 0.02 | 0.11 | 0.13 | 521 | |
| Q71 | 2861.4 | Xiedao | Core | 0.50 | 0.03 | 0.25 | 0.28 | 519 | |
| Q71 | 2861.9 | Xiedao | Core | 0.88 | 0.03 | 0.35 | 0.38 | 515 | |
| Q71 | 2862.7 | Xiedao | Core | 1.15 | 0.04 | 0.46 | 0.50 | 524 | |
| Q71 | 2862.8 | Xiedao | Core | 0.31 | 0.02 | 0.17 | 0.19 | 505 | |
| Q71 | 2863.8 | Xiedao | Core | 0.65 | 0.03 | 0.22 | 0.25 | 438 | |
| M28 | 2165.9 | Xiedao | Core | 0.75 | 0.03 | 0.11 | 0.14 | 528 | |
| M28 | 2167.7 | Xiedao | Core | 0.25 | 0.02 | 0.12 | 0.14 | 313 | |
| Y16 | 2205.0 | Xiedao | Core | 0.15 | 0.01 | 0.05 | 0.06 | 470 | |
| Y16 | 2205.9 | Xiedao | Core | 1.63 | 0.10 | 0.77 | 0.87 | 317 | |
| Y16 | 2210.8 | Xiedao | Core | 3.02 | 0.14 | 1.26 | 1.40 | 361 | 1.30 |
| Y16 | 2211.6 | Xiedao | Core | 4.26 | 0.19 | 1.90 | 2.09 | 315 | |
| Y18 | 2317.8 | Maoergou | Core | 0.31 | 0.02 | 0.14 | 0.16 | 309 | |
| Y18 | 2318.2 | Maoergou | Core | 0.25 | 0.01 | 0.05 | 0.06 | 371 | |
| Q2 | 2564.1 | Xiedao | Core | 2.29 | 0.05 | 0.40 | 0.45 | 528 | |
| Q2 | 2567.4 | Xiedao | Core | 0.08 | 0.01 | 0.04 | 0.05 | 364 | |
| Q2 | 2571.6 | Xiedao | Core | 0.09 | 0.01 | 0.04 | 0.05 | 407 | |
| Y36 | 3030.3 | Xiedao | Core | 0.40 | 0.02 | 0.18 | 0.20 | 300 | |
| Y36 | 3031.4 | Xiedao | Core | 0.59 | 0.02 | 0.16 | 0.18 | 316 | |
| Y36 | 3035.7 | Xiedao | Core | 0.11 | 0.01 | 0.06 | 0.07 | 449 | |
| M61 | 2306.6 | Dongdayao | Core | 0.09 | 0.01 | 0.04 | 0.05 | 472 | |
| M61 | 2306.8 | Dongdayao | Core | 1.35 | 0.03 | 0.15 | 0.18 | 575 | |
| S137 | 2478.5 | Maoergou | Core | 0.16 | 0.01 | 0.07 | 0.08 | 481 | |
| S137 | 2479.1 | Maoergou | Core | 0.13 | 0.01 | 0.05 | 0.06 | 436 | |
| T65 | 3247.9 | Dongdayao | Core | 0.37 | 0.03 | 0.15 | 0.18 | 505 | |
| T65 | 3250.3 | Dongdayao | Core | 1.25 | 0.08 | 0.84 | 0.92 | 463 | |
| Y93 | 2466.9 | Dongdayao | Core | 1.36 | 0.06 | 0.12 | 0.18 | 583 | |
| Y93 | 2467.4 | Dongdayao | Core | 0.31 | 0.01 | 0.05 | 0.06 | 336 | |
| Y72 | 2793.2 | Xiedao | Core | 0.19 | 0.01 | 0.05 | 0.06 | 569 | |
| Y72 | 2793.4 | Xiedao | Core | 1.18 | 0.02 | 0.18 | 0.20 | 574 | |
| Y72 | 2794.5 | Xiedao | Core | 2.03 | 0.02 | 0.39 | 0.41 | 571 | |
| Y72 | 2796.4 | Xiedao | Core | 1.11 | 0.02 | 0.28 | 0.30 | 565 | |
| J21 | 3403.5 | Xiedao | Core | 0.09 | 0.01 | 0.04 | 0.05 | 473 | |
| J21 | 3404.8 | Xiedao | Core | 2.88 | 0.01 | 0.05 | 0.06 | 383 | |
| J21 | 3408.0 | Xiedao | Core | 0.06 | 0.01 | 0.03 | 0.04 | 396 | |
| J21 | 3409.8 | Xiedao | Core | 0.08 | 0.01 | 0.03 | 0.04 | 481 | |
| J21 | 3410.5 | Xiedao | Core | 0.14 | 0.01 | 0.05 | 0.06 | 492 | |
| J21 | 3411.1 | Xiedao | Core | 1.60 | 0.05 | 0.53 | 0.58 | 508 | |
| J21 | 3412.6 | Xiedao | Core | 0.09 | 0.01 | 0.04 | 0.05 | 371 | |
| J21 | 3412.9 | Xiedao | Core | 0.10 | 0.01 | 0.04 | 0.05 | 352 | |
| M29 | 2234.9 | Maoergou | Core | 1.09 | 0.04 | 0.24 | 0.28 | 454 | |
| M29 | 2236.2 | Maoergou | Core | 0.53 | 0.03 | 0.23 | 0.26 | 414 | |
| M29 | 2236.3 | Maoergou | Core | 0.94 | 0.04 | 0.28 | 0.32 | 338 | |
| M29 | 2238.7 | Maoergou | Core | 0.32 | 0.02 | 0.12 | 0.14 | 494 | |
| M29 | 2239.7 | Maoergou | Core | 1.37 | 0.06 | 0.28 | 0.34 | 524 | |
| M29 | 2240.4 | Maoergou | Core | 0.18 | 0.01 | 0.07 | 0.08 | 302 | |
| S105 | 2725.3 | Maoergou | Core | 0.56 | 0.04 | 0.48 | 0.52 | 322 | 1.40 |
| S105 | 2728.5 | Maoergou | Core | 0.36 | 0.02 | 0.12 | 0.14 | 422 | |
| S105 | 2728.6 | Maoergou | Core | 0.11 | 0.12 | 0.19 | 0.31 | 428 | |
| M154 | 2451.8 | Maoergou | Core | 3.82 | 0.12 | 0.63 | 0.75 | 361 | |
| M154 | 2452.8 | Maoergou | Core | 0.47 | 0.02 | 0.11 | 0.13 | 516 | |
| M154 | 2453.7 | Maoergou | Core | 0.36 | 0.02 | 0.11 | 0.13 | 497 | |
| M154 | 2454.4 | Maoergou | Core | 0.13 | 0.01 | 0.06 | 0.07 | 483 | |
| M154 | 2455.8 | Maoergou | Core | 0.46 | 0.02 | 0.15 | 0.17 | 491 | |
| M154 | 2457.7 | Miaogou | Core | 4.37 | 0.14 | 0.90 | 1.04 | 492 | 1.42 |
| Sh217 | 2830.8 | Maoergou | Core | 0.60 | 0.04 | 0.24 | 0.28 | 526 | |
| Sh217 | 2831.4 | Maoergou | Core | 0.45 | 0.04 | 0.12 | 0.16 | 492 | |
| Sh217 | 2833.6 | Maoergou | Core | 0.10 | 0.01 | 0.03 | 0.04 | 469 | |
| Y4 | 2186.2 | Dongdayao | Core | 0.18 | 0.02 | 0.18 | 0.20 | 328 | 1.45 |
| Y4 | 2187.5 | Dongdayao | Core | 0.72 | 0.02 | 0.31 | 0.33 | 498 | |
| Y4 | 2212.4 | Maoergou | Core | 0.96 | 0.02 | 0.20 | 0.22 | 512 | |
| Y11 | 1590.3 | Maoergou | Core | 0.24 | 0.02 | 0.08 | 0.10 | 502 | |
| Y11 | 1593.2 | Maoergou | Core | 1.10 | 0.08 | 0.76 | 0.84 | 513 | |
| Z4 | 2361.2 | Xiedao | Core | 0.47 | 0.05 | 0.20 | 0.25 | 552 | |
| Z4 | 2362.4 | Xiedao | Core | 8.27 | 0.24 | 2.30 | 2.54 | 564 | 1.60 |
| Z4 | 2366.2 | Xiedao | Core | 0.06 | 0.01 | 0.05 | 0.06 | 440 | |
| Z4 | 2368.1 | Maoergou | Core | 0.22 | 0.01 | 0.07 | 0.08 | 524 | |
| Z4 | 2070.3 | Maoergou | Core | 0.16 | 0.01 | 0.06 | 0.07 | 471 | |
| Z4 | 2372.5 | Maoergou | Core | 1.28 | 0.05 | 0.42 | 0.47 | 563 | |
| M115 | 2062.9 | Xiedao | Core | 0.99 | 0.07 | 0.46 | 0.53 | 433 | |
| M115 | 2063.9 | Xiedao | Core | 1.30 | 0.09 | 1.06 | 1.15 | 439 | 1.38 |
| M115 | 2066.4 | Xiedao | Core | 0.16 | 0.03 | 0.18 | 0.21 | 434 | |
| M115 | 2070.4 | Maoergou | Core | 0.54 | 0.05 | 0.37 | 0.42 | 444 | |
| M115 | 2073.4 | Maoergou | Core | 0.22 | 0.02 | 0.13 | 0.15 | 426 | |
| M115 | 2074.7 | Maoergou | Core | 2.12 | 0.13 | 1.00 | 1.13 | 429 | |
| Well Name | Depth | Member | Amoprhinite | TL | Vitrinite | Inertinite | TI | Type |
|---|---|---|---|---|---|---|---|---|
| (m) | (%) | (%) | (%) | (%) | ||||
| Q71 | 2849.1 | Dongdayao | 91 | 9 | <1 | 83.8 | I | |
| Q71 | 2858.9 | Xiedao | 45 | 55 | 4.5 | II2 | ||
| Q71 | 2861.4 | Xiedao | 51 | 49 | 13.9 | II2 | ||
| Q71 | 2861.9 | Xiedao | 45 | 55 | <1 | 2.8 | II2 | |
| Y36 | 3030.3 | Xiedao | 90 | 10 | <1 | 81.7 | I | |
| Y36 | 3031.4 | Xiedao | 90 | 10 | 81.6 | I | ||
| Y36 | 3035.7 | Xiedao | 89 | <1 | 10 | <1 | 80.9 | I |
| J21 | 3410.5 | Xiedao | 95 | 5 | 90.9 | I | ||
| J21 | 3411.1 | Xiedao | 68 | 31 | <1 | 44.0 | II1 | |
| T65 | 3247.9 | Dongdayao | 68 | 32 | <1 | 43.0 | II1 | |
| T65 | 3250.3 | Dongdayao | 91 | 9 | 83.4 | I | ||
| Y16 | 2205.9 | Xiedao | 66 | 34 | 41.0 | II1 | ||
| Y16 | 2211.6 | Xiedao | 94 | 6 | <1 | 88.7 | I | |
| M115 | 2062.9 | Xiedao | 95 | 5 | <1 | 90.7 | I | |
| M115 | 2074.7 | Maoergou | 45 | 55 | <1 | 2.8 | II2 | |
| M154 | 2451.8 | Maoergou | 90 | 10 | 82.3 | I | ||
| M154 | 2457.7 | Miaogou | 89 | 11 | <1 | 80.6 | I | |
| Z4 | 2361.2 | Xiedao | 89 | 11 | <1 | 81.2 | I | |
| Z4 | 2372.5 | Maoergou | 67 | 32 | <1 | 42.8 | II1 | |
| Y18 | 2317.8 | Maoergou | 95 | 5 | 90.4 | I | ||
| Y72 | 2796.4 | Xiedao | 31 | 69 | −20.4 | Ⅲ | ||
| Y93 | 2466.9 | Dongdayao | 70 | 30 | 47.5 | II1 | ||
| M61 | 2306.8 | Dongdayao | 90 | 10 | <1 | 82.2 | I | |
| M28 | 2465.9 | Xiedao | 90 | 10 | <1 | 81.6 | I | |
| M29 | 2239.7 | Xiedao | 90 | 10 | <1 | 81.5 | I | |
| S105 | 2725.3 | Maoergou | 97 | 3 | <1 | 93.9 | I | |
| Y4 | 2212.4 | Maoergou | 89 | 10 | <1 | 80.4 | I | |
| Y11 | 1593.2 | Maoergou | 44 | 56 | <1 | 2.0 | II2 | |
| Q2 | 2564.1 | Xiedao | 61 | 39 | 32.6 | II2 |
Disclaimer/Publisher’s Note: The statements, opinions and data contained in all publications are solely those of the individual author(s) and contributor(s) and not of MDPI and/or the editor(s). MDPI and/or the editor(s) disclaim responsibility for any injury to people or property resulting from any ideas, methods, instructions or products referred to in the content. |
© 2023 by the authors. Licensee MDPI, Basel, Switzerland. This article is an open access article distributed under the terms and conditions of the Creative Commons Attribution (CC BY) license (https://creativecommons.org/licenses/by/4.0/).
Share and Cite
Yin, J.; Hu, P.; Guo, Y.; Li, Y.; Luo, S. Petrological Characteristics and Hydrocarbon Generation of Carbonate Source Rocks of the Permian Taiyuan Formation in Central and Eastern Ordos Basin, China. Minerals 2023, 13, 1058. https://doi.org/10.3390/min13081058
Yin J, Hu P, Guo Y, Li Y, Luo S. Petrological Characteristics and Hydrocarbon Generation of Carbonate Source Rocks of the Permian Taiyuan Formation in Central and Eastern Ordos Basin, China. Minerals. 2023; 13(8):1058. https://doi.org/10.3390/min13081058
Chicago/Turabian StyleYin, Jie, Ping Hu, Yu Guo, Yuezhe Li, and Shunshe Luo. 2023. "Petrological Characteristics and Hydrocarbon Generation of Carbonate Source Rocks of the Permian Taiyuan Formation in Central and Eastern Ordos Basin, China" Minerals 13, no. 8: 1058. https://doi.org/10.3390/min13081058
APA StyleYin, J., Hu, P., Guo, Y., Li, Y., & Luo, S. (2023). Petrological Characteristics and Hydrocarbon Generation of Carbonate Source Rocks of the Permian Taiyuan Formation in Central and Eastern Ordos Basin, China. Minerals, 13(8), 1058. https://doi.org/10.3390/min13081058

